Расчет на прочность элементов конструкции ЛА
Введение
Под сухими понимаются следующие типы
отсеков:
) переходные, которые служат для
соединения в единое целое различных по функциональному назначению отсеков.
Наличие отсеков подобного рода обусловлено технологическим делением корпуса
ракеты на части, различными диаметрами ступеней и т.д.;
) приборные, предназначенные для
размещения приборов управления;
) хвостовые, которые придают
хорошую, аэродинамическую форму хвостовой части ракеты, где располагается
двигательная установка. Внутри отсека могут размещаться элементы автоматики
двигательной установки и привод органов управления. Корпус сухого отсека обычно
представляет собой цилиндрическую или слабо коническую подкрепленную оболочку,
нагруженную осевой силой, изгибающим или крутящим моментом и перерезывающей
силой.
1. Теоретическая часть
.1 Работа элементов
силового набора
В общем случае конструктивно-силовая
схема сухого отсека образуется обшивкой, которая подкреплена изнутри продольным
силовым набором - стрингерами (лонжеронами) и поперечным - шпангоутами.
Рассмотрим работу каждого из элементов силового набора.
Обшивка выполняет следующие функции:
. Придает отсеку обтекаемую
аэродинамическую форму, а также воспринимает местные аэродинамические нагрузки
и передает их на элементы продольного и поперечного силового набора.
. Воспринимает крутящий момент и
перерезывающую силу.
. Частично воспринимает изгибающий
момент и осевую силу.
Доля изгибающего момента и осевой
силы, воспринимаемая обшивкой, зависит от соотношения ее толщины и площади
поперечного сечения элементов продольного силового набора. Если толщина обшивки
мала, то она теряет устойчивость при малых нагрузках, и поэтому практически
весь изгибающий момент и осевая сила воспринимаются продольным силовым набором.
В этом случае продольные элементы называют лонжеронами. По мере увеличения
толщины обшивки она все больше включается в работу и, наконец, возможно такое
соотношение толщины обшивки и площади поперечного сечения стрингеров, при
котором напряжения в обшивке и стрингерах станут одинаковыми. Обычно обшивка и
стрингеры скреплены между собой, поэтому не вся обшивка теряет устойчивость, а
напряжения сжатия по сечению панели не будут постоянными, что иллюстрируется на
рис. 1.
Рис. 1. Схема работы обшивки и стрингеров
Участие обшивки в совместной работе
со стрингерами при сжатии принято характеризовать с помощью редукционного
коэффициента:
σ обш /σ стр = φ, (1.1)
где σ обш - среднее напряжение в
обшивке; σ стр - напряжение в стрингере.
Для определения коэффициента φ составим следующее
условие равновесия панели:
bδσобш = bпрδσстр, (1.2)
где bпр - ширина части обшивки примыкающей к стрингеру (присоединенная
обшивка), которая участвует в совместной с ним работе на сжатие. Используя
(1.1) и (1.2), получаем bпр/ b = φ. На возможность
восприятия внешних нагрузок подкрепленными пластинами впервые указал профессор
И.Г. Бубнов, который предложил уточненный метод расчета корпуса корабля с
помощью редукционных коэффициентов. В настоящее время этот метод широко используется
при расчетах авиационных и судовых конструкций. При определении редукционного
коэффициента Карман предложил считать, что часть обшивки шириной bпр, прилегающая к профилям, воспринимает напряжения, равные
напряжениям в стрингерах.
Тогда
σкр.обш= σ кр.стр= 3,6 Е об (δ / bпр)2,
откуда bпр = 1,96 (Е об/ σ кр.стр)0,5. Полученное выражение дает завышенные значения по
сравнению с экспериментальными данными, поэтому в практике проектирования
подкрепленных конструкций большее распространение получили формулы П.А.
Соколова
и Маргуэра
, или
.
