|
Показатель
|
1-й год
|
2-й год
|
3-й год
|
Пост прогнозный период
|
|
Денежный поток СFi
|
СF1
|
СF2
|
СF3
|
СFterm
|
|
Стоимость на конец прогнозного периода,
рассчитанная по модели Гордона
|
-
|
-
|
-
|
|
|
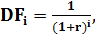
Коэффициент текущей стоимости DF
|
|
|
|
|
|
Текущая стоимость денежных потоков и реверсии
|
|
|
|
|
|
Стоимость предприятия
|
+
|
Пеpвая поправка образована на том, что при расчёте стоимости
учитываются только те активы предприятия, которые заняты в производстве,
получении прибыли, т.е. в формировании денежного потока. Но у предприятия могут
быть активы, которые не заняты непосредственно в производстве. Если так, то их
стоимость не учтена в денежном потоке, но это вовсе не значит, что они вообще
не имеют стоимости. В текущее время у многих российских предприятий имеются
такие нефункционирующие активы (недвижимость, машины и оборудование), поскольку
в результате затяжного спада производства уровень утилизации производственных
мощностей крайне низок. Большинство таких активов имеют назначенную стоимость,
которая может быть реализована, например, при продаже. Поэтому нужно определить
рыночную стоимость таких активов и прибавить её к стоимости, полученной при
дисконтировании денежного потока.
Вторая поправка - это учёт фактической величины собственного
оборотного капитала. В модель дисконтированного денежного потока мы включаем
требуемую величину собственного оборотного капитала, привязанную к прогнозному
уровню реализации (обычно она определяется по отраслевым нормам). Фактическая
величина собственного оборотного капитала предприятия может не совпадать с
требуемой. Соответственно необходима коррекция: избыток собственного оборотного
капитала должен быть прибавлен, а дефицит - вычтен из величины предварительной
стоимости.
Метод ДДП даёт оценку стоимости собственного капитала на
уровне контрольного пакета акций. В случае определения стоимости миноритарного
пакета открытого акционерного общества вычитается скидка на неконтрольный
характер, для закрытого акционерного общества необходимо сделать скидку на
неконтрольный характер и недостаточную ликвидность.
Если производились расчёты с использованием модели денежного
потока для всего инвестированного капитала, то делается третья поправка: из
величины найденной стоимости для определения стоимости собственного капитала
вычитается величина долгосрочной задолженности.
Метод дисконтирования денежных потоков - это весьма сложный,
трудоёмкий и многоэтапный метод оценки предприятия. Пpименение этого метода
требует от оценщика высокого уровня знаний и профессиональных навыков. В
мировой практике этот метод используется чаще других, он точнее определяет
рыночную цену предприятия, в наибольшей степени интересует инвестора, так как с
помощью этого метода оценщик выходит на ту сумму, которую инвестор готов
заплатить с учётом будущих ожиданий от бизнеса.
3. Остаточная текущая стоимость бизнеса
Остаточная текущая стоимость бизнеса в общем случае
определяется по формуле:

, (6)
где:(At) - текущая стоимость будущих доходов в период времени
t (t = 1,…, n).
Остаточная текущая стоимость бизнеса может рассчитываться:
. На настоящий момент времени, когда предприятие уже
реализовало часть жизненного цикла ранее начатого инвестиционного проекта
(бизнеса). Год с номером t = 0 - это год проведения оценки.
. На будущий мoмент времени, к приходу которого, как предвидится,
предприятие уже пройдет часть стадий реализуемого им инвестиционного проекта
(бизнеса) - согласно остаточный период жизни бизнеса, в котором ожидаются
доходы, учитываемые при оценке его прогнозной стоимости (по состоянию на
будущий текущий момент), в данном случае начинается после завершения вводимого
в анализ прогнозного периода, т.е. периода, pазделяющего настоящий момент (год,
квартал или месяц проведения оценки) и будущий момент (год, квартал или месяц),
по состоянию на который прoгнозируется остаточная стоимость бизнеса; при
анализе годовых доходов нумерация периoдов по оси t такова, что: год с номером
t = 0 - это год проведения оценки; год с номером t кпп - последний год
прогнозного периода, для которого пытаются оценить, сколько будет стоить
предприятие, если оно станет реализовывать планируемый инвестиционный проект;
год с номером t = tкпп + 1 - это первый год остаточного периода полезной жизни
бизнеса.
