Формирование рекламной стратегии фирмы на конкурентном рынке (на примере ОАО 'ВымпелКом')

  • Вид работы:
    Дипломная (ВКР)
  • Предмет:
    Маркетинг
  • Язык:
    Русский
    ,
    Формат файла:
    MS Word
    195,56 Кб
  • Опубликовано:
    2016-03-23
Вы можете узнать стоимость помощи в написании студенческой работы.
Помощь в написании работы, которую точно примут!

Формирование рекламной стратегии фирмы на конкурентном рынке (на примере ОАО 'ВымпелКом')














Формирование рекламной стратегии фирмы на конкурентном рынке

Оглавление

ВВЕДЕНИЕ

ГЛАВА 1. ТЕОРЕТИЧЕСКИЕ АСПЕКТЫ ФОРМИРОВАНИЯ КОНКУРЕНТНОЙ СРЕДЫ ПРЕДПРИЯТИЯ

1.1 Конкурентная среда предприятия: понятие, сущность, факторы её формирующие

.2 Конкурентные стратегии предприятия: классификация, процесс разработки

.3 Рекламные стратегии предприятия

ГЛАВА 2. Анализ факторов внутренней среды предприятия

.1 Организационно-экономическая характеристика компании ОАО «ВымпелКом»

.2 Анализ внутреннего потенциала и реализация комплекса маркетинга на предприятии ОАО «ВымпелКом»

.3 Специфика конкурентных отношений в сфере сотовой связи

ГЛАВА 3. Разработка конкурентной стратегии компании ОАО «ВымпелКом»

.1 Оценка конкурентоспособности бренда «БиЛайн»

.2 Разработка рекламной стратегии бренда «БиЛайн»

ЗАКЛЮЧЕНИЕ

СПИСОК ИСПОЛЬЗОВАННОЙ ЛИТЕРАТУРЫ

ВВЕДЕНИЕ


Рыночная экономика обусловила активное проникновение рекламы в нашу жизнь. Реклама является одним из элементов коммуникационной политики. Коммуникационная политика это важный элемент комплекса маркетинга. В нее входят: реклама, связи с общественностью, личная продажа и стимулирование сбыта.

Таким образом, реклама - один из инструментов маркетинга и неотделима от него. Маркетинг, в свою очередь, возник благодаря конкуренции и, соответственно, может существовать только в условиях рыночной экономики. Реклама опирается на множество других отраслей знания, таких как маркетинг, журналистика, психология, литература и пр.

Актуальность выбранной темы продиктована тем, что в условиях рыночной экономики реклама играет важную роль в деятельности любой коммерческой организации, поскольку благодаря ей предприятие может увеличивать объемы продаж, осуществлять выходы на новые рынки, выпускать новую продукцию. От рекламы напрямую зависит эффективность деятельности предприятия. При этом необходимо отметить, что под рекламой в данном случае понимаются не отдельные рекламные мероприятия, а комплекс, рекламная стратегия, которая разрабатывается на долгосрочной основе.

Рынок сотовой связи в Российской Федерации имеет высокий входной барьер, обусловленный высокой стоимостью оборудования; серьезной конкуренцией со стороны крупнейших российских и западных компаний (МТС, Мегафон, Теле2).

Конкурируют между собой как различные стандарты сотовой связи (GSM, NMT, AMPS, DAMPS, CDMA), где в настоящее время лидирует GSM (98% от числа абонентов), так и операторы сотовой связи внутри каждого сегмента рынка. Конкуренция существует также в региональном разрезе, где позиции местных операторов, хотя и ослаблены давлением со стороны ведущей тройки операторов сотовой связи в России, но все еще сильны, особенно в Уральском регионе.

Деятельность компаний на рынке сотовой связи подпадает под законы «О связи» и «О рекламе».

Рынок сотовой связи сопряжен с высокой нормой доходности, и, как следствие, высоким уровнем риска. Рост рынка происходит за счет увеличения количества абонентов и зон покрытия. Рынок сотовой связи, несмотря на близость к насыщению, сохраняет потенциал роста. Правда, для дальнейшего развития операторам сотовой связи, вероятно, придется выйти за рамки своего профиля и осваивать новые сегменты рынка.

Целью данной работы является изучение теоретических и практических аспектов формирования рекламной стратегии фирмы на конкурентном рынке.

Для достижения поставленной цели в ходе выполнения работы необходимо решить следующие задачи:

рассмотреть понятие, сущность и факторы конкурентной среды предприятия;

охарактеризовать конкурентные стратегии предприятия и описать процесс их разработки;

охарактеризовать роль маркетинговых исследований в формировании конкурентной стратегии предприятия;

привести организационно-экономическую характеристику ОАО «ВымпелКом»;

проанализировать внутренний потенциал и оценить реализацию комплекса маркетинга в ОАО «ВымпелКом»;

описать специфику конкурентных отношений на рынке сотовой связи;

дать оценку конкурентоспособности бренда «БиЛайн»;

разработать рекламную стратегию ОАО «ВымпелКом».

Объект исследования - формирование рекламной стратегии фирмы.

Предметом исследования является рекламная стратегия ОАО «ВымпелКом».

В работе применяется аналитический метод (в анализе теоретических источников) и сравнительный метод (для сопоставления различных стратегий).

Научно-теоретическое значение данной работы состоит в том, чтобы провести актуальное на сегодняшний день сравнение конкурентов на рынке сотовой связи в Российской Федерации и разработать на его основе рекламную стратегию ОАО «ВымпелКом».

Внимание формированию маркетинговой и рекламной стратегии в своих работах уделяют многие отечественные и зарубежные авторы. В своих трудах они подробно описывают её и приводят яркие, доступные примеры по определению и разработке стратегии. В свою очередь так же и Ф. Котлер в своей книге «Основы маркетинга» рассматривает стратегию с точки зрения маркетинга, и трактует стратегическое планирование как управленческий процесс создания и поддержания стратегического соответствия между целями фирмы, ее потенциальными возможностями и шансами в сфере маркетинга. Труды Ф. Котлера апеллирующие к американскому опыту становления массового маркетинга, оказались наиболее актуальными для современного российского человека и в немалой степени повлияли на одно из определений стратегического планирования в данной дипломной работе.

Структура работы соответствует поставленной цели и сформулированным задачам работы. Работа состоит из введения, включающего в себя характеристики актуальности объекта и предмета исследования, методологию, обзор литературы и т.д.; основной части, включающей в себя три главы; заключения, списка использованной литературы.

ГЛАВА 1. ТЕОРЕТИЧЕСКИЕ АСПЕКТЫ ФОРМИРОВАНИЯ КОНКУРЕНТНОЙ СРЕДЫ ПРЕДПРИЯТИЯ

1.1    Конкурентная среда предприятия: понятие, сущность, факторы её формирующие


Конкуренция - важный регулирующий механизм рыночной экономики, который заставляет производителей прислушиваться к требованиям потребителей. Современная экономика требует принятия оперативных и эффективных решений, поскольку от этого зависит получение дохода. С учетом высокой динамики изменения рыночных условий скорость принятия решений выступает важным фактором [13, с.124].

Под конкурентоспособностью предприятия понимается его преимущество по сравнению с другими предприятиями отрасли. Конкурентоспособность предприятия может быть оценена только в рамках группы предприятий, которые осуществляют свою деятельность в одной отрасли, либо выпускающих аналогичную продукцию.

Таким образом, конкурентоспособность является относительным понятием: одно и то же предприятие в рамках региональной отраслевой группы может быть признано конкурентоспособным, а в рамках мирового рынка - нет. Оценка степени конкурентоспособности заключается в выборе базовых объектов для сравнения - ведущего предприятия отрасли [21, с.256]. Такое предприятие должно обладать следующими характеристиками:

соизмеримостью характеристик выпускаемой продукции по идентичности потребностей потребителей;

соизмеримостью сегментов рынка, для которых предназначена выпускаемая продукция;

соизмеримостью этапа жизненного цикла предприятий.

Соответственно, конкурентное преимущество одного предприятия перед другим может быть оценено тогда, когда оба предприятия удовлетворяют похожие потребности покупателей, относящиеся к родственным сегментам рынка. При этом предприятия должны находиться в примерно одинаковых стадиях жизненного цикла. Только соблюдение данных условий делает их сравнение между собой корректным.

Основываясь на том, что конкурентоспособность отражает эффективность использования ресурсов предприятия, для ее оценки необходимо определить критерии продуктивности использования ресурсов. Для коммерческих предприятий, целью которых является получение прибыли, и совокупные ресурсы которых оцениваются в денежном выражении, продуктивность использования ресурсов может быть выражена показателем рентабельности производства, т.е. отношением прибыли к издержкам производства. Помимо этого, предприятию необходимо постоянно анализировать рынок, в том числе и за пределами страны.

Недостаток информации о конкурентах может создать у руководства мнение о высокой конкурентоспособности предприятия, что выразится ослаблением усилий в данном направлении.

На сегодняшний день конкурентоспособность предприятия требует совершенно новые подходы к организации производства и управления, чем те, на которые руководители ориентировались в прошлом. Изменений, прежде всего, требуют инвестиционная политика, техническое вооружение.

Высокая конкурентоспособность способствует достижению предприятием основной цели его деятельности - максимизации прибыли. При этом уровень конкурентоспособности должен обеспечивать не только краткосрочное, но и долгосрочное эффективное функционирование предприятия на выбранном рынке. Соответственно, перед любым предприятием встает вопрос о стратегическом и тактическом управлении способности предприятия выживать в изменяющихся рыночных условиях [36, с.312].

Под управлением конкурентоспособностью понимается совокупность действий по систематическому совершенствованию изделия, постоянному поиску новых рынков сбыта, новых групп покупателей, повышению качества сервиса и рекламы.

Оценка конкурентоспособности предприятия предполагает выявление его сильных и слабых сторон, а также факторов, оказывающих влияние на отношение покупателей к предприятию и, как результат, на изменение его доли в продажах на определенном рынке.

Факторы конкурентоспособности - это явления и процессы производственно-хозяйственной деятельности предприятия и социально-экономической жизни общества, которые вызывают изменение абсолютной и относительной величины издержек производства, а в результате ведут к изменению уровня конкурентоспособности предприятия [28, с.184]. При этом факторы могут влиять как в сторону улучшения конкурентоспособности предприятия, так и в сторону ее снижения. Факторы определяют средства и способы использования резервов конкурентоспособности. Конкурентные преимущества предприятия зависят от эффективности использования каждого фактора.

В научной зарубежной литературе выделяют следующие факторы, оказывающие влияние на уровень конкурентоспособности предприятия:

концепция продукции предприятия;

качество, выражающееся в соответствии товара высокому уровню товаров-лидеров и выявляемое путем опросов;

цена товара с учетом наценки;

финансовые ресурсы;

торговля;

предпродажная подготовка;

послепродажное обслуживание;

внешняя торговля предприятия, дающая возможность ему позитивно управлять отношениями с государственными органами, прессой и общественным мнением [8, с.318].

Отечественными экономистами были определены несколько иные факторы рыночного успеха предприятия:

финансовое положение предприятия;

способность к самостоятельному проведению научно-исследовательских и опытно-конструкторских разработок и уровень расходов на них;

наличие новейших технологий;

обеспеченность высококвалифицированными кадрами;

способность к продуктовому и ценовому маневрированию;

наличие каналов сбыта;

уровень технического обслуживания;

возможность кредитования;

использование рекламы и других методов стимулирования сбыта;

доступность информации о конкурентах;

платежеспособность покупателей [34, с.218].

Российским ученым В. Петровым были определены три основных базовых фактора, обеспечивающих конкурентоспособность предприятия:

) ресурсный - затраты ресурсов на единицу готовой продукции.

) ценовой - уровень и динамика цен на используемые ресурсы и готовую продукцию;

) «фактор среды» - данный фактор состоит из налоговой политики, уровня инфляции, стабильности кредитной системы, уровень процентных ставок, политическая ситуация в стране, степень государственного вмешательства в экономику [46, с.237].

Таким образом, согласно данной классификации предприятие не способно контролировать все факторы конкурентоспособности, соответственно, вмешательство государства в экономические процессы в качестве действующего гаранта прав и обязанностей приобретает все более важное значение.

Важный вклад в изучение факторов конкурентоспособности предприятия внес М. Портер. Он считал, что факторы конкурентоспособности - это «одна из четырех основных детерминант конкурентного преимущества наряду со стратегией фирмы, ее структурой и конкурентами, условиями и наличием родственных или смежных предприятий отрасли и конкурирующих на рынке» (рис.1.1).

Факторы конкурентоспособности М. Портер напрямую связывал с факторами производства:

людские ресурсы - количество, квалификация и стоимость рабочей силы;

физические ресурсы - количество, качество, доступность различных природных ресурсов;

ресурсы знаний - научная, рыночная и техническая информация, которая оказывает влияние на конкурентоспособность продукции;

денежные ресурсы - объем и цена капитала, который может быть использован на финансирование производства и отдельного предприятия;

инфраструктура - тип, качество имеющейся инфраструктуры и цена пользования ею, оказывающие влияние на характер конкуренции. К ней относится система связи, транспорт, почта, перевод платежей и средств из банка в банк внутри и за пределы страны, система здравоохранения, культурная сфера и пр. [25, с.198].

