Оценка эффективности управленческих решений
Содержание
Введение
.
Оценка эффективности управленческих решений
.1
Виды эффективности управленческих решений
.2
Эффективность разработки и реализации управленческих решений
.3
Оценка экономической эффективности управленческих решений
.4
Примеры оценки эффективности управленческого решения
.
Обоснование решений на основе методов, моделей, алгоритмов и процедур
экспертного и системного анализа
Заключение
Список
использованной литературы
Введение
Каждый человек непрерывно принимает решения,
делает это в повседневной жизни, в процессе учёбы, творчества, трудовой
деятельности. Управленческие решения принимаются в организации и нацелены на
проведение требуемых изменений внутри неё. Руководители постоянно принимают
какие-либо решения на различных уровнях иерархии своей организации. Все эти
решения отличаются как масштабом изменений, так и сферами приложения усилий по
их реализации и барьерами, возникающими в процессе внесения изменений. Однако
все решения, принимаемые человеком, объединяет одна проблема - проблема выбора.
Достижение целей функционирования хозяйственных
субъектов происходит посредством непрерывного принятия управленческих решений в
сфере инвестиций, производственной деятельности, финансирования. Для того чтобы
управленческие решения способствовали достижению намеченных целей, необходимо
прогнозировать и оценивать их долгосрочные финансовые последствия.
Целью курсовой работы является поиск обоснований
управленческих решений на основе методов, алгоритмов, процедур экспертного и
системного анализа.
Основные задачи исследования: выявить способы
оценки управленческих решений, эффективность их разработки и реализации;
определить ранжированный ряд альтернатив, используя методы экспертного и
системного анализа.
Для решения поставленных задач в работе использованы
метод анализа иерархий Томаса Саати, модифицированный алгоритм Кемени-Снелла,
метод комплексной оценки структур.
В первой главе данной курсовой работы
рассмотрены вопросы оценки эффективности управленческих решений, в частности:
виды эффективности управленческих решений, эффективность разработки и
реализации управленческих решений, а также оценка экономической эффективности
управленческих решений.
Во второй главе представлено обоснование решений
на основе методов, моделей, алгоритмов и процедур экспертного и системного
анализа. В первом задании определён ранжированный список 7 моделей легкового
автомобиля, полученный на основе модифицированного алгоритма Кемени - Снелла.
Во втором задании, базируясь на процедурах скаляризации векторных оценок, методом
комплексной оценки структур определён ранжированный список предприятий отрасли.
1. Оценка эффективности управленческих решений
.1 Виды эффективности управленческих решений
Управленческое решение - творческий акт субъекта
управления, определяющий программу действий по эффективному разрешению проблемы
на основе знания законов и особенности функционирования управляемой системы и
анализа информации о ее состоянии.
Принятие управленческих решений представляет
собой основной инструмент управляющего воздействия, ведь именно в разработке
решений, их принятии, реализации и контроле заключается деятельность всего
аппарата управления.
Оценка эффективности принятия управленческих
решений играет важную роль в деятельности всего предприятия в целом. Она
необходима для дальнейшей работы организации, поскольку, если принятое решение
окажется неэффективным, то и работа всех подразделений будет также
неэффективна. Поэтому на этапе принятия управленческого решения необходимо
проделать большую исследовательскую работу по разработке наилучшего варианта
решения, чтобы в дальнейшем избежать плохой, некачественной и неэффективной
работы.
Можно говорить о двух оценках эффективности
решений: о теоретической (априорной), на основе которой делается обоснованный
выбор альтернативы для реализации, и о фактической (апостериорной)
эффективности решения, определяемой по результатам его реализации.
Специалисты также выделяют два аспекта
эффективности управленческих решений - целевой и затратный. Целевой аспект
выражает меру достижения целей организации, а затратный - экономичность
способов преобразования ресурсов в результаты производства.
Выявление целей организации и характера действий
по их достижению является стратегической задачей, выбор же технологий
преобразования ресурсов в заданные результаты представляет собой задачу
тактическую. В соответствии с этим правомерно называть целевую эффективность
стратегической, а затратную - тактической.
Управленческие решения принимаются практически
во всех видах деятельности организации, поэтому можно говорить о различных
видах эффективности управленческих решений:
. Организационная эффективность управленческих
решений - это результат достижения организационных целей за счет меньших
усилий, меньшего числа работников или меньшего времени.
Выражением организационной эффективности
(организационным результатом) управленческого решения может быть:
− для человека - изменение рабочих
функций, улучшение условий труда, соблюдение правил техники безопасности и
т.п.;
− для компании - оптимизация организационной
структуры, перераспределение рабочих функций, совершенствование системы
стимулирования и оплаты труда, сокращение численности персонала и др.
В результате может быть создан новый отдел,
система стимулирования, группа успешных организаторов производства или
управления, новые правила и инструкции и др.
. Экономическая эффективность управленческих
решений - это соотношение стоимости прибавочного продукта, полученного за счет
реализации конкретного управленческого решения, и затрат на его подготовку и
реализацию. Прибавочный продукт может быть представлен в виде прибыли, снижения
затрат, получения кредитов. Экономическая эффективность связана с реализацией
всех потребностей человека и компании.
