Управление транспортной системой предприятия ООО 'САХО-Агро Ульяновск'

  • Вид работы:
    Дипломная (ВКР)
  • Предмет:
    Менеджмент
  • Язык:
    Русский
    ,
    Формат файла:
    MS Word
    380,2 Кб
  • Опубликовано:
    2015-06-29
Вы можете узнать стоимость помощи в написании студенческой работы.
Помощь в написании работы, которую точно примут!

Управление транспортной системой предприятия ООО 'САХО-Агро Ульяновск'

 
 












Дипломный проект

Управление транспортной системой предприятия ООО "САХО-Агро Ульяновск"














Оглавление

Введение

1. Транспортная система как часть транспортной логистики предприятия

1.1 Виды транспортных систем

.2 Методы оценки эффективности транспортной системы

.3 Методы и средства оптимизации транспортных потоков предприятия

2. Анализ деятельности предприятия ООО "САХО-Агро Ульяновск"

2.1 Организационно-правовая форма предприятия

.2 Анализ деятельности предприятия ООО "САХО-Агро Ульяновск"

.3 Анализ экономической деятельности предприятия ООО "САХО-Агро Ульяновск"

.4 Анализ эффективности управления перевозками предприятия

. Разработка проекта по совершенствованию транспорта на предприятии ООО "САХО-Агро Ульяновск"

.1 Мероприятия по повышению эффективности управления транспортом

.2 Экономическая оценка предлагаемых мероприятий на предприятии ООО "САХО-Агро Ульяновск"

Заключение

Список использованных источников

Введение

Повышение эффективности управления перевозками грузов связано с техническим усовершенствованием подвижного состава транспорта и погрузочно-разгрузочных средств и оптимизацией грузопотоков по таким параметрам как скорость, стоимость и безопасность.

Являясь частью логистической системы транспортная система напрямую влияет на эффективность предприятия и его развитие. В связи с этим, тема дипломного исследования, посвященная управлению транспортной системой, является актуальной.

Объектом исследования является предприятие ООО "САХО-Агро Ульяновск".

Предмет исследования - управление транспортной системой предприятия ООО "САХО-Агро Ульяновск.

Цель исследования - повышение эффективности управления транспортом на транспортном предприятии ООО "САХО-Агро Ульяновск".

Для достижения поставленной цели решаются следующие задачи:

исследование методов и средств управления транспортными системами;

анализ деятельности предприятия ООО "САХО-Агро Ульяновск";

разработка мероприятий по повышению эффективности управлению транспортом;

экономическая оценка разработанных мероприятий.

При решении этих задач были использованы методы: аналитический, статистики, сравнения, экономико-математического моделирования.

1. Транспортная система как часть транспортной логистики предприятия

управление транспортный перевозка груз

1.1 Виды транспортных систем

Логистика - часть экономической науки, предмет которой заключается в организации рационального процесса продвижения товаров и услуг от производителей к потребителям, функционирования сферы обращения продукции, товаров, услуга, управления товарными запасами, создания инфраструктуры товародвижения.

Логистику можно рассматривать как стратегическое управление материальными потоками в процессе закупки, снабжения, перевозки, продажи, и хранения материалов, деталей и готового инвентаря (техники и проч.). Понятие включает в себя также управление соответствующими потоками информации, а также финансовыми потоками. Логистика направлена на оптимизацию издержек и рационализацию процесса производства, сбыта и сопутствующего сервиса как в рамках одного предприятия, так и для группы предприятий. [37, стр. 221]

Логистические системы очень разнообразны по охвату деятельности предприятия (и по пониманию современного российского менеджмента). Для некоторых логистика это просто умение работать с базами данных, для некоторых - снабженческая или складская деятельность. Но по своему назначению (а главное её назначение - уменьшение затрат при условии выполнения плановых заданий, а следовательно увеличение эффективности производственной деятельности) логистические системы должны охватывать практически все (кроме бухгалтерских, кадровых и т.п.) направления деятельности. Логистическая система - совокупность действий участников логистической цепи (предприятий-производителей, транспортных, торговых организаций, магазинов, и пр.), построенных таким образом, чтобы выполнялись основные задачи логистики. [8, стр. 21]

Как и любая другая логистическая система состоит из подсистем. Все подсистемы логистической системы делятся на две категории:

функциональные подсистемы (производственная, транспортная, складская);

обеспечивающие подсистемы (информационная, правовая, кадровая).

Формирование в организации логистических систем может происходить в следующих условиях:

отсутствия централизованного управления логистическими функциями, т.е. логистической системы как таковой;

неспособность существующей логистической системы выполнять поставленные цели и задачи. [2, стр. 54]

Как и любая другая логистическая система состоит из подсистем. Все подсистемы логистической системы делятся на две категории:

функциональные подсистемы (производственная, транспортная, складская);

обеспечивающие подсистемы (информационная, правовая, кадровая).

Главное предназначение логистики на предприятии - внедрение логистической системы, необходимой для преодоления материалами и товарами пространства и времени.

Под логистикой предприятия понимается:

управление материальными потоками (связанными с ними информационными, финансовыми потоками) с целью снижения общих затрат на продвижение товара (услуг) к конечному потребителю;

логистических связанных функций, посредством которых максимально удовлетворяются потребности потребителей;

функциональная система управления предприятием с целью организации информационного обмена и оборота финансовых средств. [39, стр. 69]

Чтобы логистическая система предприятия работала, необходима не только координация действий базисных составляющих, но и должен обеспечиваться требуемый набор услуг при максимально возможном уменьшении затрат, возникающих при выполнении логистических операций. При этом должен быть установлен баланс, выгодный как поставщику, так и потребителю.

Рис. 1. Классификация логистических систем

Логические цели достаточно универсальны и вполне органично вписываются в стратегические и тактические цели хозяйственной организации. [11, стр. 37]

Транспортная система как часть логистических систем

Транспортная система - транспортная инфраструктура, транспортные предприятия, транспортные средства и управление в совокупности. Единая транспортная система обеспечивает согласованное развитие и функционирование всех видов транспорта с целью максимального удовлетворения транспортных потребностей при минимальных затратах.

Цель транспортной системы - оптимальное, наиболее эффективное перемещение грузов, то есть - оптимизация транспортной системы.

Транспортная система помогает решать задачу транспортировки изготовленной продукции. При этом осуществляется ее, экспедирование, грузопереработка, оформление необходимых документов, страхование рисков, таможенные процедуры и многое другое.

Цель транспортной системы - доставить продукцию в место назначения, причем сделать это:

как можно быстрее;

как можно дешевле;

без потерь и повреждений груза;

без ущерба для окружающей среды.

Транспортная система в отношении имеющихся транспортных средств действует в двух направлениях:

эксплуатация;

обслуживание и ремонт.

Первое из указанных направлений включает составление договора перевозки (в зависимости от вида транспорта оно имеет определенные особенности) и управление транспортом, которое происходит на протяжении всего следования товара от производителя к потребителю и заключается в последовательном решении таких задач, как:

выбор вида транспорта (их сочетаний), мест и способов перегрузки с одного вида транспорта на другой;

маршрутизация движения транспорта (если это позволяет его вид);

контроль движения транспорта.

Второе направление предполагает решение вопросов, связанных с необходимостью повышать технический уровень транспортировки, осуществлять широкую информатизацию этого процесса на основе использования компьютерной техники.

Таким образом, транспортная система позволяет управлять не только отдельными коммерческими операциями транспортировки (подготовкой грузов, оформлением документов и др.), но и всем технологическим процессом. [16, стр. 101]

При организации транспортировки продукции наиболее важным вопросом является выбор способа транспортировки, вида транспорта и логистических посредников. Он осуществляется на основе нескольких важных критериев:

минимальные затраты на транспортировку (тарифы на перевозку, расходы на транспортно-экспедиционные операции, затаривание, погрузку, разгрузку, сортировку и пр.);

ограниченное время доставки (доставка должна быть своевременной и как можно более быстрой);

минимальные затраты, связанные с запасами в пути, наименьший ущерб от несвоевременной доставки;

мощность и доступность вида транспорта (существует пять основных видов транспорта: железнодорожный, водный, автомобильный, воздушный и трубопроводный);

вид груза (в зависимости от вида транспорта используется определенный способ классификации грузов);

максимальная надежность и безопасность перевозки (обеспечение сохранности груза);

соблюдение экологических требований;

высокий уровень сервиса (предоставление широкого спектра нетрадиционных услуг, применение новейших достижений в области связи).

Все большую популярность в настоящее время приобретают перевозки, осуществляемые одним экспедитором из одного диспетчерского центра по одному транспортному документу.

Необходимость в транспортной логистике диктуют следующие обстоятельства:

транспортировка играет существенную роль в создании эффективной системы, объединяющей снабжение, производство, сбыт и потребление продукции;

транспортные издержки составляют большой процент (до 50%) общих затрат предприятия на перемещение товара до его потребителя;

стоимость транспортировки в очень большой степени влияет на внешнеторговую цену товара;

при выборе каналов сбыта возникает множество проблем, связанных именно с транспортировкой;

в последнее время возникают все новые транспортно-экспедиционные предприятия, занимающиеся организацией и оптимизацией доставки товаров по стране и за ее пределами. [17, стр. 183]

Транспортные перевозки являются результатом работы логиста: оптимизация маршрута, выбор транспорта. Система по организации доставки, а именно по перемещению каких-либо материальных предметов, веществ из одной точки в другую по оптимальному маршруту.

Современная транспортная система учитывает множество факторов для определения наиболее выгодного маршрута. Прежде всего протяженность, продолжительность пути и экономичность выбираемого маршрута. Для эффективной маршрутизации (составления планов доставки, оптимизации перевозок, оптимизации доставки) необходима компьютерная обработка исходных данных (заказы, параметры груза, автопарк, временные требования и т.д.) с использованием электронных карт и специальных баз данных (дорожно-знаковая обстановка, интенсивность движения, адресные базы и т.д.) с помощью специального программного обеспечения.

Поэтому залог успешной работы - автоматизация управления транспортной системы.

Анализ является одной из важнейших функций управления предприятием. В системе анализа формируется информация в форме, удобной для принятия управленческих решений. Анализ бывает внутренний и внешний. Признаком разделения анализа на эти категории является характер используемых для него источников информации. Внешний анализ (финансовый) базируется на публикуемых отчетных данных, то есть на ограниченной части информации о деятельности предприятий, которая может стать достоянием общества. Внутренний анализ (управленческий) использует всю достоверную информацию о состоянии дел предприятия, доступную лишь ограниченному кругу лиц - управленческому персоналу предприятия. [15, стр. 54]

Управление - это функция систем различной природы (технических, биологических или социальных). Оно направлено на реализацию их целей с поддержанием присущей им структуры.

В процессе управления происходит взаимодействие двух объектов - управляющего и управляемого, которые соединены каналами прямой и обратной связи.

По каналу прямой связи передается управляющие сигналы. Системы управления с одной только прямой связью называются разомкнутыми. Если система управления получает информацию об объекте управления по каналу обратной связи и производит необходимые корректирующие воздействия на объект управления, то такие системы управления называются замкнутыми.

Модели транспортной системы. При формировании логистических систем разрабатывается несколько вариантов. Каждый из них выделяется издержками, типом транспорта, скоростью поставки, надежностью, ритмичностью, оригинальностью упаковки и складирования. [22, стр. 28]

Для оценки работы транспортного хозяйства применятся система технико-экономических показателей, основными из которых являются:

техническая скорость движения транспортного средства. Определяется как отношение длины пути от начального до конечного пункта ко времени движения транспортного средства. Расчетная техническая скорость движения транспорта в зависимости от условий эксплуатации может составлять 60-90 км/ч;

эксплуатационная скорость транспортного средства. Определяется как отношение длины пути от начального до конечного пункта ко времени стоянки на начальном, промежуточных и конечном пунктах.

коэффициент использования грузоподъемности транспортного средства. Равен отношению массы одновременно перевозимого груза к грузоподъемности транспортного средства.

коэффициент использования пробега транспортного средства. Равен отношению пути, проходимого транспортным средством с грузом, к пути, проходимого без груза. Сокращение пробега без груза (холостой ход) за счет рациональной маршрутизации улучшает использование транспортных средств и снижает потребность в их количестве.

коэффициент использования рабочего времени транспортного средства. Определяется как отношение фактического времени работы транспортного средства к календарному времени за один период. При нормальной эксплуатации должен быть не менее 0,85.

Для повышения эффективности управления транспортной системы применяется ряд моделей, каждая из моделей учитывает соблюдение сроков и размера партий доставки, отсутствие случаев повреждения и неправильной засылки грузов, предоставление дополнительных услуг и т.д.

Оценка по каждому из критериев позволяет получить комплексную оценку эффективности транспортного обслуживания.

.2 Методы оценки эффективности транспортной системы

Жесткие финансовые условия, в которых осуществляется планирование поставок продукции, низкий уровень надежности предприятий-поставщиков, большие временные интервалы между началом планирования поставок и их реальным осуществлением обостряют вопросы сырьевого обеспечения предприятий-грузополучателей. Актуальность проблемы заставляет искать новые методы, подходы организации обеспечения предприятия-потребителя с позиции своевременности обеспечения и одновременно минимизации сопутствующих расходов. Для его разрешения используется логистический подход к процессу доставки грузов. Частной задачей этого подхода является проблема оптимизации расписания поставок грузов на предприятие для доставки грузов "точно в срок" при минимальных затратах, трудовых и материальных ресурсов.