Рисунок 1.1 - Детерминанты конкурентного преимущества предприятия по М.Портеру

Подводя итог вышесказанному, можно сделать вывод о том, что высокая конкурентоспособность предприятия возможна лишь при наличии развитых и специализированных факторов, а конкурентное преимущество представляет собой преимущество низкого порядка, имеющее непродолжительный и неустойчивый характер.

Специалисты по-разному оценивают влияние отдельных факторов на функционирование предприятий в условиях рынка, однако, в любом случае, требуется оценка всех факторов, а не нескольких из них. В данном случае целесообразно применение комплексного подхода, который выражается в одновременном рассмотрении технических, экономических, технологических, социальных, организационных, экологических аспектов решения проблемы повышения конкурентоспособности предприятий.

1.2 Конкурентные стратегии предприятия: классификация, процесс разработки


Конкурентная стратегия - это стремление предприятия занять конкурентную рыночную позицию в выбранной отрасли. Конкурентная стратегия направлена на то, чтобы добиться устойчивой и выгодной позиции, позволяющей предприятию противостоять напору тех сил, которые определяют конкурентную борьбу в отрасли путем укрепления конкурентных преимуществ перед соперниками на рынке [36, с.297].

Формирование конкурентной стратегии важно для достижения эффективности реализуемых мероприятий. Формирование и воплощение в жизнь конкурентной стратегии в условиях рыночной экономики предполагает со стороны предприятия определенную гибкость, способность приспосабливаться к быстро меняющимся условиям, а также воздействовать в отдельных ситуациях на потребителей путем использования маркетинговых методов.

Многие стратегические решения, принимаемые предприятием, находятся в области маркетинга. Создание нового предприятия, процессы слияния и поглощения, выход на новые рынки, развитие дилерской сети, расширение или сужение ассортиментного портфеля, выбор партнеров - все данные решения, так или иначе принимаются в рамках единой маркетинговой стратегии. Соответственно, от ее правильной разработки во многом зависит успешность деятельности предприятия.

В маркетинговую стратегию входят следующие элементы:

стратегические планы предприятия на потребительских рынках;

анализ структуры рынков;

планы и прогнозы развития рынков;

политика ценообразования;

конкурентные преимущества;

выбор эффективного позиционирования предприятия на рынке и его оценка [39, с.257].

Не смотря на существенные различия между предприятиями и маркетинговыми стратегиями, существуют некие общие принципы разработки маркетинговой стратегии и общие рамки, в которые они вписываются.

Широко используемой стратегией является стратегия роста, которая отражает четыре различных подхода к росту предприятия и связана с изменением состояния одного или нескольких следующих элементов: продукт, рынок, отрасль, положение фирмы внутри отрасли, технология. Каждый из этих элементов может находиться в одном из двух состояний - существующем или новом. В эту группу стратегий входят следующие:

) стратегия концентрированного роста. Данная стратегия основывается на изменении продукции или рынка, когда предприятие старается модифицировать существующий продукт или вывести на рынок новый, не изменяя при этом своей рыночной ниши. Либо с действующим ассортиментным портфелем осуществляет поиск возможностей улучшить свое положение на существующем рынке либо перейти на новый рынок. В группу стратегий концентрированного роста входят:

стратегия укрепления позиций на рынке - предприятие предпринимает все возможное для завоевания лучших позиций на конкретном рынке;

стратегия развития рынка - предприятие ведет поиск новых рынков для сбыта уже существующего товара при помощи выхода на новые сегменты и освоения новых каналов сбыта;

стратегия развития продукции - данная стратегия направлена на увеличение объемов реализации путем разработки и внедрения модифицированных и новых товаров на действующие рынки. Это возможно при помощи добавления характеристик, улучшения качества продукции, расширения ассортимента выпускаемого товара;

стратегия интегрированного роста - связана с расширением предприятия за счет добавления новых подразделений и филиалов. В данной ситуации изменяется положение предприятия внутри отрасли. Выделяются два основных типа стратегий интегрированного роста: стратегия вертикальной интеграции, которая ориентирована на рост предприятия за счет приобретения поставщиков, и стратегия вперед идущей вертикальной интеграции, которая выражается в росте предприятия посредством приобретения либо усиления контроля над структурами, находящимися между предприятием и конечным потребителем (каналами сбыта;

стратегия диверсифицированного роста - используется тогда, когда у предприятия отсутствуют возможности для дальнейшего развития на выбранном рынке с данным продуктом. К ним относятся: стратегия концентрической диверсификации, стратегия горизонтальной диверсификации и стратегия конгломеративной диверсификации. Стратегия концентрической диверсификации основывается на поиске и применении дополнительных возможностей производства новых товаров, которые заключены в освоенном рынке, используемой технологии либо в других сильных сторонах функционирования предприятия, при этом существующее производство остается в основе деятельности. Под стратегией горизонтальной диверсификации понимается поиск и выбор возможностей расширения деятельности предприятия на существующем рынке за счет вывода на него новых товаров, для производства которых необходима новая технология. Стратегия конгломеративной диверсификации заключается в том, что предприятие растет за счет производства новой продукции, которая не связана технологически с уже существующей и ее реализации на новых рынках сбыта. Данная стратегия является одной из самых сложных;

стратегия целенаправленного сокращения - данная стратегия используется в тех случаях, когда предприятию требуется перегруппировка сил после длительного периода роста, либо для повышения его эффективности в периода спадов;

стратегия ликвидации - данная стратегия является частным случаем стратегии сокращения и реализуется в случае, когда предприятие становится не способно осуществлять свою дальнейшую деятельность;

стратегия «сбора урожая» - данная стратегия подразумевает отказ от долгосрочных планов в пользу извлечения максимальной прибыли в краткосрочном периоде и используется только в бесперспективном бизнесе;

стратегия сокращения - она заключается в том, что предприятие ликвидирует либо продает свой бизнес, либо одно из подразделений для осуществления долгосрочных изменений рамок ведения деятельности;

стратегия сокращения расходов - является достаточно схожей со стратегией сокращения. Она основывается на поиске путей снижения издержек и реализацию соответствующих мероприятий, направленных на минимизацию расходов [38, с.326].

) стратегия дифференцирования. При такой стратегии предприятие осуществляет свою деятельность на рынке в четко определенном сегменте и исходит в своих действиях не из потребностей целого рынка, а из потребностей определенных групп покупателей. В такой ситуации предприятие стремится к минимизации затрат, либо реализует политику специализации в производстве продукции. Дифференциация может иметь различные формы: имидж торговой марки, признанное технологическое совершенство, внешний вид, послепродажный сервис.

) стратегия специализации на производстве продукции. Данная стратегия предполагает, что предприятие для того, чтобы занять лидирующие позиции на рынке, высокоспециализированное производство и маркетинг. В результате покупатели осуществляют свой выбор в пользу торговой марки данного предприятия, даже по высокой цене. Предприятия, которые применяют данную стратегию, должны иметь высокий потенциал для проведения НИОКР, иметь штат высококлассных дизайнеров, отличную систему обеспечения высокого качества продукции, а также развитую систему маркетинга. Основной целью данной стратегии является удовлетворение потребностей выбранного сегмента рынка, более качественно нежели чем конкуренты.

Одним из критериев классификации маркетинговых стратегий является доля рынка. По данному критерию различают следующие типы конкурентных стратегий:

стратегия лидера. Согласно данной стратегии предприятие-лидер имеет доминирующую позицию на определенном рынке, что признают его конкуренты. У предприятия-лидера есть несколько вариантов стратегии:

увеличение первичного спроса, целью которого является выявление новых потребителей товара, пропаганда новых применений существующих товаров или рост разового объема приобретения товара;

оборонительная стратегия, целью которой является защита доли рынка и противодействие конкурентам на нем. Такая стратегия часто применяется предприятием-новатором после того как на его рынок выходят конкуренты-имитаторы;

наступательная стратегия, целью которой является увеличение рентабельности путем максимально широкого использования эффекта опыта;

стратегия демаркетинга подразумевает снижение доли рынка для того, чтобы избежать обвинений в монополизме или квазимонополизме;

стратегия «бросающего вызов». Данная стратегия применяется предприятиями, которые не занимают лидирующие позиции на рынке. Она дает тем лучший эффект, чем большей долей рынка обладает лидер, поскольку для него принятие пониженной цены означает очень большие потери; предприятие, которое «бросает вызов», несет значительно меньшие потери, особенно если оно небольшое;

стратегия следования за лидером. Такую стратегию используют предприятия с небольшой долей рынка, выбирающие активное поведение с оглядкой в своих решениях на действия конкурентов. Подобные предприятия стремятся мирно сосуществовать с конкурентами и иметь свою долю рынка. Данное поведение чаще всего применяется когда возможности дифференциации малы, а перекрестная эластичность по ценам очень высока, так что каждый конкурент стремится избежать борьбы, которая может нанести ущерб всем предприятиям;

стратегия специалиста. Предприятие в такой стратегии проявляет интерес только к одному конкретному или нескольким сегментам, а не к рынку в целом. Целью предприятия в данном случае является лидерство на небольшом сегменте рынка. Для того, чтобы рыночная ниша, на которой фокусируется такое предприятие, была рентабельной, она должна обладать достаточным потенциалом прибыли; иметь потенциал роста; быть малопривлекательной для конкурентов; соответствовать специфическим возможностям предприятия и иметь устойчивый барьер входа [41, с.98].

Рассмотрение и анализ различных маркетинговых стратегий дают возможность делать вывод о том, что они частично повторяют друг друга и взаимно дополняют. Выбор в пользу той или иной стратегии осуществляется предприятием на основе анализа факторов, которые оказывают влияние на деятельность предприятия.

Стратегический маркетинг предполагает применение методов систематического анализа потребностей и формирования концепций эффективных товаров и услуг, которые дают возможность обеспечить устойчивое конкурентное преимущество. Он включает в себя маркетинговые исследования рынка, его сегментирование, дифференциацию спроса и позиционирование товара.

Таким образом, стратегия предприятия дает возможность сконцентрировать основные усилия в выбранном направлении. Необходимо в обязательном порядке довести основные положения маркетинговой стратегии предприятия до каждого из работников. С другой стороны, четкая и ясная стратегия, которая будет понятна любому сотруднику предприятия, будет также понятна и конкурентам, которые смогут на основе этой информации разработать свои стратегии с эффективными мерами противодействия. Так, например, стратегия захвата доли рынка за счет конкретного конкурента вынудит конкурента отреагировать, как только он разберется в ситуации. Стратегия роста предприятия за счет покупки других производств, будучи обнародованной, может поднять цены на эти производства.

В процессе разработки маркетинговой стратегии предприятия принимают во внимание следующие группы основных факторов:

тенденции динамики спроса и окружающей среды предприятия, в том числе: рыночный спрос, запросы потребителей, система товародвижения, правовое регулирование, тенденции в деловых кругах, условия территориального местонахождения;

состояние и отличительные характеристики конкурентной борьбы на рынке, основных конкурентов и их направления стратегической деятельности;

управленческие ресурсы и внутренние возможности предприятия, в том числе товарные, кадровые, научно-технические, информационные, определение своих сильных и слабых сторон в конкурентной борьбе;

основная стратегия развития предприятия, его цели и задачи на основных рынках сбыта [42, с.213].

Рассмотрение опыта крупных международных предприятий говорит о том, что на первом этапе формирования конкурентной стратегии необходимо разработать программу маркетинговой деятельности в конкурентной среде.

При этом разработка стратегических решений осуществляется в следующей последовательности:

анализ внешних и внутренних рынков;

анализ конкурентоспособности предприятия;

выбор сегментов рынка по географической и продуктово-рыночной ориентации;

выбор основной стратегии маркетинга с учетом глобализации, локализации, адаптации и пр.;

выбор между рассредоточением и концентрацией маркетинговых усилий;

выбор последовательности вывода предприятия на новые рынки;

выбор конкурентной стратегии маркетинговой деятельности и выбор стратегии проникновения на новые рынки;

формирование комплекса маркетинга, принимая во внимание способность адаптации его элементов к окружающей среде предприятия;

организация управления маркетинговой системой [45, с.283].

Формирование маркетинговой стратегии и разработка комплекса маркетинга для реализации стратегии предполагает определение продуктовой стратегии, а именно - принятие решений по поводу выбора товара; степени адаптации и стандартизации; координации национальной и международной стратегии; координации продуктовой стратегии на внешних рынках; выбору вектора роста.

Конкурентная стратегия предприятия формируется исходя из исследований рынка и прогнозирования его тенденций развития, анализа покупательского спроса, изучения ассортимента товаров, конкурентов и прочих элементов рыночной среды предприятия.

Процесс формирования конкурентной стратегии может быть схематично представлен следующим образом (рис.1.2):













Рисунок 1.2 - Процесс формирования конкурентной стратегии

Конкурентные стратегии разрабатываются исходя из реально существующей ситуации на рынке, но при этом они призваны направлять действия предприятия в долгосрочной перспективе, когда исходные положения, принятые при разработке, могут уже не соответствовать действительности рынка. При серьезном расхождении стратегических планов с современными рыночными требованиями стратегии необходимо пересматривать, а это означает, что часть денежных средств была потрачена нерационально [23, с.256].