. Социальная эффективность управленческих
решений рассматривается как результат достижения социальных целей для большего
количества работников и компании, за более короткое время, меньшим числом
работников. Данная эффективность может выражаться в следующем:
− для человека - возможность участия в
творческом труде, возможность общения, самовыражения и самопроявления;
− для компании - степень удовлетворения
спроса населения (потребителей, заказчиков ) на товары и услуги, снижение
текучести кадров, обеспечение стабильности, развитие организационной культуры.
Результатом может быть хороший социально - психологический климат в
подразделениях, взаимопомощь, позитивные неформальные отношения.
. Технологическая эффективность управленческих
решений - это результат достижения отраслевого, национального или мирового
технического и технологического уровня производства за более короткое время или
с меньшими финансовыми затратами.
Выражением этой эффективности может быть:
− для человека - снижение трудоемкости,
монотонности, напряженности труда, повышение его интеллектуального содержания;
− для компании - внедрение современной
высокопроизводительной техники и технологии, повышение производительности
труда, качества товаров и услуг.
В результате могут быть внедрены современные
приемы творческого труда, повышены конкурентоспособность продукции,
профессионализм персонала.
. Правовая эффективность управленческих решений
оценивается степенью достижения правовых целей организации и персонала за более
короткое время, меньшим числом работников или с меньшими финансовыми затратами.
Эффективность выражается в следующих факторах:
− для человека - обеспечение безопасности,
организации и порядка, правовая защищенность от административного произвола;
− для компании - обеспечение законности,
безопасности и стабильности работы, положительных результатов во
взаимоотношениях с государственными органами и партнерами. Результатом может
быть работа в правовом поле, уменьшение штрафных санкций за правовые нарушения
и т.п.
. Экологическая эффективность управленческих
решений - это результат достижения экологических целей организации и персонала
за более короткое время, меньшим числом работников или с меньшими финансовыми
затратами. Она выражается в следующем:
− для человека - обеспечение безопасности,
охраны здоровья, санитарных норм условий труда (уровень шума, вибрации,
радиоактивности);
− для компании - снижение вредных
воздействий на окружающую среду, повышение экологической безопасности
продукции.
Результатом может быть производство экологически
чистой продукции, благоприятные для человека условия труда, экологически
безопасное производство.
Классификация управленческих решений
) По субъектам принятия решений:
- индивидуальные;
- коллективные (коллегиальные).
) По степени уникальности:
- традиционные (рутинные);
- творческие.
) По степени неопределенности, зависящие
от количества информации:
- детерминированные (определенные
решения);
- вероятностные (решения, принимаемые
в условиях риска);
- неопределенные.
) По методам разработки:
- количественные;
- эвристические.
) По степени формализации проблемы:
- хорошо структурированные;
- слабо структурированные;
- неструктурированные.
.2 Эффективность разработки и реализации
управленческих решений
Оценка эффективности управленческих решений на
стадии разработки и принятия осуществляется с использованием количественных и
качественных показателей, норм и стандартов.
К качественным показателям эффективности
разработки управленческих решений могут быть отнесены:
− своевременность представления проекта
решения;
− степень научной обоснованности решений,
многовариантность расчетов, применение технических средств в процессе
разработки;
− ориентация на изучение и использование
прогрессивного отечественного и зарубежного опыта.
Количественная оценка эффективности
управленческих решений на стадии разработки и принятия во многом затруднена из
- за специфических особенностей управленческого труда, которые заключаются в
следующем:
− управленческий труд, включая разработку
и принятие решений, преимущественно творческий, трудно поддается нормированию и
учету;
− реализация решения сопряжена с
определенными социально-психологическими результатами, количественное выражение
которых еще более затруднительно, чем экономических;
− результаты реализации решений
проявляются опосредованно через деятельность коллектива предприятия в целом, в
котором сложно выделить долю затрат труда управленческого. В итоге
отождествляются результаты труда разработчиков решений и исполнителей, на
которых направлено управленческое воздействие;
− затрудняет оценку эффективности решений
и временной фактор, поскольку их реализация может быть как оперативной
(сиюминутной), так и развернутой во времени (в течение дней, недель, месяцев и
даже лет);
− затруднено и количественное выражение
характеристик качества самих решений как основной предпосылки их эффективности,
а также действий и взаимодействия отдельных работников.
Поэтому на стадии разработки и принятия
управленческого решения можно дать только ориентировочную оценку его
эффективности.
Эффективность управленческого решения зависит не
только от его абсолютной правильности, но и от того, что только будучи
реализовано последовательно и в срок, оно достигнет поставленной цели.
Следовательно, эффективность управленческого решения зависит как от качества
самого решения, так и от качества его осуществления.
В современной управленческой литературе
выражается мнение, что реализовать управленческое решение часто значительно
сложнее, чем его принять. Потенциально менее эффективное решение, в конечном
счете, может оказаться более эффективным при существенном превосходстве в уровне
реализации.
Поэтому очень важно оценить заранее
реализуемость целей и целевых показателей управленческого решения. При оценке
реализуемости должны быть приняты во внимание все существенные факторы внешней
и внутренней среды предприятия с позиций системного подхода.
