Разработка новой конструкции крепления трубопроводов гидросистемы управления горизонтальным оперением

  • Вид работы:
    Дипломная (ВКР)
  • Предмет:
    Транспорт, грузоперевозки
  • Язык:
    Русский
    ,
    Формат файла:
    MS Word
    4,11 Мб
  • Опубликовано:
    2013-10-15
Вы можете узнать стоимость помощи в написании студенческой работы.
Помощь в написании работы, которую точно примут!

Разработка новой конструкции крепления трубопроводов гидросистемы управления горизонтальным оперением

СОДЕРЖАНИЕ


ВВЕДЕНИЕ

. Трубопроводные системы в самолётостроении

.1 Трубопровод - основной элемент безопасности ЛА

1.1.1 Назначение трубопроводов

1.1.2 Надёжность трубопроводов

1.1.3 Отказы трубопроводов

1.2 Напряжения, действующие в трубопроводах

1.2.1 Общие сведения

1.2.2 Температурные напряжения

1.2.3 Эксплуатационные напряжения

1.2.4 Напряжения, вызванные поперечным колебанием трубопроводов

1.2.5 Дефекты, возникающие при монтаже деталей из труб

1.2.6 Определение монтажных напряжений в трубопроводах

1.2.7 Напряжения в круглом сечении

1.2.8 Напряжения в овальных сечениях

1.2.9 Температурные напряжения

1.2.10 Напряжения, возникающие при вибрации трубопровода

1.3 Обзор существующих методов расчёта

1.3.1 Гидравлический расчет трубопроводов

1.3.2 Приближенный расчет трубопроводов на прочность

1.3.3 Алгоритм решения инженерных задач на основе метода конечных элементов

1.3.4 Система инженерного анализа MSC/NASTRAN for Windows

2. Проектировочный расчет точки крепления трубопровода

.1 Действующая конструкция трубопровода

2.2 Материалы деталей трубопроводной трассы и их характеристики необходимые для выполнения анализа

2.3 Нагрузки и условия работы конструкции

2.4 Определение величины нагрузок, действующих на трубу со стороны

2.5 Исследование динамики работы конструкции путем исследования ее динамического НДС

2.6 Анализ сходимости численного решения МКЭ для задачи динамического нагружения трубопроводов

2.7 Разработка новой конструкции узлов крепления трубопровода.

2.8 Расчет жесткости прокладки в первом приближении

2.9 Детальный расчет участка трубопровода

3. Анализ экономической эффективности введения в производство новой конструкции крепления трубопровода

.1 Расчет экономии времени на замену конструкции

3.2 Расчет экономии денежных средств

4. Оценка вредных факторов среды

.1 Освещение рабочего места

4.1.1 Расчёт искусственного освещения помещения

4.1.2 Расчёт естественного освещения помещения

4.2 Расчёт рентгеновского излучения компьютера

4.3 Защита пользователей компьютерной техники от электромагнитного излучения

4.3.1 Требования к современным мониторам

4.4 Обеспечение требуемых показателей шума

4.5 Пожарная безопасность

ЗАКЛЮЧЕНИЕ

СПИСОК ИСПОЛЬЗОВАННЫХ ИСТОЧНИКОВ

ВВЕДЕНИЕ

Современные самолёты серии СУ являются одними из лучших в мире. Идеология самолёта Су 27 оказалась настолько удачной, что простое переоснащение новым оборудованием позволило создать множество новых и современных модификаций. Сейчас на самолёты ставятся мощные двигатели, новые органы управления и цифровые системы оборудования. Самолёты становятся всё более маневренными, появляются новые возможности управления, новые возможности в ведении воздушных боёв.

Но не смотря на постоянное развитие и усовершенствование техники, постоянно остаются конструктивные недоработки, которые устраняются уже в процессе эксплуатации. Именно к таким конструктивным недоработкам относится наиболее частый отказ гидросистем самолета Су 30. Если такие неполадки во время не исправлять, то это может привести к крушению самолета.

Именно к такому типу конструктивных недоработок относится постоянно разрушающаяся конструкция узлов крепления трубопровода напорной трассы в левой хвостовой балке самолета Су 30.