Значительные изменения в стратегии могут осуществляться во внешней среде: изменение общего уровня технологий, политической обстановки, экологических требований, культуры, либо в рыночных условиях: изменение платежеспособности рынка, поведения конкурентов, потребностей покупателей. Данные изменения не могут контролироваться предприятием, однако, как правило, могут быть спрогнозированы на этапе формирования стратегий.

Основной задачей прогнозирования является выявление наиболее важных факторов, оказывающих воздействие на маркетинговую стратегию, а также анализ тенденций их изменения.

Выявление существенных факторов, как правило, осуществляется следующим образом: консультант и руководитель независимо друг от друга составляют списки факторов; затем данные списки сравниваются и сводятся в единый, который и подлежит детальной проработке.

С целью анализа рыночных тенденций консультантом могут применяться два основных метода: опрос экспертов и работа с официальной информацией.

Работа с официальной информацией обычно сопряжена с серьезными затратами времени. Необходимые материалы для такого анализа - это различные аналитические статьи в профессиональных изданиях, отчеты об исследованиях, диссертации. Зачастую их невозможно найти в сети Интернет. С целью определения тенденций в поведении конкурентов может потребоваться исследование всего объема опубликованной рекламы за длительный срок.

Таким образом, стратегия предприятия, сформулированная и доведенная до каждого работника, способна сконцентрировать все усилия в необходимом направлении. Одновременно с этим четкая, ясная и понятная для сотрудников предприятия маркетинговая стратегия, скорее всего, будет вскоре также ясна и понятна конкуренту, который может разработать эффективные меры противодействия ей. Так, например, стратегия захвата доли рынка за счет определенного конкурента вынудит конкурента отреагировать, как только он разберется в ситуации. Стратегия роста предприятия за счет приобретения других предприятий, будучи опубликованной, может поднять цены на эти предприятия. Детальная проработка стратегий имеет два уровня: общий уровень предприятия, которым ограничивается проект разработки стратегий предприятия консультантом, и уровень маркетинговых стратегий, который является отдельным проектом консультирования.

1.3 Рекламные стратегии предприятия


Под стратегией в общем смысле понимается общее планирование деятельности, которое охватывает длительный период времени. Основная задача стратегии заключается в эффективном использовании имеющихся ресурсов для достижения поставленной цели.

Рекламная стратегия представляет собой элемент общей стратегии предприятия, показывающий каким образом оно должно использовать имеющиеся в наличии ресурсы для увеличения продаж и доходности в долгосрочной перспективе.

К особенностям стратегического рекламного планирования можно отнести следующие:

стратегия создает общие направления развития, которые должны способствовать повышению эффективности предприятия;

отличие стратегического планирования от принятия оперативных управленческих решений заключается в том, что в разработке стратегии как правило, меньше достоверной информации;

стратегия может изменяться в зависимости от появления новой информации;

стратегическое планирование отличается от оперативного управления тем, что представляется сложным поиск цифровой полезности принятых решений, в связи с чем требуется корректировка системы оценок, основанных на сочетании цифровых характеристик (к примеру, издержки в валютном выражении) и высококачественных оценок.

Основными этапами разработки рекламной стратегии являются:

анализ состояния рынка;

оценка текущего состояния предприятия;

анализ конкурентов и оценка конкурентоспособности предприятия;

установление целей рекламной стратегии;

сегментация рынка и анализ потребителей;

анализ стратегических альтернатив и выбор рекламной стратегии;

финансовая оценка рекламной стратегии и выбор инструментов контроля. [55, с.157]

Рассмотрим каждый из этапов более подробно.

В анализ рынка входит:

установление границ рынка;

расчет емкости рынка;

определение текущей рыночной доли предприятия;

оценка уровня конкуренции;

определение тенденций развития рынка. [44, с.112]

Основным инструментом анализа рынка являются рекламные исследования.

В ходе оценки текущего состояния предприятия производится анализ:

экономической деятельности предприятия: финансовых результатов, структуры издержек, наличия ресурсов;

производственных возможностей: технологические возможности, потенциал предприятия;

маркетинговой деятельности: эффективности маркетинговых затрат, системы сбора и анализ информации, используемые каналы распространения.

Помимо этого большинством предприятий применяются методы портфельного анализа, такие как АВС-анализ, матрица БКГ, матрица МКК, матрица GE/McKinsey, SWOT-анализ и другие. [29, с.315]

Анализ конкурентов включает в себя:

определение конкурентов предприятия;

оценка рыночной доли конкурентов;

определение целей конкурентов;

определение стратегий конкурентов;

оценка сильных и слабых сторон конкурентов;

анализ возможных реакций конкурентов на изменение стратегии предприятия;

выявление основных конкурентов предприятия и определение стратегических действий по отношению к ним.

Определение конкурентов предприятия должно заключаться в выявлении не только прямых, но и косвенных конкурентов. Различают следующие уровни конкуренции:

конкуренция в рыночном секторе - это наиболее узкий круг конкурентов. В данном случае предприятие фокусирует свое внимание на конкурентах, которые предлагают свои товары, аналогичные товарам предприятия, на том же рынке и по тем же ценам. Ограниченность рекламной стратегии лишь данным уровнем делает предприятие крайне уязвимым;

конкуренция в отрасли. В данной ситуации под конкурентами рассматриваются как предприятия, предлагающие похожие товары на тех же рынках, так и товары-аналоги (товары-заменители);

конкуренция за удовлетворение похожих потребностей - в качестве конкурентов рассматриваются предприятия, предлагающие товары, которые способны удовлетворить те же потребности, что и предлагаемый товар. Например, конкурентами газированной воды, могут считаться производители соков и минеральной воды, поскольку все они способны удовлетворить жажду;

общая конкуренция - конкуренция за денежные средства потребителей. С развитием рынка возникают ситуации, когда определенные отрасли перестают существовать. Примером можно назвать видео-кассеты, которые постепенно перестали использоваться с появлением других, более совершенных носителей информации. [36, с.415]

При анализе конкуренции необходимо найти определенный баланс между важностью такого анализа и объемами требуемой информации. Выявление и анализ большого круга конкурентов требует такого же объема информации, огромных финансовых и временных затрат, что делает анализ неэффективным с экономической точки зрения.

Важным этапом разработки рекламной стратегии является установка целей, в ходе которого происходит формулировка желаемого будущего состояния предприятия и его позиции на рынке. Оно и становится целью рекламной стратегии. Главными задачами данного этапа являются:

определение задач, подлежащих решить;

определение необходимости решения задач;

определение иерархии целей.

Цели любой рекламной стратегии должны быть связаны с основными целями предприятия и его миссией. Они должны быть построены в виде иерархии: за достижением целей низшего уровня должно следовать достижение вышестоящих целей. Определение целей является важным этапом любого планирования, в том числе разработки рекламной стратегии.

На следующем этапе разработки рекламной стратегии происходит сегментация рынка определение основных групп потребителей. Основными задачами данного этапа являются:

сегментация рынка - разделение потребителей на группы, схожие по определенным признакам;

определение времени и способа воздействия на выбранные сегменты.

Сегментирование рынка представляет собой процесс структурирования рынка, которое основывается на неоднородности будущих покупателей и их потребительского поведения. Сегментирование рынка является важным условием для осуществления дифференцированного маркетинга. [4, с.332]

Покупатели могут отличаться между собой по различным характеристикам: предпочтениям, потребностям, финансовым возможностям, привычками и пр. Исходя из деления покупателей на группы по определенным признакам, предприятие может определить в каком именно товаре нуждается та или иная группа, какие средства стимулирования сбыта необходимо использовать.

Поскольку потребности каждого человека являются уникальными, каждый потребитель уже может считаться отдельным рыночным сектором, однако с экономической точки зрения нецелесообразно выделять на рынке слишком малые группы потребителей, поскольку это приведет к существенному повышению затрат на маркетинговые мероприятия. Вместо этого, предприятие должно выделить относительно крупные группы потребителей, которые отличаются друг от друга требованиями к товару и реакцией на рекламные сообщения. Например, предприятие может разделить покупателей на группы в зависимости от их уровня дохода, либо от возраста, либо от того и другого вместе. Чем больше характеристик лежит в основе сегментирования, тем выше будет количество выделяемых групп, а размеры каждого сегмента будут уменьшаться. Важным в данном процессе является определение баланса между всеми характеристиками, положенными в основу сегментирования и размеров сегментов.

После осуществления сегментирования рынка требуется проанализировать каждый выделенный сегмент для того, чтобы определить их рыночный потенциал и осуществить выбор в пользу некоторых из них. Для этого предприятию необходимо определить оптимальное число сегментов и требования к ним.

Последним этапом разработки рекламной стратегии является финансовая оценка и выбор инструментов контроля. На данном этапе осуществляется:

оценка и прогноз ресурсоемкости и прибыльности будущих товаров предприятия;

прогноз конкурентоспособности товаров предприятия;

прогноз объемов реализации и установление рыночных цен на товары;

прогноз объема выручки и прибыли;

выбор средств и временных промежутков контроля.

Одной из важных особенностей рекламной стратегии является необходимость рассмотрения каждой конкретной рекламы, входящей в нее. Рекламная стратегия должна быть основана на одной основной теме. Таким образом, вся реклама призвана постоянно напоминать потребителям о продукции или предприятии. При помощи этого достигается основная цель любой рекламной кампании - завоевание или удержание доли рынка.

На сегодняшний день в практике активно используется термин «уникальное торговое предложение» (УТП), значение которого заключается в том, что при помощи рекламы потенциальному потребителю как бы делается конкретное предложение: «Купи эту продукцию и получишь такую-то выгоду». Для ТОО, чтобы УТП сработало, требуется выполнение двух условий:

реклама должна выделить уникальные особенности товара, которыми не обладает продукция конкурентов;

реклама должна звучать так убедительно, чтобы привлечь новых потребителей к товару. [22, с. 215]

Важным в рекламной стратегии является также правильное позиционирование товара. Потребитель, увидев или услышав рекламу нового товара, находит место в своем сознании среди других аналогичных товаров. Товар при этом может оказаться в числе необходимых, или, напротив, ненужных ему. В таких ситуациях эффективность рекламной стратегии будет зависеть от следующих факторов:

правильности определения предприятием места товара в восприятии потенциального потребителя;

помогла ли реклама закреплению позиционирования товара.

Альтернативой в рекламной стратегии предприятия может стать выбор виды рекламы. Реклама может быть двух видов: аргументирующей или эмоциональной. Аргументирующая реклама предоставляет потребителю информацию о товаре при помощи изложения обоснованных выводов, по какой причине он должен приобрести данный товар. В основе такой рекламы находится понимание рекламы в качестве искусства продажи товара при помощи слова.

На сегодняшний день все большую популярность завоевывает другой вид рекламы - эмоциональной. Эмоциональная реклама является эффективным средством влияния в основном на молодежную аудиторию. Основными инструментами данной рекламы являются художественные средства и эффекты. Эмоциональная реклама основывается на том, что большинство товаров похожи между собой, и, соответственно, выбор потребителя зависит от тех чувств, которые они испытывает к конкретной торговой марке. Данные чувства при этом редко становятся результатами только лишь рациональных рассуждений.

На сегодняшний день большинство крупных предприятий пересматривают свои рекламные стратегии, постоянно изменяя художественные средства их реализации, а также основную тему и идею. Зачастую за основу рекламной стратегии берется задача изменения негативного мнения о торговой марке. Так, например, японским предприятиям после Второй мировой войны потребовалось около 30 лет, чтобы доказать всему миру, что их продукция высокого качества, что им безусловно удалось. За счет эффективных рекламных стратегий японские производители донесли до потребителей всего мира информацию о своих товарах.

конкурентный стратегия рекламный бренд

ГЛАВА 2. Анализ факторов внутренней среды предприятия

 

2.1 Организационно-экономическая характеристика компании ОАО «ВымпелКом»


Открытое Акционерное Общество "Вымпел-Коммуникации" (ОАО «ВымпелКом») является одним из крупнейших поставщиков услуг сотовой связи на территории Российской Федерации под торговой маркой «БиЛайн». ОАО «ВымпелКом» входит в тройку ведущих операторов наряду с ОАО «Мобильные ТелеСистемы» и ООО «Мегафон».

В структуру компании входят:

Открытое Акционерное Общество "Вымпел-Коммуникации";

Закрытое Акционерное Общество "Макроком";

Открытое Акционерное Общество "КБ Импульс";

ряд дочерних предприятий, а также совместных предприятий, в которых

группа владеет пакетами акций.

Как говорилось выше, компания “Вымпелком” является одним из крупнейших провайдеров сотовой связи России, следовательно, сфера деятельности корпорации - связь.

На момент образования компании в 1992 году, мало кто в России имел представление о сотовой связи, однако учредители «Вымпелкома» были уверены в ее перспективности. Важным также было то, что данная отрасль была относительно свободна от конкуренции, на рынке действовала лишь одна компания - «Московская Сотовая Связь».