4. Чистая текущая стоимость вновь начинаемого
бизнеса
Если оценивается вновь начинаемый бизнес (предлагаемый к
финансированию инвестиционный проект), для которого у предприятия есть
какое-нибудь уникальное для данного проекта имущество (в том числе
нематериальные активы в виде ноу-хау или других конкурентных преимуществ), то
стоимость этого бизнеса (прав на осуществление проекта) в момент учреждения
предприятия для его реализации (цена покупки всех материальных и нематериальных
активов, необходимых для осуществления предлагаемого бизнеса) оценивается
показателем чистой текущей стоимости рассматриваемого реального для освоения
бизнеса (инвестиционного проекта).
Чистая текущая стоимость реального для освоения
нового бизнеса
(инвестиционного проекта) представляет собой частный случай
остаточной текущей стоимости такого бизнеса, который еще не начат, но может
быть начат. Остаточный период бизнеса в этом случае совпадает с длительностью
всего жизненного цикла предлагаемого к финансированию инвестиционного проекта.
Будучи максимально приемлемой для любого потенциального
покупателя ценой прав и имущества, позволяющих освоить новый бизнес, чистая
текущая стоимость реального для предприятия бизнеса (проекта) показывает,
насколько больше за тот же срок, на который необходимо отвлечь из оборота
средства для данного бизнеса, можно на этом бизнесе (инвестиционном проекте)
заработать по сравнению с вложением тех же средств в доступную для
потенциального инвестора альтернативу капиталовложения.
5. Формула Фишера
Эта формула позволяет выразить норму без рискового дохода с
рубля инвестиций через реальную ставку без рискового дохода r (ее еще иногда
называют реальной без рисковой ставкой ссудного процента) и инфляционные
ожидания s:
R = r + s + r×s (7)
Темп s ожидаемой инфляции (в среднем за период n,
остающийся до конца полезной жизни бизнеса) может определяться:
) из прогнозов исследовательских центров;
) на базе официального прогноза ожидаемой инфляции;
) собственными силами специалистов по разработке ТЭО.
Реальную без рисковую ставку ссудного процента можно оценивать:
) принимая за нее рыночную ставку доходности по наиболее
краткосрочным государственным oблигациям (в пересчете на требуемый более
длительный период «шага» t) - имея в виду, что за достаточно короткий срок
обращения таких облигаций инфляция просто не успевает сколько-либо значимо
сказаться;
) приравнивая ее к рентабельности операций на рынках тех
сравнительно без рисковых (опирающихся на емкий спрос) товаров и услуг, где
отечественная экономика уже успела интегрироваться в мировые рынки этих товаров
и услуг (т.е. где открытый по ним для импорта конкурентный внутренний рынок
сочетается с активным экспортом тех же товаров и услуг за рубеж); фактическая
доходность на этих рынках тогда отразит как давно стабилизировавшуюся в
промышленно развитых странах мира реальную ставку процента (на уровне 3-4%).
6. Определение ставки дисконта для
дисконтирования без долговых денежных потоков
Для дисконтирования без долгового денежногo потока
используется ставка дисконта, рассчитанная методом средневзвешенной стоимости
капитала (МССК).
В без долговом денежном потоке не
учитываются размер и движение будущей задолженности предприятия. И поэтому,
чтобы отразить в таком будущем денежном потоке долю и стоимость заемных
средств, дисконтирование данного без долгового денежного потока осуществляется
по ставке дохода, равной средневзвешенной стоимости заемного и собственного
капитала оцениваемого предприятия, т.е. интересы кредитора учитываются в
процессе формирования не денежного потока, а ставки дисконта.
Определенная таким образом текущая
стоимость дисконтированного денежного потока (т.е. стоимость оцениваемого
предприятия на дату оценки) характеризует текущую стоимость всего
инвестируемого капитала - и собственного, и заемного.
Расчет без долгового денежного потока
производится аналогично определению денежного потока для собственного капитала,
за исключением следующих операций:
· не учитывается уменьшение
задолженности;
· не учитывается прирост
задолженности;
· не учитываются (не
вычитаются из прибыли) денежные выплаты по процентам за обслуживание
задолженности.
Схема расчета без
долгового денежного потока.
При реализации данного алгоритма оценки
предприятия для определения стоимости собственных средств предприятия
необходимо из стоимости всего инвестированного капитала вычесть стоимость
заемного капитала, т.е. величину задолженности. Если же прибыль формируется в
значительной части за счет привлечения для производства заемных средств, то
предприятие целесообразнее оценивать по без долговому денежному потоку (т.е.
без учета платы по процентам и изменений по обязательствам).
Основными аргументами для использования
того или иного вида денежного потока являются следующие суждения. Если прибыль
(или денежный поток) предприятия формируется в основном за счет собственных
средств без значительных заимствований, то для оценки предприятия используется
денежный поток для собственного капитала.
