Экономика, организация и планирование в путевом хозяйстве

  • Вид работы:
    Курсовая работа (т)
  • Предмет:
    Эктеория
  • Язык:
    Русский
    ,
    Формат файла:
    MS Word
    33,85 Кб
  • Опубликовано:
    2016-06-07
Вы можете узнать стоимость помощи в написании студенческой работы.
Помощь в написании работы, которую точно примут!

Экономика, организация и планирование в путевом хозяйстве

Узловский железнодорожный техникум-филиал МИИТ









КУРСОВАЯ РАБОТА

по дисциплине: Междисциплинарный комплекс 04.01 (МДК 04.01)

Тема:

Экономика, организация и планирование в путевом хозяйстве



Выполнил Шершнев С.Г.

студент гр. УЗПХ 451

Руководитель Ульянкина Н.Н.





2016

Содержание

Введение

Раздел 1. Характеристика заданного линейного участка

Раздел 2. Расчёт численности работников, занятых на текущем содержании пути

Раздел 3. Выбор формы организационной структуры

Раздел 4. Организация заработной платы согласно положения об оплате

Раздел 5. Определение состава бригады по разрядам

Раздел 6. Расчет и корректировка фонда заработной платы подрядной бригады по итогам работы за месяц

Раздел 7. Распределение суммы фонда оплаты труда между работниками участка

Раздел 8. Выполнения работ по текущему содержанию пути, оценка состояния пути и путевых устройств

Введение

Транспорт одна из отраслей народного хозяйства и одного из необходимых общих условий производства. В многоотраслевой системе железнодорожного транспорта, одно из ведущих мест принадлежит путевому хозяйству, к которому относится железнодорожный путь с многочисленными его сооружениями и обустройствами, комплекс хозяйственных предприятий и производственных формирований.

Путевое хозяйство призвано обеспечивать бесперебойное и безопасное движение поездов с установленными скоростями. Высококачественное текущее содержание железнодорожного пути и всех его сооружений, современный ремонт является частью всего перевозочного процесса.

Непрерывно возрастающий объём перевозок, грузонапряженность и скорость движения поездов на железной дороге, требуют внедрение более прогрессивных конструкций пути, совершенствования организации и технологии работ текущего содержания и ремонта пути.

Железнодорожный транспорт - глубоко интегрированная отрасль, в которой перевозка каждой отправки, каждого пассажира требует скоординированных действий всех хозяйств.

Железнодорожный транспорт является сложной производственной системой, представляющий собой совокупность средств производства, техники, технологии и рабочей силы, является объектом изучения технических и экономических наук, основная задача которой заключается в обеспечении платёжеспособного спроса на перевозки и его рентабельном функционировании в экономике страны.

Экономика железнодорожного транспорта изучает транспорт с точки зрения производственных отношений, возникающих в процессе производства, ориентируясь на главную производительную силу - человека.

Переход на и более экономичные и прогрессивные технологии, существенное повышение эффективности производства, приведение технического потенциала отрасли в полное соответствие с потребностями страны в пределах - основные направления работы железнодорожного транспорта в условиях рыночной экономики.

В рыночных условиях планирование деятельности железнодорожного транспорта должно основываться на маркетинговых подходах, обеспечивать сбалансированность издержек с доходными поступлениями и концентрацию средств на решении приоритетных задач.

Экономика железнодорожного транспорта и составляющих его отраслей (в том числе и путевого хозяйства) исследует характер и численную меру взаимосвязей между экономическими, эксплуатационно-техническими, техническими и социально-психологическими факторами транспортного производства; определяет характер и меру влияния на производительность труда, прибыль и себестоимость, на рентабельность и фондоёмкость перевозок таких факторов, как рост объёма перевозок и изменение их структуры, применение новейших технологий, сокращение простоя подвижного состава, уровень технического оснащения и т.п.

Экономика путевого хозяйства включает вопросы организации и планирования работы путейских предприятий (управление хозяйством, планирование капитальных вложений и расчета техническо-экономической эффективности внедрения новой техники и новых технологий, прогрессивных форм организации труда), вопросы производственно-хозяйственной и финансовой деятельности; труда и заработной платы и т.д.

Экономика путевого хозяйства помогает ответить на вопрос, как при наименьших издержках обеспечить надлежащее состояние железнодорожного пути, как эффективно удовлетворить потребности народного хозяйства в перевозках в части, зависящей от путевого хозяйства.


