Класифікація неперервних функцій за порядками їх найкращих наближень
Зміст
Вступ
1. Основні означення та
властивості
2. Теорема Джексона
3. Узагальнення теореми
Джексона
4. Теорема С.Н. Бернштейна
5. Теорема про рівність
класу Ліпшиця і класу Діціана і Тотіка
Висновок
Список використаної
літератури
Вступ
Нехай 
-
неперервна, 
-
періодична функція, а 
-
її найкраще наближення тригонометричними поліномами не вище 
-го
порядку. В силу другої теореми Вейєрштраса виявляється, що
Чим «простіше» буде наближення функції 
,
тим точніше вона буде представлятися тригонометричним поліномом. Інакше кажучи,
для більш простіших функцій, 
повинно
прямувати до нуля швидше, ніж для функцій складної природи. В дипломній роботі
буде розглядатися питання, як впливає покращення структурних властивостей
функції, що наближається, на порядок спадання її найкращого наближення 
.
Ці результати, головним чином, належать Джексону.
Теорема Джексона дає оцінку зверху для найкращого наближення функції
многочленами або періодичної функції тригонометричними поліномами. Теорема дає
можливість досліджувати властивості найкращих наближень в залежності від
диференційованих властивостей функції.
Зручною характеристикою структурних властивостей функції є величина,
яка називається «модулем неперервності» цієї функції. У роботі вивчаються
властивості звичайного модуля неперервності і властивості введені Діціаном і
Тотіка, і на їх базі досліджується поведінка найкращих наближень неперервної
функції алгебраїчними многочленами.
В дипломній роботі будуть згадані деякі результати С.Н. Бернштейна,
обмежуючись, розглядом неперервних, 
-
періодичних функцій. С.Н. Бернштейну належить ряд важливих результатів, де він
вирішує обернену задачу: задачу характеристики структурно-диференційовних
властивостей функції на основі порядку малості її найкращого наближення. В
цілому всі ці дослідження дають класифікацію неперервних функцій за порядками
їх найкращих наближень.
неперервність теорема многочлен
1.
Основні означення
та властивості
Означення 1.1. Нехай на проміжку 
задана функція 
.
Візьмемо будь-яке додатне число 
і
розглянемо всі пари чисел 
і

,
які належать 
і
задовольняють наступну нерівність
Точна верхня межа чисел 
називається модулем неперервності функції 
.
Властивості модуля неперервності. . Функція 
монотонно
зростає. Дійсно, якщо 
то
множина пар 
які задовольняють умову 
ширше, ніж множина таких пар, для яких 
.
Зважаючи на те, що при розширенні числової множини її точна верхня межа може
хіба лише збільшитись, ясно те, що
II. Для того, щоб функція 
була
рівномірно неперервна на проміжку 
необхідно
та достатньо, щоб
.
Якщо 
- натуральне число, то
Дійсно, нехай
Розіб’ємо сегмент

на

рівних
частин точками
Очевидно, що
З іншого боку, 
звідки
і тому
Властивість доведена.. При будь-якому додатному 
Дійсно, нехай 
є
ціла частина 
,
така що 
.
Тоді
Означення 1.2. Якщо функція 
задана
на проміжку 
і
при всіх 
і

із
цього проміжку задовольняє нерівність
то кажуть, що функція 
задовольняє
умову Ліпшиця з показником 
і
коефіцієнтом 
,
і пишуть
Інакше кажучи, 
є
клас всіх функцій, які задовольняють умову Ліпшиця даного порядку 
із
заданим коефіцієнтом 
,
а 
є
класом функцій, які задовольняють умові Ліпшиця порядку 
з
будь-яким коефіцієнтом.
Означення 1.3. Найкраще наближення. Для будь-якої обмеженої
вимірної функції 
,
заданої на кінцевому відрізку 
,
і будь-якого натурального 
існує
звичайний многочлен
степеня не вище 
,
що найменш ухиляється від неї на цьому відрізку, тобто такий, що серед усіх
інших многочленів 
,
які мають степінь, не більше ніж 
,
реалізує найменше значення для відхилення
Означення 1.4. Нехай функція 
належить