Записанные выражения для пр b соответствуют закреплению профиля и
обшивки по одной линии (например, креплению уголка). Если крепление стрингера к
обшивке производится по нескольким линиям, то около каждой из них образуется
область присоединенной обшивки, суммарная ширина которой равна:
= b пр (рис. 2, а);= 2b пр
(рис. 2, б);
t = Δ+ b пр (рис. 2, в).
Существуют также эмпирические методы
определения ширины присоединенной обшивки применительно к конкретным
материалам. На рис. 2 изображены три сечения лонжеронов и указаны соотношения
для определения площади Fпр присоединенной обшивки.
Рис. 2. Расчет ширины присоединенной
обшивки
Рис. 3. Площадь присоединенной
обшивки
Из приведенных соотношений для
расчета ширины присоединенной обшивки наибольшее распространение получила
формула Кармана и ее различные модификации. Каждый сухой отсек имеет два
стыковочных шпангоута, работающих на нагрузки, перпендикулярные их плоскости.
Промежуточные шпангоуты придают отсеку требуемую геометрическую форму, а также
повышают критические напряжения общей потери устойчивости отсека. В некоторых
случаях эти шпангоуты используются для крепления грузов внутри отсека, и тогда
они называются усиленными. Жесткость промежуточных шпангоутов выбирают так,
чтобы разрушение отсека не происходило от общей потери устойчивости. Жесткость
шпангоута, обеспечивающая общую устойчивость при чистом изгибе оболочки,
подкрепленной также и стрингерами, предлагается определять по следующей
эмпирической формуле:
,
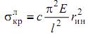
где М - изгибающий момент; R -
радиус отсека; l - расстояние между шпангоутами.
Формула, связывающая жесткости
равномерно расположенных шпангоутов и стрингеров, позволяет устанавливать
характер потери устойчивости отсека по величине параметра
,
где Rш - радиус
нейтрального слоя шпангоута; tc - расстояние между
стрингерами. Отсек равнопрочный на местную и общую устойчивость получается при
20 ≤ Г ≤ 80. Если Г < 20, будет происходить местная потеря
устойчивости обшивки и стрингеров между шпангоутами, а при Г > 80 отсек
разрушается от общей потери устойчивости. Таким образом, стрингерный и
лонжеронный отсеки различаются между собой лишь характером восприятия нагрузки
и по внешнему виду практически неразличимы. Лонжеронный отсек имеет меньшее
количество лонжеронов, но более мощных, чем стрингеры, в то же время обшивка у
него более тонкая, чем у стрингерного. В лонжеронном отсеке толщина обшивки
выбирается из технологических соображений или такой, чтобы обеспечить
целостность отсека при аэродинамическом нагреве. Такая обшивка может иметь
вырезы для люков, так как осевая сила и изгибающий момент воспринимаются
мощными лонжеронами и присоединенной обшивкой. Обшивка в стрингерном отсеке
воспринимает внешнюю нагрузку вместе со стрингерами, поэтому вырезы в ней
нежелательны. Сами стрингеры имеют меньшую площадь поперечного сечения, чем
лонжероны, количество их больше, а расстояние между ними определяется из
условия местной устойчивости участка обшивки, расположенного между двумя
соседними стрингерами и шпангоутами. При малых сжимающих нагрузках обшивка и
стрингеры в стрингерном отсеке становятся тонкими. Отсек вырождается в
гофрированный, который может быть даже легче, чем гладкий. Отсеки, в которых
обшивка и подкрепления составляют единое целое и изготовлены из одного
материала, называются вафельными. Продольные и поперечные подкрепления в этом
случае имеют прямоугольное сечение. Вафельный отсек - разновидность
стрингерного - обладает высокой жесткостью и способен воспринимать значительные
внешние нагрузки. Особые требования к жесткости обшивки предъявляются к
конструкции, работающей в условиях аэро- и гидроупругости. В этих случаях
обшивка может состоять из двух слоев, пространство между которыми заполнено
легким пористым или сотовым заполнителем. Для проведения расчета сухого отсека
необходимо иметь следующие данные:
) геометрические размеры - диаметр и
длину отсека, размеры люков и их размещение на отсеке;
) значение максимальной температуры,
до которой нагревается отсек;
) внешние нагрузки, действующие на
отсек (осевая сила N; изгибающий момент M; перерезывающая сила Q).