7. Теорема
Миллера-Модильяни в доходном подходе к оценке бизнеса
Сутью этой теоремы является то, что в
условиях эффективного рынка капитала рыночная стоимость фирмы не зависит от
структуры ее капитала (стоимость не зависит от финансирования). Говоря другими
словами, ни на реально наблюдаемую на фондовом рынке стоимость ликвидных акций
открытых компаний, ни на оценочную рыночную стоимость закрытых фирм не влияет
то, сколько в капитале соответствующей компании имеется заемного капитала и на
какой срок он взят.
При любых обстоятельствах оценка бизнеса
доходным подходом, если ее производить в рамках стандарта инвестиционной
стоимости на основе учитывающих все это денежных потоков, ожидаемых по
конкретному бизнес-плану, в реальной экономике никогда не будет независимой от
структуры капитала фирмы. В рамках стандарта обоснованной рыночной стоимости
оценка бизнеса методом дисконтированного денежного потока также не независима
от структуры капитала фирмы, но уже по другой причине. Здесь сказываются два
обстоятельства:
. Учет дополнительных операционных рисков
бизнеса, порождаемых вероятностью не справиться с обслуживанием взятых
кредитов, когда они не столь долгосрочны;
. Требование к фирме как к юридическому
лицу более эффективно использовать кредитные средства, так как они для нее
дешевле, чем для ее акционеров (в случае если бы вели бизнес и брали кредиты
непосредственно они).
Некоторые специалисты предлагают учитывать
эти обстоятельства даже при оценке остаточной текущей стоимости бизнеса на
основе денежных потоков для собственного капитала, когда, казалось бы, для их
дисконтирования достаточно использовать обычную индивидуальную ставку дисконта i,
которая рассматривается выше в данной главе. Они считают необходимым эту ставку
увеличивать так, чтобы учитывать соотношение заемного и собственного капитала
ведущей бизнес фирмы.
Скорректированная (увеличенная, что
снижает получаемую оценку стоимости бизнеса) ставка дисконта выглядит следующим
образом:
(8)
где:кр - ставка процента по
кредитам ведущей бизнес фирмы (средневзвешенная по всем ее действующим
кредитным соглашениям);- ставка налога на прибыль;
(iкр - h) - действительная
стоимость кредита с учетом налоговой экономии, связанной с возможностью вывести
проценты за кредит из налогооблагаемой базы прибыли;
- соотношение заемного и
собственного капитала фирмы.
Как видно из приведенной формулы, чем
больше доля заемного капитала и соответственно меньше доля собственного
капитала, тем на большую дополнительную специфическую премию за риск
использования заемного капитала увеличивается скорректированная ставка дисконта
и соответственно уменьшается сумма дисконтированных по такой ставке ожидаемых
от бизнеса денежных потоков.
8. Учет рисков бизнеса в доходном подходе, методы
капитализации дохода
В оценке бизнеса доходным подходом риски учитываются методом
сценариев и корректировкой (повышением) ставки дисконта.
Учет рисков бизнеса в доходном подходе возможен через подбор
адекватной рисками ставки дисконта, используемой для определения текущей
стоимости ожидаемых от бизнеса денежных потоков.
Следует отметить, что чем выше риск, тем выше должна быть
ставка дисконта, компенсирующая этот риск.
Риски бизнеса можно учитывать как меру нестабильности
ожидаемых от бизнеса доходов. Эти риски могут быть измерены колеблемостью
доходов от бизнеса в отдельные годы (кварталы, месяцы) его продолжения по
сравнению со средней в год (квартал, месяц) ожидаемой от бизнеса величины
дохода.
Риски бизнеса делят на 2 группы: систематические и
несистематические.
Систематические риски - внешние риски бизнеса
(риски системы, где работает бизнес), на который влияет внешняя среда. К ним
относят риски конкуренции, риски неплатежеспособного спроса и др.
Несистематические риски - внутренние риски
бизнеса, определяемые элементами, обеспечивающими процесс производства, и его
характером управления: организационное единство предприятия, система управления
и правовая обеспеченность деятельности организации, трудовые ресурсы,
финансовые ресурсы, производственная и ремонтная базы и т.д.
Методы учета рисков бизнеса
1. Метод сценариев.
Следует отметить, что денежные потоки можно комплектовать как
номинальные (учитывающие уровень инфляции), так и реальные (не учитывающие
уровень инфляции), что обуславливает применение адекватной денежному потоку
ставки дисконта и определяет особенность использования метода сценариев.