Раздел 1. Заданный участок состоит из главных и станционных путей

1. Главный путь является двухпутным

2.      Эксплуатационная длина 12 км

.        Путь является звеньевым, рельсы типа Р65, балласт щебневой

.        Класс, группа и категория пути 2Б3

.        Грузонапряженность 40млн. т.км. бр. /км. в год

.        Станционные пути имеют 3-ю категорию

.        Конструкция станционных путей звеньевой, рельсы типа Р65, балласт щебневой

.        Развернутая длина пути 50 км

.        Стрелочные переводы централизованные, категория пути 3-я

.        Грузонапряженность 20 млн.т. км.бр. /км. в год

.        Тип Р65, 80 штук

.        Протяженность участка пути с интенсивным пригородным движением по одному пути - 4,5 км. Коэффициент на условия эксплуатации - 1,1

.        На дистанции пути отремонтировано 7км пути с глубокой очисткой щебня и реконструкцией балластной призмы. Коэффициент на условия эксплуатации 2

.        Стрелочные переводы, комплектации:

- централизованные 15

нецентрализованные 1

в том числе:

перекрестные 1

марки 1/18 1

.   Имеется участок пути с пропущенным тоннажем сверх установленного 400млн.т.км. бр. На протяжённости 8км. коэффициент на условия эксплуатации - 1,23

16.    Соблюдены сроки шлифовки рельсов 3км. коэффициент на условия эксплуатации - 0,85

.        Имеется мост длиной 75 м. общая длина с учетом подходов к нему 0,400км. коэффициент на условия эксплуатации - 1,05

.        Имеются стрелочные переводы марки 1/18. Коэффициент на условия эксплуатации - 1,45

.        Звеньевой путь с рельсами типа Р50 на щебеночном балласте протяженностью 80км. Коэффициент на условия эксплуатации - 1,15

.        Звеньевой путь с рельсами типа Р50 на щебеночном балласте 30км. Коэффициент на условия эксплуатации - 1,25

.        Охраняемых объектов:

- круглосуточно1 шт

в две смены 2 шт

Раздел 2. Расчёт численности работников, занятых на текущем содержании пути

Нормы затрат труда работников, занятых на текущем содержании пути утверждённое приказом ОАО «РЖД» №136 от 09.07.2009г и дополненное приказом ОАО «РЖД» №200 от 03.12.2010г «Нормы затрат труда работников, занятых на текущем содержании железнодорожном пути». Составлено для основной широко применяемой конструкции железнодорожного пути тип рельсов Р65, балласт щебёночный, длина рельсов 25м и плетей без стыкового пути до 900м, шпалы деревянные и железобетонные.

Для главных путей нормы разработаны в зависимости от вида ремонтных схем (нормы периодичности ремонта пути) и грузонапряжённости линий. В таблицах 1А и 2А приказ №200 представлены нормы для главных путей звеньевой и без стыковой конструкции для ремонтных схем, зависящих от срока эксплуатации, а в таблицах 16 и 26 для ремонтных схем, зависящих от срока, пропущенного тоннажа. Для приема отправочных путей станционных и прочих путей, стрелочных переводов нормы затрат приведены в таблицах 3, 4 и 5 приказа ОАО «РЖД» №200 соответственно.

Для всех других конструкций пути и условий эксплуатации разработаны поправочные коэффициенты и нормы затрат труда работников, занятых на текущем содержании пути приведены в таблице 6 «поправочные коэффициенты к нормам затрат труда работников, занятых на текущем содержании железнодорожного пути» Приказ ОАО «РЖД» №200 от 03.12.2010г.

Для учета размера труда снижения затрата труда при работе машин на текущем содержании содержания пути применяются «нормативы снижения численности работников, занятых на текущем содержании пути при применении машин». Приведённую в таблице №7 ОАО «РЖД» №200 от 03.12.2010г.

В общем виде расчет затрат труда производится на основе норм и коэффициентов на условия эксплуатации с учетом снижения численности от применения машин по формуле 1.

R = P-Pc;

где, P - общий контингент (суммарная численность монтер пути по участку)

Pc- величина снижения численности от применения путевых машин.

Суммарная численности монтеров пути для текущего содержания главный станционных путей. Стрелочных переводов определяется по формуле 2:

P = Pгл* Кэ.гл + Pст*Kэ.ст + Pстр* Кэ.стр;

где, Pгл;Pст- численности монтёров пути обслуживающих конкретных главных станционных и прочих путей (человек)

Pстр - численность монтеров пути обслуживающих стрелочные переводы конкретные типы (централизованные и нецентрализованные) (человек)

Кэ.гл; Kэ.стэ.стр - средне взвешенный коэффициент условие эксплуатации главных станционных, прочих путей и стрелочных переводов.