Основное условие этого принципа требует, чтобы сырьевые материалы, товары и их компоненты, прежде всего, были готовы для монтирования, комплектации заказов, их отправления и доставки, когда возникает спрос, как в границах производства, так и за его пределами. Поставка материалов, сырья, готовой продукции "точно в срок" оказывает благоприятное влияние на функционирование всей экономической системы. Логистика в полной мере работает на потребителя. Поэтому считают, что реализация функции сбыта в сфере логистики осуществляется через посредство (шесть правильных условий): груз, качество, количество, время затраты и пункт назначения. "Точно в срок" (ТВС) наиболее распространенная в мире логистическая концепция. Основная идея концепции ТВС заключается в следующем: если производственное расписание задано, то можно так организовать движение материальных потоков, что все материалы, компоненты будут поступать в необходимом количестве, в нужное место и точно к назначенному сроку для дальнейшего производства, продажи. При этом страховые запасы, замораживающие денежные средства фирмы, не нужны. ТВС является также одним из основных принципов бережливого производства. [3, стр. 86]

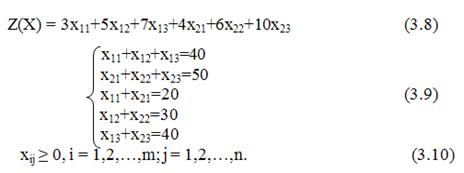
Математическая модель транспортных перевозок. Базовой моделью оптимизации транспортных перевозок является транспортная задача, объединяющая широкий круг задач линейного программирования. Для решения транспортной задачи применяются специальные методы, которые позволяют найти начальное опорное решение, а затем, улучшая его, получить последовательность опорных решений, которая завершается оптимальным решением. Переменными (неизвестными) транспортной задачи являются xij, i=1,2,...,m j=1,2,...,n - объемы перевозок от i-го поставщика каждому j-му потребителю. Эти переменные могут быть записаны в виде матрицы (1.1) перевозок


Так как произведение Cij*Xij определяет затраты на перевозку груза от i-го поставщика j-му потребителю, то суммарные затраты на перевозку всех грузов равны, формула (1.2)


По условию задачи требуется обеспечить минимум суммарных затрат. Следовательно, целевая функция задачи имеет вид (1.3):


Система ограничений задачи состоит из двух групп уравнений.

Первая группа из m уравнений описывает тот факт, что запасы всех m поставщиков вывозятся полностью и имеет вид (1.4):


Вторая группа из n уравнений выражает требование удовлетворить запросы всех n потребителей полностью и имеет вид (1.5):


Учитывая условие неотрицательности объемов перевозок математическая модель выглядит следующим образом (1.6):


В рассмотренной модели транспортной задачи предполагается, что суммарные запасы поставщиков равны суммарным запросам потребителей, т.е.:


Такая задача называется задачей с правильным балансом, а модель задачи закрытой. Если же это равенство не выполняется, то задача называется задачей с неправильным балансом, а модель задачи - открытой.

Одним из важнейших факторов, оказывающих влияние на эффективность использования транспортных средств, является расстояние перевозки, от величины которого зависит количество транспортной работы.

Стратегическое планирование - это процесс формирования планов, которые обеспечивают долговременную выгоду компании. Такое определение связано с осуществлением главной цели - наблюдение за ценами и максимизация доходов. Логистическое управление должно гармонировать с философией и практикой стратегического планирования. Стратегическое планирование порождает цепь реакций в организации и составлении оперативных планов и ежедневной деятельности предприятия. Но стратегическое планирование не может предсказать будущее с точностью 100%, поэтому перед руководителем возникает сложная задача управления ресурсами в условиях неопределенности. [5, стр. 97]

Трудности превращения плана в действие следующие:

динамика оперативной сферы, характеризуется неопределенностью и изменчивостью;

планирующая организация, которая изготовляет аналогичную продукцию, в стратегическом плане не является единственной - есть другие конкуренты. Конкурент может располагать лучшими стратегическими планами, действовать более активно и целеустремленно;

нельзя планировать, ориентируясь только на предысторию, на прошлый опыт, а надо иметь в своем распоряжении возможные альтернативы, способные дать ответ на вопросы "как, если, что?". [7, стр. 318]

Многочисленными исследовании доказано, что чем меньше будет выполняться перевозка транспортной продукции, измеряемой в тонно-километрах, тем лучше для народного хозяйства нашей страны. Это связано с тем, что сокращение транспортной работы сопровождается снижением транспортных затрат и уменьшение потребности в транспортных средствах. Поэтому перевозки грузов должны осуществляться по возможности на короткие (оптимальные) расстояния для всех отраслей народного хозяйства.

Максимальную производительность однотипного подвижного состава можно получить на том маршруте, где будут минимальные затраты времени. Однако критерий, по которому находят оптимальное решение, определяется не только затратами времени, а той целью, которую необходимо достигнуть при решении задачи оптимального варианта проезда. Наиболее часто в качестве критерия принимается минимум суммарного пробега, так как при одинаковых условиях движения на всех участках маршрута план, оптимальный по пробегу, будет оптимальным по затратам времени и стоимости.

Не применяя никаких вычислений, кратчайший путь между двумя пунктами можно выбрать в том случае, если они находятся в пределах видимости. Если же они достаточно удалены друг от друга, то возникают различные варианты передвижения, которые необходимо сравнить, чтобы выбрать наилучший.

Если перевозки выполняются на территории города, то, как правило, там насчитывается очень большое количество пунктов отправки и приема грузов. С целью уменьшения трудоемкости определения кротчайших расстояний, грузопотоков и построения транспортной сети используют способ, заключающийся в том, что вместо большого разнообразия конкретных пунктов устанавливают условные. Для этого разделяют весь город на определенное количество микрорайонов и все грузообразующие и грузопоглощающие пункты, расположенные в пределах данного микрорайона, условно считают расположенными в центре микрорайона. Этим приемом большое число пунктов заменяется небольшим количеством центров, и вместо огромного числа транспортных связей между пунктами рассматриваются связи между микрорайонами.

Величина общего пробега с грузом зависит от того, какой грузоподъемности транспортные средства будут применяться для выполнения перевозок, причем с уменьшением ее общий пробег будет возрастать. Это одна из причин, вызывающая несоответствие между величинами расчетной и фактической экономической эффективности от применения ЭММ в планировании перевозок грузов. Вполне понятно, что использование транспортных средств возможно большей грузоподъемности будет способствовать сокращению затрат на перевозки.

Для обеспечения максимальной производительности транспортных средств необходимо, чтобы автомобили прибывали в погрузочно-разгрузочные пункты по расписанию согласно оптимальной интенсивности входящего потока. Каждый пункт погрузки или разгрузки, как известно, представляет собой систему массового обслуживания, для которых оптимальная интенсивность входящего потока автомобилей может быть найдена с помощью аналитических моделей или путем моделирования процесса обслуживания автомобилей в системе грузового пункта на основе метода статистических испытаний.

Имея достаточное количество подвижного состава, можно обеспечить прибытие автомобилей в соответствии с оптимальной интенсивностью, тем самым загрузить оборудование пункта, обслуживающее транспортные средства (весы, подъемники и т.п.), но это еще не означает, что будет обеспечен максимальный суточный завоз (вывоз) груза. Например, при доставке зерна на заготовительный пункт (элеватор) безразлично, какой грузоподъемности взвешивать автомобили, лишь бы они вмещались на площадку весов и не превышали их возможностей. Но чем меньшей грузоподъемности автомобиль будет занимать весы, тем меньше будет доставлено груза, хотя по времени оборудование может использоваться на 100%.

1.3 Методы и средства оптимизации транспортных потоков предприятия

Создание оптимизированных маршрутов позволяет точно определить объем перевозок грузов со снабженческо-сбытовых предприятий, количество автомобилей, осуществляющих эти перевозки, способствует сокращению простоя автомобилей под загрузкой и разгрузкой, эффективному использованию подвижного состава и высвобождению из сфер обращения значительных материальных ресурсов потребителей. Вместе с тем планирование перевозок позволяет повысить производительность автомобилей при одновременном снижении количества подвижного состава, поступающего на предприятие притом же объеме перевозок.

Если созданы оптимальные маршруты и соблюдаются сроки поставки, то производственные запасы потребителей могут сокращаться в 1,5-2 раза, снижая тем самым затраты на складирование. Необходимость маршрутизации перевозок грузов обосновывается еще и тем, что маршруты дают возможность составления проектов текущих планов и оперативных заявок на транспорт, исходящих из действительных объемов перевозок.

Таким образом, разработка эффективных маршрутов и проектов планов перевозок способствует своевременному и бесперебойному выполнению поставок продукции и эффективному взаимодействию организаций-поставщиков, организаций-получателей и автотранспортных организаций. Подводя итог вышесказанному можно с уверенностью сказать, что задача оптимизации маршрутизации транспортных средств становится особо актуальной в условиях данной экономической ситуации.

Цель оптимизации транспортных перевозок. Так как имеется большое количество объектов доставки, то необходимо оптимизировать маршруты перевозок и оперативно реагировать на все изменения. Следовательно, можно определить цель оптимизации транспортных перевозок:

разработать алгоритм оптимизации грузоперевозок с учетом временных окон и грузоподъемности транспортных средств. Для достижения поставленной цели необходимо решить следующие основные задачи:

- сформулировать математическую постановку задачи маршрутизации транспорта с условием ограничений;

выбрать (разработать) критерии оптимизации;

разработать модифицированный генетический алгоритм оптимизации грузоперевозок с учетом временных окон и грузоподъемности транспортных средств;

экспериментально проверить эффективность работы алгоритма.

Для оптимизации маршрутов применяется ряд методов.

Метод Кларка-Райта. Был разработан двумя британскими учеными Г. Кларком (G. Clarke) и Дж.В. Райтом (J.W. Wright). Несмотря на давность разработки, он до сих пор остается одним из самых популярных методов для решения данной задачи, о чем свидетельствует практика его применения. Метод Кларка-Райта относится к числу приближенных, итерационных методов и предназначается для компьютерного решения задачи развозки. Этот алгоритм использует понятие выигрышей, чтобы оценить операции слияния между маршрутами. Выигрыш - мера сокращения стоимости, полученная комбинированием двух маленьких маршрутов в один больший маршрут. Достоинствами метода являются его простота, надежность и гибкость. Погрешность решения не превосходит в среднем 5-10%. Однако, учитывая жадный характер алгоритма Кларка-Райта, полученные решения имеют часто недостаточное качество относительно более сложных подходов. Необходимо также учесть, что после первых нескольких итераций в задачах со многими ограничениями вероятность слияний маршрута может решительно уменьшиться, мы не имеем возможности контролировать количество маршрутов.

Эвристические методы вставок. Наилучшее решение для конкретных исходных данных может быть найдено путем последовательного применения различных эвристических методов, используя для сравнительной оценки качества приближения длину полученного маршрута. Рассмотрим 3 наиболее популярных эвристических алгоритма:

- метод ближайшего соседа;

метод ближайшего города;

метод самого дешевого включения.

В методе ближайшего соседа, пункты плана последовательно включаются в маршрут, причем, каждый очередной включаемый пункт должен быть ближайшим к последнему выбранному пункту среди всех остальных, еще не включенных в состав маршрута.

Метод ближайшего города на каждом шаге алгоритма строит допустимый маршрут по текущему подмножеству пунктов уже включенных в маршрут, добавляя к нему новый пункт из числа еще не включенных в маршрут, для которого найдется ближайший сосед из числа пунктов уже принадлежащих маршруту.

Метод самого дешевого включения на каждом шаге алгоритма проводит допустимый маршрут по текущему подмножеству пунктов, уже включенных в маршрут, добавляя к нему новый пункт, включение которого между некоторыми смежными пунктами приводит к минимальному увеличению стоимости (длины) маршрута.

Однако любой эвристический метод базируется на формально не обоснованных соображениях, поэтому невозможно доказать, что эвристический алгоритм для любых исходных данных находит решения близкие к оптимальному.

Табу-поиск. Основоположником эвристического алгоритма табу поиска является Ф. Гловер, который предложил принципиально новую схему локального поиска. Табу поиск является мета-эвристическим алгоритмом, который ведет местный поиск, чтобы уберечь его от попадания в ловушку преждевременных местных оптимумов, запрещая те перемещения, которые возвращают поиск к предыдущим решениям и приводят к циклической работе. Основным механизмом, позволяющим алгоритму избегать локальный оптимум, является табу список, который обновляется в конце каждой итерации. Выбор лучшего решения в окрестности происходит таким образом, что он не принимает ни одного из запрещённых атрибутов. Алгоритм табу поиска является довольно перспективным, однако введение штрафов на нарушение всех видов ограничений в целевую функцию не дает гарантий нахождения допустимых решений. [6, стр. 49]

Роль транспорта в повышении эффективности деятельности компаний по продвижению грузов наглядно продемонстрировала технология "точно вовремя". При ее применении не требуется содержания большого складского хозяйства, ускоряется оборачиваемость капитала. Эта технология предусматривает доставку грузов "точно вовремя" по заранее разработанным и согласованным между участниками логистической цепи графикам поставок. [41, стр. 9]

Доставка товара по жесткому графику требует четкой работы управленческого персонала по планированию, контролю и диспетчеризации поставок. Ведь при возникновении нарушения поставок участники логистической цепи несут значительные финансовые потери.