В связи с тем что до сих пор не было предложено никакого решения по усовершенствованию конструкции этих узлов крепления целью данного дипломного проекта является разработка такой конструкции, которая повысит срок службы всей напорной трассы трубопровода.

Задачи, решаемые в ходе данной работы включают в себя:

разработку конструкции крепления трубопровода;

построение расчетных моделей конструкции крепления трубопровода;

проведение расчетов по подбору жесткости демпфирующей прокладки;

проведение сравнительных расчетов действующей и разработанной конструкций;

проведение расчета с наличием демпфирующего вкладыша в колодке.

На основе результатов вычислений в дальнейшем будет подобран материал для демпфирующей прокладки и предложена окончательная геометрия узлов крепления трубопровода. А также будут получены данные о работе демпфирующей прокладки в самой колодке крепления.

Дипломный проект состоит из четырех глав.

В первой главе рассмотрены основные аспекты надёжности трубопроводов, а так же - методы, применяемые для выполнения различных расчётов трубопроводных систем.

Во второй главе представлены разработка новой конструкции крепления трубопроводов гидросистемы управления горизонтальным оперением, результаты проведенного проектировочного расчёта, а так же даны рекомендации по конструктивному исполнению кронштейнов.

В третьей главе проведён анализ экономической эффективности введения в эксплуатацию разработанной конструкции, через экономию времени рабочих и экономию денежных средств на транспортные расходы.

Четвертая глава представляет собой оценку вредных факторов рабочего места инженера-конструктора.

Также в дипломный проект включены чертежи всех узлов креплений трубопровода и непосредственно сам участок трубопровода.

1.     
Трубопроводные системы в самолётостроении

1.1 Трубопровод - основной элемент безопасности ЛА

 

1.1.1  Назначение трубопроводов

Характерной особенностью летательного аппарата является широкая механизация и автоматизация систем управления полетом. Необходимость механизации летательных аппаратов объясняется, с одной стороны, возрастающим разрывом между потребными для управления мощностями и физическими возможностями человека, а с другой, - резким увеличением числа подлежащих управлению процессов.

Степень механизации управления характеризуется наличием специальных устройств и потребляемыми ими мощностями. На рисунке 1.1 приведена диаграмма роста мощностей гидравлических систем на различных летательных аппаратах.

В качестве примера, иллюстрирующего сложность современных силовых систем управления, можно привести гидравлическую систему одного из самолетов. На рис. 1.3 приведена блок-схема этой системы. В гидросистему входят 12 насосов, 85 линейных и 44 вращательных привода, 120 соленоидных и 50 механических клапанов. Общая емкость гидросистемы 830 л, протяженность трубопроводов 1600 м. Система имеет 3300 паяных и 600 механических соединений. Основные насосы могут работать в качестве моторов, обеспечивая запуск двигателей, что особенно важно для самолетов с электросистемой переменного тока. В сочетании с обычными функциональными потребителями (управлением в полете по трем каналам, механизацией крыла, шасси, тормозами и т. д.) они образуют сложную электрогидравлическую систему, а гидравлические системы самолетов Боинг 747-SР и 747-100 состоят из четырех подсистем (Рраб = 210 кгс/см2), имеют четыре независимых основных гидронасоса, каждый из них подает питание основному двигателю, а в каждой подсистеме имеется два параллельно работающих насоса: один насос с механическим приводом от двигателя, второй приводится в действие сжатым воздухом, отбираемым от компрессоров одного или всех двигателей, или от ВСУ.

А - самолёты с обычным фюзеляжем; Б - широкофюзеляжные самолёты; В - другие типы самолетов; ----- - существующие самолеты; - - - варианты существующих самолетов; …… новые самолеты; 1 - самолеты с ПД и ТВД; 2 - реактивные для коротких и средних авиалиний; 3 - реактивные для дальних авиалиний; 4 - для коротких и средних авиалиний; 5 - для дальних авиалиний; 6 - реактивные для местных авиалиний; 7 - самолеты с КВП; 8 - сверхзвуковые.

Рисунок 1.1 - Изменение сроков ввода зарубежных самолетов в эксплуатацию по годам.