Величина средне взвешенного поправочного коэффициента рассчитывается в соответствии с нормативами приказа ОАО «РЖД» №200 по формуле 3

Кэ =  + 1;

где, Li развернутая длина участка с индивидуальными эксплуатационными условиями в KM (количество стрелочных переводов, шт.)

Ki - величина поправочного коэффициента для конкретного участка

Liоб - общая развернутая длина участка (общее количество стрелочных переводов.

Расчетная численность работников для главных путей Pглстанционных и прочих Pст с учетом условий эксплуатации определяется по формуле 4

Pгл(ст) = N * Lгл (ст);

где, N - нормы затрата труда, человек/год

Lгл (ст) - развернутая длина конкретного участка пути, км.

Расчет численности работников для стрелочных переводов определяется по формуле 5:

Pстр = N * ni;

где, ni- количество стрелочных переводов, шт.

.   Выбираем ремонтную схему в соответствии с ТУ ЦПТ - 53 (виды путевых работ и периодичность их выполнения).

Для класса группы и категории звеньевого пути 4Г5, рельсы типа Р65, щебень. Применяется следующая схема К, В, В, С, В, П, К;

где, П - подъёмочный ремонт, УК - усиленный капитальный ремонт,

В - планово-предупредительная выправка с применением машин,

С - средний ремонт пути.

В соответствии с таблицей 5.1 нормативный срок межремонтного цикла составляет 1 раз в 20 лет, то есть данная схема путевых работ зависит от количества лет.

.   Расчет затрат труда работников при работе с ручным инструментом и средствами малой механизации.

.1 Рассчитываем численность монтёров пути для главных путей:

Ргл = Nгл * Lгл;

Ргл= 24 * 0,403 = 9.672чел.

Где, Lгл= 12*1 = 24 км - развернутая длина главных путей

Nгл. = 0,403

.2 Рассчитываем численность монтёров пути для станционных путей:

Рст = Nст * Lст;

Рст = 50* 0.407 = 20,93 чел.

Где, Lcт = 50 км - развернутая длина главных путей

Ncт = 0,407

.3 Рассчитываем численность монтёров пути для станционных путей:

Рстр= Nстр *ni

Рстр = 15 * 0,183 = 2.745 чел.

Где, Nстр= 0,183 млн. т.бр. /км в год - Нормы затрат труда для централизованных стрелочных переводов типа Р65 марки 1/9 и 1/11 на главных путях, брусья деревянные.

ni = 20 шт. - количество стрелочных переводов

.4 При заданной грузонапряженности 15 млн.т.бр. /км в год коэффициент 1,15 учитывает наличие железобетонного основания на главных путях при наличии болтовых стыков:

Рстр.ц = Рстр* К

Рстр.ц = 15 * 0,183 = 2.745 чел.

Где, Рстр =3,66 чел. - численность монтёров пути для стрелочных переводов

К = 1,15 - коэффициент

.5 Нормы затрат труда для нецентрализованных стрелочных переводов.

Рстр.нц = Nстр.нц * ni

Рстр.нц = 0,75 * 0,176 * 1 = 0,132 чел.

Рстр.общ = Рстстр.нц

Рстр.общ = 3.157+ 0.132= 3.289чел.

.5 Рассчитываем средневзвешенные поправочные коэффициенты для главных путей:

Кэ = 1+

Кэ= 1 += = 1,079

.6 Рассчитываем средневзвешенные поправочные коэффициенты для станционных путей.

Кэ.ст = 1

.7 Рассчитываем средневзвешенные поправочные коэффициенты для стрелочных переводов:

Кэ.стр = 1+

Кэ.стр = 1+  =1,075

.8 Общий контингент (численность монтёров пути по участку пути):

Робщ = Ргл* Кэ.гл+ Рст* Кэ.ст+ Рстр* Кэ.стр

Робщ = 9.672* 1,079 + 20.93 * 1 + 3,289 * 1,075 = 34.901 чел.

. Расчёт снижения расчётного контингентного монтёра пути при применении путевых машин на текущем содержании пути.

При применении на текущем содержании пути путевых машин контингент монтёров пути Робщ снижается на величину Рс определяемую по формуле:

Рс=  *Вг;

Где, С - норматив снижения численности монтёров пути от применения машины, таблице 7 человек/год на 1км развернутой длины пути (стрелочного перевода);

Вг - нормативный годовой объём ремонта работ, выполняемый 1-й или группой машин 1-го типа, измеряемый в км или количестве стрелочных переводов.