На реализуемость управленческих решений
существенное влияние оказывают следующие факторы:
− квалификация исполнителей, их деловые и
личностные качества;
− характер мотивации работников;
− ресурсное обеспечение;
− сила сопротивления внутренней и внешней
среды.
Реализация управленческих решений является
сложным, трудоемким и, как правило, длительным процессом, поглощающим массу
времени и ресурсов.
Процесс реализация управленческих решений
состоит из следующих процедур:
− разработка плана реализации решения;
− управление реализацией;
− контроль выполнения решения;
− оценка результатов реализации решения.
В ходе выполнения перечисленных процедур
решаются следующие задачи:
− определение комплекса необходимых
результатов, определение необходимых ресурсов, определение исполнителей,
распределение работ, ресурсов и исполнителей по объектам;
− проведение инструктивно - методических
мероприятий с исполнителями, личное распорядительство в ходе выполнения
решения, оказание помощи исполнителям в случае возникновения трудностей;
− контроль за соблюдением основных
характеристик реализуемого решения, контроль за соблюдением сроков реализации,
выявление причин отклонений в ходе реализации решения, внесение (при
необходимости) изменений в план реализации решения;
− периодическая оценка фактической
эффективности решения, прогнозирование окончания срока эффективного действия
решения, определение необходимости в корректировке действующего или принятии
нового решения, накопление, систематизация опыта и разработка алгоритмов
реализации решений.
Понятие эффективности управленческого решения не
может быть рассмотрено изолированно от его реализации.
Между тем, как свидетельствует практика
управления, далеко не все принимаемые решения реализуются в заданные сроки (по
некоторым данным их удельный вес в общем числе принятых решений, составляет
около 30%). Кроме того, часть реализованных решений не дает ожидаемого
результата, т. е. оказывается недостаточно эффективной. Экспертные оценки самих
руководителей свидетельствуют, что таких решений в их практике не менее 25%.
Каковы же наиболее существенные причины этого явления? Это как дефекты самого
решения, вызываемые неполнотой информации, некомпетентностью ЛПР или
недостатком времени для тщательной разработки альтернатив, так и плохая организация
его выполнения и, прежде всего, несогласованность действий и отсутствие
контроля.
Для обеспечения эффективной реализации
управленческих решений целесообразно придерживаться следующих принципов:
− изменения проводить в соответствии с
разработанной стратегией их осуществления;
− процесс преобразований должен быть не
обвальным, а постепенным для обеспечения плавного перехода от старого к новому,
чтобы иметь резерв времени для выявления и, при необходимости, осуществления
требуемых корректировок;
− учитывать влияние человеческого фактора,
вполне вероятное сопротивление некоторой части персонала грядущим переменам.
Необходимо противопоставить этим людям сторонников изменений, проводить
разъяснительную работу по переориентации "консерваторов";
− проводить политику партнерства с
сотрудниками фирмы, основанную на информированности, поощрении инициативы и
творчества, формировании благоприятного климата, эффективных
"команд", здорового духа соревновательности, пресечении проявлений
бюрократизма.
.3 Оценка экономической эффективности
управленческих решений
Классическое соотношение, позволяющее оценить
экономическую эффективность (Э), имеет вид:
Э=(Стоимость прибавочного продукта/ Затраты на
создание прибавочного продукта)*100%.
Реализованное в виде информации управленческое
решение формирует условия для создания продукции (товара, услуги, информации
или знания). В реализации управленческого решения участвуют, как правило, много
исполнителей и подразделений, которые могут оказать как положительное, так и отрицательное
влияние на конечный результат. Поэтому прямую стоимость прибавочного продукта
(прибыль от реализации управленческого решения) рассчитать затруднительно. А
затраты на подготовку и реализацию управленческого решения можно достаточно
легко определить по калькуляции затрат.
Положительный экономический эффект от
производства и реализации продукции, несомненно, связан с положительным
экономическим эффектом от управленческого решения.
Из известных методов оценки экономической
эффективности управленческих решений чаще используются следующие:
• Оценка эффективности управленческого решения
по экономии затрат на разработку и внедрение;
• Оценка эффективности управленческого решения
по конечным результатам;
• Косвенное сопоставление эффективности
различных вариантов управленческого решения;
• Оценка эффективности управленческого решения
по результатам изменения экономических показателей организации.
Эти методы дают оценочные результаты с
определенной степенью точности. Рассмотрим эти методы.
. Оценка эффективности управленческого решения
по экономии затрат на его разработку и внедрение.
Основными параметрами в этом случае служат
нормативы (временные, ресурсные, финансовые и др.), предварительно
разработанные в организации и определяющие затраты ресурсов для подготовки и
реализации управленческого решения.
Оценка экономической эффективности (Э)
осуществляется по каждому ресурсу, исходя из следующего соотношения:
где
-
норматив затрат i-го ресурса для подготовки и реализации управленческого
решения;
-
реальные затраты i-го ресурса для подготовки и реализации управленческого
решения.
Обработка полученных данных может идти тремя
путями:
) Из всех ресурсов выбирается главный, он и
определяет общую эффективность управленческого решения.