Затраты на транспортировку могут составлять 40% и более процентов в общей стоимости товаров. Применение логистики считается успешным, если транспортные расходы составляют около 10% от расходов на закупку этих товаров. [9, стр. 398]

В зависимости от стратегии и задач логистической системы осуществляется выбор транспорта для доставки продукции. При этом учитываются размещение производства, технико-экономические особенности различных видов транспорта, определяющие сферы их рационального использования.

К основным задачам транспортной логистики относятся:

выбор транспортно-технологической системы доставки;

выбор перевозчика (определение вида транспорта, посредника транспортировки и типа транспортного средства);

согласование транспортного процесса с работой склада;

размещение груза внутри транспортного средства;

маршрутизация перевозок и контроль движения груза в пути;

обеспечение сохранности груза при транспортировке.

Очень часто при организации перевозок решается задача разработки альтернативных вариантов между пунктами отправления и назначения. Объем перевозимых грузов известен (заказ на поставку составлен потребителем товара). [10, стр. 69]

Организация перевозок - это подготовка транспортного процесса, выбор подвижного состава и погрузочно-разгрузочных механизмов, выбор рациональной формы взаимодействия транспортных и погрузочно-разгрузочных средств, выбор маршрута движения.

Организация перевозок включает:

планирование;

оперативное управление;

учет и контроль;

установление порядка документооборота;

расчеты за перевозки.

Критериями выбора способа доставки в логистике могут выступать:

минимум затрат на перевозки (минимальная себестоимость перевозки или минимальные тарифы);

минимум времени товара в пути (минимальное время доставки);

минимум риска несвоевременной доставки (надежность перевозки);

максимум провозной способности транспорта (возможность перевезти требуемые объемы груза);

готовность к перевозке в любой момент времени и обеспечение ее в различных условиях (доступность услуг, их независимость от погодных условий и т.д.);

минимум потерь груза при транспортировке (сохранность товара, его защищенность от потерь, порчи, повреждений и хищений).

Особая роль отводится автомобильному транспорту, как самому гибкому и мобильному в составе транспортного комплекса. Без автомобильного транспорта невозможна реализация современных логистических технологий (таких как "точно вовремя"; "от двери до двери" - DDT - сервис) в системах снабжения и сбыта товаропроизводителей. Расчеты за транспортные услуги осуществляются с помощью транспортных тарифов. Эти тарифы включают:

плату, взыскиваемую за перевозку грузов;

сборы за дополнительные операции, связанные с перевозкой грузов;

правила исчисления плат и сборов.

Известно, что в условиях конкуренции неизбежна борьба за клиента, в том числе и при оказании транспортных услуг. Это вносит коррективы в транспортные тарифы. [12, стр. 7]

Для каждого конкретного случая доставки разрабатывается транспортно-технологическая схема перевозок, определяющая последовательность выполнения операций. Решение технологических вопросов тесно связано с организацией перевозок.

В некоторых случаях это может быть один, самый важный для грузовладельца критерий.

Решая задачу выбора вида транспорта, важно все просчитать и не допустить подмены критериев, что может привести к неверному решению.

Стоимостная оценка необходима для всех критериев, а не только для расчета затрат на транспортировку. Так, необходимо оценивать ущерб из-за прогнозируемых потерь груза при перевозке, из-за недостаточной доступности транспортных услуг или недостаточной провозной мощности и т.д. При таком подходе главным критерием является показатель затрат, связанных с доставкой товара. На уровень затрат влияет множество факторов, которые необходимо учитывать в соответствии с концепцией полной стоимости. При осуществлении такого логистического подхода работа отдельных звеньев логистической цепи настраивается на получение главного результата - продвижение материального потока с минимальными затратами. Низкая надежность перевозки - это не только срыв времени доставки и связанные с этим затраты, но и доставка товара позже конкурентов т. е. срыв выгодного контракта и т.д.

На практике не всегда проводится детальный расчет значения приведенных критериев для анализируемых вариантов. Нередко для принятия решения достаточно качественных оценок типа "дороже - дешевле", "лучше-хуже" и т.д.

К числу факторов, влияющих на выбор способа транспортного обеспечения, можно отнести такие; как:

наличие дополнительных услуг по экспедированию, комплектации, доставке груза;

гибкость маршрута;

возможность переадресации в пути;

регулярность работы транспорта;

квалификация персонала перевозчика;

контроль движения груза в пути при помощи средств связи;

гибкость тарифных схем перевозок;

порядок подачи заявки на перевозку;

качество транспортных услуг;

экономичность транспортных средств.

Перечень факторов, которые учитываются при транспортировке товара конкретным предприятием, может существенно меняться и насчитывать еще более нескольких десятков позиций, но главным при рыночной экономике остается показатель затрат.

Часто при выборе вида транспортного средства используется экспертная оценка значимости различных факторов. Главными в этом случае являются: надежность соблюдения графика доставки, время доставки, стоимость перевозки.

Тарифы являются формой цены на услуги транспорта. Построение тарифов должно обеспечивать:

транспортному предприятию - возмещение расходов на транспортировку, а также возможность получения прибыли;

покупателю транспортных услуг - возможность покрытия транспортных расходов.

Стоимость перевозки - один из главных факторов, влияющих на выбор транспортного средства.

Известно, что в условиях конкуренции неизбежна борьба за клиента, в том числе и при оказании транспортных услуг. Это вносит коррективы в транспортные тарифы. [14, стр. 132]

Выводы

Проведенные исследования управление транспортной системы позволяет сделать ряд выводов.

. Транспортная система является одним из элементов повышения эффективности предприятия.

. Для оптимизации транспортной системы применяют методы: "Точно в срок", Кларка-Райта, эвристические методы вставок, Табу-поиск.

. Критериями оценки эффективности функционирования транспортной системы являются: скорость движения, минимальные затраты на перевозку груза, соблюдения графика доставки груза, гибкость маршрута,- возможность переадресации в пути, контроль движения груза в пути при помощи средств связи, качество транспортных услуг, экономичность транспортных средств.

2. Анализ деятельности предприятия ООО "САХО-Агро Ульяновск"

2.1 Организационно-правовая форма предприятия

Общества с ограниченной ответственностью "САХО-Агро Ульяновск".

Адрес: 433211, Ульяновская область, Карсунский район, р.п. Языково, улица Горького, д. 23.

"Сибирский аграрный холдинг" - это группа агропромышленных компаний, развивающихся под единым брендом САХО. Как управляющая компания, САХО был образован в 2000 году в Новосибирске. Начав деятельность на высококонкурентном рынке, САХО в сжатые сроки завоевал прочные позиции, сформировав вертикально интегрированную структуру, охватывающую полный цикл от сельскохозяйственного производства до реализации готового хлеба.

Предприятие представляет собой самостоятельно хозяйствующий субъект, который организовывается и функционирует в соответствии с законодательными и нормативными актами. Основными целями, которые преследуются учредителями при создании предприятия, являются:

оказание общественных, социально значимых услуг и работ;

предоставление грузовых перевозок, удовлетворяющей потребности общества;

и как конечная цель и результат деятельности - извлечение прибыли.

Срок деятельности Общества не ограничен. Деятельность Общества прекращается по решению директора, либо по основаниям, предусмотренным Федеральным законом "Об обществах с ограниченной ответственностью".

В 2007 г. на территорию района привлечен инвестор ООО "САХО-АГРО Ульяновск".

ООО "САХО-АГРО Ульяновск" реализует инвестиционный проект по организации выращивания зерновых культур по передовой технологии с применением удобрений, гербицидов и крупнозахватной техники, заказы на перевозку различных грузов.

Период реализации проекта 2008-2012 гг.

Технико-экономические показатели проекта:

Площадь обрабатываемых земель - 23,7 тыс. га. 2008 г.;

объем инвестиций - 31,4 млн. руб.;

создание 52 рабочих места.

Посеяно яровых зерновых культур на площади 3797 га.

валовый сбор зерновых - 4816 тонн;

посев озимых зерновых культур на площади 8730 га. 2009 г.;

посев яровых зерновых культур на площади 2941 га.;

посев озимых зерновых культур на площади 9800 га. 2010-2012 гг.;

ввод в оборот земель общей площадью 23,7 тыс.га.

Основные конкуренты: ООО "ОХЗ-инвест", ООО "Звенигород-хлеб", ОАО "Форнакс", ООО "Химтэк", ООО "Цецера-1", ЗАО "Карасукский мелькомбинат", ООО "Леда".

Основной целью инвестиционного проекта "САХО-Агро-Ульяновск" является возвращение в оборот заброшенных земель, чтобы из произведенного на них зерна выпекать на собственных хлебопекарных предприятиях хлеб, который будет реализовываться в регионе по ценам, доступным для самых широких слоев населения.

На сегодняшний день сельскохозяйственные угодья "САХО-Агро-Ульяновск" располагаются в 11 районах Ульяновской области, численность сотрудников превышает 250 человек, в 2012 г. планируется создать еще около 350 рабочих мест. Ульяновский агрохолдинг САХО оснащен современной высокопроизводительной техникой, обладает собственными элеваторными мощностями. Первые результаты работы "САХО-Агро-Ульяновск" можно наблюдать на полях области в нынешнем году. Уборочные работы предприятие провело на площади более 24000 га, выполняется план по посеву озимых на 38500 га. Уже в первый год освоения залежи урожайность составила до 26 ц/га.

Структура организации - это те фиксированные взаимосвязи, которые существуют между подразделениями и работниками организации. Её можно понимать как установленную схему взаимодействия и координации технологических и человеческих элементов. Структура управления характеризуется составом и информационными взаимосвязями самостоятельных подразделений или отдельных исполнителей, расположенных в последовательной соподчинённости и наделённых определёнными правами и обязанностями.

Структура ООО "САХО-Агро Ульяновск" представлена на рис. 2.1.

Предприятие возглавляет генеральный директор, обеспечивающий общее управление предприятия и отвечающий за конечный результат его деятельности. Он осуществляет координацию всех служб и отделов предприятия, разрабатывает стратегические направления развития предприятия и их экономическую целесообразность.

В обязанности главного бухгалтера входит контроль и отражение на счетах бухгалтерского учёта всех осуществляемых предприятием хозяйственных операций, составление в установленные сроки бухгалтерской отчётности и баланса. Руководит бухгалтерией, ведёт кадровую работу.

Рис. 2.1. Структура ООО "САХО-Агро Ульяновск"

Технический директор контролирует состояние автопарка предприятия, исправность всего оборудования, бесперебойную доставку водителями организации продукции от завода-производителя на склады предприятия и своевременную доставку и отгрузку товара клиентам. Также выполняет обязанности, связанные с обеспечением административно-хозяйственной деятельности предприятия.

Общества с ограниченной ответственностью являются на сегодняшний день наиболее распространенным организационно-правовой формой коммерческих предприятий в сфере малого и среднего бизнеса. Основным преимуществом является то, что учредители несут ограниченную ответственность по долгам созданной ими организации в пределах стоимости вкладов, внесенных в уставный капитал.

Государственная регистрация предприятия - это официальная процедура по присвоению предприятию статуса юридического лица. Данный статус дает возможность участвовать в хозяйственном обороте страны. Среди основных признаков, характеризующих предприятие, можно выделить:

наличие собственного обособленного имущества, предназначенного для ведения хозяйственной деятельности;

наличие учредительных и бухгалтерских документов (в частности, баланса), устава;

наличие наименования, содержащего сведения об организационно-правовой форме действующего предприятия.

Фирма, как и любое юридическое лицо, обладает своими правами и обязанностями.

Среди основных прав можно выделить:

право выступления в хозяйственном обороте от своего имени;

право заключения различных видов договоров с физическими и юридическими лицами;

право на выступление в суде в качестве истца либо ответчика.

К обязанностям относятся:

обязанность своевременного предоставления отчетностей в государственные и налоговые органы;

обязанность отвечать всем своим имуществом перед кредиторами и бюджетом в случае невозможности погашения обязательств иными путями.

Современное законодательство предусматривает классификацию по следующим признакам:

по назначению готовой продукции (производящие предметы потребления и средства производства);

по размерам (мелкие, средние, крупные);

по специализации (комбинированные, специализированные, диверсификационные);

в зависимости от типа производственного процесса (единичный, серийный, опытный, массовый тип);

по виду основной деятельности (промышленные, транспортные, торговые, предприятия по оказанию услуг и другие);

по форме собственности (государственные, муниципальные, коллективные, частные, совместные). [18, стр. 285]

Общество с ограниченной ответственностью (ООО) - учрежденное одним или несколькими лицами общество, уставный капитал которого разделен на доли определенных учредительными документами размеров; участники общества с ограниченной ответственностью не отвечают по его обязательствам и несут риск убытков, связанных с деятельностью общества в пределах стоимости внесенных ими вкладов.

Уставный капитал общества с ограниченной ответственностью составляется из стоимости вкладов его участников. Данная организационно-правовая форма распространена среди мелких и средних предприятий.