По заданию: годовой объём работы машины ДОУМАТИК - 9м.

годовой объём работы машины ПМГ - 12км.

годовой объём работы машины УНИМАТ - 8 стрелочных переводов.

Норматив снижения численности от применения машин, таблицы 7 приказа №200. Машины ДОУМАТИК - 0,22 чел. год/км, машин ПМГ - 0,19 чел. год/км, машины УНИМАТ - 0,02 чел. год/стр. пер.

Рс = СДОУ * Вг ДОУ + СПМГ * ВПМГ + СУНИ * ВУНИ

Рс = 0,22 * 9 + 0,19 * 12 + 8* 0,02 = 4.42чел.

Таким образом, численность монтёров пути участка при применении путевых машин (расчетный контингент) составит:

Ррас = Робщ - Рс

Ррас = 28,121 - 0,917 = 27,204 чел.

Определяем машинальный контингент монтёров пути:

Рmin =

Рmin= =27.215 чел.

Где, 1,12 - коэффициент, учитывающий отчисления средств для оплаты труда за время очередных отпусков и выполнения общественных обязанностей.

Ряв Рmin = 27 чел.

Раздел 3. Выбор формы организационной структуры

В соответствии концепции реформирования организационной структуры путевого комплекса с 2001 г.

Реформа проводится в 3 этапа:

)   2001/2002 г.

2)      2003/2005 г.

)        2005/2010 г.

Дистанция пути остается основным подразделение по текущему содержанию пути основу которого составляют надзор за его состоянием и выполнение неотложных и первоочередных работ.

Основным структурным подразделением ПЧ является укрепленный участок без на рабочие отделения и околотки под руководством начальника участка (ПЧУ). При наличии крупных станций для их обслуживания в зависимости от местных условий могут быть сохранены рабочие отделения или созданные специализированные бригады.

На однопутных линиях длина участка должна составлять в зависимости от состояния пути и местных условий 70-90 км, на двухпутных она может быть увеличена от 120-150 км развернутой длины главных путей.

В зону обслуживания ПЧУ должно входить, как правило, не более одной участковой или грузовой станции, при наличии сортировочных, пассажирских и крупных грузовых станций, организуется отдельных эксплуатационный участок. На участках главных и подъездных путей на деревянных шпалах с уровнем дефектности более 7%, сохраняется на железобетонном под рельсовым основанием рабочего отделения, при необходимости и околотки. При этом возможно следующее организационные структуры эксплуатационных участках:

Структура 1, перегонная, при которой в эксплуатационные участки входят промежуточные станции.

Структура 2, перегонная с участковой или грузовой станцией. В отношении перегона это организационная структура такая же, как и первая, на участковой станции могут организовываться специализированные бригады по содержанию стрелочных переводов рельсовых цепей.

Структура 3, станционная так же, как и структуре 2, организация специальной бригады.

Для разработки формы, схемы, обслуживания объектов инфраструктуры хозяйства пути на заданном участке с учетом его технической характеристики и так же планировании важнейшей составляющей эксплуатационных расходов участка фонда заработной платы работников по текущему содержанию пути, необходимы обоснованные цифры численности работников по текущему содержанию пути.

В настоящее время система обслуживания объектов инфраструктуры хозяйства пути и сооружений на участке с различной интенсивностью движения поездов, порядок взаимодействия работников структурных подразделений хозяйств инфраструктур железнодорожных и финансов ОАО «РЖД», определяется регламентов [4].

В соответствии с технологией и порядком, разработанным в «типовом регламенте», обслуживания объектов инфраструктуры путевого участка с различной интенсивностью движения поездов производится следующими тремя бригадами:

бригады по промерам и осмотру железнодорожного пути (бригада №1); эта бригада находится в прямом подчинении начальника дистанции пути;

бригадой планово предупредительным работам (ППР) и текущему содержанию пути (бригада №2); эта бригада находится в подчинении заместителя начальника дистанции пути по текущему содержанию;

бригады по неотложным работам (бригада №3); эта бригада находится в подчинении начальника участка и главного инженера дистанции пути по текущему содержанию.

Подразделение бригады и отдельные работники путевого участка осуществляют функции в выполнении готового плана работы ППР по текущему содержанию пути и объектов инфраструктуры утвержденным начальником служебного пути.

выполняя месячного плана работы участка, утвержденного начальником ПЧ и разработанного с годовым планом ППР с учетом замечаний, выявленных всеми видами визуального осмотра и средствами мониторинга.