В качестве другого примера на рис. 1.4 приведена блок-схема гидрогазовой системы ракеты типа воздух - воздух [1]. В момент отделения от носителя срабатывает пиропатрон в газогенераторе 1 и вытесняет рабочую жидкость из гидроаккумулятора 3 через разрывную мембрану 4 и фильтр 5, поступающую к электрогидравлическим рулевым машинкам. В качестве другого примера на рис. 1.4 приведена блок-схема гидрогазовой системы ракеты типа воздух - воздух [1]. В момент отделения от носителя срабатывает пиропатрон в газогенераторе 1 и вытесняет рабочую жидкость из гидроаккумулятора 3 через разрывную мембрану 4 и фильтр 5, поступающую к электрогидравлическим рулевым машинкам.

- самолета типа ХВ - 70 (США); 2 - самолет “Канкорд” (Англия - Франция); 3 - самолет типа F - 104 (США).

Рисунок 1.2 - диаграмма роста мощностей гидрогазавых систем летательных аппаратов.

, 2, 3, 4 - блоки питания (БП) дублирующих гидросистем; 5, 6, 7, 8, 9, 10 -переключатели, обеспечивающие питание соответствующих функциональных подсистем от БП - 1 или БП - 2.

Рисунок 1.3 - Блок схема гидросистемы самолета типа ХВ - 70.

У-газогенератор; 2-предохранительный клапан; 3-гидроаккумулятор; 4-разрывная мембрана-. 5-фильтр: 6, 7- электрогидравлические усилители; 8, 9-силовые приводы рулей; 10-штуцера разъемной проверки

Рисунок 1.4 - Блок-схема гидрогазовой системы ракеты типа воздух - воздух

Аналогичная система установлена на ракете «Спэрроу» [1], что позволило значительно повысить быстродействие и жесткость системы управления (обычно на таких ракетах применялись воздушные системы).

Все более сложными становятся также гидросистемы вертолетов.

В качестве рабочих жидкостей для гидравлических систем наибольшее применение получили следующие минеральные и синтетические масла: АМГ-10, АМГ-10а, АМГ-106, ЛЗ-МГ-2, 7-50сЗ, ХС-2-1, НГЖ-4 и др. Минеральные масла обладают хорошими смазочными свойствами, но имеют ограниченный температурный диапазон и пожароопасны. За последние годы получены новые синтетические невоспламеняющиеся и высокотемпературные рабочие жидкости для гидросистем.

Рабочее давление жидкости современных гидросистем постоянно возрастает.

Оптимальное рабочее давление жидкости для существующих материалов определяется по формуле:

(1.1)

гдеи d - наружный и внутренний диаметры трубопровода, мм;

 - допускаемое напряжение растяжения, кгс/мм2.

Увеличение давления в гидросистемах вызвано стремлением, уменьшить их массу, так как с увеличением давления уменьшаются размеры силового привода, потребные расходы рабочей жидкости. С этой точки зрения наиболее оптимальным является рабочее давление, равное 300-500 кгс/см2.

Еще одним фактором, ограничивающим увеличение давления в авиационных гидросистемах, являются трудности, связанные с созданием надежных насосов, уплотнений и регулирующей арматуры (автоматы разгрузки, предохранительные клапаны, редукторы и т. д.).

В настоящее время ведутся работы по переходу гидросистем на давление 280-320 и 350-400 кгс/см2 (например, система самолета «Конкорд» имеет Рраб = 280 кгс/см2).

Топливные системы самолетов предназначены для размещения на их борту необходимого запаса топлива и для бесперебойной подачи топлива в камеры сгорания двигателей при всех возможных для данных самолетов режимах и условиях работы. Кроме того, топливные системы могут выполнять дополнительные функции по охлаждению других бортовых систем, балансировке самолета, поддержанию положения центра тяжести самолета в определенном диапазоне и др.

К топливным системам также предъявляются общие требования в отношении надежности, живучести, пожарной безопасности, массовых и габаритных характеристик, простоты конструкции, ремонтопригодности, контролепригодности и эксплуатационной технологичности.

Топливные системы современных самолетов, особенно сверхзвуковых, - это сложный комплекс большого количества взаимосвязанных подсистем: подачи топлива в двигатели, перекачки топлива в расходный бак, управления порядком перекачки топлива, систем контроля, наддува и дренажа топливных баков, заправки и слива топлива на земле и в полете, охлаждения и др.