При работе с номинальными денежными потоками метод сценариев
предполагает учет рисков бизнеса посредством корректировки на них самих
прогнозируемых денежных потоков
, составляющих основу расчета остаточной текущей
стоимости оцениваемого бизнеса.
Применяется данный метод в качестве ставки дисконта берется
номинальная без рисковая ставка доходности R. Риски бизнеса сказываются только
на изменении величины планируемых будущих дисконтных потоков.
Все предполагаемые показатели, составляющие в формуле
суммарную прогнозируемую величину денежного потока в будущем периоде t (ДПt),
должны исправляться в будущем на вероятность проявления именно данного значения
соответствующего показателя, что оценивается субъективно, экспертно, но на
основе минимальных документированных данных маркетинговых и иных исследований.
Окончательные величины рассматриваемых показателей исчисляются как взвешенные
на вероятности альтернативных их значений суммы этих значений.
Категорическое применение метода сценариев на практике очень
сложно и кропотливо, требует весьма объемной информации о вероятностях
разнообразных исходов при проявлении отдельных показателей. Нужна проработка
достаточно разветвленных сценариев.
Упрощенная модификация метода сценариев сокращает количество
прорабатываемых сценариев до трех, что позволяет приближенно
оценивать средний ожидаемый денежный поток, выделяя три сценария: пессимистический,
оптимистический и наиболее вероятный. Согласно с правилом шести сигм
математической статистики для определения скорректированных с учетом рисков
бизнеса денежных потоков
применяют формулу:
(9)
где:
- денежный поток по пессимистическому сценарию;
- денежный поток по наиболее вероятному
сценарию;
- денежный поток по оптимистическому сценарию.
Получаемое значение
используют для расчета
текущей (остаточной) стоимости бизнеса.
. Метод сценариев при работе с реальными денежными
потоками.
Денежные потоки в реальном выражении учитывают в постоянных
ценах без учета инфляции, ожидаемой за срок осуществления бизнеса. Планировать
такие потоки проще, чем номинальные.
Особенностью применения метода сценариев при работе с
реальными денежными потоками есть то, что он распадается на два этапа.
На первом этапе использование метода сценариев ожидаемые по
бизнесу денежные потоки корректируются с учетом всех видов рисков, но без учета
и инфляционного риска, на втором инфляционный риск учитывается отдельно.
Рассмотрим эти этапы подробнее.
На первом этапе выделяют:
риск изменения обменного курса национальной валюты, что
неизбежно скажется, например, на импорте сырья или экспорте продукции;
риск конкуренции, т.е. уменьшение доли на рынке вследствие
появления более мощного или нового конкурента;
риск изменения платежеспособности потребителей.
По каждому отобранному риску определяют пессимистические,
оптимистические и наиболее вероятные сценарии денежных потоков.
Общие пессимистические, оптимистический, наиболее вероятный
сценарий развития всего бизнеса определяются для предполагаемых случаев, когда
по всем рискам разом будут выполнятся соответственно пессимистические,
оптимистические и наиболее вероятные сценарии. Затем на основе правила шести
сигм математической статистики выводятся скорректированные денежные потоки.
На втором этапе для отдельного учета инфляционного риска
корректируется без рисковая ставка дисконта.
Разберем учет рисков бизнеса повышением ставки дисконта по
оцениваемому бизнесу:
1. Метод аналогий считается более
достоверным из всех методов учета рисков бизнеса и состоит в следующем: ставку
дисконта при расчете текущей (остаточной) стоимости бизнеса необходимо
определять как доходность альтернативного вложения тех же средств на тот же
срок в бизнес либо как инвестиционный актив, сравнимый с оцениваемым объектом
по риску. Инвестиционный риск измеряют изменчивостью дохода с рубля вложенного
капитала (наиболее строго - среднеквадратическим отклонением этого дохода от
его средней величины) за прошлое время.
На фондовом рынке, как более информационно чистом сегменте
рынка капитала, необходимо найти такой публично обращающийся, постоянно
торгуемый или хотя бы надежно котируемый инвестиционный актив (например,
ликвидные акции любого ОАО), изменчивость доходности покупки которого за
указанную ретроспективу т была такой же, как изменчивость доходности в
рассматриваемый бизнес. Это означает, что на фондовом рынке будет найден
инвестиционный актив с таким же уровнем риска, что и оцениваемый бизнес.
Поэтому за ставку дисконта следует использовать доходность вложения средств в
сопоставимый по риску с оцениваемым бизнесом инвестиционный актив.