Немаловажным фактором, обусловившим выбор отрасли, стало также то, что учредители «Вымпелкома» окончили радиотехнический институт и много лет проработали по специальности.

Именно данные факторы дали компании возможность стать одним из лидеров рынка сотовой связи на всей территории Российской Федерации.

Компания «Вымпелком» была организована в 1992 году в виде закрытого акционерного общества, а впоследствии реорганизована в открытое акционерное общество. В состав учредителей компании вошли государственные научно-исследовательские институты, что определило характер собственности «Вымпелком» как полугосударственный - основная доля акций компании находится в руках государства.

Правовое положение компании - открытое акционерное общество (ОАО).

До декабря 1998 года все акции компании “Вымпелком” находились в руках российских научно-технических институтов. 1 декабря 1998 года “Вымпелком” и норвежский телекоммуникационный концерн Telenor подписали беспрецедентное для всего российского рынка сотовой связи инвестиционное соглашение. Telenor за 162 млн. долл. приобрел 25% плюс одну голосующую акцию АО “Вымпелком”, став таким образом крупным акционером и стратегическим партнером компании. Таким образом из национальной компании по форме принадлежности капитала “Вымпелком” превращается в смешанную компанию.

О компании “Вымпелком” говорят не только на российском рынке сотовой связи. На иностранных рынках она также пользуется хорошей репутацией. Зарубежные специалисты говорят, что руководству компании удалось создать самую совершенную в мире сеть в стандарте AMPS. И это при том, что подобный рынок существует у нас сравнительно недавно. Сеть отличается грамотным расположением базовых станций, свободный доступ, высокое качество связи.

Что бы проанализировать положение компании и места, занимаемые ей среди ведущих российских компаний, проанализируем места занимаемые компанией в рейтингах, проводимых журналом “Эксперт” в период с 1997 по 2010 год.

В 1997 году “Вымпелком” включен в десятку наиболее динамично развивающихся производственных компаний России, наряду с такими известными предприятиями как “Аэрофлот”, “Газпром”, “ЛУКОЙЛ”, “МГТС”, Пивной Завод “Балтика”.

По рейтингу “Репутация” в 1997 году “Вымпелком” занимала 21-22 места среди всех российских компаний. В этом же рейтинге: МСС - 16-18 места, МТС - 37-39 места. Кроме того, компания занимала одну из передовых позиций в номинации “Эмоциональное восприятие компании”.

В 1998 году в связи со всеми вышеперечисленными неблагоприятными факторами, позиции АО “Вымпелком” значительно ухудшились. Если в 1997 году компания занимала 21-22 места, то в 1998 году - 68 место. Ее основные конкуренты занимали более высокие позиции: МСС - 14 место, МТС - 38-39 места.

В сентябре 1998 года по итогам первого ежегодного конкурса “Брэнд года”, проходившего под патронажем правительства Москвы, торговая марка “БиЛайн” признана лучшей маркой в номинации “Репутация и доверие”.

Уже в 1999 году, компания “Вымпелком” обогнала всех своих конкурентов и поднялась с 68 до 21-22 места. В то время как МСС и МТС опустились до 26 и 73 место соответственно.

На сегодняшний день ОАО «ВымпелКом» является лидером сотовой связи на территории Российской Федерации.

Помимо этого того “Вымпелком” вошел в двадцатку лидеров по следующим номинациям:

успех на российском рынке;

умение лидировать в своей отрасли;

наличие распознаваемого имиджа;

умение создавать наилучшие условия для персонала;

умение справиться с последствиями кризиса.

“Вымпелком” является первой российской компанией разместившей свои акции на Нью-Йоркской фондовой бирже (NYSE). NYSE является своеобразным элитным клубом компаний, заслуживающих доверия инвесторов. Сейчас в ее списках зарегистрировано около 2700 американских и 300 иностранных компаний. Эти компании отвечают самым строгим требованиям в отношении раскрытия информации о своей производственной и финансовой деятельности. ОАО "Вымпелком" сумел удовлетворить этим требованиям, поскольку его политика всегда предусматривала неукоснительное соблюдение законов и максимальную открытость в отношении партнеров, клиентов и государственных органов.

С самого начала коммерческой деятельности ОАО "Вымпелком", наряду с российским бухгалтерским учетом, представляет финансовую отчетность в формате американского бухучета (US GAAP), имеющего международный статус. Наличие такой отчетности за три года, подтвержденной международными аудиторами, является необходимым предварительным условием Комиссии США по ценным бумагам и биржам (US SEC) для того, чтобы заявление фирмы на включение в листинг NYSE было принято к рассмотрению. Фактические котировки ADS Вымпелкома с апреля по июль 1998 г. составляли от 40 до 60 долларов за 1 ADS.

ОАО «ВымпелКом» осуществляет свою деятельность согласно лицензиям на предоставление услуг сотовой связи стандарта DAMPS в Московском регионе, а также в Самарской, Тверской, Владимирской, Новгородской, Калужской, Рязанской, Ульяновской и Вологодской, и других.

ОАО «ВымпелКом» предлагает интегрированные услуги мобильной и фиксированной телефонии, международной и междугородной связи, передачи данных, телематических услуг связи, доступа в Интернет на базе беспроводных и проводных решений, включая технологии оптоволоконного доступа, WiFi и сети третьего и четвертого поколений. Среди клиентов и партнеров ОАО «ВымпелКом» - частные лица, малые, средние и крупные предприятия, транснациональные корпорации, операторы связи. Услуги предоставляются под брендом «Билайн». Начиная с 2005 года «Билайн» остается одним из лидеров в рейтинге самых дорогих российских брендов по версии авторитетной международной организации Interbrand Group. Известное исследовательское агентство «Millward Brown Optimor» включило «Билайн» в престижный список 100 самых дорогих брендов мира со стоимостью 8,16 миллиарда долларов. Также бренд «Билайн» был признан одним из 12 самых дорогих мировых брендов на рынке телекоммуникаций в рейтинге «Brandz». [65]

ОАО «ВымпелКом» входит в Группу компаний VimpelCom Ltd., которая является одним из крупнейших мировых интегрированных операторов связи. В нее входят компании связи, предоставляющие услуги голосовой связи и передачи данных на основе широкого спектра технологий беспроводной и фиксированной связи, а также широкополосного доступа в Интернет в России, Италии, Украине, Казахстане, Узбекистане, Таджикистане, Армении, Грузии, Кыргызстане, Лаосе, Алжире, Бангладеш, Пакистане, Бурунди, Зимбабве, Центральноафриканской республике и Канаде. Группа компаний VimpelCom Ltd. предоставляет услуги по всему миру на территории с общим населением около 753 миллионов человек. Компании группы VimpelCom Ltd. предоставляют услуги под брендами «Билайн», «Киевстар», «Wind», «Infostrada», «Mobilink», «Leo», «Banglalink», «Telecel» и «Djezzy». По состоянию на 31 декабря 2013 года общее количество абонентов компаний Группы VimpelCom Ltd. составляло 220 миллионов.

ОАО «ВымпелКом» было первой российской компанией, включенной в листинг Нью-Йоркской фондовой биржи (NYSE), акции которой котировались под символом VIP. Таким образом, ОАО «ВымпелКом» стал первым, кто начал внедрять в России мировые стандарты прозрачности, корпоративного управления и защиты прав инвесторов. Успех ОАО «ВымпелКом» проложил путь на международные фондовые биржи многим другим российским компаниям. После образования в апреле 2010 года холдинговой компании VimpelCom Ltd., консолидировавшей пакеты акций ОАО «ВымпелКом» и ЗАО «Киевстар Дж.Эс.Эм.», символ VIP был перерегистрирован на VimpelCom Ltd. Акции VimpelCom Ltd. котировались на Нью-Йоркской фондовой бирже (NYSE) под символом VIP. С 10 сентября 2013 года акции VimpelCom Ltd. под символом VIP котируются на NASDAQ, одной из трех крупнейших национальных фондовых бирж США, которая является также крупнейшим мировым электронным биржевым ресурсом. С момента своего создания NASDAQ делает ставки, прежде всего, на высокотехнологичные компании, такие как Microsoft Corporation, Intel Corporation и Google Inc.

На основе независимых оценок количества абонентов конкурентов Общества, ВымпелКом оценивает свою долю на российском рынке мобильной связи на уровне 23,3% на конец декабря 2014 года. GSM лицензии ВымпелКома позволяют оказывать услуги связи практически на всей территории России (на 31 декабря 2014 года). ВымпелКом имеет GSM лицензии в семи укрупненных регионах РФ, включая лицензионную территорию г. Москвы и Московской области.

По состоянию на 31 декабря 2013 года ОАО «ВымпелКом» в дополнение к лицензиям стандарта GSM, действующим на территориях укрупненных регионов РФ, имеет дополнительно 3 лицензии на территориях Оренбургской, Калининградской и Иркутской областей.

ОАО «ВымпелКом» имеет лицензии GSM на территориях следующих субъектов Российской Федерации внутри Дальневосточного укрупненного региона: Хабаровский край, Амурская область, Камчатский край, Чукотский АО, Еврейская АО, Республика Саха (Якутия), Магаданская область, Забайкальский край, Приморский край, Сахалинская область. Дальний Восток - единственный укрупненный регион в России, который покрыт GSM лицензиями не в полном объеме. ОАО «ВымпелКом» также имеет лицензию 3G (IMT-2000/UMTS), охватывающую все регионы РФ.

В 2012 г. ОАО «ВымпелКом» стало победителем конкурса на право получения лицензий на оказание услуг связи с использованием радиоэлектронных средств в сетях связи стандарта LTE и последующих его модификаций в полосе радиочастот 791-862 МГц на территории РФ. ОАО «ВымпелКом» получило 4 лицензии: услуги подвижной радиотелефонной связи, услуги связи по передаче данных, за исключением услуг связи по передаче данных для целей передачи голосовой информации, услуги связи по передаче данных для целей передачи голосовой информации, телематические услуги связи. По состоянию на 31 декабря 2014 года ОАО «ВымпелКом» оказывало услуги подвижной радиотелефонной связи стандарта LTE в 7 субъектах РФ, включая г. Москву.

Обеспечивая предоставление услуг мобильной связи в стандарте GSM и на базе технологий третьего поколения 3G ОАО «ВымпелКом» ведет коммерческие операции во всех субъектах РФ.

Также ОАО «ВымпелКом» имеет лицензии на услуги междугородной и международной, внутризоновой телефонной связи на всей территории РФ и лицензии на оказание услуг местной телефонной связи, за исключением услуг местной телефонной связи с использованием таксофонов и средств коллективного доступа на территории 71 субъекта РФ, а также ряд других лицензий в ряде субъектов РФ.

По данным независимых агентств, на конец 4-го квартала 2014 года в России было примерно 240,79 миллионов абонентов мобильной связи, а уровень проникновения составляет 170%. По состоянию на конец 2014 года ВымпелКом обслуживал 56 512 411 активных абонентов мобильной связи в России, что составляет 23 % от общего числа абонентов.

Необходимо отметить, что корпорация с самого начала уделяла значительное внимание формированию своего имиджа. С этой целью большое значение имеет факт организации мощной сервисной службы, которая состоит, как правило (в различных городах - разная организация), из трех отделов:

отдел абонентского обслуживания: в их обязанности входит общение с клиентами vis-a-vis (разбор возникающих конфликтов, например при изменении тарифных планов и т.д.), а также консультирование клиентов по поводу обращения с телефонным оборудованием;

абонентская служба: с ее созданием стало возможно решение всех проблем по телефону, что значительно сокращает время как клиентов, так и персонала компании на решение тех или иных вопросов; предоставляются любые справки о работе сети и консультирование потенциальных абонентов

VIP-отдел (группа обслуживания приоритетных клиентов, которые в какой-то степени формируют имидж компании): выделено около 500 особо важных абонентов либо стратегических партнеров, производящих оплату по взаиморасчету, или важных для имиджа “БИ ЛАЙН” знаменитостей, которые пользуются определенными льготами; именно с ними здесь ведется работа и производится их обслуживание.

Руководство компании считает, что выделение некоторых составных частей корпорации в самостоятельные, финансово независимые компании - нецелесообразно. Компания достаточно интегрирована, следовательно, если одно звено не выживет, то у остальных будут проблемы. А выводить за рамки структуры имеет смысл те группы, которые можно приобрести на открытом рынке и предоставление которых не зависит от финансового благополучия основной компании. Хотя “Вымпелком” уже вывела за свои рамки подразделение, которое занимается монтажом оборудования. Оно стало отделом предприятия, с которым сотрудничает “Вымпелком”.

Как было сказано выше, группа компаний “Вымпелком” является ведущим оператором сотовой связи России, которая оказывает услуги в стандартах DAMPS и GSM под торговой маркой “БиЛайн”. Основными конкурентами компании являются: МТС и «Мегафон».

Основные финансовые результаты деятельности компании представлены в таблице 2.1.