оперативные качественные устранения неисправности угрожающие безопасности движения поездов выявленная всеми видами визуального осмотра (бригада 1-N, месячные осмотры и т.п.) и средствами мониторинга (вагоны путеизмерители, дефектоскопы, путеизмерительные и дефектоскопные тележки и т.п.)

качественное и своевременное устранение неисправностей, выявленных средств мониторинга, а также замечаний, выявленных всеми видами осмотров;

сопровождение дефектоскопных тележек;

ведение отчетно-учетных форм: книг ПУ-28, ПУ-29, ПУ-30 журналов ДУ-46 и инструктажа по охране труда.

Начальник участка является оператором информационных систем таких как АС-КМО, АСУ-П, АСУ-Инфраструктуры.

Состав бригады №1 по промерам и осмотру пути: дорожный мастер, бригадир пути. Общее руководство бригады №1 осуществляет дорожный мастер, а в его отсутствие - лица его замещающее из бригады №1.

Состав бригады №2 по планово предупредительным работам и текущему содержанию пути: дорожный мастер, бригадир пути, монтёры пути.

Состав бригады №3 по неотложным работам: дорожный мастер, бригадир пути, монтёр пути.

Общее руководство бригады 2 и 3 осуществляет начальник участка, непосредственное руководство дорожные мастера этих бригад. Техник участка находится в подчинении начальника дистанции пути.

Распределитель работ находится в прямом подчинении начальника технического отдела дистанции пути, и оперативным подчинении инженера по организации и нормированию труда.

Состав участка, общее руководство котором осуществляет начальник участка, выглядит следующим образом:

Начальник участка, техник участка.

Дорожный мастер бригад №2,3.

Бригадир пути бригад №2,3.

Монтёр пути бригад №2,3.

Обслуживание объектов инфраструктуры специализированный производится следующими 2-мя бригадами:

бригады по осмотру ИССО (бригада №1, мостовая бригада 1-М)

бригады по текущему содержанию ИССО (бригада №2, мостовая бригада 2-М)

Принимаем для рассматриваемого участка объектов инфраструктуры хозяйственного пути, следующую комплектацию.

Состав бригады:

бригада №1 - 4 человека, в том числе:

дорожный мастер - 1 человек;

техник - 1 человек;

бригадир пути - 2 человека.

Бригада №2 по планово предупредительным работам и ТС пути, 20 человек

мастер дорожный - человек;

бригадир пути - 2 человека

монтеры пути - 23человек

Бригада №3 по неотложным работам хозяйства пути состоит из 6 человек, в том числе:

мастер дорожный - 1 человек;

бригадир пути - 1 человек;

монтеры пути - 4 человек

Состав и руководство участка.

В состав участка входит:

начальник участка - 1 человек;

Техник участка - 1 человек;

мастер дорожный - 2человека

бригадир пути - 3 человека;

монтеры пути - 27 человека;

Итого: 34 человека

линейный путевой подрядный заработный

Раздел 4. Организация заработной платы

Согласно положению об оплате труда работников филиалов ОАО РЖД, утвержденного решения правления ОАО РЖД (15 апреля 2004 года (протокол №8) оплаты труда работников филиалов ОАО РЖД), осуществляется на основе ЕТС по оплате труда работников занятых в основном деятельностью железных дорог.

В соответствие с отраслевой единой тарифной сетки с Августа 2009 года, при среднегодовой норме часов 2015 года - 165,08 часа. Месячная тарифная ставка для монтера пути при среднем разряде бригады 3,5 составит 11118 рублей.

На основании ЕТС по оплате труда работников занятых в отраслевой деятельности железных дорог.

Таблица 4.1

Тарифная ставка и оклады по отраслевой тарифной сетке рабочих, служащих и т.д.

Разряд

Тарифный коэффициент

ЧТС, в рублях

Разряд и оклад рабочего

Рабочие

1

1,14

43,87

7202

2

1,37

52,72

8655

3

1,63

62,72

10297

4

1,89

72,73

11940

5

2,12

81,58

13393

6

2,31

88,89

14593

7

2,50

96,20

15793

Руководители

ПД

-

-

28130

ПЧУ

-

-

31370

Служащие

Техник

-

-

16438


Раздел 5. Определение состава бригады по разрядам

Состав бригады по разрядам определяется подбором с таким расчетом чтобы средний разряд бригады составлял Рср = 3,5

Формируем подрядную бригаду из 27человек

Намечаем следующий состав бригады:

Монтеры пути 5 разряда - 5 человека

Монтеры пути 4 разряда - 5 человека

Монтеры пути 3 разряда - 17 человек

Итого: 18 человек

Проверим соответствует ли принятый состав заданному среднему тарифному разряду бригады Рср = 3,5