Регистрация организационно-правовых форм предприятия. Уставной капитал при регистрации ООО складывается из долей участников. При этом 50% уставного капитала должны быть оплачены до государственной регистрации.

В ООО процедура увеличения уставного капитала значительно проще: после принятия решений и совершения необходимых действий в Устав ООО вносятся соответствующие изменения, осуществляется государственная регистрация таких изменений.

ООО характеризуется более закрытым характером отношений между участниками. Есть возможность включить в устав запрет на отчуждение участником своей доли третьим лицам или требование о получении согласия участников и самого ООО на совершение такой уступки.

В целом права участника ООО защищены в наибольшей степени: вложив средства в общее дело, в случае нецелесообразности дальнейшего участия в обществе он может не только вернуть вложенные средства, но и получить значительный доход. С другой стороны, право участника на выход из общества является одним из недостатков этой организационно-правовой формы предприятия, т.к. участник, владеющий значительной долей, может практически "развалить" общество: в результате выхода такого участника общество лишится большей части своего имущества.

В ООО сложнее принять решения, выгодные лишь части участников общества, т.е. требуется большая согласованность действий участников.

В ООО совет директоров не наделен эффективными контрольными функциями, и деятельность руководителя может контролировать только общее собрание участников общества, порядок функционирования которого не позволяет компании оперативно решать возникающие в процессе ее хозяйственной деятельности задачи.

Для защиты имущественных интересов участников бизнеса в ущерб его стабильности следует создавать ООО.

.2 Анализ деятельности предприятия ООО "САХО-Агро Ульяновск"

Экономический анализ представляет собой глубокое научно обоснованное исследование всех результатов в хозяйственном процессе.

На основе анализа изучается и оценивается вся финансово-хозяйственная деятельность любой отрасли. Любой вид хозяйственной деятельности начинается с вложения денег, протекает через их движение и заканчивается результатом, имеющим денежную оценку. Поэтому в современных условиях анализ финансово-хозяйственной деятельности является ведущим в звене экономических наук. Он способен в комплексе исследовать и оценивать все аспекты и результаты движения денежных средств, уровень отношений, связанных с денежным потоком, а также возможное финансовое состояние изучаемого объекта. [19, стр. 305]

Анализ деятельности автотранспорта актуален не только для автотранспортных предприятий. Многие фирмы, занимающиеся разными видами деятельности, имеют свой автопарк или пользуются услугами наемного легкового, грузового транспорта, специальной и строительной техники. Более того, перед фирмой нередко ставятся вопросы о том, что же выгоднее: приобрести или арендовать транспортное средство, если арендовать, то с экипажем или без него, расширять или сворачивать свой автопарк, есть ли резерв в снижении себестоимости, росте прибыли или все возможности исчерпываются полностью и т.д. И для того чтобы сделать правильные выводы, необходимо грамотно и целенаправленно организовать систему анализа деятельности автотранспортного участка. [20, стр. 305]

Все транспортные средства, используемые на предприятии, группируются таким образом, чтобы обеспечить адекватную оценку по трем блокам:

производственная база;

затраты;

финансово-экономические показатели.

В соответствии с этим выделяются три признака классификации:

функция. Этот признак является определяющим для анализа производственной базы. Он учитывает и технические возможности, и область применения транспортного средства. Например, в одну группу не могут входить автобусы, осуществляющие перевозку пассажиров, седельные тягачи, ориентированные на грузооборот, и механизмы, используемые при строительстве объекта;

принадлежность. Существенно влияет на затраты. Например, несмотря на однотипность выполняемых функций, в одну группу не могут входить седельные тягачи, находящиеся в собственности предприятия, используемые на условии долгосрочной аренды - лизинга и арендованные на короткий срок;

стоимость автотранспортных услуг. Рыночная стоимость автотранспортных услуг, является мерой альтернативного дохода для собственного транспорта, для наемного - формирует затраты. Например, несмотря на сходство в функциях и принадлежности, в одну группу не могут входить седельные тягачи и грузовые фургоны, автобусы и микроавтобусы.

В зависимости от количества автотранспортных средств и их принадлежности учет работы автотранспорта можно вести одним из двух способов:

) Специализированная программа для учета деятельности автотранспорта. В этом случае происходит оптимизация и, при необходимости, разработка новых форм отчетности для учета и анализа деятельности автотранспорта. Оптимальным является вариант, предусматривающий учет путевых листов в электронном виде, когда для каждого параметра учета предусмотрено соответствующее поле путевого листа:

дата записи;

маршрут;

фирма-отправитель;

место назначения;

тип груза;

пробег (км);

в том числе пробег с грузом (км);

перевезено груза (тонн);

грузооборот (тоннокм);

продолжительность рейса;

время работы водителя;

время работы машины;

вид топлива;

количество топлива;

·сумма затрат на топливо;

Ф.И.О. водителя;

транспортное средство;

суточные водителя;

стоимость рейса и др.

Часть данных заносится еще при выписке путевого листа. При вводе фамилии водителя автоматически появляются его индивидуальные данные, при вводе номера транспортного средства - его марка, при вводе фирмы-отправителя - ее реквизиты. Также указывается место назначения, вес, тип груза согласно справочнику. После ввода всех данных по маршруту количество тонно-километров рассчитывается автоматически.

В зависимости от специфики использования транспортного средства указанный перечень исходных данных может корректироваться. Например, при внутризаводском перемещении грузов будет отсутствовать "Место назначения", а при использовании легкового транспорта сама собой пропадает необходимость таких полей, как "Тип груза", "Грузооборот (тоннокм)".

Учет, организованный по указанным параметрам, позволит проанализировать эффективность маршрута, степень использования транспортного средства, создаст базу данных для системы оплаты труда, основанной на ключевых показателях деятельности, обеспечит хронологическую последовательность исходных данных, поможет в правильном распределении затрат по тем показателям, которые приняты в качестве базы, и т.д.

Более того, на основе представленных данных формируются практически все переменные расходы - ГСМ, зарплата водителей, относимая к переменным расходам, командировочные расходы и т.д.

Что касается постоянных расходов, то они по возможности локализуются. Часть из них "привязывается" к конкретному транспортному средству (амортизация, транспортный налог, налог на имущество, начисленный на транспортное средство, текущий ремонт и др.), часть - к работникам предприятия (повременная зарплата), а другие относятся к деятельности предприятия в целом (зарплата АУП, накладные расходы).

Затем при расчете себестоимости расходы работников и транспортных средств будут распределяться только на те маршруты, в которых они принимали непосредственное участие. Постоянные расходы предприятия в целом будут распределяться согласно выбранной базе - пробегу (км), времени работы и др. При такой системе учета в качестве объекта себестоимости может выступать деятельность водителя, отдельно взятого транспортного средства или их группы, маршрут, рейс и др.

Необходимые справочники:

водители;

автотранспортные средства;

вид транспорта (группа);

контрагенты;

тип груза;

нормы списания топлива и др.

) Отчетность, сделанная "вручную". В данном случае составление отчетности - весьма трудоемкий процесс. Он основан на полной выборке из путевых листов и, как правило, ограничивается минимальным количеством учетных данных.

Внедрение специализированной программы оправдывает себя только при наличии большого автопарка, а ведение отчетности "вручную", наоборот, возможно при минимальном количестве транспортных средств. Таким образом, есть вариант "максимум" и вариант "минимум", между которыми колоссальный разрыв, пропасть, а "средний слой" выпадает из поля зрения. Но как же быть, если внедрение специализированной программы не оправдает материальных и трудовых затрат на ее внедрение, а количество рукописных данных слишком велико даже для простейшей обработки? Нередко мы имеем развернутые теоретические разработки, ведущие к практике, и не так много сделано в обратном направлении, не так много практики, изложенной теоретически.

К основным пользователям исходных данных относятся:

автотранспортный участок, которому необходимо видеть показатели своей работы в агрегированном виде и уже на этом этапе сформировать мнение о сильных и слабых сторонах своей деятельности;

бухгалтерия, отражающая движение ГСМ в учете;

экономический отдел, использующий исходные данные в расчете и анализе основных показателей.

Учитывая требования каждого пользователя, по итогам каждого отчетного периода (месяца) в Excel разрабатывается таблица исходных данных, которая содержит информацию о деятельности каждой машины:

внутрифирменный код машины;

модель автомобиля;

номер автомобиля;

общий пробег (км);

в том числе пробег с грузом (км);

пробег без груза (км);

количество рейсов;

моточасы для списания топлива;

перевезено груза (тонн);

грузооборот (тоннокм);

по каждому виду топлива указывается остаток на начало, получение, расход и остаток на конец периода.

Другой необходимый отчет - "Табель учета работы автотранспорта".

В этом документе ежедневно отражается количество часов на подготовительно-заключительные работы, выполняемые водителем на автотранспортном предприятии, транспортный процесс, включающий движение автомобиля и погрузочно-разгрузочные работы, отдельными строками указываются часы ремонта и простоя за день по каждому транспортному средству.

Этот документ заполняется теми специалистами, которые максимально владеют информацией по работе машин, например механиками.

В принципе, этим количество дополнительных форм отчетности может и ограничиться, так как данные о затратах отражаются в бухгалтерском учете и всегда доступны.

Производственная база формируется по каждой группе транспортных средств и включает следующие показатели:

среднесписочное количество автомобилей (ед.) = Сумма календарных дней нахождения на предприятии по всем машинам группы / Количество дней в отчетном периоде.

Среднесписочное количество автомобилей может отличаться от их общей численности на конец месяца только в тех случаях, когда в течение месяца было выбытие или поступлении транспортных средств.

автомобиле-дни на предприятии (а-дни) = Сумма календарных дней нахождения на предприятии по всем машинам группы.

автомобиле-дни в работе (а-дни) = Сумма рабочих дней по всем машинам группы.

средняя фактическая продолжительность рабочего дня (час) = Автомобиле-часы в работе / Автомобиле-дни в работе.

календарный фонд рабочего времени (а-час) = Автомобиле-дни в работе × 24 часа.

режимный фонд рабочего времени (а-час) = Автомобиле-дни в работе × Нормальная (плановая) продолжительность работы автомобиля за день.

автомобиле-часы в работе (а-час) (в том числе подготовительно-заключительные работы, движение автомобиля и погрузочно-разгрузочные работы), автомобиле-часы в ремонте и автомобиле-часы простоя в исправном состоянии находятся как сумма фактических значений из "Табеля учета работы автотранспорта".

количество рейсов, перевезено груза (тонн), грузооборот (тоннокм), общий пробег (км), в том числе пробег с грузом (км), пробег без груза (км).

средняя продолжительность погрузочно-разгрузочных работ на 1 рейс (час) = Время погрузочно-разгрузочных работ / Количество рейсов.

перевезено грузов за 1 рейс (тонн) = Грузооборот (тоннокм) / Количество рейсов.

выработка 1 автомобиля за 1 а-час в работе (тонн) = Перевезено груза (тонн) / Автомобиле-часы в работе (а-час).

выработка 1 автомобиля за 1 а-час в работе (тоннокм) = Грузооборот (тоннокм) / Автомобиле-часы в работе (а-час).

выработка 1 автомобиля за 1 а-час в работе (км) = Общий пробег (км) / Автомобиле-часы в работе (а-час).

По аналогии находится выработка одного автомобиля за 1 час работы по пробегу с грузом и без груза.

Для каждой группы транспортных средств показатели заполняются на одном Excel-листе, а по результатам за отчетный период формируется сводная таблица, содержащая данные по всем группам.

Затраты отражаются согласно внутрифирменной экономической классификации, принятой на предприятии. Например:

основные средства (амортизация, лизинговые платежи).

ГСМ.

текущий ремонт (ремонт, осуществляемый сторонними организациями, расходы на запчасти).

расходы на оплату труда (зарплата работников, отчисления на социальное страхование).

расходы в пути (командировочные, суточные, платная стоянка, штрафы).

связь.

расходы на рекламу.

прочие расходы (налоговые платежи, накладные расходы).

Финансово-экономические показатели включают следующие элементы:

доходы (тыс. руб.). Финансово-экономические показатели рассчитываются независимо от того, использованы транспортные средства для собственных нужд или на коммерческой основе. Казалось бы, если транспортные средства направлены на удовлетворение внутрифирменных потребностей, то они заведомо не могут быть прибыльны - доходы отсутствуют, а расходы всегда будут больше нуля. Но это утверждение ошибочно. В экономической среде фирмы функционируют в условиях постоянного принятия решений, выбирая свою дорогу из множества путей, побеждая или оплачивая риски. И принимая решение об использовании собственной техники, руководство рассчитывает на то, что это будет, по меньшей мере, не дороже найма транспорта по рыночным ценам. В этом случае предполагается, что фактические затраты по собственному транспорту будут меньше альтернативных расходов по использованию наемных транспортных средств, и разница этих двух величин будет формировать финансовый результат. Таким образом, доходами будут выступать альтернативные транспортные расходы - рыночная стоимость произведенных транспортных услуг. Если расценки приводятся без ГСМ, то в доходы включаются затраты предприятия на ГСМ, так как эта сумма была бы дополнительно оплачена.

При смешанном подходе, когда в одном отчетном периоде присутствует и внутреннее, и коммерческое использование транспорта, доходы будут равны сумме выручки от реализации транспортных услуг и альтернативной стоимости внутрифирменного использования автотранспорта.