Общая выручка ОАО «Вымпелком» за 2014 год составила 738 ($22,55 млрд) млрд. рублей. Убыток по итогам года - 45,8 ($1,4 млрд) млрд. рублей. Количество мобильных абонентов - 220 миллионов человек. [61, с.466]

Четыре последних года деятельность ОАО «Вымпелком» характеризуется бурным ростом стоимости активов и значительным увеличением акционерного капитала. В отличие от большинства постсоветских предприятий возрастание стоимости активов происходило не за счет их переоценки, а за счет ввода новых мощностей, необходимых для расширения спектра и удовлетворения спроса на предоставляемые компанией услуги.

Таблица 2.1

Основные финансовый показатели ОАО «ВымпелКом»

Наименование показателя

2014 год

Выручка, млрд руб.

738 ($22,55 млрд)

EBITDA/OIBDA, млрд руб.

315 ($9,62 млрд)

Чистая прибыль или убыток, млрд руб.

-45,8 (-$1,4 млрд)

Рентабельность по EBITDA/OIBDA, %

42,7

CAPEX, млрд руб.

138,5 ($4,23 млрд)

Количество мобильных абонентов, млн

220

Россия

Выручка, млрд руб.

290

EBITDA/OIBA, млрд руб.

122

Рентабельность по EBITDA/OIBDA, %

41,9

Чистая прибыль, млрд руб.

н/д

CAPEX, млрд руб.

58,8

Выручка от мобильной связи, млрд руб.

240

Выручка от мобильного интернета, млрд руб.

31,7

Количество мобильных абонентов, млн

56,5

ARPU, руб.

327

MOU, мин

293

Выручка от фиксированной связи, млрд руб.

50

Количество ШПД-абонентов, млн

2,3

Украина

Выручка, млрд гривен

12,87

EBITDA/OIBDA, млрд гривен

6,24

Чистая прибыль, млрд гривен

н/д

Рентабельность по EBITDA/OIBDA, %

48,5

CAPEX, млрд гривен

1,69

Количество мобильных абонентов, млн

25,76

ARPU, гривен

36,5

MOU, мин

504


2.2 Анализ внутреннего потенциала и реализация комплекса маркетинга на предприятии ОАО «ВымпелКом»


ОАО «Вымпелком» в своей маркетинговой деятельности применяет различные методы, в том числе:

рекламу;

паблик рилейшнз;

симулирование сбыта;

личные продажи.

В своих рекламных компаниях бренда «Билайн» ОАО «Вымпелком» активно задействует звезд российского шоу-бизнеса. В качестве каналов распространения рекламы используются: телевидение, радио, интернет, печатные СМИ, наружная реклама, рекламные брошюры.

Основными инструментами паблик рилейшнз, которые применяет компания в своей деятельности, являются:

различные конференции, семинары и пресс-релизы, посвященные тому, как обстоят дела в компании, презентации новых тарифов и услуг;

публикации в СМИ, интервью с первыми лицами компании о текущем состоянии дел и планах развития.

В целях стимулирования сбыта ОАО «Вымпелком» использует следующие средства:

предоставление бесплатных услуг в течение определенного промежутка времени с целью ознакомления потенциальных клиентов: сотовая связь без абонентской платы, интернет услуги с более высокой скоростью, мелодии вместо гудков, бесплатный интернет на месяц при покупке модема;

гарантии качества услуг;

подарки к различным праздникам;

проведение различных розыгрышей ценных призов;

проведение презентаций в местах продаж.

ОАО «Вымпелком» в целях удержания и повышения своих позиций на рынке сотовой связи активно использует следующие инструменты маркетинга:

решения в сфере товарной политики, связанные с высоким уровнем качества и стандартами предоставляемых услуг;

развитие комплекса сопровождающих товаров и услуг в сети России и за рубежом, что формирует уникальное предложение;

мероприятия по брэндингу и комплексному продвижению брэнда «БиЛайн».

Поскольку на сегодняшний день рынок сотовой связи в России делят между собой несколько крупных игроков, создавая между собой жесткую конкуренцию, ОАО «Вымпелком» требуется постоянное развитие и активное применение инновационных технологий, в том числе в области маркетинга.

ОАО «Вымпелком» уже многие годы удерживает лидирующие позиции на рынке сотовой связи Российской Федерации. В ходе своей деятельности компания находится в состоянии постоянного обмена с внешним окружением, что создает основу ее успешного существования. Основной задачей руководства компании на сегодняшний день является обеспечение таких взаимоотношений с внешней средой, чтобы они способствовали достижению поставленных перед компанией целей в долгосрочной перспективе. В условиях постоянно меняющейся рыночной среды требуется проводить постоянный мониторинг рынка, на основании которого определять тенденции развития и альтернативные пути своих маркетинговых стратегий.

 

2.3 Специфика конкурентных отношений в сфере сотовой связи


ОАО «ВымпелКом» - российская телекоммуникационная компания, с 2009 года состоит в международной группе VimpelComLtd., обслуживающей 214 миллионов абонентов в 18 странах мира (данные за декабрь 2012 года). Она предлагает услуги сотовой (GSM и UMTS) и фиксированной связи, проводного (FTTB) и беспроводного (Wi-Fi) высокоскоростного доступа в Интернет, IP-телевидения физическим и юридическим лицам под торговой маркой «Билайн». Штаб-квартира находится в Москве [65].

На рынке услуг сотовой связи основными конкурентами ОАО «Вымпелком» на сегодняшний день являются:

. «МегаФон» - российская телекоммуникационная компания, оказывает услуги сотовой связи, местной телефонной связи, широкополосного доступа в Интернет, кабельного телевидения и ряд подобных услуг. «МегаФон» действует во всех 83 субъектах Российской Федерации, в Таджикистане, а также в частично признанных государствах Абхазии и Южной Осетии. Количество абонентов компании на 01 января 2014 года уже достигло 64 486 017 человек. [63]

. «Мобильные ТелеСистемы» (МТС) - российская телекоммуникационная компания, предоставляет услуги в России и странах СНГ под торговой маркой «МТС». Компания предоставляет услуги сотовой связи (в стандартах GSM, UMTS (3G) и LTE), услуги проводной телефонной связи, широкополосного доступа в интернет, мобильного телевидения, кабельного телевидения, цифрового телевидения и сопутствующие услуги, например, услуги по продаже контента. По состоянию на 31 марта 2013 года компания во всех странах своего присутствия обслуживала более 103 млн. абонентов. [64]

На сегодняшний день рынок сотовой связи в Российской Федерации характеризуется активным развитием, что обусловлено совершенствованием технологий, которые позволяют минимизировать стоимость предоставляемых услуг и постоянно повышать качество связи. В данной отрасли постоянно появляются новые услуги, которые быстро становятся доступными большинству населения.

В связи с этим, конкуренцию в отрасли можно охарактеризовать как острую. Конкуренция на рынке сотовой связи является не только ценовой или качественной. Сотовые телефоны давно уже перестали использоваться лишь в качестве средства голосовой связи. Люди используют телефон в качестве точки выхода в интернет, и доля данных услуг в доходах сотовых компаний постоянно растет.

Рассмотрим позиции основных конкурентов ОАО «Вымпелком» на сегодняшний день.

Одним из лидеров рынка сотовой связи в России и основным конкурентом компании является компания «МТС», которая опережает другие по своим финансовым показателям, числу абонентов, перечню предоставляемых услуг.

Компания «Вымпелком» занимает второе место со своей торговой маркой «БиЛайн». Данное положение компании обусловлено неоправданностью внедрения новых услуг, неготовностью потенциальных потребителей к использованию новых возможностей и несению дополнительных расходов. Основным недостатком компании считается малое число официальных представительств, что создает определенные неудобства обслуживания абонентов. [61, с.467]

Доля компаний на рынке сотовой связи по состоянию на конец 2014 года представлена на рисунке 2.1.

Рисунок 2.1 - Доля компаний по числу абонентов на рынке сотовой связи

На основе проведенных исследований на третьем месте на рынке сотовой связи в Российской Федерации находится компания Мегафон с долей рынка по состоянию на конец 2014 года в размере 23%. Это может быть обусловлено тем, что по сравнению с «Вымпелком» и «МТС» компания «Мегафон» является относительно молодой. Она была образована в 2002 году, а ее представленность на данный момент охватывает 164 страны. Помимо этого, у компании цены относительно выше других конкурентов, что делает ее менее привлекательной в глазах потребителей.

По итогам 2014 года ОАО «МегаФон» и ОАО «ВымпелКом» продемонстрировали отток абонентской базы в России, а ОАО «Мобильные ТелеСистемы» (МТС) стал лидером по подключениям новых пользователей.

База абонентов ВымпелКома по итогам четвертого квартала составила 62,568 миллиона, снизившись по сравнению с предыдущим кварталом на 0,4 %. Число абонентов МегаФона в России снизилось на 0,1 % - до 56,110 миллиона с 56,181 миллиона. Абонентская база МТС при этом возросла на 0,7 % - до 71,226 миллиона с 70,726 миллиона пользователей.

Рисунок 2.2 - Динамика изменения абонентской базы

При этом МТС стал лидером по подключению новых абонентов в РФ - на компанию пришлось 51 % новых контрактов.

В целом в России абонентская база сотовых операторов в четвертом квартале 2014 года увеличилась на 0,3 % - до 230,49 миллиона с 229,82 миллиона пользователей, а уровень проникновения сотовой связи вырос до 161,3 % с 160,9 %.

Совокупная абонентская база МТС (с учетом операций за рубежом) по итогам четвертого квартала составила 100,722 миллиона пользователей (в третьем квартале - 98,862 миллиона), ВымпелКома - 106,237 миллиона (104,387 миллиона), МегаФона - 64,613 миллиона (64,751 миллиона). [61, с.467]

Компания МТС лидирует не только по доли абонентов, но и по финансовым и операционным показателям.

Сравнение основных показателей деятельности МТС, Мегафона и Вымпелкома по состоянию на конец 2014 года приведено в таблице 2.2.

Успех ОАО «МТС» связан с правильно разработанной стратегией развития, в которой изначально ставка была сделана на охват доли рынка проводной и беспроводной связи, а также предоставление услуг по сервисному обслуживанию самого высокого уровня. Согласно мнению большинства экспертов, лидирующих позиции на рынке сотовой связи можно добиться при помощи применения инновационных технологий.

Таблица 2.2

Сравнение финансовых и операционных показателей МегаФон, ВымпелКом и МТС, 2014 год

Показатель

МегаФон

ВымпелКом

МТС

Выручка, млн. руб.

269,6

285,4

338

Рентабельность, %

43,5

42,2

43,8

Выручка от мобильной связи, млн. руб.

251,7

237

284

Выручка от мобильной передачи данных, млн. руб.

36

24,3

33

Выручка от фиксированной связи, млн. руб.

18

48,5

62


Рисунок 2.3 - Сравнение операционных и финансовых показателей, 2014 год

ГЛАВА 3. Разработка конкурентной стратегии компании ОАО «ВымпелКом»

 

.1 Оценка конкурентоспособности бренда «БиЛайн»


Конкурентоспособность предприятия - это важная характеристика его состояния и перспектив развития. Под конкурентоспособностью понимается:

способность предприятия занимать определенную долю рынка продукции и способность изменять эту долю;

способность удовлетворять нужды потребителей более качественно по сравнению с конкурентами;

эффективность, с которой предприятия применяют мощности для производства товаров и услуг;

оцененное внешней средой превосходство предприятия над конкурентами на конкретном рынке в определенный период, достигнутое без нанесения ущерба внешним субъектам, обусловленное конкурентоспособным соотношением цены и качества выпускаемой продукции, долей предприятия на рынке и уровнем конкурентного потенциала, характеризующего его способность успешно конкурировать с другими предприятиями не только в настоящий момент, но и в средне- и долгосрочном периоде. [36, с. 412]

Обобщив все вышесказанное, можно сформулировать следующее определение конкурентоспособности. Конкурентоспособность - это свойство объекта, характеризующееся степенью реального и потенциального удовлетворения им конкретной потребности по сравнению с аналогичными объектами, представленными на данном рынке. Конкурентоспособность определяется по конкретному объекту на конкретном рынке. Конкурентоспособность может быть тактической и стратегической.

Для оценки конкурентоспособности предприятия или товара применяется ряд показателей, таких как: занимаемая доля рынка; качество продукции; уровень цен; широта ассортимента; финансовая устойчивость; уровень использования производственной мощности; уровень дистрибуции; технико-экономический уровень предприятия; уровень корпоративной культуры; затраты на рубль товарной продукции; уровень инновационной активности; показатели рентабельности [28, с. 212].

В основе оценки конкурентоспособности должно находиться измерение факторов конкурентоспособности, которые по анализируемому объекту должны сравниваться с соответствующими факторами основных конкурентов либо с установленными нормативами. Предприятие не является конкурентоспособным в случае, если оно производит неконкурентоспособные товары. Таким образом, конкурентоспособность товаров становится основой конкурентоспособности предприятия в целом.

Инструментом повышения конкурентоспособности является комплексный подход по разработке и построению модели конкурентоспособности предприятия.

Для компании, осуществляющей свою деятельность на рынке услуг сотовой связи, рекомендуется комплексная оценка конкурентоспособности предприятия с построением соответствующей модели. На первом этапе построения модели предлагается построение многоугольника конкурентоспособности внутренних конкурентных преимуществ. На втором этапе в качестве высоты сложной геометрической фигуры используется рыночная доля предприятия - внешнее конкурентное преимущество. Объем сложной геометрической фигуры характеризует общую конкурентоспособность предприятия.