) При равнозначности приоритетов всех m ресурсов
экономическая эффективность рассчитывается по следующему соотношению:
) При неравнозначности приоритетов ресурсов (Пi)
экономическая эффективность рассчитывается по следующему соотношению:
,
. Оценка эффективности управленческого решения
по конечным результатам.
Метод основан на расчете эффективности
производства в целом и выделении из нее фиксированной (статистически
обоснованной) части:
где К - коэффициент, учитывающий долю
эффективности, приходящуюся на управленческое решение (К=0,2 - 0,3); П -
прибыль от реализации продукции, З - затраты на производство продукции.
Этот метод целесообразен для руководителей
компании. Он позволяет обоснованно выделить средства для поощрения работников в
связи с полученной прибылью.
. Косвенное сопоставление различных вариантов
управленческого решения.
Метод основан на сравнении экономических
показателей конечной продукции, полученных от реализации разных управленческих
решений при одинаковом характере производства продукции. Данный метод позволяет
использовать рыночную стоимость произведенной продукции и затраты на ее
производство.
Экономическая эффективность рассчитывается
следующим образом:
где К - коэффициент, учитывающий долю
эффективности, приходящуюся на управленческое решение. Коэффициент К должен
быть статистически обоснован (можно принять К = 0,2 - 0,3); П1 - прибыль от
реализации продукции при первом варианте управленческого решения; П2 - прибыль
от реализации продукции при втором варианте управленческого решения; З1 -
затраты на производство продукции при первом варианте управленческого решения;
З2 - затраты на производство продукции при втором варианте управленческого
решения.
. Оценка эффективности управленческого решения
по результатам изменения экономических показателей работы организации.
Эффект коммерческих решений в общем виде
количественно выражается в приросте объема товарооборота, в ускорении
товарооборачиваемости и в уменьшении объема товарных запасов. Использование
этого метода рассмотрим на примере реализации управленческого решения, в
результате которого увеличился товарооборот:
управленческий
решение альтернатива экспертный
где ЭТ - экономическая эффективность от
увеличения товарооборота;
П - прибыль на 1 млн. руб. товарооборота;
Т - прирост товарооборота в результате внедрения
управленческого решения; ТФ - товарооборот фактический (после внедрения управленческого
решения);
ТП - товарооборот за сопоставимый период до
внедрения управленческого решения;
З - затраты на разработку, реализацию
управленческого решения и хозяйственную деятельность организации.
Значения величин, входящих в формулу, можно определить
на основании данных оперативного учета и бухгалтерских данных организации.
В практике оценки эффективности управленческих
решений используются и другие методы, учитывающие характер принимаемых решений
и конкретные результаты их реализации.
В заключение необходимо отметить, что для
успешной реализации принимаемых решений организация должна иметь механизм их
осуществления, основными задачами которого являются: разработка программы
реализации, руководство реализацией, контроль исполнения, оценка результатов.
Разработка и реализация решений, обеспечивающих
всегда высокую эффективность, очень трудная задача даже для опытных
руководителей.
Не всегда эффект от реализации управленческого
решения соответствует ожидаемому, но, несмотря на это, должно быть постоянное
стремление к максимизации этого эффекта.
.4 Примеры оценки эффективности управленческого
решения
. Руководство организации ОАО "8
МАРТА" приняло управленческое решение, в результате которого увеличился
объём реализации продукции, а также снизились затраты за период. Оценим
относительную экономическую эффективность принятия решения с помощью метода
косвенного сопоставления различных вариантов управленческого решения.
Таблица 1.1- Исходные данные
|
Этап
в работе организации
|
Объём
реализации за период Т, млн. руб.
|
Затраты
за период Т, млн. руб.
|
|
1.
до реализации УР
|
560
|
520
|
|
2.
после реализации УР
|
590
|
510
|
При реализации двух вариантов УР относительную
экономическую эффективность для второго решения можно определить по формуле 6:

Эффективность второго варианта решения выше на
2,4% по сравнению с первым, что говорит о целесообразности принятия
управленческого решения.
. На предприятии ООО "ИМК" требуется
обновить производственное оборудование. Возможны два варианта действий: полное
обновление и частичное обновление оборудования. Проведём оценку
целесообразности двух вариантов принятия решений.
В первом случае требуется полное обновление
оборудования, которое включает в себя замену основного оборудования,
участвующего непосредственно в производстве:
) куттер - 10 млн. руб.;
2) клипсатор (2 шт.) - 2 млн. руб.;
) мешалка - 400 тыс. руб.;
) шприц вакуумный (2 шт.) - 1 570 тыс.
руб.;
) термокамера (6 шт.) - 5 400 тыс. руб.;
) инъектор - 200 тыс. руб.
Итого: 19 570 тыс. руб.
Предприятие не в состоянии выделить эти средства
для замены всего оборудования.
По результатам диагностики, проведённой главным
инженером, выяснилось, что некоторые виды оборудования можно модернизировать.
Например:
) усовершенствование двух клипсаторов - 400
тыс. руб.,
2) мешалки - 150 тыс. руб.,
) термокамер - 600 тыс. руб.
Итого, частичное обновление оборудования,
которое позволит повысить уровень качества, составит 1 150 тыс. руб.