Приведем изгибающий момент к
эквивалентной по нормальным напряжениям осевой силе и с этой целью вычислим
суммарные напряжения, создаваемые осевой силой и изгибающим моментом в цилиндрической
оболочке радиуса R:
,
где
- момент инерции кольца шириной δ. Полагая
,
получим следующее выражение для суммарной эквивалентной осевой силы:
.
Так как оболочка нагревается, то
коэффициент безопасности должен быть увеличен на величину температурного
коэффициента. Для сжатой области отсека
,
а для растянутой
, (1.3) где σ0,2 - предел текучести
материала при t = 18°C. Тогда расчетные
, определяются в соответствующих расчетных случаях, назначенных
для данного отсека. Например, для ракеты с неотделяющейся головной частью и
хвостовыми стабилизаторами для основных отсеков в качестве расчетных следует
принять следующие случаи эксплуатации.
А. Хвостовой отсек:
а) нагружение весом и изгиб
приземным ветром на старте (f = 2);
б) максимальные поперечные
перегрузки на активном участке траектории и максимальный нагрев оболочки (f =
1,5).
Б. Приборный отсек:) max n x1
на активном и пассивном участках траектории (f = 1,5);
б) max ny1 на пассивном
участке траектории (f = 1,5);
в) нагрузки при транспортировке (f =
1,5);
г) подъем ракеты краном (f = 2).
Коэффициенты kb и kE
на первом этапе, когда трудно определить температуру материала элементов
силового набора, можно принимать равными 1,15÷1,25.
Гладкий отсек самый простой из сухих
отсеков. Он представляет собой тонкую цилиндрическую или коническую оболочку с
двумя стыковочными шпангоутами (рис. 4).
1.2 Лонжеронный отсек
В лонжеронном отсеке (рис. 8)
толщина обшивки δ выбирается из технологических соображений. Обшивка в лонжеронном отсеке
теряет устойчивость раньше, чем лонжероны. Вместе с лонжеронами работает только
участок присоединенной обшивки, примыкающей к ним.
Рис. 8. Схема нагружения
лонжеронного отсека
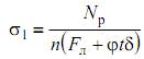
Тогда напряжения в отсеке, сжатом осевой
силой Np, определяются по формуле
,
где n, Fл -
количество лонжеронов и площадь; φ = bпр/ t - редукционный коэффициент; bпр, t - ширина
присоединенной обшивки и расстояние между лонжеронами.
Если воспользоваться формулой
Кармана для определения ширины присоединенной обшивки, то
,
где σлкр - критические напряжения лонжерона. Определив расстояние между
лонжеронами t= 2π R / n, получим следующее выражение для редукционного коэффициента:
.
моментом инерции продольного
элемента понимать момент инерции сложного сечения, состоящего из лонжерона и
присоединенной обшивки, который будем обозначать далее JΣ. Теперь имеем
,
где k = (0,4…0,5) -
коэффициент.
Критические напряжения потери
устойчивости лонжерона с присоединенной обшивкой как стержня, сжатого осевой
силой:
,
где
- радиус инерции сечения, состоящего из лонжерона и
присоединенной обшивки;
-
суммарная площадь этого сечения; c=2 - коэффициент, учитывающий закрепление
краев лонжерона. Считаем отсек равноустойчивым, а σкр - критические напряжения, δ - толщина обшивки, n
- количество лонжеронов - известными. Тогда площадь лонжерона можно найти из
(1.24), приняв σ1 = σкр:
.