Средний тарифный коэффициент при заданном составе рабочих по разрядам определяют средневзвешенную величину

Кср = ;

Где, кi - тарифный коэффициент

i - по разрядам ЭТС

ni-количество рабочих iразряда

Кср= ;

Подставим расчетные данные в формулу

Кср=  = 1,76

Cредний тарифный разряд рабочих в бригаде определяется по формуле:

Рср = Рм+ ;

Где, Рм - ближайший к среднему меньший разряд по тарифной сетки

Кср - средний тарифный коэффициент

Кб, Км - тарифные коэффициенты ближайшие к среднему разряду большего и меньшего разряда

Рср= 3 += 3,5

Это соответствует принятому среднему тарифному разряду 3,5 окончательно принимаем намеченный по разрядам состав бригады.

Раздел 6. Расчет и корректировка фонда заработной платы подрядной бригады по итогам работы за месяц

Исходные данные:

Средний разряд бригады 3,5

Среднемесячная норма времени 172,2 часа

Средне часовая тарифная ставка 67,72рубля.

Расход рабочей силы Ррас = 30.48 человек

В участковую бригаду включены:

Бригадир пути - 3 человека

Дорожный мастер - 2 человека

Начальник участка - 1 человек

Техник - 1 человек

Размер премирования работников в соответствие с положением:

Монтеры пути - 130%

Бригадир пути - 140%

Дорожный мастер, начальник участка, техник - 70%

Оценка уровня, содержания пути по данным путеизмерительной тележки:

Хорошо (50 баллов, пропущенный тоннаж 400 млн. т км/бр)

Коэффициент регулирующий размер премии в зависимости от оценки состояния пути 1,15.

Нарушение техники безопасности

Коэффициент уменьшения средств оплаты труда в зависимости от нарушения техники безопасности 0,9

Нарушение технологического профессор и некачественное выполнение работ-1

Коэффициент уменьшения оплаты труда в зависимости от нарушения процесса и не качественного выполнения 0,9

Расчёт:

В соответствие с исходными данными приведенными выше произведем расчёт оплаты труда работника участка за месяц 2016 года.

.   Среднемесячная тарифная ставка - 172,2 * 67,7 = 11661,384 руб.

2.      Заработная плата по тарифу на расчётный контингент монтеров пути

11661,384 * 30,48= 355438,86 руб.

.   Заработная плата по тарифу на расчётный контингент монтеров пути с учётом суммы премирования (планируема без учёта корректировки).

К==2,3%

4. Заработная плата бригадиров пути (7 разряда) по тарифу

,2*3*96,20 = 49696,92 руб.

.   Оклад дорожного мастера - 28130 руб.

6.      Оклад начальника участка - 31370 руб.

.        Оклад техника 16386 руб.

.        Фонд оплаты труда бригадиров пути дорожного мастера, начальника участка и техника с учётом премирования

Коэффициент для бригадира;

К =  = 2,4%

Коэффициент для дорожного мастера начальника участка и техника;

R =  = 1,7%

,92*2,4*3+(28130 * 2 + (31370 + 16386)) * 1,7 = 534641,13

.   Размер премии, откорректированной в зависимости от состояния пути показателей работы бригады за месяц:

Монтеры пути: 130 * 1,15 * 0,9 * 0,9 = 121,09%

Бригадиры пути: 140 * 1,15 * 0,9 *,09 =130,41%

Дорожный мастер, начальник участка 70 * 1,15 * 0,9 * 0,9 = 65,20%

. Фонд оплаты труда монтеров пути, откорректированный с учётом состояния пути и других показателей:

К=

.Фонд оплаты труда бригадиров пути начальника участка, дорожного мастера и техника.

Коэффициент для бригадира;

К=

Коэффициент для дорожного мастера, начальника участка и техника;

К=

,92*2,30 + (28130*2 + 31370 + 16386) * 1,652 =286137,348

. Общий фонд оплаты труда работника участка;

,88+114501,7+171834,43=1071856,01.

. Отчисления на отпуск;

(12%) - 1071856,01*0,12= 128622,72 руб.

14. Фактический фонд платы труда;

1071856,01-128622,72=943233,29 руб.

Раздел 7. Распределение суммы фонда оплаты труда между работниками участка

Распределение комплексного заработка между работниками путевого участка выполним в таблице 7.1

Для заполнения таблицы 7.1 определяем величины заработка по отдельным группам участка с учётам их применения коэффициентов.