Таким образом, повышение качества продукции
будет достигнуто в обоих случаях, но при реализации управленческого решения
частичного обновления оборудования, в текущем периоде организации сэкономит:
Экономия = 19 570-1150=18420 тыс. руб.
С другой стороны, реализация второго варианта
(по частичному обновлению) эффективна только в краткосрочном периоде. В
долгосрочной перспективе возможно целесообразнее будет выглядеть реализация
первого варианта УР, однако для подтверждения целесообразности варианта полного
обновления оборудования, необходим расчёт ряда других показателей
эффективности, например, снижение риска на производстве, показатели,
характеризующие моральный и физический износ оборудования и др.
. Обоснование решений на основе методов,
моделей, алгоритмов и процедур экспертного и системного анализа
Задание 1.
Определить результирующее ранжирование вариантов
приобретения легкового автомобиля на основе модифицированного алгоритма Кемени
- Снелла. Список критериев (не менее 5) и альтернатив (не менее 7) разработать
самостоятельно.
Решение.
На рассмотрение выбрано семь моделей легкового
автомобиля, ранжирование осуществляем с учётом пяти критериев. Исходные данные
приведены в таблице 2.1.
Таблица 2.1- Исходные данные
|
Audi
A6
|
Mercedes-Benz
A-klasse
|
Skoda
Octavia
|
BMW
3er
|
Lexus
CT
|
Toyota
Camry
|
Volkswagen
Jetta
|
|
1.мощность,
л.с.
|
190
|
122
|
110
|
136
|
99
|
149
|
85
|
|
2.
разгон до 100 км/ч, с
|
7,9
|
8,9
|
10,8
|
8,9
|
10,3
|
10,4
|
13
|
|
3.
пробег на полном баке, км
|
1102
|
877
|
781
|
1091
|
1184
|
972
|
821
|
|
4.
расход топлива, л/100 км
|
7,5
|
7,6
|
8,5
|
7,0
|
3,8
|
10
|
8,9
|
|
5.
цена, млн. бел руб.
|
630
|
376
|
225
|
432
|
489
|
350
|
213
|
Для использования модифицированного алгоритма
Кемени-Снелла определим оценки альтернатив по каждому критерию в отдельности и
веса частных критериев.
Воспользуемся методом анализа иерархий Томаса
Саати. Заполним матрицу парных сравнений с использованием следующей шкалы
оценок:
При заполнении матрицы парных сравнений
допускается использование промежуточных оценок: 2, 4, 6, 8. Этой процедуре
свойственна обратная симметричность: интенсивность предпочтения альтернативы ai
над ak обратна интенсивности предпочтения ak над ai, например, 3 и 1/3.
Для определения весов критериев и оценки
значимости альтернатив по каждому критерию по данным заполненной матрицы парных
сравнений находятся средние геометрические по каждой строке матрицы, которые
затем нормализуются.
Таблица 2.2- Матрица парных сравнений
|
{Kj}
|
K1
|
K2
|
K3
|
K4
|
K5
|
среднее
геометр.
|
wj
|
|
K1
|
1
|
4
|
1/5
|
1/7
|
1/8
|
1,09
|
0,081
|
|
K2
|
1/4
|
1
|
1/6
|
1/8
|
1/9
|
0,33
|
0,024
|
|
K3
|
5
|
6
|
1
|
3
|
1/5
|
3,04
|
0,224
|
|
K4
|
7
|
8
|
1/3
|
1
|
1/6
|
3,30
|
0,243
|
|
K5
|
8
|
9
|
5
|
6
|
1
|
5,80
|
0,428
|
|
∑
|
21,25
|
28,00
|
6,70
|
10,27
|
1,60
|
13,56
|
1,000
|
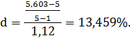
Оценка степени согласованности при заполнении
матриц парных сравнений производится по формуле:
(1)
где n - количество сравниваемых объектов;
В - коэффициент, определяемый следующим образом:
суммируются оценки по каждому столбцу матрицы, затем сумма каждого столбца
умножается на полученный вес (оценку приоритета), после чего полученные
значения суммируются;
с - эмпирическая величина (с = 1,12).
В=21,25×0,081+28×0,024+6,7×0,224+10,27×0,243+1,6×0,428=5,603.
Так как степень согласованности
<
20%, то достигнута приемлемая степень согласия.
Таблица 2.3- Матрица частных ранжирований
|
{Kj}
|
wj
|
{Ai}
|
|
|
A1
|
A2
|
A3
|
A4
|
A5
|
A6
|
A7
|
|
K1
|
0,081
|
1
|
5
|
5
|
4
|
6
|
3
|
7
|
|
K2
|
0,024
|
1
|
2
|
4
|
2
|
3
|
3
|
6
|
|
K3
|
0,224
|
3
|
5
|
7
|
3
|
1
|
4
|
6
|
|
K4
|
0,243
|
5
|
5
|
4
|
1
|
7
|
6
|
|
K5
|
0,428
|
7
|
4
|
2
|
5
|
6
|
3
|
1
|
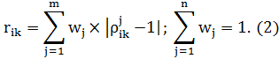
этап. На основе исходной информации определим
матрицы бинарных предпочтений по каждому частному критерию с оценками:
i,k=1,n; j=1,m.