переменные расходы (тыс. руб.). Независимо от внутрифирменной специфики к переменным расходам относятся ГСМ, расходы в пути. Расходы на оплату труда будут являться переменными только в том случае, если они зависят от объема услуг. Что касается расходов на запчасти, то их включение в переменные или постоянные расходы определяется многими факторами - учетной политикой фирмы, степенью износа транспортных средств и др.

маржинальный доход (тыс. руб.) = Доходы - Переменные расходы.

постоянные расходы (тыс. руб.) = Совокупные расходы - Переменные расходы.

предварительный финансовый результат (тыс. руб.) = Маржинальный доход - Постоянные расходы.

Финансовый результат - это эффект, достигнутый от преимуществ применения собственной техники по сравнению с наемной по рыночным ценам.

Если он больше нуля, значит, использование собственной техники оправдано, если меньше нуля - то при существующих объемах использование наемного транспорта было бы более выгодно.

точка безубыточности (тыс. руб.) = Постоянные расходы / (Маржинальный доход / Доходы).

% достижения безубыточности (%) = Доходы / Точка безубыточности × 100.

- запас финансовой прочности (тыс. руб.) = Доходы - Точка безубыточности (тыс. руб.).

запас финансовой прочности (%) = Запас финансовой прочности (тыс. руб.) / Доходы.

рентабельность продаж (%) = Прибыль / Доходы × 100.

- рентабельность издержек (%) = Прибыль / Совокупные расходы × 100.

- коэффициент издержкоемкости = Совокупные расходы / Доходы.

коэффициент использования автотранспорта по календарному времени = Автомобиле-часы в работе (а-час) / Календарный фонд рабочего времени (а-час).

коэффициент использования автотранспорта по режимному времени = Автомобиле-часы в работе (а-час) / Режимный фонд рабочего времени (а-час).

коэффициент технической готовности автотранспорта = Автомобиле-часы в работе (а-час) / (Автомобиле-часы в работе (а-час) - Автомобиле-часы в ремонте (а-час)).

коэффициент использования пробега = Пробег с грузом / Общий пробег.

коэффициент порожнего пробега = Пробег без груза / Общий пробег.

Перечень финансово-экономических показателей намного шире (например, существуют формулы расчета коэффициентов выпуска, использования грузоподъемности, выбытия, ввода, износа, годности основных средств и др.). Часть из них имеет высокую степень корреляции с показателями, перечисленными выше, или дублирует их. Например, коэффициент выпуска и коэффициент использования режимного времени. Другие коэффициенты требуют создания серьезного массива дополнительных данных и практически могут реализоваться лишь при автоматизированной системе учета. Например, для расчета коэффициента грузоподъемности необходимо иметь данные о предельной и фактической грузоподъемности каждого рейса. Ситуация осложняется и тем, что к седельным тягачам могут прикрепляться различные прицепы с различной грузоподъемностью. Ну а некоторые коэффициенты не настолько динамичны, чтобы отслеживаться ежемесячно. Коэффициенты поступления, выбытия, износа и годности основных средств достаточно рассчитывать ежеквартально или даже ежегодно, в зависимости от финансовой ситуации.

В экономической литературе, когда речь идет о себестоимости единицы транспортных услуг, чаще всего говорится о грузообороте, выражаемом в тонно-километрах. Именно для этой величины, 1 тоннокм, приводятся методики расчета себестоимости, факторные модели анализа. В приведенной системе тонно-километры являются лишь одним из ключевых показателей деятельности грузового автотранспорта. В нашем случае себестоимость нужна для сопоставления с рыночными ценами, и именно поэтому объектом калькуляции будет не теоретическая величина, а конкретная единица измерения цен.

Предположим, 1 час работы самосвала стоит 300 руб. плюс ГСМ. В этом случае мы, во-первых, очищаем эту сумму от НДС (300 / 1,18 = 254,24 руб.), во-вторых, рассчитываем себестоимость 1 часа работы собственных самосвалов без ГСМ, в-третьих, сопоставляем полученные результаты.

По аналогии для седельных тягачей объектом калькуляции будет 1 км пробега с грузом.

Резерв финансовых возможностей. В силу ряда причин автотранспорт используется не полностью. Недостаточная загруженность приводит к простою в исправном состоянии, поломка помимо расходов на текущий ремонт влечет за собой простой автотранспорта в связи с ремонтными работами. Кроме того, простой автотранспорта может быть обусловлен разницей между календарным и режимным фондом рабочего времени. Несмотря на то, что стопроцентное использование календарного времени практически невозможно, этот показатель не теряет свою актуальность, он является теоретической верхней границей прибыли, той планкой, выше которой прыгнуть просто невозможно, и снижает вероятность переоценки своих возможностей. Представим себе шкатулку, в ней уже находится нечто, то есть прибыль, но шкатулка заполнена не полностью. Незаполненное пространство - это неэффективное режимное время (поломка и ремонт), которое может сократиться. Казалось бы, все, но под видимым дном шкатулки есть отсек, скрытый от неопытного взгляда, - неиспользованное календарное время. И кажется, что за этим отделом будут открываться новые, но нет, больше ничего, это - предельная вместимость. [21, с. 28].

В соответствии с вышесказанным автором статьи разработан подход, выявляющий недополученную прибыль - резерв финансовых возможностей.

Расчет проводится по каждой группе автотранспортных средств и по автопарку в целом. Основными показателями являются:

фактический финансовый результат.

недополученная прибыль:

а) в связи с неэффективным использованием режимного времени:

в связи с простоем в исправном состоянии;

в связи с ремонтом;

б) в связи с неполным использованием календарного времени.

Формула расчета зависит от единицы измерения цен и себестоимости.

Расчет резерва финансовых возможностей

Объект калькуляции

Формула расчета недополученной прибыли:

в связи с простоем в исправном состоянии;

в связи с ремонтом;

в связи с неполным использованием календарного времени.

автомобиле-час (а-час) работы с учетом топлива:

а-часы простоя в исправном состоянии × (средняя цена 1 а-часа работы с учетом топлива - переменные расходы / а-часы в работе)

а-часы ремонта × (средняя цена 1 а-часа работы с учетом топлива - переменные расходы / а-часы в работе)

(календарный фонд рабочего времени - режимный фонд рабочего времени) × (средняя цена 1 а-часа работы с учетом топлива - переменные расходы / а-часы в работе)

а-час работы без учета топлива:

а-часы простоя в исправном состоянии × (средняя цена 1 а-часа работы без учета топлива - (переменные расходы - ГСМ) / а-часы в работе)       

а-часы ремонта × (средняя цена 1 а-часа работы без учета топлива - (переменные расходы - ГСМ) / а-часы в работе)

(календарный фонд рабочего времени - режимный фонд рабочего времени) × (средняя цена 1 а-часа работы без учета топлива - (переменные расходы - ГСМ) / а-часы в работе)

км пробега с грузом с учетом топлива:

пробег с грузом / а-часы в работе × а-часы простоя в исправном состоянии × (средняя цена 1 км пробега с грузом с учетом топлива - переменные расходы / а-часы в работе)

пробег с грузом / а-часы в работе × а-часы ремонта × (средняя цена 1 км пробега с грузом с учетом топлива - переменные расходы / а-яасы в работе)

пробег с грузом / а-часы в работе × (календарный фонд рабочего времени - режимный фонд рабочего времени) × (средняя цена 1 км пробега с грузом с учетом топлива - переменные расходы / а-часы в работе)

Изложенный выше подход раскрывает нам финансовый резерв, связанный с неполным использованием рабочего времени. Помимо этого можно рассчитать дополнительные резервы:

резерв финансовых возможностей, содержащийся в коэффициенте порожнего пробега = Пробег без груза × Цена 1 км пробега с грузом - Дополнительный расход ГСМ, связанный с перевозкой грузов.

резерв финансовых возможностей, содержащийся в превышении фактического времени погрузочно-разгрузочных работ над нормативами, находится по аналогии с резервом, связанным с простоем в исправном состоянии, только вместо времени простоя подставляется предполагаемое снижение времени на погрузочно-разгрузочные работы. Этот резерв имеет особо важное значение для тех видов транспорта, по которым ценообразование основано на км пробега с грузом - величине, прямо не привязанной к временному параметру.

при автоматизированной системе учета рассчитывается резерв финансовых возможностей, содержащийся в неполном использовании грузоподъемности.

2.3 Анализ экономической деятельности предприятия ООО "САХО-Агро Ульяновск"

Рассмотрим баланс среднемесячной заработной платы предприятия за 2009 и 2010 гг. (табл. 2.1.)

Анализ финансовой устойчивости. Для обеспечения процветания предприятия в условиях рынка управленческому персоналу требуется оценивать возможные и целесообразные темпы его развития с позиции финансового обеспечения, выявлять доступные источники средств, способствуя тем самым устойчивому положению и развитию хозяйствующих субъектов. Определение устойчивости развития коммерческих отношений необходимо не только для самих организаций, но и для их партнёров, которые справедливо желают обладать информацией о стабильности, финансовом благополучии и надёжности своего заказчика или клиента. Поэтому всё большее количество контрагентов начинает вовлекаться в исследования и оценку устойчивости конкретной организации.

Таблица 2.1 Среднемесячная заработная плата предприятия ООО "САХО-Агро Ульяновск"

Показатели

Ед. изм.

2009г

2010г

Среднемесячная заработная плата

руб.

8458

8942

в том числе:




- промышленность

руб.

8235

8536

- сельское хозяйство

руб.

6737

7155

- связь

руб.

8431

9702

- транспорт

руб.

10528

10830


В 2010 году среднемесячная заработная плата работников района по полному кругу предприятий составила 8942 руб. или на 484 рубля больше уровня 2009 года. В 2010 году прослеживается значительная отраслевая дифференциация заработной платы от 7155 руб. в сельском хозяйстве, 8536 руб. - в промышленности, до 10830 руб. - в транспорте. По уровню среднемесячной заработной платы в 2010 году район находился на 39 месте среди сельских районов.

Бухгалтерский баланс (фр. balance, буквально - весы, от лат. Bilanx - имеющий две весовые чаши) - основная форма бухгалтерской отчетности, способ группировки активов и пассивов организации в денежном выражении. Он характеризует имущественное и финансовое состояния организации в денежной оценке на отчётную дату.

Бухгалтерский баланс даёт наглядное представление о финансово-экономическом положении компании, позволяет провести анализ её состояния и возможность получить прогнозы на будущее.

Таблица 2.2 Бухгалтерский баланс ООО "САХО-Агро Ульяновск" за 2009 - 2010 год

АКТИВ

Код строки

На начало отчетного периода, тыс.руб.

На конец отчетного периода, тыс.руб.

I. НЕОБОРОТНЫЕ АКТИВЫ

 

 

 

Основные средства

120

66025

68667

Незавершенное строительство

130

-

2248

ИТОГО по разделу I

190

66025

70915

II. ОБОРОТНЫЕ АКТИВЫ

 

 

 

Запасы

210

26035

21937

в том числе: сырье, материалы и др. аналогичные ценности

211

5661

 3976

затраты в незавершенном производстве

213

2183

6376

готовая продукция и товары для перепродажи

214

11235

10745

расходы будущих периодов

216

6956

840

Дебиторская задолженность (платежи по которой ожидаются в течение 12 месяцев после отчетной даты)

240

4181

27868

в том числе покупатели и заказчики

241

3935

23337

Краткосрочные финансовые вложения

250

16227

38695

Денежные средства

260

-

94

ИТОГО по разделу II

290

46443

88594

БАЛАНС

300

112468

159509

ПАССИВ

Код  показателя

 На начало отчетного периода, тыс.руб.

 На конец отчетного периода, тыс.руб.

III. КАПИТАЛЫ И РЕЗЕРВЫ

 

 

 

Уставный капитал

410

82120

82120

Нераспределенная прибыль (непокрытый убыток)

470

559

933

ИТОГО по разделу III

490

82679

83053

IV. КРАТКОСРОЧНЫЕ ОБЯЗАТЕЛЬСТВА

 

 

 

Займы и кредиты

610

4261

34112

Кредиторская задолженность

620

25529

42344

в том числе: поставщики и подрядчики

621

19002

41900

задолженность перед персоналом организации

622

196

187

задолженность перед государственными внебюджетными фондами

623

216

174

задолженность по налогам и сборам

624

149

83

прочие кредиторы

625

5966

-

ИТОГО по разделу IV

690

29790

76456

БАЛАНС

700

112469

159509


Основные средства выросли на 2642 тыс.руб. по сравнению на начало отчетного периода, что свидетельствует об уменьшении доли дебиторской задолженности и благоприятно, так как снижаются долги клиентов и идёт поступление денежных средств.

Денежные запасы на сырье, материалы и другие аналогичные ценности упали на 4398 тыс.руб.

Уставной капитал за отчетный период остался прежним 82120 тыс.руб.

Кредиторская задолженность составило на конец 2010 года составило 42344 тыс. руб.

Из таблицы 2.2. видно, что необоротные активы на начало отчетного периода 2010 года составляли 66025,а на конец отчетного периода увеличились до 70915.

Отчет о прибылях и убытках - одна из основных форм бухгалтерской отчетности, которая характеризует финансовые результаты деятельности организации за отчетный период и содержит данные о доходах, расходах и финансовых результатах в сумме нарастающим итогом с начала года до отчетной даты. Таб. 2.3.