. Начальником участка, дорожного мастера, техника

Сумма должностных окладов по ЕТС 104 054 рублей

Где: 1,65 - коэффициент премии

,88 - коэффициент, учитывающий отчисления в фонд оплаты

Коэффициент для потребления общей суммы заработка

К2 = 1,65 * 0,88 = 1,45200

Проверка: =1,454

Для определения суммы заработка каждого из работников, разрядный оклад работника умножают на К2.

. Бригадиры пути

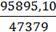
Сумма должностных окладов по единой тарифной сетке равна 47 379 руб.

Общая сумма заработка равна;

* 2,30 * 0,88 = 95 895,10 руб.

Коэффициент для распределения общей суммы заработка равен:

К =  = 2,02400

. Монтёры пути

Сумма должностных окладов по единой тарифной сетке: 301714 руб.

Общая сумма заработка равна

*2021*0.88 = 586773.40 руб.

Коэффициент для распределения общей суммы заработка:

К = =1,9448

ФИО

Должность: Монтер пути

Разряд

Разрядный или должностной оклад

Заработная плата работников

Расчётный коэффициент

1

Алексеев

м/п

5

13393

26046,73

К = 1,94480

2

Андреев

м/п

5

13393

26046,73


3

Бобров

м/п

5

13393

26046,73


4

Богданов

м/п

5

13393

26046,73


5

Васильев

м/п

5

13393

26046,73


6

Волков

м/п

4

11940

23220,91


7

Гришин

м/п

4

11940

23220,91


8

Громов

м/п

4

11940

23220,91


9

Денисов

м/п

4

11940

23220,91


10

Дмитриев

м/п

4

11940

23220,91


11

Егоров

м/п

3

10297

20025,60


12

Елисеев

м/п

3

10297

20025,60


13

Жуков

м/п

3

10297

20025,60


14

Журавлев

м/п

3

10297

20025,60


15

Зайцев

м/п

3

10297

20025,60


16

Захаров

м/п

3

10297

20025,60


17

Иванов

м/п

3

10297

20025,60


18

Исаев

м/п

3

10297

20025,60


19

Кабанов

м/п

3

10297

20025,60


20

Казаков

м/п

3

10297

20025,60


21

Лапин

м/п

3

10297

20025,60


22

Лебедев

м/п

3

10297

20025,60


23

Макаров

м/п

3

10297

20025,60


24

Марков

м/п

3

10297

20025,60


25

Назаров

м/п

3

10297

20025,60


26

Никитин

м/п

3

10297

20025,60


27

Орлов

м/п

3

10297

20025,60


Итого:


301714

586773.40



Бригадиры пути

Сумма должностных окладов по единой тарифной сетке:

Тариф

Разряд

Должность, оклад

Заработная плата

Расчётный коэффициент

1

ПБД

7

15793

31965,03

К=2,02400

2

ПБД

7

15793

31965,03


3

ПБД

7

15793

31965,03


Итого:

47379

95895,09



Общая сумма заработка равна:

* 2,30 * 0,88 = 95 895,09

Коэффициент для распределения общей суммы заработка равен:

К= 95895,09/47379 =2,02400

. Начальник участка, дорожный мастер, техник

Должность

Разряд

Должность, оклад

Заработная плата

Расчётный коэффициент

1

ПЧУ

12

31370

45549,24

К = 1,45200

2

ПД

10

28130

40844,76


3

ПД

10

28130

40844,76


4

Техник

8

16386

23792,47


Итого:

104016

151031,23



Сумма должностных окладов по единой тарифной сетке равна 199563 руб.

Общая сумма заработка равна:

,80 * 0,88 = 471,504

Коэффициент для распределения общей суммы заработка:

К = 199 563 * 2,21 * 0,88 = 388 110,122; 388 110,122/199563 = 1,9448

Итого по руководителям:

,09 + 151214,30 = 247109,4

Раздел 8. Выполнение работ по ТС пути, оценка состояния пути и путевых устройств

График ПУ - 74 состоит из 6 разделов:

Раздел 1. Учёт рабочего времени.

Раздел 2. План и выполнение работ

Раздел 3. Работы механизмов.

Раздел 4. Работы путевых обходчиков.

Раздел 5. Ведомость оборота материалов по текущему содержанию пути и путевых устройств.

Раздел 6. Состояния и оценка пути и путевых устройств.

В первом разделе графика ведется табель ежедневного учёта фактически отработанных каждым рабочим часов и начисления аккордно премиального заработка состояния пути производится по каждому километру.

Оценка «Отлично» - 80%

Оценка «Хорошо» - 60%

Оценка «Удовлетворительно» - 50%.