1-блок источников давления; 2-блок аварийного выпуска шасси; 3-блок командных агрегатов аварийного торможения; 4- блок редуктирования воздуха; 5-блок управления противообледенительной системой; 6-блок перезарядки; 7-блок торможения основных колес шасси; 5-блок управления открытия и сброса фонаря кабины и герметизации; 9-блок отключения подачи топлива; 10-блок управления тормозным парашютом.

Рисунок 1.5 - Структурная типовая схема пневматической системы.

Большое количество функциональных и конструктивных связей в топливной системе, а также связей между топливной системой и другими системами самолета требует при проектировании проведения сравнительного анализа различных схемных и конструктивно-технологических вариантов, их исследования и принятия компромиссных решений, обеспечивающих создание рациональной системы.

Масляные системы современных силовых установок летательных аппаратов также включают сложную сеть ответственных коммуникаций, насосов и специальных агрегатов, обеспечивающих охлаждение и фильтрацию масла, воздухоотделение и пр.

Рабочим телом в пневматических системах является газ (воздух, азот, кислород и др.). В отличие от жидкости с изменением давления в системе изменяются плотность и температура газа, поэтому пневматические системы по некоторым показателям уступают гидравлическим, хотя они обладают такими преимуществами, как низкая стоимость изготовления и сравнительная простота эксплуатации.

На ряде летательных аппаратов (особенно на тяжелых самолетах) пневматические системы часто применяются в сочетании с гидравлическими приводами в качестве аварийных средств выпуска шасси, щитков и т. д. (рисунок 1.5).

К пневматическим системам можно также отнести кислородные системы, системы кондиционирования воздуха, отдельные воздушные участки гидросистем, применяемые для торможения колес, выпуска тормозного парашюта и др.

Потребителями энергии (функциональными подсистемами) в системах механизации управления самолетом обычно являются:

-    органы управления полетом (рули, винты, механизация крыла; воздухозаборники, силовая установка);

-        системы управления взлетно-посадочными устройствами (уборка и выпуск шасси, поворот передней ноги шасси, торможение авиаколес);

         системы управления вспомогательными потребителями;

         приводные устройства в других бортовых системах (генераторы переменного тока, компрессоры, насосы теплообменников, вентиляторы, топливные насосы);

         прочие устройства и системы (трапы, стеклоочистители, грузовые люки).

Особые требования предъявляются также к трубопроводам гидрогазовых систем.

Для больших реактивных самолетов, где требуется лучшее соотношение между прочностью и массой в сочетании с высокой стойкостью к коррозии и нагреву, необходимо применять специальные коррозионностойкие стали, особенно для изготовления трубопроводов гидросистем самолетов, которые должны удовлетворять жестким условиям испытаний. Эти стали должны хорошо свариваться и деформироваться. Так, в двигателе самолета «Конкорд» для защиты от пожара трубопроводы высокого давления изготовлены из коррозионностойкой стали АМ350, а трубопроводы низкого давления - из коррозионностойкой стали Z3СN18 с паяными муфтами из коррозионностойкой стали. В настоящее время для трубопроводов применяется сталь 21-6-9 фирмы «Армко», содержащая 21% хрома, 6% никеля, 9% марганца. Сталь 21-6-9 используется почти во всех современных самолетах, в том числе самолетах Боинг 727, 747, DС-10 и L-1011.

Например, фирма Макдоннелл-Дуглас применяет на самолете DС-10 сталь 21-6-9 по двум основным причинам: для снижения массы примерно на 28% и для того, чтобы иметь материал, пригодный для неразъемного монтажа (все трубопроводы паяются к фитингам на стенде). Впоследствии эта сталь была распространена почти на все гидравлические системы самолета (более 1524 м трубопроводов из стали 21-6-9 и примерно 1300 соединений на каждый самолет).

Трубопроводы гидравлических систем должны иметь при комнатной температуре минимальный предел прочности 100 кгс/мм2, предел текучести 84 кгс/мм2, относительное удлинение 20%. Эти свойства трубопроводов достигаются после окончательного холодного обжатия (~15%), пайки и сварки без уменьшения коррозионной стойкости в морской воде (типа стали ВНС-2).

1.1.2  Надёжность трубопроводов

Под надежностью в практике обычно понимают свойство конструкции или ее элемента сохранять в заданных пределах свои параметры при определенных условиях эксплуатации в течение заданного срока службы.