В форме отражается величина балансовой прибыли или убытка и отдельные слагаемые этого показателя:

прибыль/убытки от реализации продукции;

операционные доходы и расходы (положительные и отрицательные курсовые разницы);

доходы и расходы от прочей внереализационной деятельности (штрафы, безнадежные долги).

Также представлены:

затраты предприятия на производство реализованной продукции по полной или производственной стоимости;

коммерческие расходы, управленческие расходы;

выручка нетто от реализации продукции;

чистая прибыль.

При составлении отчета расчет выручки и других доходов, а также расходов, производится по методу начисления, т.е. выручка начисляется тогда, когда у потребителей возникают обязательства по оплате продукции или услуг предприятия. Чаще всего это происходит в момент отгрузки потребителю продукции или предоставления услуг, и сопровождается предъявлением покупателем (заказчиком) соответствующих расчетных документов.

Отчет о прибылях и убытках является важнейшим источником для анализа показателей рентабельности предприятия, рентабельности реализованной продукции, рентабельности производства продукции, а также для определения величины чистой прибыли.

Таблица 2.3 Отчет о прибылях и убытках ООО "САХО-Агро Ульяновск" за 2009-2010гг

Наименование показателя

Код

За 2009 г.

За 2010 г

Доходы и расходы по обычным видам деятельности




Выручка (нетто) от транспортных услуг, работ, (за минусом налога на добавленную стоимость, акцизов и аналогичных обязательных платежей)

010

20771

6208

От реализации сельскохозяйственной продукции

011

16174

5943

От реализации сельскохозяйственной продукции

021

16377

5448

Валовая прибыль

029

241

495

Прибыль (убыток) от продаж

050

241

495

Прочие операционные доходы

090

298

62

Внереализационные доходы

120

879

17

Прибыль (убыток) до налогообложения

140

374

559

Чистая прибыль (убыток) отчетного периода

190

374

559


Таблица 2.4 Расшифровка отдельных прибылей и убытков

Наименование показателя

Код

За 2009г.

За 2010г.



прибыль

убыток

прибыль

Убыток

Штрафы, пени и неустойки, признанные или по которым получены решения суда (арбитражного суда) об их взыскании

210

-

10

-

-

Возмещение убытков, причиненных неисполнением или ненадлежащим исполнением обязательств

230

-

-

17

-


Чистая прибыль отчетного периода за 2010г составляет 559 тыс.руб., что на 48% больше чем в 2009 году.

2.4 Анализ эффективности управления перевозками предприятия

Основное направление деятельности предприятия - организация и осуществление доставки грузов автомобильным транспортом. Средний вес перевозимого груза за один рейс - 20-25 тонн.

Соответственно с ростом грузооборота растет прибыль предприятия.

Генеральный директор осуществляет общее руководство производственным процессом и принятием решений по всем вопросам, связанным с его обеспечением. Управление отдельными направлениями делегировано его заместителям - директорам направлений.

Коммерческий директор - взаимоотношения с клиентами контрагентами, юридическое обеспечение бесперебойной работы собственного автотранспорта, техническое обеспечение авто рейсов.

Финансовый директор - регулирование финансовой деятельности организации и ведение бухгалтерского учета, взаимоотношения с банками, налоговыми и финансовыми органами.

Общая численность персонала предприятия составляет - 52 человек.

Условно-постоянные затраты на обеспечение деятельности предприятия (аренда, топливо, канцелярские расходы, заработная плата персонала) составляет (по итогам 2010 года) 12800 тыс. рублей в том числе 700 тысяч рублей заработная плата персонала.

В настоящее время экономическое положение предприятия стабильно. Остаток свободных средств позволяет расширить объем предоставляемых услуг. Вместе с тем, их уровень и набор оказывается недостаточным. Если рассматривать их с точки зрения жизненных циклов продукта, то наступил завершающий из них, а именно спад. Следовательно, сохранение достигнутого уровня не позволит предприятию выжить в коммерческой борьбе на рынке грузоперевозок.

Эти соображения и послужили отправной точкой для принятия решения о диверсификации предприятия. Проведенные маркетинговые исследования и SWOT анализ выявил возможные направления диверсификации:

расширение спектра услуг клиентам фирмы;

используя отработанную технологию оказания услуг по грузоперевозкам материальную базу, а также сложившиеся партнерские связи с многими регионами России и коммерческими структурами организовать международные перевозки.

По каждому из перечисленных направлений были проведены углубленные маркетинговые исследования и экономические расчеты.

По результатам исследований определилась стратегия предприятия на долгосрочный период. Для ее реализации на предприятии разработаны бизнес-планы.

Таблица 2.5 Для определений стратегии диверсификации проведен SWOT анализ

Вероятность

Воздействие

Высокая

Средняя

Низкая

Сильное

Цикличность спроса

Увеличение ставки налогообложения

Падение спроса на услуги в грузоперевозках

Умеренное

Изменение законодательства

Увеличение тарифов на перевозку

Снижение покупательской способности

Слабое

Перебои с обеспечением топливом

Смена


Таблица 2.6 Аналогично строим матрицу положительных воздействий

Вероятность

 

Воздействие

Высокая

Средняя

Низкая

Сильное

Повышение спроса на дополнительные услуги

Ослабление налогового бремени

Получение дополнительного финансирования

Умеренное

Изменение законодательства

Ослабление позиций конкурентов

Снижение тарифов на перевозку

Слабое

Рост покупательной способности

Избыток трудовых ресурсов

Смена фирмы перевозчика


Таблица 2.7 Произведем аналогичный анализ внутренней среды организации

№ п.п

Сильные стороны

Слабые стороны

1

Новизна продукта

Недостаточность информации

2

Большой сегмент рынка

Низкая доля на рынке

3

Опыт организации перевозок

Неразвитая техническая база

4

Мобильность управления

Отсутствие налаженных связей

5

Возможность быстрого реагирования на изменения рынка

Отсутствие подготовленных работников


Таким образом, в результате проведенного SWOT анализа определились стратегии предприятия при проведении диверсификации.

Возможность быстро реагировать на изменения на рынке:      

снизить затраты на производство;

вести гибкую ценовую политику;

разработать меры поощрения работников.

Слабые стороны:

недостаточность информации;

низкая доля на рынке;

неразвитая техническая база;

отсутствие налаженных связей;

отсутствие подготовленных работников.

Для их реализации разработана технологическая схема оказания расширенного спектра услуг.

Ее конечной целью является организация доставки любых грузов в любую точку России.

Организационно схема грузоперевозок, на примере маршрута Ульяновск- Москва, работает следующим образом:

по заявке и по поручению клиента представитель предприятия получает груз в начальной точке отправления;

осуществляет его доставку по заданному адресу;

производится разгрузка и сортировка груза грузополучателем.

Клиент получает полный спектр услуг, в том числе и страхование груза.

В перспективе, после завершения создания замкнутой системы грузопотока, планируется использовать приобретенный опыт для организации международных перевозок. Срок реализации программы определен на три года.

Контроль грузовыми перевозками осуществляется следующим образом:

Мобильная радиосвязь можно организовать как в гражданском диапазоне, на частоте 27 МГц, так и профессиональном, на частотах 160 МГц или 400 МГц (чем выше частота, тем лучше качество связи). Профессиональный диапазон открыт только для юридических лиц и для работы на нем необходимо разрешение Главгоссвязьнадзора РФ. Для удобства абонента можно спроектировать 2-х и более зоновую систему обслуживания, т. е. появляется возможность так организовать связь, чтобы прием сигнала осуществлялся в различных районах, а вся информация передавалась через единый коммутатор.

Рассмотрев традиционную технологию передачи информации при управлении перевозками, можно сделать вывод: связь с водителем и обмен информацией возможен только по его прибытии в узловой пункт. Известно, что условия автотранспортного процесса достаточно динамичны и есть известная вероятность возникновения форс-мажорных обстоятельств. Далее, учитывая криминальную обстановку на отечественных дорогах в совокупности с другими внешними факторами, мы не имеем стопроцентной гарантии прибытия транспортного средства в назначенный пункт. Поэтому становится очевидным, что оперативная связь с водителем, находящимся на линии, просто необходима!

Далее, из-за невозможности постоянного, централизованного контроля за работой подвижного состава на линии важное значение для организации управления процессом перевозок грузов имеет автоматизация системы сбора первичной информации о работе автомобилей. Автоматизированный сбор первичной информации о работе грузовых автомобилей осуществляется тахографами - устройствами для измерения числа оборотов двигателя. Тахограф устанавливается на приборном щите автомобиля и объединяет спидометр со счетчиком пробега, тахометр, часы и устройство для записи на специальном диске параметров работы автомобиля .

Осуществление оперативного контроля, координирование подвижного состава на линии и регулирование хода транспортного процесса невозможно без средств связи, которые позволяют осуществлять обмен информацией, в любой момент времени, между всеми участниками перевозочного процесса. Следовательно, наличие у водителя радиосвязи позволит заметно повысить качество перевозочного процесса.

Для осуществления перевозок грузов компании необходимо обновление подвижного состава.

Краткие технические характеристики современного подвижного состава: КамАЗ - 54112 6´4.2:

Седельный тягач КамАЗ - 54112 6´4.2 выпускается Камским автомобильным заводом на базе автомобиля КамАЗ -5320 и КамАЗ -53312 с 1980 г. Кабина 3-х местная или 2-х местная, со спальным местом или без него. Основной полуприцеп модификации 9385, но могут использоваться и другие. Модификации автомобиля:

КамАЗ-54112 6´4.2 в тропическом исполнении;

КамАЗ-54112 6´4.2 в экспортном исполнении;

КамАЗ-54112 6´4.2 в исполнении "ХЛ" для работы в условиях холодного климата с температурой до -50°С.

Двигатель дизельный модификация 740.10, мощность 210 л.с. при 2600 об/мин. Седельно-сцепное устройство полуавтоматическое, с двумя степенями свободы. Привод тормозов полуприцепа по комбинированной схеме. Топливный бак 250 л.

Применение рациональной технологии перевозок (участковый метод движения)

Наличие постоянных грузопотоков предопределяет организацию регулярного движения подвижного состава по заранее разработанным маршрутам перевозок. Маршрутом называется путь следования подвижного состава по трассе между грузообразующими и грузопоглощающими пунктами. Расстояние между начальным и конечным пунктом перевозки называется длиной маршрута Lм.

Выбор и составление маршрутов движения должны отвечать следующим требованиям:

максимально производительно использовать пробег подвижного состава по всему маршруту;

обеспечивать полную загрузку подвижного состава, работающего на маршруте;

время одного оборота подвижного состава на маршруте не должно превышать времени одной смены работы водителей;

организация движения по возможности по наикратчайшему расстоянию;

возможность организации диспетчерского руководства и контроля за перевозками;

обеспечивать минимальные нулевые пробеги;

исключить возможность встречных однородных перевозок;

добиваться выполнения перевозок минимальным количеством подвижного состава;

соблюдать установленные правила безопасности движения.

Выбор маршрутов движения зависит прежде всего, от территориального расположения грузообразующих и грузопоглощающих пунктов, расстояния между ними, величины грузопотока и применяемого типа подвижного состава. Работа подвижного состава по заранее составленным рациональным маршрутам упрощает оперативное планирование, обеспечивает регулярность перевозок, способствует повышению производительности подвижного состава и эффективности перевозок.

Различают следующие маршруты движения подвижного состава: маятниковые, радиальные, кольцевые, комбинированные и участковые.

Участковые маршруты применяются при организации междугородных и международных перевозок грузов и характеризуются тем, что движение подвижного состава по ним осуществляется по перегонам-участкам маршрута.

Участковую систему движения целесообразно применять при постоянных и значительных по размерам грузопотоках, на маршрутах большой протяженности.

За автотранспортными предприятиями, расположенными в разных пунктах маршрута, закрепляются участки, по которым они организуют движение подвижного состава.

В качестве подвижного состава в основном используются седельные тягачи с полуприцепами. Передача полуприцепов происходит эстафетно в пунктах стыковки участков.

Участковая схема движения подвижного состава по маршруту позволяет сократить время на перевозку грузов, избежать спаренной работы водителей, повысить оперативность диспетчерского руководства и значительно увеличить производительность подвижного состава за счет его загрузки в прямом и обратном направлениях, а также создает лучшие условия работы водителям, которые имеют возможность ежедневно возвращаться в свое автотранспортное предприятие, что исключает возможность их командировки.

Анализ деятельности предприятия позволяет сделать ряд выводов.

. Предприятие является прибыльным и финансово устойчивым.

. Однако из-за высокой кредиторской задолженности объем полученной прибыли является недостаточным и не позволяет развиваться. Большая часть прибыли уходит на погашение кредита и процентов по ним.

3. Разработка проекта по совершенствованию транспорта на предприятии ООО "САХО-Агро Ульяновск"

.1 Мероприятия по повышению эффективности управления транспортом

Разработка модели осуществления перевозок при заданных грузопотоках и поиск соответствующих решений для предприятия.

