Аналіз двоїстості та ортогоналізації функції
Вступ
Багато прогнозувальних задач стаціонарних
випадкових процесів (див. [2], [7], [10], [14]) еквівалентні пошуку відстані
від сталої функції 1 до підпростору
в
, де S - підмножина цілих чисел
, ek = e-ikλ, w-невід’ємна
інтегрована функція на одиничному крузі T,
і
це зважений
простір на T з нормою
. Тут µ - це Лебегова
міра на Т, причому µ(T) = 1. Записуємо
для відстані. Наприклад,
складається із
многочленів
, і їх границь в
коли індексна множина S,
є пів пряма
, тобто
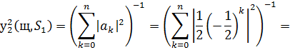
У цьому випадку, загальновідома теорема
стверджує, що для
,
якщо
; в іншому випадку
(див., наприклад, [5, p.
156]). У праці [10] для індексної множини
привернула значну увагу
до обчислення
коли індексна множина
є
з обмеженою кількістю
доданих та видалених точок
. На сьогодні, найбільш відомий загальний
результат - це Теорема 2 Ченга та ін., яка стверджує, що, для такого
,
є позитивним лише за
умови що
Однак, задача обчислення
та функції
в
, що його досягає,
залишається недосяжною, навіть якщо
, за винятком кількох
особливих випадків, розглянутих у пункті 2. У цій роботі ми розв’язуємо задачу
пошуку обґрунтованої загальної індексної множини S, що могла б пролити світло
на труднощі, звичайні для цієї сфери досліджень. Пункт 3 представляє результати
для
і містить деякі відкриті
питання щодо загального
.
1. Теоретичні відомості
.1 Стаціонарні послідовності
Нехай
- ймовірнісний простір і
- деяка послідовність
випадкових величин. Позначимо через
послідовність
Означення 1
Випадкова послідовність
називається стаціонарною
(у вузькому сенсі), якщо для любого
розподіли ймовірностей
співпадають:
Означення 2
Послідовність комплексних випадкових величин
з
,
, називається
стаціонарною (в широкому сенсі), якщо для всіх
Позначимо
І припускаючи, що
Функцію
будемо називати
коваріаційною функцією, а
- кореляційною функцією стаціонарної (в широкому
сенсі) випадкової послідовності
.
.2 Спектральний розклад кореляційної функції
Нехай
де
- ортогональні
випадкові величини з
нульовими середніми і
. Якщо покласти, що
, то ряд
сходиться в
середньоквадратичному сенсі і
Введемо функцію
Тоді коваріаційна функція
може бути записана у
вигляді інтеграла Лебега-Стілт’єса

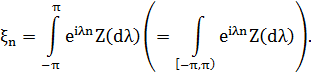
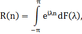
Теорема (Герглотц)
Нехай
- коваріаційна функція
стаціонарної (в широкому сенсі) випадкової послідовності з нульовим середнім.
Тоді на
знайдеться така скінченна
міра
,
, що для любого
кореляційний екстраполяція ортогоналізація спектральний
де інтеграл
розуміється як інтеграл
Лебега-Стілт’єса по множині
.
.3 Спектральне представлення стаціонарних (в широкому сенсі)
послідовностей
Теорема 1
Існує така ортогональні стохастична міра
, що для кожного
(
-м.н.)
При цьому
.
Теорема 2
Якщо
, то знайдеться така
функція
, що (
-м.н.)

1.4 Регулярні
послідовності
Введемо позначення. Нехай
та
- замкнені лінійні
многовиди, породжені величинами
і
відповідно. Нехай також
Означення
Стаціонарна послідовність
називається регулярною,
якщо
і сингулярною, якщо
Теорема
Кожна стаціонарна в широкому сенсі випадкова
послідовність
допускає єдиний розклад
де
- регулярна, а
- сингулярна
послідовності. При цьому
і
ортогональні (
.
Означення
Клас Харді
- це клас аналітичних
функцій
у відкритому одиничному
колі
на комплексній площин,
які задовольняють умову
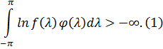
Теорема (Колмагоров)
Нехай
- не вироджена регулярна
стаціонарна послідовність. Тоді існує спектральна щільність
така, що
А саме,
(майже скрізь по мірі
Лебега).
І навпаки, якщо
- деяка стаціонарна
послідовність, що має спектральну щільність, яка задовольняє умову (1), то ця
послідовність є регулярною.
.5 Екстраполяція, інтерполяція та фільтрація
Екстраполяція
Розглянемо частковий випадок, коли спектральна
щільність задається у вигляді
де функція
має радіус збіжності
і не має нулів в радіусі
Нехай
- спектральне представлення послідовності
.