Учитывая, что трубопроводы относятся к съемному оборудованию, их надежность можно принять как сохранение работоспособности в течение заданного интервала времени (межремонтного срока службы) в определенных условиях эксплуатации.

Весьма важным является изучение факторов, влияющих на эксплуатационную надежность трубопроводных систем. Это поможет узнать причины появления возможных неисправностей. Устранение их будет способствовать повышению надежности и долговечности как трубопроводов и их соединений, так и всей гидравлической системы машины.

Исследования показали, что надежность трубопроводов в основном зависит от совокупности следующих факторов:

­    качества проектирования;

­         качества материала, из которого изготовлены трубы;

­         совершенства производственного процесса изготовления и монтажа трубопроводов;

­         степени обоснованности технических норм и допусков, принятых при изготовлении и монтаже трубопроводов;

­         полноты испытания готовых трубопроводов;

­         организации системы контроля.

При проектировании гидравлических систем недостаточно учитываются фактические условия работы трубопроводов; наличие наряду со статическими переменных нагрузок и возможность появления усталостных разрушений. Особенно это относится к авиационным системам. Например, не уделяется должного внимания снижению колебаний давления, возникающих в трубопроводах во время работы системы. Эти пульсации, создающие повторные нагрузки от давления, в отдельных случаях вызывают опасные вибрации трубопроводов, которые приводят к образованию усталостных трещин.

Практика показывает, что прочность трубопроводов следует назначать с учетом не только статических, но и периодически повторяемых эксплуатационных нагрузок. В отдельных случаях при проектировании системы можно уменьшить эксплуатационные нагрузки применением внутреннего и внешнего демпфирования и, следовательно, значительно снизить амплитуды пульсации давления, создаваемые насосами, или вообще исключить возможность появления внутреннего резонанса в системе. Например, при установке проволочных демпферов можно значительно уменьшить амплитуды поперечных колебаний трубопроводов.

Риски и шероховатости поверхности трубопроводов особенно внутренние при наличии переменного внутреннего давления могут значительно снижать усталостную прочность трубопроводов, так как они представляют собой очаги концентрации напряжения.

Исследования показали, что условия производства не обеспечивают качественного изгиба трубы. Сплющивания (овализации) ее поперечного сечения избежать не удаётся. Более того, до последнего времени отсутствовали в промышленности технически обоснованные нормы

на величину допустимой овальности поперечного сечения для различных диаметров трубопроводов и её контроль. Наличие овальности у трубопроводов гидравлических систем подверженных действию колебаний давления, почти всегда приводит к усталостным разрушениям в виде трещин, идущих вдоль образующей трубы. Последнее обусловлено тем, что деформация овального сечения трубы при изменении внутреннего давления сопровождается изменением формы сечения трубопровода. Это способствует изгибным колебаниям сечения в плоскости перпендикулярной оси трубопровода.

Разрушения трубопровода вблизи развальцованной части свидетельствуют о дефектах технологии его развальцовки, в результате чего образуется утонение стенки трубы, о наличии рисок и надиров на внутренней поверхности конуса, а также поперечных

колебании, которые приводят к усталостным разрушениям, возникающим в наиболее ослабленном месте.

При некачественном монтаже трубопровода возможно также возникновение так называемых монтажных напряжений значительно ухудшающих условия работы трубопроводов. Для устранения этого необходимы технически обоснованные допуски на монтажные работы, а также контроль величины монтажных напряжений в трубопроводах и их соединениях.

В качестве контроля надежности и долговечности авиационных конструкций приняты натурные испытания при повторных нагрузках. Во время таких испытаний выявляют наиболее слабые места конструкции.

1.1.3  Отказы трубопроводов

Надежность гидравлических и пневматических систем определяется уровнем, совершенствования их конструкции, качеством ее технологического выполнения, а также правильной организацией эксплуатации.

Обеспечение безопасности полетов летательных аппаратов является первоочередной задачей проектирования. Для решения этой задачи проводится обширный комплекс работ, в котором важное место занимает анализ отказов и неисправностей летательных аппаратов и систем их оборудования.

Анализ материалов по эксплуатации ЛА позволяет выявить типичные отказы планера и бортовых систем, исследовать закон их распределения, причины возникновения и определить меры по устранению отказов, а также периодически оценивать надежность и ресурс.