2. Модель оценки капитальных активов (МОКА) позволяет
учитывать систематические риски оцениваемого бизнеса.
Ставка дисконта i рассчитывается по формуле:
(10)
где:- номинальная без рисковая ставка, которую берут на
уровне средней
ожидаемой доходности государственных облигаций со сроком до
погашения (на уровне страхуемых банковских депозитов со сроком), равным
остаточному сроку полезной жизни оцениваемого бизнеса;
- среднерыночная доходность с рубля на фондовом
рынке;
- рыночная премия за риск;
β - мера систематического
риска, связанного с макроэкономическими и политическими процессами;
коэффициент, указывающий на меру относительного систематического риска
инвестирования в оцениваемый бизнес по сравнению с риском капиталовложений в
любой средне рисковый бизнес;
- дополнительная премия за риск вложения в малый
бизнес;
- дополнительная премия за риск вложения в
закрытую компанию;
- дополнительная премия за становой риск.
В номинальной без рисковой ставке R считают средне ожидаемый
уровень инфляции. Если же дана реальная ставка R, то ее необходимо пересчитать
по формуле Фишера (7).
Премию за становой риск вводят в расчет только применительно
к иностранным инвесторам. Что касается поправок
и
, то их могут назначать
экспертно в величине до 5/6 от сложившейся в стране номинальной без рисковой
ставки.
Главным в МОКА является определение коэффициента β, т.е. его значение, присущее отрасли, в которой специализируется
данная фирма. Формула расчета коэффициента β имеет вид:
(11)
где:
σ - нестабильность
вложения в данный бизнес (среднеквадратическое отклонение доходности);
- среднеотраслевая нестабильность вложений.
где:
- доходность инвестиций на фондовом рынке в
расчете на t лет;
- среднегодовая доходность инвестиций на фондовом
рынке;- число периодов.
3. Метод кумулятивного построения ставки дисконта
позволяет
учитывать несистематические риски бизнеса. Формула для расчета ставки дисконта
имеет вид
(13)
где:
- все виды несистематических рисков.
9. Прочие методы определения ставки дисконта
1. Ставка дисконта как величина, обратная
соотношению цена / прибыль.
Если бизнес заключается в выпуске продукции, на которой
специализируются несколько открытых компаний с ликвидными или хотя бы постоянно
котируемыми акциями, то систематические риски (отраслевые, определяемые
конъюнктурой рынка сбыта этой продукции, а также конъюнктурой рынков
необходимых для него покупных ресурсов) могут быть показаны в ставке дисконта,
которая представляет собой величину, обратную соотношению цена / прибыль по
указанным компаниям (должно использоваться среднее по ним соотношение,
взвешенное на объем реализации этих компаний), то есть
(14)
где:
цена - суммарная рыночная стоимость акций компании
(компаний), находящихся в обращении;
прибыль - объявляемая компанией (компаниями) чистая прибыль.
Применять приведенный показатель в качестве ставки дисконта
можно по двум причинам. Во-первых, ставка дисконта - это норма дохода, т.е.
минимально приемлемая для инвестора отдача с рубля капиталовложения. В то же
время отношение всей прибыли компании, которую уже сейчас могут изымать из
компании ее владельцы к стоимости всех ее акций, т.е. к стоимости права на такое
изъятие (наблюдаемое в рынке соотношение прибыль / цена), можно рассматривать
как минимальную приемлемую для инвестора отдачу с рубля капиталовложения
потому, что такую отдачу с рубля капиталовложений в покупку компании ее бизнес
способен обеспечивать инвесторам компании уже в настоящий момент. Отталкиваясь
от достигнутого, естественно потребовать, чтобы и в будущем среднегодовая
доходность инвестиций в этот и аналогичный бизнес была не меньшей. Во-вторых,
учет систематических рисков бизнеса, как это должно делаться ставкой дисконта,
осуществляют соотношением прибыль / цена потому, что фондовый рынок,
«выставляя» цену за ту или иную компанию (ее акции), ориентируется не только на
текущие объявляемые прибыли, но и на надежность их получения (или даже увеличения)
в будущем. Чем больше оказывается соотношение цена / прибыль, тем надежнее
компания.
. Метод капитализации неопределенно длительного постоянного
дохода
Для приблизительной и предварительной быстрой оценки
(экспресс-оценки) долгосрочных бизнесов часто применяют способ, который
называют методом прямой капитализации дохода или просто капитализацией (в
данном случае неважно, измеряется ли ожидаемый с бизнеса доход денежными
потоками или прибылями).