Предприятие, осуществляющее перевозки, сталкивается с рядом трудностей и проблем, требующих оптимального решения. Крупнейшей (либо значительной) по стоимости частью основных фондов автотранспортного предприятия является подвижной состав, отличающийся рядом характеристик (цена, грузоподъемность, расход топлива и т.д.), и используемый для специфических грузов. В конечном итоге выбор того или иного типа подвижного состава для осуществления перевозок определит затраты не только на его приобретение, но и эксплуатацию, а следовательно это отразится и на прибыли и рентабельности предприятия.

Поэтому автотранспортное предприятие должно с ответственностью и максимальным вниманием подойти к проблеме выбора подвижного состава.

Не менее важна для предприятия и оптимальность организации кадрового состава, организация маршрутов (уменьшение холостого пробега) и др. Предприятие отправляло в рейс не всегда тот подвижной состав, который бы походил для транспортировки того или иного вида продукции.

Основные мероприятия в области системы управления развитием транспортной системы представлены в таблице 3.1

Таблица 3.1 Основные мероприятия развития транспортной системы

№ п/п

Наименование мероприятия

Сокращение затрат

1

Разработать методику моделирования транспортной системы

Запись всех транспортных перевозок и выводы по ним

2

Внедрить электронные транспортные схемы крупных городов и межсубъектовых агломераций в для планирования перевозок. Рисунок 3.1.

1. Позволяет уменьшить время поиска выбора оптимального маршрута; 2. Уменьшения затрат на топливо; сокращение т.км.

3

Обучить специалистов по транспортному планированию

Сокращения времени для определения оптимального маршрута

4

Использовать экспертные методы его при формировании управленческих решений по перевозкам

Сокращение затрат на перевозку

5

Разработать методику оценки возможных альтернатив для решения задач управления транспортом на основе метода экспертных оценок (метод интервью). Анкета.

Не совершать старых ошибок по перевозки грузов. Извлечение максимальной прибыли.

6

Увеличение "удельной скорости" транспортировки грузов

Сокращение времени перевозки груза


Рис. 3.1. Электронная транспортная схема Ульяновской области

С практической точки зрения наши действия должны выглядеть следующим образом:

) Определяем отправителей грузов. Здесь необходимо выделить постоянных отправителей, сезонных и временных. Составляем карточку отправителя, в которую заносим его данные.

) Определяем суточный объем отправок грузов. Суточная отправка определяется путем деления годовой потребности отправителей на число дней в году. После этого полученные данные согласовываем с отправителями.

) Определяем расстояния перевозки груза.

) Группируем отправителей по направлениям и величине поставок. Группировка по направлениям дает возможность определить грузопотоки в различные государства.

) Обосновываем и выбираем тип транспортного средства для перевозки грузов. Выбору типа транспортного средства должен предшествовать тщательный анализ характера и условий перевозок. В данном случае наша цель - обеспечение полного и качественного удовлетворения нужд отправителей в перевозках при наиболее эффективном типе транспортного средства.

) Рассчитываем рациональный маршрут. Здесь мы делаем выбор в пользу маятниковой или кольцевой схемы движения.

Мероприятия по совершенствованию системы управления отличаются от мероприятий по увеличению фонда технических средств (т.е. по увеличению грузоподъемности технических средств транспортировки грузов) тем, что они не предполагают изменения технических средств, а предполагают сокращение времени простоя технических средств. Значит, применение вычислительных машин и имеет своей конечной целью более интенсивное использование технических средств, что и измеряется ростом "скорости доставки", которую приводят к виду "удельной скорости" на единицу грузоподъемности технических средств.

Анкета опроса грузоотправителя/грузополучателя

Если в тексте анкеты встречаются слова, разделенные знаком слеш "/" нужное подчеркнуть Дата проведения опроса    20__год Ф.И.О., Название организации  _______________________________________________ Место отправления/получения груза/почты   Другие данные   /  Отвечая на вопросы, пожалуйста, отмечайте галочкой (ü) или числом  ТОЛЬКО ОДИН наиболее подходящий вариант. Получение информации/культура обслуживания при отправке/получении груза? Место получения инф-ции Отлично(5) Хорошо(4) Слабо(3) Плохо(2) Отсутствует(1)   Агент по бронированию        Агент по информации        Приемо-сдатчик        Справочная        Кассир        Стенды, объявления, и др.        Др. службы_______________        Ваши комментарии, если оценка ниже 3 баллов____________________________________________________ _________________________________________________________________________________________________ Количество затраченного времени (при оформление документов, операций) при отправке/получении? Место  Отлично(5) Хорошо(4) Слабо(3) Плохо(2) Отсутствует(1)   У поставщика        У потребителя        В службе таможенного контроля        Другое______________________        Ваши комментарии, если оценка ниже 3 баллов_____________________________________________________ __________________________________________________________________________________________ ______________________________________________________________________________________________ 3.Как бы вы оценили обращение с Вашим грузом во время погрузки, разгрузки? Отлично(5) Хорошо(4) Неплохо(3) Небрежно (2) Плохо(1)  Ваши комментарии, если оценка ниже 3 баллов ____________________________________________________ ___________________________________________________________________________________________ 4.Как бы вы оценили санитарное состояние помещений? Наименование помещения Отлично(5) Хорошо(4) Слабо(3) Плохо(2) Отсутствует(1)   Служебные помещения        Складские помещения        Другое______________________        Ваши комментарии, если оценка ниже 3 баллов ____________________________________________________ ___________________________________________________________________________________________ дополнительные пожелания и замечания вы можете внести ниже. __________________________________________________________________________________________________________________________________________________________________________________________________________


На увеличение "удельной скорости" транспортировки грузов оказывают влияние отдельные мероприятия. Возникает задача - оценить это влияние.

Любая система мероприятий по совершенствованию системы управления может быть охарактеризована количественно - через увеличение "удельной скорости" транспортировки грузов. Это количественное выражение может быть сопоставлено с соответствующим увеличением фондов, что и позволяет оценивать целесообразность той или иной системы мероприятий.

Любая система мероприятий может быть представлена полным планом работ, который предполагает точное указание сроков и персональную ответственность каждого руководителя за порученное дело.

Контроль и управление реализацией целевых программ целесообразно осуществлять с помощью ЭВМ. Использование вычислительной техники для контроля за ходом программы удобно, однако не следует забывать, что успех всякого дела определяется людьми.

3.2 Экономическая оценка предлагаемых мероприятий на предприятии ООО "САХО-Агро Ульяновск"

Для экономической оценки мероприятий осуществим моделирование.

Рассмотрим модель транспортной задачи:

Условие:

Однородный груз сосредоточен у m поставщиков в объемах a1, a2, ... am.

Данный груз необходимо доставить n потребителям в объемах b1, b2 ... bn.

Известны Cij , i=1,2,...m; j=1,2,...n - стоимости перевозки единиц груза от каждого i-го поставщика каждому j-му потребителю.

Требуется составить такой план перевозок, при котором запасы всех поставщиков вывозятся полностью, запросы всех потребителей удовлетворяются полностью, и суммарные затраты на перевозку всех грузов являются минимальными.

Исходные данные транспортной задачи записываются в виде таблицы 3.1:

Таблица 3.1


Исходные данные задачи могут быть представлены в виде:

вектора А=(a1,a2,...,am) запасов поставщиков

вектора B=(b1,b2,...,bn) запросов потребителей

матрицы стоимостей (3.1):


Составить математическую модель транспортной задачи, исходные данные которой приведены в таблице 3.2. Имеются три потребителя ООО "Карсунский хлебокомбинат", ОАО "Майнский хлебком", ООО "Сурский конезавод", каждому заводу требуется соответственно 20, 30, 40 тонн зерна. Имеются два поставщика ООО "САХО-Агро", ОАО "ВАМИН", у них на складах имеется 40, 50 тонн зерна соответственно.

Таблица 3.2


Решение:

. Вводим переменные задачи (матрицу перевозок (3.2)):


. Записываем матрицу стоимостей (3.3):

3. Целевая функция задачи (3.4) равняется сумме произведений всех соответствующих элементов матриц C и X.

Z(X) = 3x11+5x12+7x13+4x21+6x22+10x23 (3.4)

Данная функция, определяющая суммарные затраты на все перевозки, должна достигать минимального значения.

. Составим систему ограничений задачи (3.5).

Сумма всех перевозок, стоящих в первой строке матрицы X, должна равняться запасам первого поставщика, а сумма перевозок во второй строке матрицы X равняться запасам второго поставщика:

x11+x12+x13=40 (3.5)

x21+x22+x23=50

Это означает, что запасы поставщиков вывозятся полностью.

Суммы перевозок, стоящих в каждом столбце матрицы X, должны быть равны запросам соответствующих потребителей (3.6):

x11+x21=20

x12+x22=30 (3.6)

x13+x23=40

Это означает, что запросы потребителей удовлетворяются полностью.

Необходимо также учитывать, что перевозки не могут быть отрицательными (3.7):

xij ≥ 0, i = 1,2,…,m; j = 1,2,…,n. (3.7)

Ответ: Таким образом, математическая модель рассматриваемой задачи записывается следующим образом:

Найти переменные задачи, обеспечивающие минимум целевой функции (3.8) и удовлетворяющие системе ограничений (3.9) и условиям неотрицательности (3.10).


Модель транспортной задачи типа: берем больше, везем дальше.

Рассмотрим математическую модель с помощью Excel.

Переносим математическую модель в табличную модель Excel. Такая табличная модель показана на рис. 3.2.

Рис. 3.2. Табличная модель сбалансированной транспортной задачи

Матрицу перевозок обрамляют столбец и строка с заголовками Всего, где подсчитываем суммы переменных соответственно по строкам и столбцам матрицы перевозок. Это значения левых частей ограничений. Правые части ограничений содержатся в столбце Имеется на складе (ограничения для складов покупателей). Эти значения отформатированы таким образом, чтобы перед ними стояли знаки, соответствующие знакам равенства, неравенств ограничений.

Когда табличная модель готова, можно приступить к поиску оптимального решения. Отчеты, генерируемые средством Поиск решения, для транспортных моделей обычно не выводится, поскольку традиционный анализ чувствительности для решения таких моделей, как правило, не проводится. Альтернативных решений нет, можете проверить, выведя отчет по устойчивости.

Рис. 3.3. Решение сбалансированной транспортной задачи

Общая сумма затрат на всех перевозок составит 540,00 р., исходя из того, что затраты на перевозки второго поставщика первому потребителю составят 80 р. Затраты второго поставщика второму потребителю составят 180 р. Затраты первого поставщика третьему потребителю составят 280 р.

Из рисунка 3.3 видно, что первый поставщик ООО "САХО-Агро" будет доставлять третьему потребителю ООО "Сурский конезавод" 40 тонн зерна, т.к. у поставщика на складе имеется 40 тонн зерна. Второй поставщик ОАО "ВАМИН" будет доставлять зерно первому и второму потребителю ООО "Карсунский хлебокомбинат", ОАО "Майнский хлебком", 20 и 30 тонн соответственно, т.к. на складе у поставщика имеется 50 тонн зерна.

Наиболее часто способы транспортного обеспечения логистических задач оценивают по следующим критериям:

минимум затрат на перевозку (минимальная себестоимость перевозки или минимальные тарифы на транспортные услуги);

минимум времени товара в пути (минимальное время доставки);

минимум риска несвоевременной доставки (надежность перевозки);

максимум провозной способности транспорта (возможность перевезти требуемые объемы груза);

готовность к перевозке в любой произвольный момент времени и возможность обеспечения перевозок в различных условиях (доступность транспортных услуг, их независимость от погодных, климатических, временных и пространственных характеристик);

минимум потерь груза при перевозке (сохранность товара, его защищенность от потерь, порчи, повреждений и хищений при транспортировке и перегрузочных операциях).

В практике не всегда для выбора способа транспортного обеспечения проводится детальный расчет значения критериев для анализируемых вариантов. Нередко для принятия решения достаточно качественных оценок типа "больше" - "меньше", "дороже" - "дешевле", "лучше" - "хуже".

В числе факторов, влияющих на выбор способа транспортного обеспечения, рассматривают, кроме названных, также следующие:

финансовая стабильность перевозчика;

наличие дополнительных услуг по экспедиционному обслуживанию, комплектации и доставке груза;

гибкость маршрута транспортных средств;

возможность переадресации груза в пути;

регулярность работы транспорта;

квалификация персонала перевозчика;

контроль движения товара в пути с помощью средств связи;

гибкость тарифных схем перевозок;

порядок подачи заявки на доставку;

качество транспортных услуг;

экологичность транспортных средств.

Автомобильный транспорт обеспечивает подвоз грузов к магистральному транспорту, то есть обеспечивает функционирование других видов транспорта. Автомобильный транспорт вне конкуренции при доставке небольших партий груза (от нескольких килограммов до 20-40 тонн), особенно когда требуется обеспечить высокую скорость доставки.