Теорема 1. Якщо спектральна
щільність послідовності
може бути представлена у вигляді (1), то
оптимальна (лінійна) оцінка
величини
по
задається формулою

Інтерполяція
Найпростішою задачею інтерполяції є задача
побудови оптимальної (в середньоквадратичному сенсі) лінійної оцінки по
результатам спостережень
«пропущеного» значення
.
Позначимо через
- замкнений лінійний
многовид, породжений величинами
. Тоді кожна випадкова величина
може бути представлена у
вигляді
де
належить
замкненому лінійному
многовиду, породженому функціями
і оцінка
буде оптимальною тоді і тільки тоді, коли
Із властивостей «перпендикулярів» в гільбертовому
просторі
випливає, що функція
повністю визначається
двома умовами:
1)
2)
Теорема 2 (Колмагоров)
Нехай
- регулярна
послідовність з
І похибка інтерполяції
задається формулою
Фільтрація.
Задача фільтрації полягає в побудові оптимальної
(в середньоквадратичному сенсі) лінійної оцінки
величини
по тім чи іншим
спостереженням послідовності
Оскільки
, то знайдеться така
функція
, що
Оптимальна функція
:
1)
,
2)
.
Отриманий розв’язок (4) можна використати для
побудови оптимальної оцінки
величини
по результатам
спостережень
, де
- деяке задане число з
.
.6 Двоїстість та
ортогоналізація
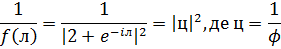
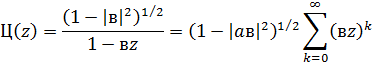
Надалі ми припускаємо, що
такий, що
для деякої функції 𝜑 з класу Харді
. Нехай
і
це коефіцієнти в
наступних розкладах:
Явний вигляд для
і
в термінах коефіцієнтів
ряду Фур’є для
можна знайти в [11] та [12].
Для набору індексів
, котрі відповідають
видаленню перших n частот з
, відомо, що
(див. [7], [11], [2]). Це так званий
- й крок прогнозу
дисперсії. Для множини індексів
котрий дорівнює приєднанню наступних
частот до
в [10] показано, що
якщо
. Дуже цікавий обернений
зв'язок між співвідношеннями (2.2) і (2.3), а також потреба в нетривіальній
умові
пояснюється
встановленням двоїстості між
та
як Банахових просторів
(див. [9], [2]). Відмітимо, що доповнення
із
в
еквівалентно півосі
, де
. Отже, загальна і більш
складна проблема прогнозування на основі
в
була зведена до
звичайної проблеми прогнозування в
. В цілому, для
будь-якого набору індексів
із скінченним числом точок із
добавлених чи
відібраних, нехай
буде доповненням
до
, і для фіксованого
, визначимо
та
наступною рівністю:
відповідно. Тоді той же аргумент двоїстості
показує, що
якщо
. Хоча останнє
нетривіальне обмеження може бути послаблене [2], до
, але величина
, можливо, не буде чітко визначена. На щастя, для
набору
ця складність була
усунута в [2, Теорема 3], використовуючи іншу задачу екстремальної двоїстості в
[3], пов’язану з проекцією
на простір Харді
. Тим не менш, для
загального
, визначення правої частини рівності (2.4)
залишається відкритим питанням. В ідеалі хотілося б застосувати (2.4), коли
одна проблема простіша, ніж інша, однак (2.4) не має сенсу, коли проблеми
прогнозування, що відповідають
та
мають однакову
складність або ж навіть ідентичні. У попередньому випадку, підходяща
ортогоналізація у поєднанні з (2.4), здається, забезпечує гарний метод для
розв’язку деяких проблем прогнозування. Наприклад, для
доповнення
еквівалентно
, що відповідає вилученню
і приєднанню одного спостереження в
відповідно. Жодна з
проблем не є тривіальною, але останнє здається простіше. В [2, теореми 5, 6]
метод ортогоналізації використовується для обчислення
. Тоді співвідношення
двоїстості (2.4) використовується для визначення
, що дає:
В цьому пункті ми обчислюємо
для більш загального
набору індексів
з
і
, тобто
Цей набір індексів має властивості як
так і
. Насправді, він
зводиться до
, коли
, в той час як його
доповнення
в
має той же вигляд, як і
, так, що відношення
двоїстості (2.4) не має сенсу. Тут також показано, що метод ортогоналізації,
головним кроком якого є визначення проекції
з
на підпростір
, може бути використаний
для вирішення проблеми. Щоби встановити значення, позначимо ортогональну
проекцію
на підпростір
. Оскільки
ортогональні до
, то підпростори
і
можна записати у вигляді
наступних ортогональних сум:
Таким чином, обчислення
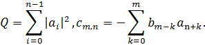
, його проекції та норми являється першочерговим. Наступна
тотожність, яка являє собою узагальнення [2, теорема 6], представляє окремий
інтерес. Власне, цікавий її зв’язок з
, де
(з
, де
):
(2.7)
Де
i
Константа
насправді являється
коефіцієнтом
у формальному розкладі в ряд
-го кроку прогнозу
. [16]). Наостанок, бажана відстань:
На відміну від (2.2), (2.3) і (2.5), де відстань
залежить або ж лише від
або лише від
, у випадку (2.7) і (2.9)
одночасно залежить від обох. Явні вирази цих відстаней забезпечують корисні
інструменти для оцінки впливу додавання (вилучення) вектора на зниження
(підвищення) таких відстаней. А саме, як слідує з (2.7), видалення
із
не буде збільшувати
відстань від
з
якщо
рівне нулю. Аналогічно з
(2.9), додавання
до
не зменшить
якщо
. Ці факти швидше за все
мають цікаву інтерпретацію результатів у статистиці (див. [16], [14]). Було б
корисно привести кілька конкретних прикладів оціночних функцій
або ж стаціонарних
процесів, які відображають ці феномени.