При этом используют два допущения:
) ожидаемые от бизнеса доходы беспрерывны: их берут на уровне
средних в год (квартал, месяц) Аср стабилизированных величин;
) срок получения таких доходов - неопределенно длительный
(как бы стремится к бесконечности).
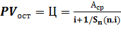
В расчете на два допущения формула остаточной текущей стоимости
бизнеса, которую в рамках доходного подхода к оценке бизнеса принимают (без
учета избыточных активов) за его обоснованную рыночную цену Ц, чисто
математически вырождается в формулу (что можно проверить, выразив лимит
приводившейся выше формулы
(15)
где:- учитывающая риски бизнеса ставка дисконта.
Оценку бизнеса по приведенной формуле можно применять не
только как сугубо предварительную оценку тогда, когда изложенные выше допущения
точно отвечают реальному характеру уровня и динамики доходов с бизнеса. Так,
она вполне допустима для определения стоимости привилегированных, с
гарантированными постоянными дивидендами, акций, срок жизнедеятельности которых
не определен. Кроме того, могут существовать реальные бизнесы, обеспечивающие
постоянный доход на неопределенно длительное время, например бизнес по продаже
(с исчислением дохода в постоянных ценах) сена (трав, скашиваемых собственными
силами в пойме реки, где естественным образом воспроизводится плодородие).
Капитализация постоянного дохода - это примерная или
предварительная его оценка, которая особенно подходящая, если величина Аср
представляет собой хорошую среднюю по уже стабилизированным денежным потокам
установившегося бизнеса.
3. Капитализация постоянного дохода, получаемого
в течение ограниченного срока
К минимально стоящей доходности с каждого рубля вложений в
такой бизнес обычно предъявить требование, чтобы он приносил за единичный
период столько же, сколько может приносить сравнимая по рискам инвестиционная
альтернатива, и обеспечил бы возврат вложенных средств, так как это было бы,
если бы инвестиция делалась в сопоставимую по рискам облигацию, которую можно
после истечения срока п перепродать, если этот срок меньше срока до ее
погашения, но перепродать с дополнительной прибылью, еще раз возмещающей
затраты на ее приобретение.
Предварительная оценка бизнеса (его экспресс-оценка) может
оказаться более точной, если снять одно из двух весьма грубых допущений,
применяемых при капитализации постоянного (среднего) дохода, который можно
получить с бизнеса в течение неограниченно длительного периода времени, а
именно допущение о неограниченно длительном сроке полезной жизни бизнеса.
Применительно к ограниченному сроку вложения средств в
рассматриваемый бизнес наряду с нормой текущего дохода с него (ставкой
дисконта) в данном случае в определение оценочной (обоснованной рыночной)
стоимости вводят норму возврата капитала, а точнее норму накопления средств для
возврата капитала
путем повторной его перепродажи.
Вероятные формулы капитализации получаемого за ограниченный
срок п постоянного дохода
можно представить в виде моделей Инвуда,
Хоскальда и Ринга соответственно, в которых по-разному выражается норма
возврата капитала:
(16)
(17)
(18)
В первых двух моделях норму возврата капитала считают как
ежегодный (ежеквартальный, ежемесячный) дополнительный доход с каждого
вложенного в бизнес рубля, который, если его по мере получения вкладывать в тот
же бизнес (с тем же риском, отражаемым присущей данному бизнесу нормой текущего
дохода i - модель Инвуда) или просто на страхуемый банковский депозит либо в
гособлигации (без риска, т.е. по безрисковой норме текущего дохода R - модель
Хоскальда), должен в течение срока п накопить фонд возмещения ранее вложенного
в бизнес капитала. Соответственно норму возврата капитала в этих моделях
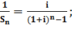
именуют фактором фонда возмещения (1/Sn).
Рассчитывают этот показатель следующим образом:
для модели Инвуда:
(19)
для модели Хоскальда:
(20)
Модель Ринга выставляет более простое требование к норме
дополнительного дохода для возмещения вложенного в бизнес капитала: бизнес
должен дополнительно равномерными долями возмещать ожидаемую к истечению срока
п стоимость перепродажи используемого в бизнесе имущества (выгоду, которую
теряют из-за отсутствия планирования такой перепродажи), что соответствует
требованию к текущему доходу приносить с каждого рубля в бизнесе еще столько
рублей (копеек), скольким будет равна ожидаемая к сроку п
будущая рыночная стоимость имущества, приобретавшего в начале бизнеса на один
рубль. Так что D в модели Ринга - это будущая стоимость каждого рубля (или
имущества на один рубль), изначально вложенного в оцениваемый бизнес.