, тобто неперервна і має період 
.
Взявши будь-який тригонометричний поліном 
порядку
не вище 
,
покладемо
Будемо називати цю величину відхиленням полінома 
від
функції 
.
Змушуючи поліном 
пробігати
всю множину 
*) ми
отримаємо цілу множину невід’ємних відхилень 
.
Точна нижня межа
цієї множини називається найменшим відхиленням поліномів із 
від

або
найкращим наближенням до 
поліномами
із 
.
Означення 1.5. Нехай 
-
натуральне число. Будемо казати, що функція 

є
модуль неперервності 
-го
порядку функції 
, якщо
де 
-
кінцева різниця функції 

-го
порядку з шагом 
:
Властивості модуля неперервності 
-го
порядку.
Лема 1.1. Для будь-якого натурального 
і
будь - якого 

Лема 1.2. Нехай 
і 
-
натуральні числа, 
Тоді
для будь-якого 
і
Доведення. Покладемо

звідки
Звідси при 
випливає
(1.2), а при 
-
(1.3).
Вважаючи в (1.3) 
,
знаходимо, що
Із останньої нерівності видно, що для будь-якого натурального 

Лема 1.3. Для будь-якого натурального 
модуль
неперервності 
-того
порядку 
є
неперервною функцією від 
.
Доведення. Нехай 
Маємо
Звідси
і
Таким чином,
і так як 
при 
,
то звідси випливає неперервність функції 
,
і лема доведена.
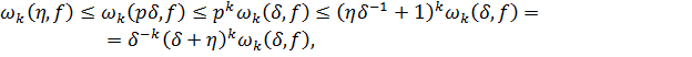
Лема 1.4. Нехай 
і

-
натуральні числа. Тоді для будь-якого 
Доведення. Індукція по 
дає
формулу
Звідси
і
Лема 1.5. Нехай 
-
натуральне число 

Тоді

Якщо, крім того, 
,
то
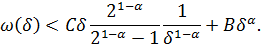
Доведення. Доведемо спочатку нерівність (1.6). Ця нерівність очевидна для 
.
Розглянемо 
.
Знайдемо натуральне число 
із умов
Тоді 
,
і так як 
є
не спадаючою функцією від 
,
то, приймаючи до уваги (1.5) і (1.8), отримаємо
і нерівність (1.6) доведена.
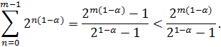
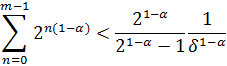
Нерівність (1.7) випливає із (1.6), так як 
для 
Нерівність (1.7) показує, що для будь-якого 
і
будь-якого натурального 
Лема 1.6. Нехай 
має

-ту
похідну 
Тоді
і для будь-якого натурального 
Доведення. Обидві нерівності безпосередньо випливають із формули
Означення 1.6. Нехай 
.
Тоді модуль неперервності
де
Означення 1.7. Нехай 
-
клас функцій, що визначені на сегменті 
і
задовольняють умову Діціана і Тотіка
Теорема 1.1. Діціана і Тотіка.[3]. Для того, щоб 
необхідно і достатньо, щоб
2. Теорема Джексона
Фундаментальне значення для конструктивної теорії функцій
мало відкриття Джексоном можливості суттєвого уточнення класичної теореми
Вейєрштраса і нове формулювання її у вигляді нерівності.
Теорема
2.1. Для будь-якої функції 
справедлива оцінка
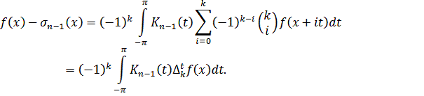
Доведення. Для доведення скористаємося наступною теоремою.
Теорема 2.2. Нехай функція 
і
має модуль неперервності 
Покладемо
Тоді при всіх 
справедлива
оцінка
Але так як 
,
то тим більше
Якщо 
-
парне натуральне число, 
,
то
Якщо ж 
число
непарне, 
то
Отже, оцінка (1) справедлива для будь-якого натурального 
Зважаючи на те, що для будь якої функції із 
зрозуміло, що доведена теорема Джексона містить у собі другу теорему
Вейєрштраса.
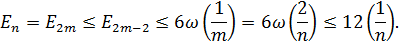
Наслідок 2.1. Якщо 