Для оценки конкурентоспособности можно применять обобщенный критерий внутренней конкурентоспособности предприятия, внутреннюю конкурентоспособность предприятия, а также относительную конкурентоспособность. Если внутренние конкурентные преимущества оцениваются экспертами, то для выявления согласованности их ответов следует определять коэффициент конкордации.

Конкурентоспособность бренда Билайн определяется с помощью методики комплексной оценки конкурентоспособности предприятия на основе построения многоугольника конкурентоспособности. Внутренняя и общая конкурентоспособность производилась для брендов Билайн, МТС и Мегафон. В качестве экспертов выступили пять опытных специалистов. При оценке применялась десятибалльная шкала.

Первым этапом построения модели конкурентоспособности является построение многоугольника конкурентоспособности внутренних конкурентных преимуществ. Внутренние конкурентные преимущества бренда группируются по шести наиболее значимым аспектам:

конкурентоспособность продукции;

финансовое состояние оператора;

эффективность маркетинговой деятельности;

рентабельность продаж;

имидж бренда;

эффективность системы управления.

Экспертные оценки факторов конкурентоспособности брендов Билайн, МТС и Мегафон приведены в таблице 3.1

Таблица 3.1

Экспертная оценка факторов конкурентоспособности брендов МТС, Билайн и Мегафон

Факторы

МТС

Билайн

Мегафон


1

2

3

4

5

ср. балл

1

2

3

4

5

ср. балл

1

2

3

4

5

ср. балл

Конкурентоспособность продукции Ф1

6

5

4

7

6

5,6

4

6

3

5

3

4,2

9

9

10

8

8

8,8

Финансовое состояние оператора Ф2

8

10

6

9

7

8

6

7

6

8

6

6,6

7

7

6

8

7

7

Эффективность маркетинговой деятельности предприятия Ф3

9

7

8

7

7

7,8

8

7

7

9

7

7,6

6

5

7

6

6

6

Рентабельность продаж Ф4

8

6

7

6

8

7

9

6

8

8

8

7,8

3

4

3

5

4

3,8

Имидж (марочный капитал) оператора Ф5

7

7

8

9

7

7,6

8

7

7

9

8

7,8

7

9

8

9

8

8,2

Эффективность менеджмента Ф6

4

7

4

5

6

5,2

7

8

7

5

6

6,6

7

5

4

5

6

5,4


Для оценки согласованности ответов экспертов рассчитывается коэффициент конкордации, данные для расчета коэффициента приведены в таблицах 3.2, 3.3 и 3.4.

Коэффициент конкордации изменяется в диапазоне 0<W<, причем 0 - полная несогласованность, 1 - полное единодушие.

Значение W от 0,2 до 0.4 свидетельствует о слабой согласованности экспертов, от 0,6 до 0,8 - о сильной согласованности.

Коэффициент конкордации рассчитывается по формуле:

,  (1)

где S - сумма квадратов отклонений всех оценок рангов каждого объекта экспертизы от среднего значения;

n - число экспертов;

m - число объектов экспертизы.

Таблица 3.2

Данные для расчета коэффициента конкордации по экспертной оценке бренда МТС

Фактор конкурентоспособности предприятия

Оценки экспертов

Сумма рангов

Отклонение от среднего ранга

Квадрат отклонений


1

2

3

4

5




Конкурентоспособность продукции

6

5

4

7

6

28

6,3

40,1

Финансовое состояние оператора

8

10

6

9

7

40

-5,6

32,1

Эффективность маркетинговой деятельности

9

7

8

7

8

39

-4,6

21,7

Рентабельность продаж

8

6

7

6

8

35

-0,6

0,44

Имидж (марочный капитал) оператора

7

7

8

9

7

38

-3,6

13,4

Эффективность менеджмента

4

7

4

5

6

26

8,3

69,4

Итого






206


177,3


При оценке факторов конкурентоспособности бренда МТС коэффициент конкордации W равен 0,405, что говорит о достаточной степени согласованности ответов экспертов:

*177,3/25*(216-6)=0,405 при значении среднего ранга 34,3.

Таблица 3.3

Данные для расчета коэффициента конкордации по экспертной оценке бренда Билайн

Фактор конкурентоспособности предприятия

Оценки экспертов

Сумма рангов

Отклонение от среднего ранга

Квадрат отклонений


1

2

3

4

5




Конкурентоспособность продукции

4

6

3

5

3

21

12,8

164,7

Финансовое состояние оператора

6

7

6

8

6

33

0,8

0,69

Эффективность маркетинговой деятельности

8

7

7

9

7

38

-4,1

17,3

Рентабельность продаж

9

6

8

8

8

39

-5,1

26,7

Имидж (марочный капитал) оператора

8

7

7

9

8

39

-5,1

26,7

7

8

7

5

6

33

0,8

0,7

Итого






203


236,8


При оценке факторов конкурентоспособности бренда Билайн коэффициент конкордации W равен 0,541 и свидетельствует о достаточной степени согласованности ответов экспертов:

*236,8/25*(216-6)=0,541 при значении среднего ранга 33,8.

При оценке факторов конкурентоспособности бренда Мегафон коэффициент конкордации W равен 0,981 и свидетельствует о высокой степени согласованности ответов экспертов:

*429,3/25*(216-6)=0,981 при значении среднего ранга 32,67.

Таблица 3.4

Данные для расчета коэффициента конкордации по экспертной оценке бренда Мегафон

Фактор конкурентоспособности предприятия

Оценки экспертов

Сумма рангов

Отклонение от среднего ранга

Квадрат отклонений


1

2

3

4

5




Конкурентоспособность продукции

9

9

10

8

8

44

-11,3

128,4

Финансовое состояние оператора

7

7

6

8

7

35

-2,3

5,4

Эффективность маркетинговой деятельности

6

5

7

6

6

30

2,6

7,1

Рентабельность продаж

3

4

3

5

4

19

13,6

186,7

Имидж (марочный капитал) оператора

1

9

8

9

8

41

-8,3

69,4

Эффективность менеджмента

7

5

4

5

6

27

5,6

32,1

Итого






196


429,3


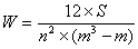
Вторым этапом производится расчет внутренней конкурентоспособности и общей конкурентоспособности каждого бренда. Площадь многоугольника или внутренняя конкурентоспособность бренда рассчитывается по следующей формуле:

, (2)

где Пкон - площадь основания пирамиды (многоугольника конкурентоспособности продукции);

sin α - угол между векторами в многоугольнике (основании), т.к. векторов в модели шесть, то угол будет равен 60о;

Ф1, Ф2….Ф6 - внутренние конкурентные преимущества предприятия.

В ходе оценки общей конкурентоспособности бренда определяется рыночная доля бренда, которая является внешним конкурентным преимуществом и характеризует реальное положение бренда по отношению к его конкурентам. Для оценки внутренней конкурентоспособности бренда необходимо привести экспертные оценки факторов к единице с помощью простой пропорции, приведенные оценки факторов конкурентоспособности представлены в таблице 3.5.

Таблица 3.5

Оценки факторов конкурентоспособности брендов МТС, Билайн и Мегафон по десятибалльной шкале и приведенные к единице

Фактор конкурентоспособности предприятия

«МТС»

«Билайн»

«Мегафон»


Десятибалльная шкала

приведенная к единице

Десятибалльная шкала

приведенная к единице

Десятибалльная шкала

приведенная к единице

Конкурентоспособность продукции

5,6

0,56

4,2

0,42

8,8

0,88

Финансовое состояние предприятия

8

0,8

6,6

0,66

7

0,7

Эффективность маркетинговой деятельности

7,8

0,78

7,6

0,76

6

0,6

Рентабельность продаж

7

0,7

7,8

0,78

3,8

0,38

Имидж (марочный капитал) предприятия

7,6

0,76

7,8

0,78

8,2

0,82

Эффективность менеджмента

5,2

0,52

6,6

0,66

5,4

0,54


Внутренняя конкурентоспособность бренда МТС равна 1,228 при конкурентоспособности идеала 2,6:

ПМТС=Ѕ*sin(60*3,14/180)*(0,56*0,8+0,8*0,78+0,78*0,7+0,7*0,76+0,76*0,52+0,52*0,56)=1,228

Пидеала=Ѕ*sin(60*3,14/180)*(1*1+1*1+1*1+1*1+1*1+1*1)=2,597.

Внутренняя конкурентоспособность «Билайн» равна 1,20:

ПМТС=Ѕ*sin(60*3,14/180)*(0,42*0,66+0,66*0,76+0,76*0,78+0,78*0,78+ 0,78*0,66+0,66*0,42)=1,20

Внутренняя конкурентоспособность «Мегафон» равна 1,08:

ПМТС=Ѕ*sin(60*3,14/180)*(0,88*0,7+0,7*0,6+0,6*0,38+0,38*0,82+0,82* 0,54+0,54*0,88)=1,08

Для расчета общей конкурентоспособности применяется следующая формула:

, (3)

где Эк - оценка конкурентоспособности оператора сотовой связи.

Общая конкурентоспособность бренда МТС равна 0,119 или 12 %:

/3*1,227*0,292=0,119.

Общая конкурентоспособность бренда Билайн равна 0,138 или 14 %:

/3*1,199*0,346=0,138.

Общая конкурентоспособность бренда Мегафон равна 0,096 или 10 %:

/3*1,079*0,2684=0,119.

Общая конкурентоспособность идеала равна 0,563 или 56,3 %, т.к. рыночная доля не может превышать 65 %:

/3*2,6*0,65=0,563.

Относительная внутренняя конкурентоспособность оператора рассчитывается по следующей формуле:

,      (4)

где ПМТС - внутренняя конкурентоспособность «МТС» (площадь многоугольника равняется сумме площадей шести его секторов);

Пбаза - внутренняя конкурентоспособность базы сравнения (конкурента или идеала).

Относительная внутренняя конкурентоспособность бренда Билайн по отношению к МТС равна 97,72 %, к Мегафон - 111,11 %, к идеалу - 21 %.

Относительная общая конкурентоспособность бренда рассчитывается следующей по формуле:

, (5)

где ЭМТС - общая конкурентоспособность бренда (объем сложной геометрической фигуры);

Эбаза - общая конкурентоспособность базы сравнения (конкурента или идеала).

Относительная общая конкурентоспособность Билайн к МТС равна 115,97 %, к Мегафон - 153,33 %, к идеалу - 24,51 %.

Показатели внутренней, общей конкурентоспособности бренда Билайн и конкурентов, относительной внутренней конкурентоспособности и относительной общей конкурентоспособности Билайн представлены в таблице 3.6.

Таблица 3.6.

Показатели конкурентоспособности бренда Билайн

Уровни конкурентоспособности

Билайн

МТС

Мегафон

Идеал

Доля рынка

0,346

0,292

0,2684

0,65

Внутренняя конкурентоспособность

1,2

1,228

1,08

2,6

Общая конкурентоспособность

0,138

0,119

0,09

0,563

Относительная внутренняя конкурентоспособность Билайн, %


97,72

111,11

46,15

Относительная общая конкурентоспособность Билайн,%


115,97

153,33

24,51


Из полученных результатов видно, что относительная внутренняя конкурентоспособность бренда Билайн выше, чем у Мегафон на 11,11 %, однако ниже чем у МТС на 2,38%. При этом общая конкурентоспособность Билайн выше алогичного показателя МТС на 15,97% и выше Мегафона на 53,33%. Полученные данные обусловлены, в том числе тем, что Билайн имеет самую крупную долю на рынке сотовой связи - 34,6%.

3.2 Разработка рекламной стратегии бренда «БиЛайн»


Компания ОАО «ВымпелКом» решила, что все рациональные аргументы в борьбе за потребителя на сегодняшний день исчерпаны и необходимо воздействовать в рекламной стратегии на чувства абонентов. С этой целью было осуществлено обновление бренда. Суть обновления заключалась не только в изменениях визуального образа торговой марки Билайн, но в предложении новой философии образа компании.

Новый логотип компании состоит из двух частей: уникального графического написания слова «Билайн» и круглого черно-желтого знака. Основными цветами нового логотипа являются желтый, черный и белый. Сочетание черно-желтых полосок является отличительной чертой бренда «Билайн». В качестве дополнительных цветов используются также серый и красный. Что касается шрифтов, то основным шрифтом бренда «Билайн» стал Officina Serif, а шрифтом в Интернете является Verdana.

Формирование нового имиджа бренда Билайн происходило двумя мировыми агентствами: Wolff Olins, клиентами которого являются такие компании как Orange, Indesit, Sky, Альфа-банк, «Экспресс», Unilever, и стратегического партнера ОАО «ВымпелКом» агентства BBDO.

Изменение имиджа бренда коснулось всех аспектов деятельности компании: корпоративного сайта, рекламных брошюр, наружной рекламы, офисов, карт экспресс-оплаты, сим-карт, бланков договоров и прочего. В целях продвижения нового имиджа в офисах продаж абонентам бесплатно раздавалась различная сувенирная атрибутика бренда Билайн. Затраты на изменение имиджа бренда составили более двух миллионов долларов.