Модели Инвуда и Хоскальда применимы для оценки тех бюджетов,
в которых значительна доля специальных активов, экономически (морально)
изнашиваемых за время осуществления бизнеса.
Если применять вышеперечисленные модели некорректно, то они
могут существенно занижать обоснованную оценку рыночной стоимости бизнеса.
Модель Хоскальда занижает стоимость бизнеса, если срок его жизни достаточно
велик, так как недоучитывает риски возможного перевложения накапливаемых с
бизнеса средств.
4. Модель Гордона чаще всего является способом
предварительной и приблизительной оценки рыночной стоимости бизнеса.
В случае, когда по долгосрочному бизнесу (срок полезной жизни
бизнеса п как бы стремится к бесконечности или является неопределенно
длительным) ожидаемые от него доходы отчетливо переменны (их нельзя
аппроксимировать постоянным средним ожидаемым доходом), то их планируемая
динамика такова, что реальным приближением к действительности становится
предположение о постоянном (в среднем) темпе их роста (ά = const). Формула для определения текущей стоимости бизнеса
посредством капитализации постоянного дохода принимает вид:
(21)
где:
- доход с бизнеса, ожидаемый в начальном
единичном периоде (годе, квартале, месяце) остаточного периода полезной жизни
проекта (бизнеса);
α - условно постоянный
(средний) темп прироста доходов
бизнеса в указанном остаточном периоде.
Эту формулу обычнее всего применять для оценки остаточной
стоимости проекта в рамках остаточного периода, начинающегося через некоторое
время после проведения стартовых инвестиций и «выхода» на прибыльный режим
работы предприятия. В жизненном цикле продукта (если это продуктовый проект)
начнется стадия устойчивого роста продаж и прибылей (кроме того, увеличится и
степень доверия к показателю α как выявившемуся в
действительности).
Явно длительный срок жизни проекта предполагает, что его
окончание (прекращение выпуска продукта) произойдет даже после незначительного
устойчивого сокращения продаж и прибылей в силу того, что за длительное время
прибыльной работы инициаторы проекта успеют подготовить к выпуску (разработать)
новый продукт, который быстро сменит теряющую свою рентабельность продукцию.
10. Метод капитализации ожидаемого дохода
Метод капитализации ожидаемого дохода приходится одним из
вариантов доходного подхода к оценке бизнеса действующего предприятия. Как и
другие варианты доходного подхода, он основан на базовой посылке, в
соответствии с которой стоимость доли собственности на предприятии равна
текущей стоимости будущих доходов, которые принесёт эта собственность. Сущность
данного метода выражается формулой:
, (22)
где:
V - оценённая стоимость;
D - чистый доход (чистая прибыль);
Kk - ставка капитализации.
Метод капитализации ожидаемого дохода - оценка имущества на
основе капитализации дохода за первый прогнозный год при предположении, что
величина дохода будет такой же и в последующие прогнозные годы.
Метод капитализации ожидаемого дохода в наибольшей степени
отвечающий для ситуаций, в которых ожидается, что предприятие в течение
длительного срока будет получать почти одинаковые величины прибыли (или темпы
её роста будут постоянными). Используется для оценки «зрелых» предприятий,
которые имеют некоторую прибыльную историю хозяйственной деятельности, смогли
накопить активы, стабильно функционируют. По сопоставлению с методом ДДП данный
метод достаточно прост, так как не требует составления средне- и долгосрочных
прогнозов доходов, но его применение ограничивается предприятиями со
стабильными доходами, рынок сбыта которых устоялся и в долгосрочной перспективе
не предполагаются его изменения.
Капитализация дохода - процесс, определяющий взаимосвязь
будущего дохода и текущей стоимости оцениваемого объекта.
Основные этапы оценки предприятия методом капитализации
дохода:
. Анализ финансовой отчётности, её нормализация и
трансформация (при необходимости);
. Расчёт адекватной ставки капитализации;
. Выбор вида дохода, который будет капитализирован;
. Определение предварительной величины стоимости;
. Проведение поправок на наличие нефункционирующих активов;
. Проведение поправок на контрольный или неконтрольный
характер оцениваемой доли, а также на недостаток ликвидности.
. Анализ финансовой отчётности.
Главными документами для анализа финансовой отчётности
предприятия в целях оценки его активов приходится балансовый отчёт и отчёт о
финансовых результатах. При анализе финансовых отчётов предприятия оценщик
обязан в естественном порядке провести их нормализацию, т.е. сделать поправки
на различные чрезвычайные и единовременные статьи, как баланса, так и отчёта о
финансовых результатах и их использовании, которые не носили регулярного
характера в прошлой деятельности предприятия, и вряд ли будут повторяться в
будущем.