Из расстояние между шпангоутами
,
где площадь FΣ известна, а момент
инерции суммарного сечения можно определить, если задаться формой поперечного
сечения лонжерона. Форму профиля можно подобрать исходя из полученной площади
сечения лонжерона и условий местной устойчивости пластинок профиля. Кроме
площади будем также считать известной ширину полки со свободным краем,
определяемую технологическими соображениями, или толщину профиля h, по
отношению к толщине обшивки, считая ее в несколько раз большей δ, для того чтобы обшивка
при потере устойчивости не повлекла за собой полки лонжерона, скрепленные с
ней.
Для определения формы профиля введем
понятие базовой пластинки, один размер которой задан, а второй определим из
условия местной устойчивости пластинки со свободным краем, которое запишется
так:
. Беря знак равенства, находим
, где h - толщина профиля, совпадающая с толщиной базовой
пластинки; b - ширина базовой пластинки. Теперь определим количество
базовых пластинок, которые имеют суммарную площадь, равную площади лонжерона Fл:
, где квадратными скобками обозначена целая часть результата
деления выражения, записанного в скобках. Далее выбираем форму профиля
лонжерона в зависимости от kпл: kпл = 1 -
при заданной нагрузке лонжеронный отсек на разрушающие напряжения не может быть
спроектирован;
kпл = 2 - уголковый профиль;
kпл = 3…4 - зетаобразный профиль;
kпл = >4 - корытообразный профиль.
Максимальное количество kпл,
обеспечивающее местную устойчивость полок и стенок лонжерона не должно
превышать заданного значения (kпл) max.
Определим теперь геометрические
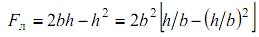
характеристики суммарного сечения в зависимости от формы профиля. Уголковый
профиль (kпл =2) (рис. 47, а). Площадь лонжерона
.
2. Практическая часть
Исходные данные:
Расчет лонжеронного отсека
R=1,85 м
L=1,8 м
n=8
δ=5
мм
l=0,9 м
Np=150 кН
k=0,45
Сечение лонжерона уголковый
Размер сечения b=h=16 мм
материал Д19Т
Свойства Д19Т: ρ=2800 кг/м3
σ0,2=2,9*108Па
σb=4,15*108Па
Е=0,68*1011Па
лонжеронный силовой отсек
технический
σкр1=0,4* σ0,2=1,16*108Па
σкр2=0,45* σ0,2=1,305*108Па
σкр3=0,5* σ0,2=1,45*108Па
Напряжения в отсеке, сжатом осевой
силой Np, определяются по формуле
,
где n, Fл -
количество лонжеронов и площадь; φ = bпр/ t - редукционный коэффициент; bпр, t - ширина
присоединенной обшивки и расстояние между лонжеронами.
Если воспользоваться формулой
Кармана для определения ширины присоединенной обшивки, то
,
где σлкр - критические напряжения лонжерона. Определив расстояние между
лонжеронами t= 2π R / n, получим следующее выражение для редукционного коэффициента:
.
a=(1,9*0,005*8*√0,68*1011)/(2*3,14*1,85)=1705
[Па0,5]
φ1=a/√ σкр1=1705/(√1,16*108)=0,1583
φ2=a/√ σкр2=1705/(√1,305*108)=0,1492
φ3=a/√ σкр3=1705/(√1,45*108)=0,1416
t=2*3,14*1,85/8=1,452 [м]
Площадь лонжерона можно найти:
л=2*0,016*0,016-0,016*0,016=0,000256 м2
Напряжения в отсеке:
σ11=150*1000/(8*(0,000256+0,1583*1,452*0,005)=13345195,3