|
|
A1
|
A2
|
A3
|
A4
|
A5
|
A6
|
A7
|
|
A1
|
|
+1
|
+1
|
+1
|
+1
|
+1
|
+1
|
|
A2
|
-1
|
|
0
|
-1
|
+1
|
-1
|
+1
|
|
A3
|
-1
|
0
|
|
-1
|
+1
|
-1
|
+1
|
|
A4
|
-1
|
+1
|
+1
|
|
+1
|
-1
|
+1
|
|
A5
|
-1
|
-1
|
-1
|
-1
|
|
-1
|
+1
|
|
A6
|
-1
|
+1
|
+1
|
+1
|
+1
|
|
+1
|
|
A7
|
-1
|
-1
|
-1
|
-1
|
-1
|
-1
|
|
|
|
A1
|
A2
|
A3
|
A4
|
A5
|
A6
|
A7
|
|
A1
|
|
+1
|
+1
|
+1
|
+1
|
+1
|
+1
|
|
A2
|
-1
|
|
+1
|
0
|
+1
|
+1
|
+1
|
|
A3
|
-1
|
-1
|
|
-1
|
+1
|
+1
|
+1
|
|
A4
|
-1
|
0
|
+1
|
|
+1
|
+1
|
+1
|
|
A5
|
-1
|
-1
|
-1
|
-1
|
|
0
|
+1
|
|
A6
|
-1
|
-1
|
-1
|
-1
|
0
|
|
+1
|
|
A7
|
-1
|
-1
|
-1
|
-1
|
-1
|
-1
|
|
|
|
A1
|
A2
|
A3
|
A4
|
A5
|
A6
|
A7
|
|
A1
|
|
+1
|
+1
|
0
|
-1
|
+1
|
+1
|
|
A2
|
-1
|
|
+1
|
-1
|
-1
|
-1
|
+1
|
|
A3
|
-1
|
-1
|
|
-1
|
-1
|
-1
|
-1
|
|
A4
|
0
|
+1
|
+1
|
|
-1
|
+1
|
+1
|
|
A5
|
+1
|
+1
|
+1
|
+1
|
|
+1
|
+1
|
|
A6
|
-1
|
+1
|
+1
|
-1
|
-1
|
|
+1
|
|
A7
|
-1
|
-1
|
+1
|
-1
|
-1
|
-1
|
|
|
|
A1
|
A2
|
A3
|
A4
|
A5
|
A6
|
A7
|
|
A1
|
|
0
|
+1
|
-1
|
-1
|
+1
|
+1
|
|
A2
|
0
|
|
+1
|
-1
|
-1
|
+1
|
+1
|
|
A3
|
-1
|
-1
|
|
-1
|
-1
|
+1
|
0
|
|
A4
|
+1
|
+1
|
+1
|
|
-1
|
+1
|
+1
|
|
A5
|
+1
|
+1
|
+1
|
+1
|
|
+1
|
+1
|
|
A6
|
-1
|
-1
|
-1
|
-1
|
-1
|
|
-1
|
|
A7
|
-1
|
-1
|
0
|
-1
|
-1
|
+1
|
|
|
|
A1
|
A2
|
A3
|
A4
|
A5
|
A6
|
A7
|
|
A1
|
|
-1
|
-1
|
-1
|
-1
|
-1
|
-1
|
|
A2
|
+1
|
|
-1
|
+1
|
+1
|
-1
|
-1
|
|
A3
|
+1
|
+1
|
|
+1
|
+1
|
+1
|
-1
|
|
A4
|
+1
|
-1
|
-1
|
|
+1
|
-1
|
-1
|
|
A5
|
+1
|
-1
|
-1
|
-1
|
|
-1
|
-1
|
|
A6
|
+1
|
+1
|
-1
|
+1
|
+1
|
|
-1
|
|
A7
|
+1
|
+1
|
+1
|
+1
|
+1
|
+1
|
|
этап. Определяем матрицу потерь с оценками:
Таблица 2.4- Матрица потерь
|
|
A1
|
A2
|
A3
|
A4
|
A5
|
A6
|
A7
|
S
|
|
A1
|
|
1,099
|
0,856
|
1,566
|
1,790
|
0,856
|
0,856
|
7,023
|
|
A2
|
0,901
|
|
0,937
|
1,120
|
0,934
|
1,466
|
0,856
|
6,214
|
|
A3
|
1,144
|
1,063
|
|
1,144
|
0,934
|
0,610
|
1,547
|
6,442
|
|
A4
|
0,434
|
0,880
|
0,856
|
|
0,934
|
1,018
|
0,856
|
4,978
|
|
A5
|
0,210
|
1,066
|
1,066
|
|
1,042
|
0,856
|
5,306
|
|
A6
|
1,144
|
0,534
|
1,390
|
0,982
|
0,958
|
|
1,342
|
6,350
|
|
A7
|
1,144
|
1,144
|
0,453
|
1,144
|
1,144
|
0,658
|
|
5,687
|
этап. Выполним обработку матрицы потерь в
несколько вычислительных циклов. В каждом цикле вычислим суммарные оценки
потерь альтернатив (находим суммы по сторонам матрицы), находится альтернатива
с минимальной суммой, которая удаляется из матрицы потерь.