В результате анализа и статистической обработки данных по отказам получена классификация отказов и неисправностей бортовых систем.

На рисунке 1.7 представлена диаграмма распределения отказов и неисправностей ряда летательных аппаратов. Из приведенной диаграммы видно, что на планер приходится 12% неисправностей, а на бортовые системы - 88% отказов.

Из диаграммы на рисунке 1.6 видно, что основная часть отказов происходит из-за ошибок на стадии проектирования.

На рисунке 1.8 приведена диаграмма распределения отказов и неисправностей по трубопроводным коммуникациям. Наиболее важной системой, с точки зрения безопасности полета, является гидросистема, надежность которой еще не достаточна.

а- конструктивно- технологические; б- производственные; в- неисправности при эксплуатации

Рисунок 1.6- Диаграмма распределения отказов по типам

По данным эксплуатационных фирм ВВС США, из общего числа отказов по элементам самолета до 15% приходиться на планер (фюзеляж, крыло, оперение, фонарь) до 50 - 60% на топливную, воздушную и гидравлическую системы и до 25 - 35% на радио- и электрооборудование.

а- гидравлическая, топливная, воздушная; б- планер; в- радио-, электро-, навигационная

Рисунок 1.7- Диаграмма распределения отказов по системам летательных аппаратов.

Сравнительно слабым звеном в гидросистеме являются шланги, трубопроводы и их соединения, потеря герметичности или разрушение которых приводит к серьезным отказам, иногда к аварийным ситуациям.

В результате анализа данных по дефектам и отказам трубопроводных коммуникаций выявлены следующие основные неисправности:

-    негерметичность соединений трубопроводов и агрегатов;

-        разрушение трубопроводов в местах соединений, креплений и в местах изгиба;

         трещины на ниппелях и накидных гайках;

         потертости трубопроводов;

         деформация трубопроводов и ниппелей (забоины, вмятины, риски и другие деформации.);

         свищи в трубопроводах;

         загрязнение внутренних полостей жидкостных систем.

Основными причинами разрушения трубопроводов и их соединений являются:

-    высокий уровень изгибных колебаний трубопроводов, источ

-        никами возникновения которых обычно являются вибрации эле

         ментов конструкции самолетов;

         наличие значительных монтажных неточностей в соединениях трубопроводов, резко снижающих усталостную прочность материала трубопровода при эксплуатационных переменных нагрузках.

Изучение статистических данных показывает, что характер и причины появления основных неисправностей трубопроводных коммуникаций различных летательных аппаратов аналогичны.

Рисунок 1.8- Диаграмма распределения отказов по трубопроводным коммуникациям.

1.2    Напряжения, действующие в трубопроводах

 

1.2.1  Общие сведения

В последнее время в отечественной и зарубежной литературе появились работы, касающиеся повышения надежности трубопроводов различных машин и, особенно, гидравлических систем самолетов.

Подобный интерес к этому вопросу вызван, с одной стороны, тем, что гидросистемы самолетов имеют значительное количество дефектов, которые могут привести к разрушению трубопроводов, и, с другой стороны, возрастающими требованиями к проектированию и изготовлению новых гидравлических систем, отличающихся применением высоких рабочих давлений и большой сложностью.

Создание новых скоростных многоместных самолетов потребовало значительного усложнения конструкции самолетов и применяемого на них оборудования, в том числе гидравлической системы. Поэтому чрезвычайно важным является изучение различных факторов, влияющих на надежность гидравлической системы самолета, особенно, действующих в них фактических напряжений.

Рассмотрим виды напряжений, возникающих в трубопроводах гидравлической системы самолета. Это поможет в случае необходимости аналогичным образом рассмотреть любую другую гидравлическую систему.

Фактически возникающие в материале трубопроводов напряжения являются суммой нескольких составляющих, которые могут быть и статическими и динамическими. Следовательно, здесь имеет место сложная деформация изгиба с внутренним давлением. Кроме того, в отдельных случаях может добавляться и кручение.

Вырежем элемент в наиболее напряженном участке трубопровода и покажем главные напряжения, действующие по его граням (рис. 1.6).

Рисунок 1.6 - Схема действия напряжений на вырезанный элемент трубопровода.