.7
Результати і доведення для 
В цьому розділі для комплексно значної матриці
, ми писатимемо
для матриць
відповідно.
Використовуючи зовнішню функцію
, ми визначаємо
, де
це повний ортонормований
базис
такий, що
Ми виражаємо різні проекції в термінах
.
Теорема 3.1
Покладемо w - невід’ємна інтегрована функція з
. Тоді матимемо наступне:
Задовольняє умову (3.3) нижче.
Для
, Теорема 3.1. дає явний
вигляд
. Він необхідний для
проектування
на
. В силу (2.6), ми також
маємо спроектувати
на одновимірний підпростір
або ж визначити
коефіцієнт
де
внутрішнім оператором
Віповідні результати
наведені в наступній теоремі.
Теорема 3.2
Покладемо w - невід’ємна інтегрована функція з
. Тоді мають місце наступні твердження:
Нехай
. Для визначення проекції
на
- мірного проміжку
записів
,
матриці
і
- вектор
необхідні наступні
компоненти:
Ми визначимо
- мірний вектор
і
- мірну нижню трикутну
матрицю
:

наступне представлення
має місце:
де
Звідси ми отримуємо
де
визначено і зсунуто вектор
вице. В цих позначеннях,
нормальне рівняння для
в теоремі 3.1 (1) буде
Крім того, ми визначимо
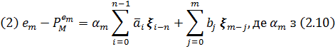
. Тоді в силу (2.1),
(2.8) і (2,10),
Оскільки матриця А має ранг один збурення
, вона може бути легко інверсована за допомогою оберненої
і співвідношення між
і
описаним в (2.1).
Обернена матриця матриці А і інші відповідні результати наведені в наступній
лемі.
Лема 3.3
Доведення леми є простим, тому ми його опустимо.
Доведення теореми 3.1.
Виходячи з (3.3) ми вже вище довели (1).
Використовуючи представлення в (3.2) і визначення
ми маємо
Твердження (2) слідує з леми (3.3) (5), (6). нарешті, ми отримуємо (3)
з (2).
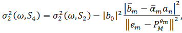
Доведення теореми 3.2.
Використовуючи теорему 3.1 (2) і останню
тотожність в (2.1), ми отримаємо
Звідси отримуємо (1). З (2.6) і (3.1),
Тоді (2) випливає з теореми (3.1), і (3)
виводиться застосуванням теореми (3.1) (2).
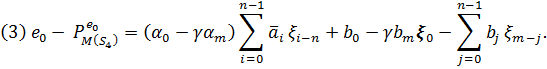
Ця тотожність необхідна для доведення (4). Так
Котре, в силу (3.1) дає
Таким чином
Тепер,
З іншої сторони, з (1)
ми маємо:
Таким чином, ми отримуємо (4), бажану формулу
відстані (2.9).
Звичайно, це являє собою великий інтерес для
обчислення
Для і=0
- й крок проблема
прогнозування була вирішена в [1], [10] з додатковою гіпотезою, що
Для всіх
, де коефіцієнти
визначаються наступним
чином:
Використовуючи цей результат і співвідношення
двоїстості (2.4),
знаходиться в [2]. Здається, цілком імовірно, що
одномірний метод ортогоналізації який використовується в [2, теорема 5], може
бути продовжений до
, а потім за допомогою відношення двоїстості
(2.4), можна також обчислити
. Вздовж цього розширення набору індексів
може знадобитися
припущення про місце нулів
впродовж кількох n, що піднімає питання про
існування нетривіальних вагових функцій
, які задовольняють ці умови.