|
Цикл
вычислений
|
1
|
2
|
3
|
4
|
5
|
6
|
7
|
|
A1
|
7,023
|
7,023
|
5,924
|
5,068
|
3,502
|
1,712
|
-
|
|
A2
|
6,214
|
5,313
|
5,313
|
4,376
|
3,256
|
2,322
|
0
|
|
A3
|
6,442
|
5,298
|
4,235
|
4,235
|
3,091
|
-
|
-
|
|
A4
|
4,978
|
-
|
-
|
-
|
-
|
-
|
-
|
|
A5
|
5,306
|
5,096
|
4,030
|
-
|
-
|
-
|
-
|
|
A6
|
6,350
|
5,206
|
4,672
|
3,282
|
-
|
-
|
-
|
|
A7
|
5,687
|
4,543
|
-
|
-
|
-
|
-
|
-
|
этап. Найдём предварительное ранжирование
альтернатив, определяемое в соответствии с порядком их удаления из матрицы
потерь.
A4, A7, A5, A6, A3, A1, A2.
этап. В
полученном предварительном ранжировании альтернатив, начиная с конца списка,
последовательно рассмотрим пары альтернатив и проверим выполнение условия: если
≤
,
то альтернативы остаются на своих местах, иначе - меняются местами.
Так как
,
то альтернативы 1 и 2 меняются местами.
Так как
,
то альтернативы 3 и 2 меняются местами.
Так как
<
,
то альтернативы 6 и 2 остаются на своих местах.
Так как
,
то альтернативы 5 и 6 меняются местами.
Так как
<
,
то альтернативы 7 и 6 остаются на своих местах.
Так как
<
,
то альтернативы 5 и 1 остаются на своих местах.
этап. Альтернативы в результате проверки
остались на своих местах, поэтому результирующее ранжирование имеет вид:
A4 (BMW 3er), A7 (Volkswagen Jetta),
A6 (Toyota Camry), A5 (Lexus CT), A2 (Mercedes-Benz A-klasse), A3 (Skoda
Octavia), A1 (Audi A6).
Задание 2.
Выполняется анализ производственной деятельности
6 предприятий отрасли:
|
Критерии
оценки результатов производства и финансового состояния
|
Вес
критерия
|
Условный
код предприятия
|
|
|
1
|
2
|
3
|
4
|
5
|
6
|
|
Запас
безубыточности, %
|
0,3
|
30
|
25
|
52
|
40
|
22
|
30
|
|
Коэффициент
ликвидности
|
0,1
|
1,8
|
2
|
1,5
|
1,7
|
1,4
|
1,6
|
|
Коэффициент
оборачиваемости
|
0,1
|
3,2
|
2,5
|
2,8
|
2,2
|
2,7
|
3,5
|
|
Рентабельность
продаж, %
|
0,2
|
25
|
30
|
35
|
33
|
24
|
20
|
|
Рентабельность
капитала, %
|
0,2
|
22
|
26
|
25
|
38
|
16
|
21
|
|
Коэффициент
финансовой независимости
|
0,05
|
0,75
|
0,62
|
0,55
|
0,68
|
0,58
|
0,72
|
|
Доля
собственного оборотного капитала в сумме текущих активов, %
|
0,05
|
16
|
26
|
25
|
30
|
5
|
35
|
Определить ранжированный список предприятий,
базируясь на процедурах скаляризации векторных оценок методом комплексной
оценки структур.
этап. Определение безразмерных векторных оценок.
Для избежания разной размерности оценок по
критериям все векторные оценки нужно заключить в один диапазон. Чаще всего это
универсальный диапазон оценок от 0 до 1 с использованием в качестве квант
максимальных значений оценок по каждому критерию.
Таблица 2.5 - Матрица безразмерных векторных
оценок
|
{Kj}
|
Кванты
|
|
|
|
S1
|
S2
|
S3
|
S4
|
S5
|
S6
|
|
K1
|
52
|
0,5769
|
0,4808
|
1
|
0,7692
|
0,4231
|
0,5769
|
|
K2
|
2
|
0,9
|
1
|
0,75
|
0,85
|
0,7
|
0,8
|
|
K3
|
3,5
|
0,9143
|
0,7143
|
0,8
|
0,6286
|
0,7714
|
1
|
|
K4
|
35
|
0,7143
|
0,8571
|
1
|
0,9429
|
0,6857
|
0,5714
|
|
K5
|
38
|
0,5789
|
0,6842
|
0,6579
|
1
|
0,4211
|
0,5526
|
|
K6
|
0,75
|
1
|
0,8267
|
0,7333
|
0,9067
|
0,7733
|
0,96
|
|
K7
|
35
|
0,4571
|
0,7429
|
0,7143
|
0,8571
|
0,1429
|
1
|
этап. Расчёт взвешенных векторных оценок.
Безразмерные оценки, полученные на первом этапе,
умножаются на веса соответствующих критериев и отображаются в матрице.