Напряжения  складываются из составляющих, действующих вдоль оси трубопровода (схема представлена на рисунке 1.7):

, (1.2)

где  - постоянная составляющая напряжения от внутреннего давления;

 - переменная составляющая напряжения от внутреннего давления;

 - монтажные напряжения;

 - температурные напряжения;

 - эксплуатационные напряжения;

 - напряжения, возникающие в результате вибрации.

Напряжения  складываются из тангенциальных составляющих в стенке трубопровода

 (1.3)

где  - постоянная составляющая напряжения от внутреннего давления;

 - переменная составляющая напряжения от внутреннего давления;

 - переменная составляющая напряжения, вызванного внутренним давлением при овальности;

 - постоянная составляющая напряжения, вызванная наличием овальности сечения;

 - монтажные напряжения;

 - температурные напряжения;

 - эксплуатационные напряжения;

 - напряжения, возникающие в результате вибрации.

Для оценки напряженного состояния трубопроводов необходимо знать величины всех этих составляющих.

1 - труба; 2 - колодка крепления; 3 - корпус изделия.

Рисунок 1.7 - Расчетная схема для определения осевых напряжений.

1.2.2  Температурные напряжения

Результаты летных экспериментов, проведенных на самолетах, показали, что температура жидкости в баках гидравлической системы в полете обычно не превышает 60 - 70° С , хотя в отдельных точках гидросистемы она может быть и выше, причем эта температура зависит от частоты срабатывания автоматов разгрузки насосов, температуры наружного воздуха и времени полета. Установлено, что после 1 - 1,5 ч полета температура принимает некоторое стабилизированное значение.

В результате нагрева трубопровода до температуры жидкости и теплового удлинения возникает продольная сила.

Вычислим величину этой силы для прямолинейного участка стального трубопровода размером 12 х 10 мм:

;

α = 125·10-7; Е = 2,1 · 106 кГ/см2; F = 0,346 см2.

Для температуры наружного воздуха 0° и температуры жидкости около 30°С, Δt = 30° С;

Зная силу N, используем схему (рисунок 1.7) для вычисления осевых температурных напряжений в том же трубопроводе

;


Полученное значение неточно. Здесь не учтено температурное удлинение элементов конструкции рассматриваемого отсека шасси. На практике же это обстоятельство всегда имеет место. Так, по данным летных испытаний самолетов в закрытых отсеках шасси в результате прогрева последних от двигателей, температура среды всегда выше температуры наружного воздуха. Это приводит к возникновению температурных удлинений элементов конструкции и уменьшению взятого нами перепада температур Δt, что, в свою очередь, способствует снижению уровня напряжений  в материале трубопровода.

Следует заметить, что здесь совершенно не учитывалось наличие монтажных напряжений и их взаимодействие с напряжениями .

1.2.3  Эксплуатационные напряжения

Эксплуатационные напряжения  могут иметь значительную величину. Они возникают за счет деформации элементов конструкции, по которой проложен трубопровод. Сюда же следует отнести переменную составляющую , возникшую из-за механических вибраций.

Эти напряжения в трубопроводах можно определить лишь в процессе специальных испытаний.

1.2.4  Напряжения, вызванные поперечным колебанием трубопроводов

Поперечные вибрации трубопроводов могут возбуждаться действием механических сил, а также в результате пульсации давления или скорости рабочей жидкости, протекающей по трубопроводу. В последнем случае возможно возникновение параметрических вибраций трубопровода.

Н.А. Картвелишвили, рассматривая вибрации трубопровода, вызванные пульсирующим давлением рабочей жидкости, представлял трубопровод как трубчатую балку. При этом он использовал обычное уравнение упругой оси балки, нагруженной равномерно распределенной нагрузкой, вызванной внутренним давлением Р и осевой сжимающей силой N.

Внутреннее давление жидкости всегда вызывает поперечную силу, действующую на трубопровод, так как трубопровод, расположенный на опорах, всегда имеет прогиб от собственного веса и веса заключенной в нем жидкости, пусть даже незначительный. Кроме того, возможны нарушения прямолинейности участков трубопроводов при монтаже, вследствие чего Р1 и Р2 - силы внутреннего давления жидкости в двух очень близких поперечных сечениях 1 - 1 и 2 - 2 (рисунок 1.8) создают равнодействующую силу R, которая приложена к участку 1 - 2 и направлена перпендикулярно оси трубопровода.