Второй Раздел графика заполняется по данным осмотра, в этом разделе указывается место проведенных работ в той последовательности в которой они выполняются.

В первой половине месяца - 11 рабочих дней

Общее количество нормируемого времени на первую половину месяца составит: 8,2*11 * 27 = 2435,4

Ограждает место работы - сигналист оповеститель. Затраты на пропуск поездов грузовых и пассажирских составят:

,8 * nгр + 1,3 * nnn + 1,5 * nгр.с + 1,0 *nn/c/60

Где: 1,8 и 1,3 - норма времени на пропуск одного грузового и одного пассажирского поезда, на котором производятся работы в минутах

,5 и 1,0 - норма времени на пропуск одного грузового и одного пассажирского поезда по соседнему пути.

,8 * 7 + 1,3 * 20+1,5*7+10*20/60 = 1,15

Общие затраты на пропуск поездов составят 1,15 * 11 = 12,65

Планирование работ.

1. Подтягивание гаек, стыковых болтов ручными путевыми гаечными ключами

Норма времени на эту работу - 1,15 норма/часов

Количество работ -1212 гаек

Фактическое время - 14,21 чел/часов

Подсчет остатка времени -2435,4-90,2-12,65-14,21=2318,34чел/часов

.   Смена деревянных шпал

Норма времени на эту работу - 19,1 норма/часов

Количество работ - 280 шпал

Фактическое время - 534,8 чел/часов

Подсчет остатка времени -2318,34- 534,8 = 1783,54 чел/часов

3. Оправка балластной призмы

Норма времени на эту работу - 4,13 норма/часов

Количество работ - 13496,82м

Фактическое время - 592,6 чел/часов

Подсчет остатка времени - 1783,54 - 592,6 =1190,94 чел/часов

.   Регулировка деревянных шпал по меткам на величину до 10 см.

Норма времени на эту работу - 4,88 норма/часов

Количество работ - 253 шпал

Фактическое время - 123,46 чел/часов

Подсчет остатка времени - 1190,94 - 123,46 = 1067,48 чел/часов

.   Смена ж.б. шпал на щебеночном балласте при раздельном креплении КБ.

Норма времени на эту работу - 2,64 норма/часов

Количество работ - 155 шпал

Фактическое время - 504,24 чел/часов

Подсчет остатка времени - 1067,48 - 504,24 =563,24 чел/часов

.   Регулировка рельсовой колеи при раздельном креплении КБ.

Норма времени на эту работу - 0,481 норма/часов

Количество работ - 5128,37м

Фактическое время - 246,67 чел/часов

Подсчет остатка времени - 563,24 - 246,67 = 316,57 чел/часов

.   Регулировка стыковых зазоров на пути со смешанным костыльным скреплением.

Норма времени на эту работу - 1,96 норма/часов

Количество работ - 16406,57м.

Фактическое время - 316,57 чел/часов

Подсчет остатка времени - 316,57-316,57 = 0 чел/часов.


Заключения

На звеньевом, одиночном участке Узловая 1, эксплуатационной длиной 24 км производит работу бригада в составе 27 человек. Из 27 человек 3 являются бригадирами пути, 5 монтера пути (5 разряда), 5 монтерами пути (4 разряда), 10монтерами пути (3 разряда).

В день монтеры пути выполняют несколько видов работ такие как:

- Подтягивание гаек, стыковых болтов ручными путевыми гаечными ключами

Смена деревянных шпал

Оправка балластной призмы

Регулировка шпал по меткам на величину не более 10см

Смена ж.б. шпал на щебеночном балласте при раздельном креплении КБ

Регулировка ширины рельсовой колеи при раздельном креплении КБ

Регулировка стыковых зазоров пути со смешанным костыльным скреплением

За апрель месяц 2016 года каждый работник бригады отработал 172,2 часа. По показаниям путеизмерительного вагона о состоянии пути, мы вычисляем процент премии на участке.

В бригаде процент премии за апрель 2016 года составил 65,20%. От процента премии и аккордного заработка наша бригада получает заработную плату, которая составила:

Бригадиры пути - 31965,03 рублей

Монтеры пути (5 разряда) - 26046,73 рублей; при ЧТС = 81,58

Монтеры пути (4 разряда) - 23220,91 рублей; при ЧТС = 72,73

Монтеры пути (3 разряда) - 20025,60 рублей; при ЧТС = 62,72

Похожие работы на - Экономика, организация и планирование в путевом хозяйстве

 

Не нашли материал для своей работы?
Поможем написать уникальную работу
Без плагиата!
Без нейросетей!