Таблица 2.6 - Матрица взвешенных векторных
оценок
|
{Kj}
|
направление
экстремума
|
wj
|
|
|
|
|
S1
|
S2
|
S3
|
S4
|
S5
|
S6
|
|
K1
|
max
|
0,3
|
0,1731
|
0,1442
|
0,3
|
0,2308
|
0,1269
|
0,1731
|
|
K2
|
max
|
0,1
|
0,09
|
0,1
|
0,075
|
0,085
|
0,07
|
0,08
|
|
K3
|
max
|
0,1
|
0,0914
|
0,0714
|
0,08
|
0,0629
|
0,0771
|
0,1
|
|
K4
|
max
|
0,2
|
0,1429
|
0,1714
|
0,2
|
0,1886
|
0,1371
|
0,1143
|
|
K5
|
max
|
0,2
|
0,1158
|
0,1368
|
0,1316
|
0,2
|
0,0842
|
0,1105
|
|
K6
|
max
|
0,05
|
0,05
|
0,0413
|
0,0367
|
0,0453
|
0,0387
|
0,048
|
|
K7
|
max
|
0,05
|
0,0229
|
0,0371
|
0,0357
|
0,0429
|
0,0071
|
0,05
|
этап. Расчёт обобщающих скалярных оценок
конкурирующих структур.
Свертка векторных оценок в обобщенную
производится с учетом направлений оптимизации по критериям
q1
=0,1731+0,09+0,0914+0,1429+0,1158+0,05+0,0229=0,6861=0,1442+0,1+0,0714+0,1714+0,1368+0,0413+0,0371=0,7022=0,3+0,075+0,08+0,2+0,1316+0,0367+0,0357=0,859=0,2308+0,085+0,0629+0,1886+0,2+0,0453+0,0429=0,8555=0,1269+0,07+0,0771+0,1371+0,0842+0,0387+0,0071=0,5411=0,1731+0,08+0,1+0,1143+0,1105+0,048+0,05=0,6759
По принципу максимума обобщающей скалярной
оценки можно выбрать лучшую альтернативу (предприятие с самыми высокими
показателями производства и лучшими показателями финансового состояния):
Базируясь на процедурах скаляризации векторных оценок
методом комплексной оценки структур определён ранжированный список предприятий
отрасли:
S3, S4, S2, S1, S6, S5.
Заключение
В соответствии с поставленной целью и задачами
исследования в курсовой работе получены следующие основные результаты.
. Для успешной реализации принимаемых решений
организация должна иметь механизм их осуществления, основными задачами которого
являются: разработка программы реализации, руководство реализацией, контроль
исполнения, оценка результатов.
Разработка и реализация решений, обеспечивающих
всегда высокую эффективность, очень трудная задача даже для опытных
руководителей.
Не всегда эффект от реализации управленческого
решения соответствует ожидаемому, но, несмотря на это, должно быть постоянное
стремление к максимизации этого эффекта.
. Оценка эффективности принятия решения может
быть теоретической (априорной), на основе которой делается обоснованный выбор
альтернативы для реализации, или фактической (апостериорной), определяемой по
результатам его реализации.
. Определены основные методы оценки
экономической эффективности управленческих решений: оценка эффективности
управленческого решения по экономии затрат на разработку и внедрение; оценка
эффективности управленческого решения по конечным результатам; косвенное сопоставление
эффективности различных вариантов управленческого решения; оценка эффективности
управленческого решения по результатам изменения экономических показателей
организации.
. На основе модифицированного метода
Кемени-Снелла определён оптимальный вариант приобретения легкового автомобиля -
Mazda 6, а также ранжированный список альтернатив: BMW 3er, Volkswagen Jetta,
Toyota Camry, Lexus CT, Mercedes-Benz A-klasse, Skoda Octavia, Audi A6.
. Базируясь на процедурах скаляризации векторных
оценок методом комплексной оценки структур, определено ведущее предприятие
отрасли - №3, а также определён ранжированный список предприятий: №3, №4, №2,
№1, №6, №5.
Список использованной литературы
1.
Афоничкин А.И. Управленческие решения в экономических системах: Учебник для
вузов / А.И. Афоничкин, Д.Г. Михаленко. - СПб: Питер, 2009. - 480 с.
.
Балдин К.В. Управленческие решения: Учебник / К.В. Балдин, С.Н. Воробьев, В.Б.
Уткин. - М.: Издательско-торговая корпорация "Дашков и Ко", 2008. -
496 с.
.
Голубков Е.П. Технология принятия управленческих решений / Е.П. Голубков. - М.:
Дело и сервис, 2005.
.
Евланов Л.Г. Теория и практика принятия решений / Л.Г. Евланов. - М.:
Экономика, 1984.
.
Евланов Л.Г. Экспертные оценки в управлении / Л.Г. Евланов, В.А. Кутузов. - М.:
Экономика, 2006. - 231 с.
.
Карпов А.В. Психология принятия управленческих решений / А.В. Карпов. - М.:
Юристъ, 1998. - 440 с.
.
Литвак Б.Г. Великие управленцы: Практические занятия по управлению.
Мастер-класс / Б.Г. Литвак. - М.: ЗАО "Издательство "Экономика",
2003. - 527 с.