В свою чергу звідси маємо
Наслідок 2.2. Якщо у 
існує
обмежена похідно 

то
Дійсно, за цих умов 
3. Узагальнення теореми Джексона
У 1950 році С. Б. Стечкіним була опублікована стаття, у якій один із
параграфів присвяченій узагальненню теореми Джексона. Як відомо, Джексон довів
наступну теорему: якщо 
має
неперервну 
-у
похідну 
,
то
Таким чином, теорема Джексона дає оцінку зверху для найкращих
наближень, якщо відомі диференційовані властивості функції, що апроксимується.
В 1947 році з’явилася робота С. Н. Бернштейна. Одна із
теорем цієї роботи містить у якості наслідку таку пропозицію: нехай
Тоді
С.Б. Стечкіним доведено наступне узагальнення цих теорем:
Було отримано невелике посилення теореми Джексона о найкращих
наближеннях періодичних функцій тригонометричними поліномами.
Лема 3.1. Нехай дано натуральне число 
.
Існує послідовність ядер 
,
де 
є
тригонометричний поліном порядку не вище 
,
який задовольняє умови:
У якості ядер 
можна
взяти ядра Джексона достатньо високої степені, тобто покласти
де 
-
ціле, не залежить від 
,

натуральне

визначається
із нерівності
а 
обирається
так, щоб виконувалось нормування (1).
Лема 3.2. Якщо послідовність ядер 
задовольняє
усім умовам попередньої леми, то
Доведення. Користуючись (3.2) і (3.3) маємо наступне
і лема доведена.
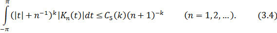
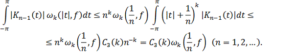
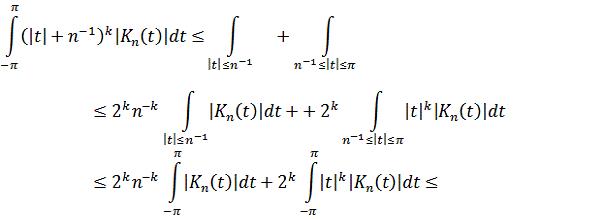
Теорема 3.1. Нехай 

(3.5)
Доведення. Нехай послідовність ядер 

задовольняє
всі умови леми 1. Покладемо
Видно, що 
є
тригонометричний поліном порядку не вище 
Оцінимо 
.
Маємо
Тому
Оцінимо останній інтеграл. Вважаючи в нерівності (1.6) 
,
отримаємо, що
Звідси і із (3.4) слідує:
Підставивши цю оцінку в (3.6), отримаємо твердження теореми.
Наслідок. Нехай 
-
натуральне число, 
-
ціле невід’ємне. Тоді
Дійсно, згідно (1.11),
Використання теореми 3.1 дає (3.7).
4. Теорема С.Н. Бернштейна
Теорема
4.1. Нехай 
і