2. Основні результати
.1 Перевірка гіпотези про двоїстість та ортогоналізацію
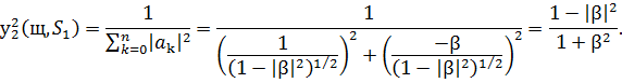
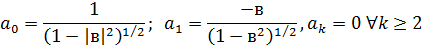
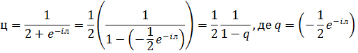
Приклад 1
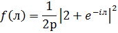
Розглянемо спектральну щільність виду
Маємо
. Звідси можемо одразу
визначити коефіцієнти
:
Для визначення коефіцієнтів
розглянемо розклад виду
тобто перепишемо нашу щільність
Подамо у вигляді суми геометричної прогресії
, звівши до відповідного
вигляду отримаємо
Підставимо у праву частину рівності замість
Тепер легко можна записати коефіцієнти
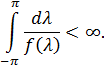
Перевіримо виконання умов

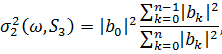
Тепер знайдемо стандартне відхилення для набору
індексів
Для множини
Стандартне відхилення для набору
матиме вигляд
Приклад 2
Розглянемо тепер щільність виду
, а саме
Проведемо ту ж саму процедуру визначення
коефіцієнтів
і
:
:
:
Перевіримо виконання умов
Стандартні відхилення у цьому випадку будуть
Висновок
В даній роботі були розглянуті основні проблеми
та гіпотези задач прогнозу стаціонарних випадкових послідовностей (у широкому
сенсі), спектральний розклад кореляційної функції та спектральне представлення
стаціонарних регулярних послідовностей і. У роботі досліджено задачу пошуку
обґрунтованої загальної індексної множини S, яка проливає світло на труднощі
при обчисленні
для
, розглянуто два приклади
застосувань теорії для гіпотез про двоїстість та ортогонлізацію, а саме дві
спектральні щільності з прямим та оберненим способом відшукання коефіцієнтів
ряду Фур’є, знайдено вирази для знаходження коефіцієнтів
та
, перевірено виконання
умов регулярності, знайдено значення величин стандартних відхилень для наборів
індексів
.
Література
1. S. Cambanis and A.R. Soltani, Prediction of stable processes: Spectral and moving average
representations, Z. Wahrsch. Verw. Gebiete 66 (1984), 593-612. MR0753815
(86g:60054)
. R. Cheng, A.G. Miamee and M. Pourahmadi, Some extremal
problems in
, Proc. Amer. Math. Soc.126 (1998), 2333-2340.
MR1443377 (98j:42003)
. P.L. Duren, Theory of
Spaces, Academic Press, New York, 1970.
MR0268655 (42:3552)
. M. Frank and L. Klotz, A duality method
in prediction theory of multivariate stationary sequences, Math. Nachr.244 (2002),
64-77. MR1928917 (2003m:60105)
. T.W. Gamelin, Uniform Algebras, Prentice-Hall, Englewood Cliffs, N.J., 1969.
MR0410387 (53:14137)
6. L. Klotz and M. Riedel, Some remarks on
duality of stationary sequences, Colloq. Math. 86 (2000), 225-228. MR1899439
(2003b:60050)
. A.N. Kolmogorov, Stationary sequences in a Hilbert space, Bull. Moscow State
University 2 (1941), 1-40.
. A.G. Miamee, On basicity of exponentials in
and general prediction problems,
Period. Math. Hungar. 26 (1993), 115-124. MR1230571 (94k:60066)
. A.G. Miamee and M. Pourahmadi, Best
approximation in
and prediction problems of Szego, Kolmogorov,
Yaglom and Nakazi, J. London Math. Soc. 38 (1988), 133-145. MR0949088
(90g:60042)
. T. Nakazi, Two problems in prediction
theory, Studia Math. 78 (1984), 7-14. MR0766702 (86i:60122)
. T. Nakazi and K. Takahashi,
Predictionnunits of time ahead, Proc. Amer. Math. Soc. 80 (1980), 658-659.
MR0587949 (82b:60041)
. M. Pourahmadi, Taylor expansi on
and some applications,
Amer. Math. Monthly 91 (1984), 303-307. MR0740245 (85e:30003)
. M. Pourahmadi, Two prediction problems
and extensions of a theorem of Szego, Bull. Iranian Math. Soc.19 (1993), 1-12.
MR1289507 (95j:60061)
. M. Pourahmadi, Foundations of Prediction
Theory and Time Series Analysis, John Wiley, New York, 2001. MR1849562
(2002f:62090)
. K. Urbanik, A duality principle for
stationary random sequences, Colloq. Math. 86 (2000), 153-162. MR1808671
(2001j:60072)
. N. Wiener and P.R. Masani, The prediction theory of multivariate stationary processes.II,
Act. Math. 99 (1958), 93-137. MR0097859 (20:4325)
. А.Н. Ширяев, Вероятность, Москва «наука»,
главная редакция физико-математической литературы - 1989