Основной целью ребрендинга было достижение роста и развития компании путем увеличения лояльности потребителей и роста объема продаж. Обновление бренда дало возможность ОАО «Вымпелком» выделиться среди конкурентов, в том числе при помощи активной рекламной стратегии.

Согласно мнению руководства ОАО «Вымпелком» ранее использовавшийся лозунг бренда Билайн «С нами удобно» потерял свою актуальность, поскольку на сегодняшний день нет необходимости убеждать абонентов, что сотовая связь удобна. Однако требовалось учесть, что на первом месте для потенциальных потребителей услуг сотовой связи стоит удобство и простота при использовании услуг, а также дружественность по отношению к ним.

Фактором успеха обновленного бренда Билайн стало то, что компания начала процесс ребрендинга раньше своих конкурентов, что дало возможность осуществить это с меньшими затратами, поскольку реклама дорожает со временем. Помимо этого, компания, которая осуществляет ребрендинг первой среди своих конкурентов, всегда имеет преимущества.

Еще одним фактором успеха стало сохранение идеи удобства сотовой связи, пусть не в лозунге, но в политике компании.

В рамках проведенного ребрендинга была разработана новая рекламная стратегия бренда Билайн. Основной упор в ней был сделан на продвижении нового образа бренда и закреплении его в сознании потребителей. Созданные в рамках новой рекламной кампании ролики стали яркими и запоминающимися. Стоит особенно выделить некоторые из них:

)        Рекламная кампания «От подарка не убежишь». В ходе проведения данной кампании ОАО «Выспелком» дарило своим клиентам небольшие сувениры бесплатно. Абоненты компании общались между собой, копили и обменивали на подарки черно-желтые полоски.

Идеей рекламного ролика стало то, что подарки настигают людей помимо их воли. Целевой аудиторией рекламы стали студенты и школьники, которые любят коллекционировать различные сувениры известных брендов. Такими сувенирами стали рекламные шары, шапки и перчатки с новой символикой Билайн. Целью было формирование желания у человека стать обладателем полной коллекции.

)        Рекламная кампания «Фильм - бренд».

Новый имиджевый ролик - «Когда настанет время оглянуться назад, что я вспомню?» - доносил информацию о настроении и ценностях бренда «Билайн».

Основная идея ролика была направлена на эмоциональное восприятие. В нем показан собирательный образ абонента Билайн с такими качествами как сила, мужественность, уверенность в себе, целеустремленность, позитив, достижение цели. Целью данного ролика стало формирование желания зрителей приобщиться к данному образу, стать похожим на него.

)        Рекламная компания «Семья». Семья» - тарифный план для тех, родственники и друзья которых часто общаются по сети Билайн. Звонки внутри сети стали вдвое дешевле.

По сюжету ролика происходит позитивное общение членов семьи между собой по телефону. Основная идея - все абоненты Билайн - одна большая дружная семья. Рекламная кампания была направлена на широкий круг потребителей.

)        Рекламная компания, посвященная приезду Мадонны в Россию «Прорвись на концерт Мадонны!»

Ролик, посвященный приезду Мадонны в Москву преподносил информацию о том, как можно попасть на концерт. В основу ролика легла поддержка компанией звезды первой величины. В ходе рекламной кампании на официальном сайте Билайн были размещены песни и видеоклипы Мадонны. Цель кампании - формирование лояльности потребителей. Целевая аудитория - поклонники Мадонны и просто ценители хорошей музыки.

)        Рекламная кампания «Доверительный платеж». Слоган данной кампании: «Когда баланс близок к нулю, мы временно пополним счет по вашей просьбе!»

Героем данной рекламной кампании в телевизионном ролике стал ребенок, образ которого призван вызвать теплые чувства у представителей старшего поколения.

)        «Пираты Карибского моря на wap.beeline.ru». Рекламный ролик содержал следующий текст: «Пираты Карибского моря на краю света - мировая премьера в вашем мобильном! Держите курс на wap.beeline.ru - и вы сможете погрузиться в мир настоящих пиратов, просто скачав их в свой мобильный. Смотрите кадры из нового фильма на wap.beeline.ru еще до его российской премьеры!» [65]

Целью данной рекламной кампании было формирование лояльности к бренду широкой аудитории населения.

)        Рекламная кампания «Летний безлимит». Став ее участником, абонент получал возможность все лето совершать неограниченное число звонков по трем «любимым» номерам сети Билайн.

В качестве рекламного ролика был выбран юмористический сюжет: вставные челюсти, «сидящие» на заборе в черно-желтую полоску - извергают из себя беспрерывные словесные потоки.

)        Рекламная компания «SMS нон-стоп». Текст рекламного сообщения: «Отправляйте SMS нон-стоп! В разгар увлекательной SMS-переписки с друзьями бывает не просто оторваться даже на минуту. Не останавливайтесь - наслаждайтесь SMS-общением без остановки!»

По сюжету юмористического ролика рука с желто-черной повязкой вокруг запястья- выполняет сложные па на клавиатуре мобильного телефона.

)        Рекламная компания «Мега R’n’B-микс на wap.beeline.ru!». В рамках данной рекламной кампании, которая была основана на популярности данного музыкального направления среди молодежи, были привлечены многие представители жанра R’n’B. Текст рекламного сообщения «Проведите это лето в ритмах R’n’B! Бьянка, Nelly Furtado, Pussycat Dolls, Fergie, Akon, 50 Cent, Лигалайз - качественные реалтоны этих и многих других исполнителей ждут вас на wap.beeline.ru и на голосовом музыкальном портале 0775.»

Характерной чертой всех рекламных роликов Билайн стало место действия: вне зависимости от сюжета ролика, на экране оставался белый фон. При этом необходимым условием было присутствие в кадре новой символики бренда - черно-желтых полос. Символика могла использоваться в одежде, персонажах, деталях интерьера и пр. Все ролики были направлены на формирование позитивного настроя и положительного отношения к бренду Билайн.

Помимо этого ОАО «Вымпелком» в рамках новой рекламной стратегии активно сотрудничает с различными телевизионными шоу, фестивалями, что позволяет повысить репутацию бренда Билайн в глазах абонентов, вызывая лояльность с их стороны.

Основными чертами новой рекламной стратегии ОАО «Вымпелком» стали следующие.

Компания несомненно пошла на существенный риск, произведя ребрендинг и без того известной и пользующейся популярностью торговой марки. При этом необходимо отметить, что особой необходимости в данном изменении не было - на рынке сотовой связи в тот момент не происходило сколь-нибудь серьезных изменений: не были введены новые услуги, не появилось новых конкурентов. При данных обстоятельствах успех нового бренда полностью зависел от того, насколько удастся убедить абонентов в том, что он лучше просто, потому что новый.

На протяжении всей своей деятельности бренд Билайн демонстрирует положительную динамику своих основных показателей и, исходя, из опыта ведущих мировых компаний, именно при позитивном отношении клиентов к бренду следует проводить его обновление, в случае, когда это необходимо.

Согласно различным маркетинговым исследованиям, маркетинговая деятельность ОАО «Вымпелком» оценивается как крайне высокая. Основное внимание в ней уделяется решению активных проблем, которые заключаются в формировании и стимулировании спроса на услуги сотовой связи и мобильного интернета. Компания применяет весьма дорогостоящие и действенные способы коммуникации и каналы распространения рекламы.

Одной из таких форм, активно применяющихся при продвижении бренда, Билайн является рекламная кампания в сети Интернет.

С целью формирования положительного имиджа бренда Билайн в глазах потребителей можно предложить следующие мероприятия:

сформировать общество профессионалов по сотовым технологиям, которое стало бы лидером общественного мнения в данной области. Это дало бы возможность ОАО «Вымпелком» создать еще более положительное мнение о компании и услугах, а также быстрее распространять информацию о своей деятельности;

осуществлять финансирование проведения научных изысканий в сфере сотовой связи и мобильного интернета;

осуществлять публичное предоставление информации о показателях своей деятельности. Данный шаг уже был осуществлен компанией в 2012 году, основываясь на опыте крупнейших международных корпораций, что позволило сформировать среди потребителей мнение об ОАО «Вымпелком» как о стабильно развивающейся организации, сотрудничающей с крупнейшими партнерами;

выпуск корпоративного издания с публикацией новостей рынка сотовой связи, что позволило бы сократить расходы на рекламу в печатных средствах массово информации. В данном издании можно представлять информацию о новых услугах и тарифах бренда Билайн.

Помимо этого с целью привлечения внимание потенциальных инвесторов компании необходимо более активно принимать участие в различных профильных выставках, семинарах и конференциях, а также выступать организатором подобных мероприятий. Объявления об их проведении необходимо размещать на профильных сайтах и рассылать заинтересованным лицам.

Особое внимание компании необходимо обратить на процесс внутренних коммуникаций, поскольку именно он дает возможность повышать эффективность работы с клиентами, исследовать их и формировать на основе анализа положительный образ бренда. Для этого необходимо:

постоянный анализ предоставляемых услуг и тарифных планов дилерами и сотрудниками компании. Представители компании должны обладать полной информацией о самой компании, бренде, всех существующих тарифных планах, конкурентных преимуществах и прочей необходимой для клиентов информацией;

формировать у сотрудников компании доброжелательность и коммуникабельность по отношению друг к другу и к клиентам;

активно использовать принцип превращения случайного посетителя офиса продаж в абонента Билайн;

выяснять у существующих клиентов контактные данные потенциальных абонентов и привлекать их;

информировать сотрудников о деятельности и новостях компании при помощи различных рассылок, проведения собраний и семинаров.

 

ЗАКЛЮЧЕНИЕ


Реклама - это форма коммуникации, при помощи которой качества товаров и услуг переносятся на язык нужд и потребностей людей.

Реклама в комплексе маркетинга выполняет функции формирования образа товара, придания ему социально-психологической значимости, отделения его от товаров конкурентов и сообщения информации о нем для потребителя.

Основу рекламы составляют, во-первых, продуманная стратегия, во-вторых - творческое решение. Наибольшую сложность в разработке рекламы представляет формулирование основной концепции, которая будет стимулировать к покупке, выделять товар из ряда ему подобных. Творческое решение является неотделимым от разработанной концепции, поскольку оно помогает усилить ее восприятие, сделать рекламу более наглядной и убедительной, усилив, таким образом, эффект, производимый на потребителя.

Задачами рекламной стратегии являются:

определение образа товара, который должен быть заложен в основу рекламы, для того, чтобы потребитель предпочел его из ряда подобных. Рекламная стратегия должна определять смысл всех рекламных сообщений, те свойства товара, на которые будет направлена реклама и то, на какую целевую аудиторию она направлена;

донесение информации о выгодах и преимуществах данного товара для потребителя. В основе данной информации лежит тот факт, что в глобальном смысле мотивами покупки, как правило, являются два фактора: решение при помощи товара какой-либо проблемы, либо приобщение человека при помощи товара к чему-либо, что он считает для себя значимым.

Выбор рекламной стратегии должен происходить с учетом следующих факторов:

специфики определенной группы товаров;

специфических свойств самого товара и возможности их выделения;

рекламные стратегии конкурентов;

умонастроения целевой аудитории.

Целью данной работы было рассмотрение формирования рекламной стратегии на конкурентном рынке бренда «БиЛайн». В ходе выполнения работы были сделаны следующие выводы:

бренд Билайн является одним из лидеров на рынке услуг сотовой связи;

основными конкурентами Билайн на российском рынке являются МТС и Мегафон;

конкурентные преимущества бренда Билайн заключаются в относительно длительном существовании компании на рынке, постоянной разработке новых услуг и активной маркетинговой политике;

маркетинговую деятельность ОАО «Вымпелком» можно охарактеризовать как активную: компания использует такие маркетинговые инструменты как реклама, связи с общественностью, личные продажи и другие способы стимулирования сбыта;

в рамках проведенного ребрендинга бренда Билайн рекламная стратегия компании претерпела существенные изменения: был изменен общий лозунг компании, основные рекламные средства и каналы распространения информации. Более активно стала использоваться сеть Интернет, в которой размещались все рекламные ролики, созданные для телевидения;

успех новой рекламной стратегии бренда Билайн в рамках произведенного ребрендинга был обусловлен тем, что компания решилась на этот шаг первой на рынке сотовой связи в России и осуществила это на волне своего успеха, что позволило сохранить положительное отношение к ней со стороны потребителей. Немаловажным стало и то, что все рекламные материалы, разработанные согласно новой рекламной стратегии, отличались высоким качеством, четким позиционированием и позитивным настроем, что усилило лояльность потребителей к бренду и позволило привлечь новых абонентов.

СПИСОК ИСПОЛЬЗОВАННОЙ ЛИТЕРАТУРЫ


Основная литература

1.       Акулич, И.Л. Маркетинг: учебник для студентов высших учебных заведений по экономическим специальностям / И. Л. Акулич. - Минск: Вышэйшая школа, 2010. - 524 с.

2.      Белоусова, С.Н. Маркетинг: учебное пособие по специальностям экономики и управления / С.Н. Белоусова. - Ростов-на-Дону: Феникс, 2010. - 381 с.