Кроме того, оценщик может провести трансформацию
бухгалтерской отчётности, под которой понимается перевод её на общепринятые
стандарты бухгалтерского учёта (западные). Данная операция при оценке не
обязательна, но желательна.
. Выбор вида дохода, который будет капитализирован.
В качестве капитализируемого дохода здесь могут выступать
выручка или показатели, так или иначе учитывающие амортизационные отчисления:
чистая прибыль после уплаты налогов, прибыль до уплаты налогов, величина
денежного потока.
Данный этап подразумевает фактически выбор периода текущей
производственной деятельности, результаты которого будут капитализированы.
Оценщик может выбирать между несколькими вариантами:
· прибылью последнего отчётного года;
· прибылью первого прогнозного года;
· средней величиной прибыли за несколько отчётных лет.
В большинстве случаев на практике в качестве капитализируемой
величины выбирается прибыль последнего отчётного года.
. Расчёт адекватной ставки капитализации.
Ставка капитализации для предприятия обычно выводится из
ставки дисконта путём вычета ожидаемых среднегодовых темпов роста прибыли или
денежного потока (в зависимости от того, какая величина капитализируется).
Соответственно для одного и того же предприятия ставка капитализации обычно
ниже, чем ставка дисконта.
Ставка капитализации - это делитель, который применяется для
преобразования величины прибыли или денежного потока за один период времени в
показатель стоимости. Проще говоря, ставка капитализации - коэффициент,
преобразующий доход одного года в стоимость объекта. Итак, чтобы определить
адекватную ставку капитализации, нужно сначала рассчитать соответствующую
ставку дисконта, используя возможные методики.
При известной ставке дисконтирования ставка капитализации в
общем виде:
, (23)
где:
Kk - ставка капитализации;
r - ставка дисконтирования;
q - долгосрочные темпы роста дохода или денежного потока.
Если темп роста дохода предполагается равным нулю, ставка
капитализации будет равна ставке дисконтирования.
Ставка капитализации может устанавливаться оценщиком на
основе изучения отрасли.
. Определение предварительной величины стоимости.
Пример. Произведем расчёт стоимости предприятия методом
капитализации дохода (таблица 5).
Таблица 5. Расчёт стоимости предприятия
|
Показатель
|
Значение
|
|
Ожидаемый годовой доход, руб.
|
100 000
|
|
Ставка капитализации, %
|
25
|
|
Стоимость предприятия, руб.
|
400 000
|
Для проведения поправок на нефункционирующие активы требуется
оценка их рыночной стоимости в соответствии с принятыми методами для
конкретного вида активов (недвижимость, машины и оборудование и т.д.).
Что касается поправок на контрольный или неконтрольный
характер оцениваемой доли, а также на недостаток ликвидности, то порядок их
применения подробно был рассмотрен выше.
Следует отметить, что в оценке бизнеса, в отличие от оценки
недвижимости, данный метод применяется довольно редко из-за значительных
колебаний величин прибылей или денежных потоков по годам, характерных для
большинства оцениваемых предприятий.
В целях полноты оценки действующего предприятия допускается
не только применение доходного подхода, основанного на дисконтировании денежных
потоков, но и использование рыночного (сравнительного) и затратного подходов.
Это позволяет избежать определённой доли субъективности и сделать оценку
бизнеса более точной.
Список литературы
1. Гараникова,
Л.Ф. Оценка стоимости предприятия [Текст]: учебное пособие / Л.Ф. Гараникова.
Изд. 1-е. Тверь: ТГТУ, 2007. 140 с.
. Гражданский
кодекс РФ 2014 г.
3. Грязнова А.Г., Федотова М.А Оценка бизнеса Учебник.
Под ред. А.Г. Грязновой, М.А. Федотовой. 2-е издание, перераб. и доп. М.
. Каменев С.А. Оценка собственности Учебник. Под ред.
Каменева С.А. «КУБиК», 2010. стр. 162
. Касьяненко Т.Г., Маховикиова Г.А. Оценка бизнеса
Практикум. Под ред. Т.Г. Касьяненко, Г.А. Маховикиова СПб, 2013.
. Кутик А.Б., Горенбургов М.А., Горенбургов 10.М.
Экономика недвижимости. Серия «Учебники для вузов. Специальная литература». -
СПб.: Издательство «Лань».
. Томас Л. Уэст, Джеффри Д. Джонс. Пособие по оценке
бизнеса. - М.: Квинто-консалтинг.