Па
σ12=150*1000/(8*(0,000256+0,1492*1,452*0,005)=14018691,5
Па
σ13=150*1000/(8*(0,000256+14,16*1,452*0,005)=18248175,2
Па
σ11, σ12, σ13 < σкр1, σкр1, σкр1
Определим массу конструкции:
M=ρ*V
Определим объем лонжерона:
V л=Fл*L=0,000256*1,8=0,0004608
м3
Определим объем обшивки:
Vо= Fо*L
Fo=πR2 - π (R-δ)2=0,058 м2
Vо= 0,058*1,8=0,1044 м3
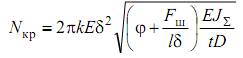
Для определения площади шпангоутов,
используем формулу:
,
где D-цилиндрическая жесткость обшивки

JΣ-момент инерции,
который можно определить из формулы расстояния между шпангоутами:
,
Тогда=0,68*1011*0,0053/(12
(1-0,32))=778,388
Σ=(l2 /π2)* σкрFΣ/(cE)
=2 - коэффициент, учитывающий
закрепление краев лонжерона
FΣ1=(0,000256+0,1583*0,005*1,452)=0,001405 м2
JΣ1=0,92*1,16*108*0,0014005/2*0,68*1011*3,142=0,98*10-7
кг*м2
FΣ2=(0,000256+0,1492*0,005*1,452)=0,00133 м2
JΣ2=0,92*1,305*108*0,00133/2*0,68*1011*3,142=1,04*10-7
кг*м2
FΣ3=(0,000256+1,416*104*0,005*1,452)=0,00128 м2
JΣ3=0,92*1,45*108*0,0018
/2*0,68*1011*3,142= 1,1*10-7 кг*м2
шп1=lδ [φ - (Np/2πkEδ2)2*tD/E JΣ]= 0,9*0,005*(0,1583 - 150000/2*3,14*0,45*0,68*1011*0,0052)2*1,452*778,388/0,68*1011*0,98*10-7]=0,000689 м2
Fшп2=lδ [φ - (Np/2πkEδ2)2*tD/E
JΣ]= 0,9*0,005*(0,1492 - 150000/2*3,14*0,45*0,68*1011*0,0052)2*1,452*778,388/0,68*1011*1,04*10-7]=0,000648 м2
Fшп3=lδ [φ - (Np/2πkEδ2)2*tD/E
JΣ]= 0,9*0,005*(0,1416 - 150000/2*3,14*0,45*,68*1011*0,0052)2*1,452*778,388/0,68*1011*1,1*10-7]=0,000615
м2
Vшп1=Fшп1*2πR=0,008 м3шп2= Fшп2*2πR=0,0075 м3шп2= Fшп3*2πR=0,0071 м3
VΣ1=Vo+Vл+Vшп1=0,1044 +0,0004608+0,008=0,1128 м3Σ2=Vo+Vл+Vшп2=0,1044 +0,0004608+0,0075=0,1123 м3Σ3=Vo+Vл+Vшп3=0,1044 +0,0004608+0,0071=0,1119 м31= VΣ1*ρ=0,1128
*2800=315,84 кг2= VΣ2*ρ=0,1123
*2800=314,44 кг3= VΣ3*ρ=0,1119
*2800=313,32 кг
Вывод
В данной расчетно-графической работе
был произведен расчет параметров лонжеронного отсека. Целью расчета отчасти
было определение минимальной массы отсека при различных значениях критического
напряжения σкр = (0,40; 0,45; 0,50) σ0,2. Минимальная масса
получилась при расчете с наибольшим критическим напряжением (σкр = 0,50 σ0,2): M=313,32 кг. В процессе расчета было выяснено, что напряжения в
отсеке σ1 несколько меньше допустимых критических напряжений σкр.
Список использованных
источников
1. Грабин Б.В. и др. «Основы конструирования ракет-носителей
космических аппаратов» Машиностроение, 1991.
. Голубев И.С. «Конструкции летательных аппаратов» МАИ, 1964.
. Паничкин Н.И. «Конструкция и проектирование космических
летательных аппаратов» Машиностроение, 1986.
. Балабух Л.И. «Основы строительной механики ракет» Высшая школа,
1969.
. Моссаковский В.И. «Прочность ракетных конструкций» Высшая школа,
1990.
. Николаев Ю.М. и др. «Инженерное проектирование управляемых
баллистических ракет с РДТТ» Военное издательство, 1979.
. Фигуровский В.И. и др. «Методические указания к выполнению
курсовой работы по расчету на прочность ЛА» МАИ, 1987.