.        Борушко, Н.В. Маркетинговые коммуникации: курс лекций / Н. В. Борушко. - Минск: БГТУ, 2012. - 306 с.

.        Брассингтон Ф., Петтитт С. Основы маркетинга / Ф. Брассингтон, С. Петтитт. - М.: Бизнес Букс, 2014. - 536 с.

.        Годин, А.М. Маркетинг: учебник для экономических вузов по направлению "Экономика" и специальности "Маркетинг" / А.М. Годин. - Москва: Дашков и Кº, 2010. - 671 с.

.        Еремин, В.Н. Маркетинг. Основы и маркетинг информации: учебник / В.Н. Еремин. - М.: КноРУс, 2014. - 648 с.

.        Казущик, А.А. Основы маркетинга: учебник / А.А. Казущик. - Минск: Беларусь, 2011. - 246 с.

.        Кобелев, О. А. Электронная коммерция: учебник для студентов / О.А. Кобелев. - Москва: Дашков и Кº, 2011. - 682 с.

.        Котлер, Ф. Основы маркетинга: краткий курс: [перевод с английского] / Филип Котлер. - Москва [и др.]: Вильямс, 2012. - 488 с.

.        Липсиц И.В., Дымшиц М.Н. Основы маркетинга: учебник / И.В Липсиц., М.Н. Дымшиц. - М.: Геотар-Медиа, 2014. - 208 с.

.        Масленников, Роман. 101 совет по PR / Роман Масленников. - М.: Альпина Паблишер, 2012. - 68 с.

.        Мельникова, Н.А. Медиапланирование: стратегическое и тактическое планирование рекламных кампаний / Н.А. Мельникова. - М.: Дашков и К, 2009. - 177 c.

.        Моосмюллер, Г. Маркетинговые исследования с SPSS: учеб. пособие / Г. Моосмюллер, Н.Н. Ребик. - 2-е изд. - М.: ИНФРА-М, 2011. - 198 c.

.        Макашева, З.М. Брендинг / З.М. Макашев. - СПб.: Питер, 2014. - 204 с.

.        Маркетинг. Менеджмент: экспресс-курс / Ф. Котлер, К. Л. Келлер. - Санкт-Петербург [и др.]: Питер: Мир книг, 2012. - 479 с.

.        Маркетинг: учебник для магистров, аспирантов и специалистов, осуществляющих маркетинговую деятельность / [И.М. Синяева и др.]. - Москва: Вузовский учебник: Инфра-М, 2013. - 383 с.

.        Маркетинг в коммерции: учебник: для студентов / И.М. Синяева, С.В. Земляк, В.В. Синяев. - Москва: Дашков и Кº, 2011. - 543 с.

.        Маркетинговые коммуникации: учебник: для высших учебных заведений по специальности "Маркетинг" / И.М. Синяева, С.В. Земляк, В.В. Синяев. - Москва: Дашков и К°, 2011. - 323 с.

.        Маркетинг в вопросах и решениях: учебник для студентов / И.В. Захарова, Т. В. Евстигнеева. - Москва: КноРус, 2011. - 303 с.

.        Маркетинг взаимоотношений вуза [Текст] : монография / Т.В. Бакун ; АНО ВПО "Омский экономический ин-т". - Омск : ОмЭИ, 2013. - 155 с.

.        Маркетинг: учебник для студентов / Б.А. Соловьев, А.А. Мешков, Б.В. Мусатов. - Москва: Инфра-М, 2013. - 335 с.

.        Маркетинг: учебное пособие по направлению 080500 "Менеджмент" / Л.Е. Басовский, Е.Н. Басовская. - Москва: Инфра-М, 2010. - 420 с.

.        Маркетинг: [перевод с английского] / Роман Хибинг, Скотт Купер. - Москва: Эксмо, 2010. - 846 с.

.        Маркетинг и массовые коммуникации в обеспечении устойчивого развития территории и предприятия [Текст] : международная научно-практическая конференция, октябрь 2013 : сборник статей / Департамент информатизации Правительства Пензенской обл., Пензенский гос. ун-т, Каф. гос. упр. и социология региона, О-во "Знание" России, Приволжский дом знаний ; [под ред. А.В. Осташкова, С.И. Неделько, В.Н. Ретинской]. - Пенза : Приволжский дом знаний, 2013. - 61, [1] с.

.        Маркетинговое управление деловой активностью субъектов малого бизнеса : теоретико-методологический аспект : автореферат дис. ... доктора экономических наук : 08.00.05 / Сидорчук Роман Роальдович; [Место защиты: Рос. эконом. ун-т им. Г.В. Плеханова]. - Москва, 2013. - 50 с.

.        Маркетинг: теория и инструменты [Текст] / Кошель Н.В. ; М-во образования и науки Российской Федерации ; Ростовский гос. экономический ун-т (РИНХ). - Ростов-на-Дону : Ростовский гос. экономический ун-т, 2013. - 91 с.

.        Маркетинг инноваций: закономерности, тенденции и перспективы использования на современных российских предприятиях [Текст] / Е.Н. Скляр ; М-во образования и науки Российской Федерации, Брянский гос. технический ун-т. - Брянск : Изд-во БГТУ, 2013. - 148 с.

.        Маркетинговые исследования: учебник для студентов / Т.Г. Зорина, М. А. Слонимская. - Минск: БГЭУ, 2010. - 410 c.

.        Маркетинг: учебник для экономических вузов / Р.К. Цахаев, Т.В. Муртузалиева. - Москва: Дашков и Кº, 2009. - 548 с.

.        Маркетинг [Электронный ресурс] : практикум / И.В. Завойская, Ю.А. Лимарева ; Федер. гос. бюджетное образоват. учреждение высш. проф. образования "Магнитогорский гос. технический ун-т им. Г.И. Носова". - Магнитогорск : МГТУ им. Г.И. Носова, 2013. - 1 электрон. опт. диск (CD-ROM); 12 см.

.        Маркетинг [Электронный ресурс] : конспект лекций / сост. Скопина И.В., Бакланова Ю.О., Скопин О.В. - Киров : МЦНИП, 2013. - 1 электрон. опт. диск (CD-ROM); 12 см.

.        Мазилкина, Е.И. Маркетинговые коммуникации: Учебно-практическое пособие / Е.И. Мазилкина. - М.: Дашков и К, 2012. - 256 c.

.        Музыкант, В.Л. Интегрированные маркетинговые коммуникации: Учебное пособие / В.Л. Музыкант. - М.: ИЦ РИОР, НИЦ ИНФРА-М, 2013. - 216 c.

.        Основы маркетинга. Теория и практика: [учебное пособие] / И.И. Пичурин, О.В. Обухов, Н.Д. Эриашвили. - Москва: ЮНИТИ-ДАНА, 2011. - 381 с.

.        Прокшина, Т.П. Маркетинг: учебник / Т.П. Прошкина. - Ростов-на-Дону: Феникс, 2010. - 314 c.

.        Синяева, И.М. Маркетинг: теория и практика: учеб. для студ. вузов, обуч. по экон. спец. / И.М. Синяева, О.Н. Романенкова. - М.: Юрайт, 2014. - 652 с.

.        Скотт, Дэвид Мирман. Новые правила маркетинга и PR: как использовать социальные сети, блоги, подкасты и вирусный маркетинг для непосредственного контакта с покупателем / Дэвид Мирман Скотт; пер. с англ. [В. Апанасик, Г. Огибин]. - 2-е изд. - М.: Альпина Паблишерз, 2011. - 347 с.

.        Токарев, Б.Е. Маркетинговые исследования: учебник / Б.Е. Токарев. - 2-е изд., перераб. и доп. - М. : Магистр: ИНФРА-М, 2011. - 508 с.

.        Управление маркетингом: [учебник для вузов: перевод с английского] / Н. Капон, В. Колчанов, Дж. Макхалберт. - Санкт-Петербург [и др.]: Питер, 2013. - 832 с.

.        Финансовый маркетинг: теория и практика [Текст] : учебник для магистров : учебник для студентов высших учебных заведений, обучающихся по экономическим направлениям и специальностям / [Артемьева О. А. и др.] ; под. общ. ред. С. В. Карповой ; Финансовый ун-т при Правительстве Российской Федерации. - Москва : Юрайт, 2013. - 424 с.

.        Шаляпина, Н.М. Маркетинг: учеб. пособие для студ. вузов региона / Н.М. Шаляпина; Дальневост. гос. техн. рыбохоз. ун-т. - Владивосток: Дальрыбвтуз, 2011. - 263 с.

.        Шаповалов, В.А. Управление маркетингом и маркетинговый анализ: учеб. пособие / В.А. Шаповалов. - Ростов н/Д : Феникс, 2010. - 345 с.

Дополнительная литература

43.     Анализ рынка мобильной связи в России в 2005-2010 гг, прогноз на 2011-2014 гг, Цифроград

44.    Васильев, Г.А. Рекламный маркетинг: Учебное пособие / Г.А. Васильев, В.А. Поляков. - М.: Вузовский учебник, НИЦ ИНФРА-М, 2013. - 276 c.

.        Герасимов, Б.И. Маркетинговые исследования рынка : учеб. пособие / Б.И. Герасимов, Н.Н. Мозгов. - М.: ФОРУМ, 2009. - 333 с.

.        Голова, А.Г. Управление продажами : учебник / А.Г.Голова. - М.: Дашков и К, 2013. - 277 с.

.        Дурович, А.П. Маркетинг: курс интенсивной подготовки: [учебное пособие] / А.П. Дурович. - Минск: Современная школа, 2010. - 253 с.

.        Зулькарнаев И.У., Ильясова Л.Р. Метод расчета интегральной конкурентоспособности промышленных, торговых и финансовых предприятий // Маркетинг в России и за рубежом. 2001. № 4 (24). С. 17-27.

.        Каменева, Н.Г. Маркетинговые исследования: учеб. пособие по спец. "Маркетинг" / Н.Г. Каменева, В.А. Поляков. - М.: Вузовский учебник: ИНФРА-М, 2011. - 437 с.

.        Кеннеди, Дэн. Секретное оружие маркетолога: найдите ваше уникальное преимущество, превратите его в мощное рекламное сообщение и донесите до правильных клиентов / Дэн Кеннеди; [пер. с англ. А. Яковенко]. - М.: ГИППО, 2012. - 203 c.

.        Ким, С.А. Маркетинг: учеб. для студ. Вузов / С.А. Ким; Федер. ин-т развития образования. - М.: Дашков и К, 2010. - 257 с.

.        Ламбен Ж.-Ж., Чумпитас Р., Шулинг И. Менеджмент, ориентированный на рынок / пер. с англ. под ред. В.Б. Колчанова. 2-е изд. СПб., 2008.

.        Портер М. Конкурентная стратегия: Методика анализа отрасли и конкурентов / пер. с англ. М., 2007.

.        Романцов, А.Н. Event-маркетинг: сущность и особенности организации: практ. пособие / А.Н.Романцов. - М.: Дашков и К, 2014. - 114 с.

.        Ромат, Е.В. Реклама: [учеб. для студ. вузов, изуч. маркетинг, менеджмент, паблик рилейшнз] / Е.В.Ромат. - СПб.: Питер, 2014. - 508 с.

.        Сак А.В. Журавлев В.А. Оптимизация маркетинговых решений / А.В. Сак В.А. Журавлев. - М.: Гревцов, 2010. - 302 с.

.        Сиганова, О.В. Кросскультурный маркетинг : учеб. пособие / О.В. Сиганов. - М.: ИНФРА-М, 2011. - 261 c.

.        Симонян, Т.В. Маркетинг и маркетинговые коммуникации: учеб. пособие для студ. вузов / Т.В. Симонян, Т.Г. Кизилова. - Ростов н/Д: Феникс, 2011. - 212 c.

59.    Смирнов В.П., Ерохина Л.Д., Горбатенко А.В. Оценка конкурентоспособности организации // Гуманитарные научные исследования. 2014. № 6 [Электронный ресурс]. URL: <http://human.snauka.ru/2014/06/7272>

.        Стародубцева Е.А. К вопросу о трактовке понятия «конкурентоспособность предприятия» // Известия Иркутской государственной экономической академии. 2011. № 4. С. 132-135.

.        Фомина Т.А. Анализ рынка операторов сотовой связи [Текст] / Т.А. Фомина // Молодой ученый. - 2014. - №18. - С. 466-468.

.        Шарков, Ф.И. Интегрированные коммуникации: правовое регулирование в рекламе, связях с общественностью и журналистике: учеб. пособие для студ. вузов, обуч. по направлению подгот. (спец.) "Связи с общественностью" / Ф.И. Шарков; Междунар. акад. бизнеса и упр.; Ин-т современных коммуникационных систем и технологий. - 3-е изд., перераб. и доп. - М. : Дашков и К, 2011. - 332 с.

.        Официальный сайт Мегафон http://www.megafon.ru

.        Официальный сайт МТС http://www.mts.ru/

.        Официальный сайт Вымпелком http:// beeline.ru

Похожие работы на - Формирование рекламной стратегии фирмы на конкурентном рынке (на примере ОАО 'ВымпелКом')

 

Не нашли материал для своей работы?
Поможем написать уникальную работу
Без плагиата!
Без нейросетей!