Расчет минимального расхода топлива

Грузовые бортовые автомобили:

Для грузовых бортовых автомобилей и автопоездов нормируемое значение расхода топлива рассчитывается по следующему соотношению (3.11):

Qн= 0,01 x (Hsan x S + Hw x W) x (1 + 0,01 x D), (3.11)

где:н - нормативный расход топлива, литры;- пробег автомобиля или автопоезда,км;- норма расхода топлива на пробег автомобиля или автопоезда в снаряженном состоянии без груза:

Hsan = Hs + Hg x Gпр, л/100 км, (3.12)

где:- базовая норма расхода топлива на пробег автомобиля (тягача) в снаряженном состоянии, л/100 км (Hsan = Hs, л/100 км, для одиночного автомобиля, тягача);- норма расхода топлива на дополнительную массу прицепа или полуприцепа, л/100 т.км;пр - собственная масса прицепа или полуприцепа, т;- норма расхода топлива на транспортную работу, л/100 т.км,- объем транспортной работы, т.км:

= Gгр x Sгр

(где Gгр - масса груза, т; Sгр - пробег с грузом,км);- поправочный коэффициент (суммарная относительная надбавка или снижение) к норме в процентах.

Для грузовых бортовых автомобилей и автопоездов, выполняющих работу, учитываемую в тонно-км, дополнительно к базовой норме (табл.3.4), норма расхода топлива увеличивается (из расчета в литрах на каждую тонну груза на 100 км пробега) в зависимости от вида используемого топлива в следующих размерах:

для бензина - до 2 л; дизельного топлива - до 1,3 л

При работе грузовых бортовых автомобилей, тягачей с прицепами и седельных тягачей с полуприцепами, норма расхода топлива (л/100 км) на пробег автопоезда увеличивается из расчета в литрах на каждую тонну собственной массы прицепов и полуприцепов в зависимости от вида топлива в следующих размерах: бензина - до 2 л; дизельного топлива - до 1,3 л.

Таблица 3.4 Расход топлива грузовые бортовые автомобили

Модель, марка, модификация автомобиля

Базовая норма, л/100 км.

Топливо

1

2

3

КамАЗ-4310, -43105

31,0

Д

КамАЗ-5320

25,0

Д

КамАЗ-53202, -53212, -53213

25,5

Д

КамАЗ-53208

22,5

Д

КамАЗ-53215 (КамАЗ-740.11-8V-10,85-240-10М)

24,5

Д

КамАЗ-53217

21,5

Д

КамАЗ-53218

23,0

Д

КамАЗ-53219

22,0

Д

Д - дизельное топливо.

Тягачи

Для седельных тягачей нормируемое значение расхода топлива рассчитывается аналогично грузовым бортовым автомобилям и автопоездам с прицепами и полуприцепами по соотношению .

Самосвалы

Для автомобилей-самосвалов и самосвальных автопоездов нормируемое значение расхода топлива рассчитывается по следующему соотношению (3.13):

Qн= 0,01 x Hsanc x S x (1 + 0,01 x D) + Hz x Z, (3.13)

где:

Qн - нормативный расход топлива, литры;- пробег автомобиля-самосвала или автопоезда, км;- норма расхода топлива автомобиля-самосвала или самосвального автопоезда (3.14):

Hsanc = Hs + Hw x (Gпр + 0,5 x q), л/100 км, (3.14)

где: Hs - базовая норма расхода топлива автомобиля-самосвала в снаряженном состоянии без груза или транспортная норма с учетом транспортной работы с коэффициентом загрузки 0,5 л/100 км;- норма расхода топлива на транспортную работу автомобиля-самосвала (если при расчете Нs не учтен коэффициент 0,5) и на дополнительную массу самосвального прицепа или полуприцепа, л/100 т.км;пр - собственная масса самосвального прицепа, полуприцепа, т;- грузоподъемность прицепа, полуприцепа (0,5 х q - с коэффициентом загрузки 0,5), т;- дополнительная норма расхода топлива на каждую ездку с грузом автомобиля-самосвала, автопоезда, л;- количество ездок с грузом за смену;- поправочный коэффициент (суммарная относительная надбавка или снижение) к норме в процентах.

При работе автомобилей-самосвалов с самосвальными прицепами, полуприцепами (если для автомобиля рассчитывается базовая норма как для седельного тягача) норма расхода топлива увеличивается на каждую тонну собственной массы прицепа, полуприцепа и половину его номинальной грузоподъемности (коэффициент загрузки 0,5): бензина - до 2 л; дизельного топлива - до 1,3 л

Для автомобилей-самосвалов и автопоездов дополнительно устанавливается норма расхода топлива (Hz) на каждую ездку с грузом при маневрировании в местах погрузки и разгрузки:

до 0,25 л жидкого топлива.

Таблица 3.5 Расход топлива самосвалы

Модель, марка, модификация автомобиля

Базовая норма, л/100 км

Топливо

КамАЗ-55102

32,0

Д

КамАЗ-5511

34,0

Д

КамАЗ-5511 (ЯМЗ-238-8V-14,86-240-5М)

35,6

Д

КамАЗ-55102 (ЯМЗ-238-8V-14,86-240-10М)

35,0

Д

КамАЗ-55111

36,5

Д

КамАЗ-55111 (ЯМЗ-238М-8V-14,86-240-5М)

37,0

Д

КамАЗ-55118

31,0

Д

КамАЗ-65115 С (КамАЗ-740.11-8V-10,85-240-10M)

32,2

Д

Д - дизельное топливо.

Вывод: 1. Наиболее частые способы транспортного обеспечения логистических задач оценивают по следующим критериям:

минимум затрат на перевозку;

минимум времени товара в пути;

минимум риска несвоевременной доставки;

максимум провозной способности транспорта;

готовность к перевозке в любой произвольный момент времени;

минимум потерь груза при перевозке.

. По решению математической задачи с помощью Excel общая сумма всех перевозок составило 540 р.

. Рассчитали нормируемое значение расхода топлива для грузовых, бортовых автомобилей и самосвалов.

Заключение

Проведенное исследование и выполненные практические расчета позволяют сделать ряд выводов.

) Транспортная система является важной частью предприятия, поскольку обеспечивают поставки ресурсов и сбыт готовой продукции. Для оптимизации транспортной системы применяются следующие методы:

метод Кларка-Райта;

- эвристические методы вставок (метод ближайшего соседа; метод ближайшего города; метод самого дешевого включения.);

метод табу-поиск.

2) Проведенный анализ финансовой и хозяйственной деятельности предприятия ООО "САХО-Агро Ульяновск" показал, предприятие финансово устойчиво, работает с прибылью. Размер прибыли увеличился по годам:

в 2009 году прибыль составила 374 тыс. руб., а в 2010 году прибыль выросла и стала 559 тыс. руб. Прибыль растет.

Однако из-за большой кредиторской задолженности за 2009 год составила 25529 тыс. руб., за 2010 год 42344 тыс. руб. получаемая прибыль является недостаточной для погашения кредита и процентов по нему.

) Для увеличения прибыли исследована возможность улучшения управления транспортной системой предприятия. С этой целью разработан план мероприятий, включающий применение:

моделирования поставок грузов на основе транспортной задачи;

метода Кларка-Райта для оптимального маршрута;

эвристические методы вставок частей маршрутов;

- метод табу-поиск для оптимизации части маршрута.

4) Результат моделирования позволил определить: оптимальный план перевозок, при котором запасы всех поставщиков вывозятся полностью, запросы всех потребителей удовлетворяются полностью, и суммарные затраты на перевозку всех грузов являются минимальными.

) Разработана методика доставки груза с подходом "точно в срок", что позволило сократить т.км. (доставка груза по оптимальному маршруту), среднее время доставки груза ( по оптимальному маршруту как можно ближе) и увеличить прибыль ( за счет доставки груза во время).

) Разработанный проект мероприятий представлен руководству ООО "САХО-Агро Ульяновск" для внедрения.

Список использованных источников

1. Бекенов Т. Эффективность логистических систем / Т. Бекенов, Т. Сулейменов // Прикладная логистика - 2008. - №10. - С.54-55.

. Миротина, Л.Б. Логистика. / Л.Б. Миротина.- М.: Юристъ, 2005.- 414 с.

. Гиляровская Л.Т., Вехорева А.А., Анализ и оценка финансовой устойчивости коммерческого предприятия / Л.Т. Гиляровская, А.А. Вехорева.- СПб.: Питер, 2006. - 439 с.

. Курганов В.М. Логистика. Транспорт и склад в цепи поставок товаров / В.М. Курганов. - М.: Книжный мир, 2005. - 432 с.

. Матанцев А.Н. Стратегия, тактика и практика маркетинга / А.Н. Матанцев. - М.: Юристъ, 2005. - 378 с.

. Савицкая Г.В. Анализ хозяйственной деятельности предприятия // Г.В. Савицкая: Учебник. - Минск "Новое знание". - 2007. - 487 с.

. Орлов Б.Л., Осипов В.В. Управленческий и финансовый анализ деятельности предприятия // Б.Л. Орлова, В.В. Осипов: Учебник. - М.: Пищепромиздат. - 2006. - 123 с.

. Крейнина М.Н. Платёжеспособность предприятия: оценка и принятие решений / М.Н. Крейнина // Финансовый менеджмент. - 2001. - №1. - С. 30-38.

. Неруш Ю. Системы и методы в логистике / Ю. Неруш, А. Неруш // Прикладная логистика. - 2008. - №4. - С. 6-13.

. Бажин И.И. Логистический менеджмент / И.И. Бажин. - Харьков: Консум, 2005. - 439 с.

. Бланк И.А. Управление финансовой стабилизацией предприятия / И.А. Бланк. - Киев: Издательство "Ника-Центр", "Эльга", 2006. - 245 с.

. Троицкая Н.А. Единая транспортная система: Учебник для студентов учреждений сред. проф. образования. - М.: Издательский центр "Академия", 2003. - 240 с.

. Богатко А.Н. Основы экономического анализа хозяйствующего субъекта / А.Н. Богатко. - М.: Издательство "Экономика", 2005. - 305 с.

. Хруцкий В.Е. Современный маркетинг: настольная книга по исследованию рынка / В.Е. Хруцкий. - М.: Финансы и статистика, 2005. - 655 с.

15. Эффективное управление сбытом. Роль руководителя в процессе управления / М.В. Плюшенко, В.В. Усенко // Ресурс Интернет: - http://www.apteka.ua

. Ковалёв В.В. Анализ хозяйственной деятельности предприятия / В.В. Ковалёв, О.Н. Волкова. - М.: Издательство "Проспект", 200. - 421 с.

. Козлова Ю. Управление транспортной логистикой / Ю. Козлова, Н. Кочерягина // Прикладная логистика. 2008. - №2. - С. 30-32.

. Коромыслов А. Логистика управления рисками в организации закупочной деятельности / А. Коромыслов, Е. Коромыслова // Прикладная логистика. - 2008. - №5. - С. 11-12.

. Котлер Ф. Маркетинг менеджмент / Ф. Котлер, К.Л. Келлер. - 12-е изд. - СПб.: Питер, 2006. - 816 с.

. Неруш, Ю.М. Коммерческая логистика / Ю.М. Неруш - М.: Бизнес-книга, 2004.-271с.

. Окландер М.А. Контуры экономической логистики / М.А. Окландер. - Киев: Наукова думка, 2000. - 174 с.

. Орлов Б.Л. Управленческий и финансовый анализ деятельности предприятия / Б.Л. Орлов, В.В. Осипов. - М.: Пищепромиздат, 2001. - 123 с.

. Покровский А.К. Информация в жизненном цикле / А.К. Покровский, М.В. Шиманова // Прикладная логистика. - №6. - 2006. - С. 1-15.

. Савицкая Г.В. Экономический анализ / Г.В. Савицкая. - М.: Новое знание. - 2004. - 189 с.

. Абрютина М.С. Экспресс-анализ деятельности предприятия при помощи шкалы финансово-экономической устойчивости / М.С. Абрютина // Финансовый менеджмент - 2002. - №3. - С. 3-8.

. Аникин Б.А. Логистика: тренинг и практикум / Б.А. Аникин, В.М. Вайн, В.В. Водянова и др. - М.: ТК Велби, Изд-во Проспект, 2007. - 448 с.

. Аникин Б.А. Практикум по логистике / Б.А. Аникин. - М.: ИНФРА - М.2002. - 280 с.

. Бачурин А.В. Реструктуризация производства и финансовая устойчивость / А.В. Бачурин. - М.: ООО Издательская компания "Дека", - 2000. - 158 с.

. Долгов А.П., Рыбнов Е.И. Логистический менеджмент управления транспортом // А.П. Долгов, Е.И. Рыбнов: Учебное пособие. СПб.: Изд-во СПбГУЭФ. - 2003. - 200с Н

. Дыбская В.В. Логистика складирования для практиков // В.В Дыбская: М.: Альфа. Пресс. - 2005. - 208 с.

. Долгов А.П. Логистика транспорта // А.П. Долгов: Учебное пособие. СПб.: Изд-во СПбГУЭФ. - 2002. - 120 с.

. Долгов А.П. Материальные запасы и логистические процессы в макроэкономических системах // А.П. Долгов: СПб.: Изд-во СПбГУЭФ. - 2005. - 240 с.

. Минько А.А. Принятие решений с помощью Excel. Просто как дважды два / А.А. Минько. - М.: Эксмо, 2007. - 240 с. - (Просто как дважды два).

. <http://ru.wikipedia.org/>

. <http://www.grandars.ru/>

. <http://www.situation.ru/>

Похожие работы на - Управление транспортной системой предприятия ООО 'САХО-Агро Ульяновск'

 

Не нашли материал для своей работы?
Поможем написать уникальную работу
Без плагиата!
Без нейросетей!