-
її найкраще наближення поліномами із

. Якщо при всіх натуральних 
тоді при 
можна
стверджувати, що
А якщо 
,
то

*).
Доведення. Для будь-якого натурального 
існує
тригонометричний поліном 
порядку не вище 
,
для якого
Покладемо
Легко побачити, що
або
Візьмемо будь-яке число 
,
для якого
і нехай 
Тоді
Нехай натуральне число 
підібрано
із умови
(очевидно, 
).
В такому разі
Дамо оцінку поліному 
Звідси
отже,
де покладемо для кратності
З іншого боку, 
є
тригонометричний поліном порядку не вище 
.
Отже, для його похідної на основі нерівності С. Н. Бернштейна*) справедлива оцінка
На основі формули Лагранжа
Тому
Зважаючи на те що 
і 
об’єднані
єдиною умовою 
,
остання нерівність показує, що
де 
.
Помітно, що, в силу (4.1)
надамо останній нерівності вигляд
До цих пір міркування однаково відносились як до випадку, коли 
так
і до того, коли 
Тепер
нам треба розрізнити ці випадки.
Якщо 
то
Але за (4.1)
Отже,
і
Інакше кажучи,
А це означає, що 
.
Якщо ж 
,
то нерівність (4.2) має вигляд
Із нерівності 
випливає,
що
а так як 
(або

),
то
звідки
Позначимо через 
число,
більше, ніж 
і 
,
знаходимо
Що і завершує доведення теореми.
5. Теорема про рівність класу Ліпшиця і класу Діціана і
Тотіка
Розглянемо клас Ліпшиця порядка 
:
Нехай
функція 
,

:
Де
Зробимо заміну змінних. Нехай 
, де 
.
Функція 
.
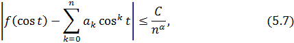
За теоремою Джексона (2.1) існує тригонометричний поліном 
, порядку не вище 
,
для якого справедлива оцінка:
Відомо, якщо функція 
-
парна, то тригонометричний поліном 
-
також буде парним. Тоді він матиме вигляд:
Доведемо, що поліном 
можна
представити у вигляді:
Для доведення рівності (5.3) скористаємося відомими тригонометричними
формулами:
Із формули (5.5) справедлива наступна лема.
З формули (5.4) та
леми 5.1 отримаємо:
Рівності (5.6)
доводить справедливість рівності (5.3).
Отже, виходячи із оцінки (5.1) та рівності (5.3), отримаємо наступне:
повернемося до заміни 
:
Далі, застосуємо обернену теорему Діціана і Тотіка:
Отже, ми довели наступне, що якщо 
,
тоді 
також.
(5.10)
Доведемо це твердження у зворотній бік. Нехай відомо, що
Тоді, за прямою теоремою Діціана і Тотіка, існує поліном 
,
для якого виконується нерівність:
Знову, вводимо заміну: 
, де

.
З (5.11) одержимо
Застосувавши обернену теорему Бернштейна, отримаємо те, що

Тобто, показали, якщо 
,
то 
(5.14)
Отже, можна зробити висновок. Із тверджень (5.10) і (5.14)
випливає наступна рівність

.
Тобто ми довели, що клас Ліпшиця дорівнює класу Діціана і Тотіка.
Висновок
У дипломній роботі було розглянуто означення модуля неперервності та
його властивості, а також властивості введені Діціаном і Тотіка. Були згадані
такі теореми: теорема Джексона, узагальнена теорема Джексона, теорема Діціана і
Тотіка, теорема С. Н. Бернштейна. Використовуючи властивості модулів
неперервності і застосовуючи прямі і обернені теореми Джексона і Бернштейна та
Діціана і Тотіка, у дипломній роботі встановлено зв’язок між класами
Діціана-Тотіка і деякими класами, що задовольняють умову Ліпшиця.
Список використаної літератури
1. Натансон И.П. Конструктивная теория функций./ И.П. Натансон // Москва, 1949, 687 с.
2. Стечкин С.Б., Известия академии НАУК СССР./С.Б.
Стечкин // Серия математическая 15(1951) , 219 - 249.
. Z. Ditzian and V. Totik, Moduli of
smoothness. Springer, Berlin Heihelberg New York, 1993, 225 p.
4. Тиман А.Ф., Теория приближения функции
действительного переменного./А.Ф.Тиман// Москва, 1960, 624 с.