Естественно, что при изменении величины рабочего давления Р изменяется и величина равнодействующей силы R. Если изменение рабочего давления периодическое, обусловленное пульсациями, создаваемыми насосами, то изменение поперечной силы R также периодическое, что приводит к возбуждению поперечных колебаний трубопровода. Н. А. Картвелишвили рассмотрел случай, когда поперечные колебания трубопровода происходят вдали от резонанса.

А и Б - участок, где возможно образование поперечных трещин.

Рисунок 1.8. Схема возникновения поперечных колебаний.

Полученное им решение не достаточно точно, так как:

1.   Трубопровод рассматривали как трубчатую балку, а не как оболочку.

.     Колебания внутреннего давления считали гармоническими, в то время как они имеют иной вид.

Однако задача состояла в том, чтобы определить порядок величин .

Полученные результаты свидетельствуют о том, что колебания оболочки трубопровода при колебаниях внутреннего давления (при отсутствии резонанса) приводят к весьма незначительным переменным напряжениям (0,2 - 0,3 кг/мм2). Эти величины не превосходят точность определения предела усталости металла и не отражаются на напряженном состоянии трубопровода. Поэтому практическое значение имеют только те переменные составляющие напряжений , которые возникают в оболочке в связи с изменениями внутреннего давления независимо от возникающих при этом вибраций. Этот вывод подтверждают также экспериментальные данные.

Сколько-нибудь значительной разницы в осциллограммах напряжений, снятых в различных точках контура одного и того же сечения трубопровода, не обнаружено, но если бы напряжения  имели существенное значение, такая разница должна была бы быть.

Однако положение существенно меняется, если трубопровод совершает резонансные колебания. В этом случае трактовка рассмотренной выше задачи с использованием линейных дифференциальных уравнений приводит к решениям, неограниченно возрастающим со временем. С точки зрения линейной теории это означает, что трубопровод в условиях установившихся колебаний весьма быстро может быть доведен до полного разрушения.

Наблюдения, а также экспериментальные данные указывают на то, что во многих случаях вначале амплитуды нарастают согласно линейной теории, быстро прекращаются и устанавливаются стационарные колебания весьма большой амплитуды. Это несоответствие между линейной теорией и опытом объяснено В. В. Болотиным.

Дело в том, что только в области достаточно малых амплитуд (как и рассматривал Н. А. Картвелишвили) действующие на трубопровод силы можно рассматривать как линейные функции перемещений, скоростей и ускорений.

С ростом же амплитуд начинает все в большей степени проявляться влияние нелинейных факторов. Эти факторы и ограничивают бесконечное возрастание амплитуд, предсказываемое линейной теорией.

Решение дифференциального уравнения, описывающего поперечные колебания трубопровода с учетом нелинейных факторов, представляет значительные трудности. Ввиду этого здесь оно не приведено. Однако оценить величину напряжений в условиях резонансных колебаний можно при помощи экспериментов.

По данным летных испытаний самолетов получены, например, напряжения при резонансных колебаниях трубопроводов до 9 кг/мм2.

1.2.5  Дефекты, возникающие при монтаже деталей из труб

Высокие напряжения в трубопроводах часто возникают в результате неточностей монтажа.

На величину монтажных напряжений, кроме самих неточностей, влияет еще целый ряд факторов: расположение неточностей относительно оси трубопровода, податливость систем трубопроводов, порядок монтажа, конфигурация, длина трубы и др.

Возможные отклонения размеров элементов систем при их монтаже вызывают линейные неточности (зазор Δ1 и несоосность Δ2 между конусами штуцера и трубопровода) и перекосы или угловую неточность Δ3.

Отклонения по длине трубопроводов Δ1, т. е. зазор или натяг между конусами штуцера и раструбом трубы, могут вызвать следующие дефекты:

-   в прямолинейном трубопроводе - смятие и вырыв развальцованной части трубы;

-        в криволинейном трубопроводе - деформирование изогнутого участка трубы, в котором, как правило, возникают напряжения большие, чем в соединении трубопроводов.

Для проверки этого явления приведен опыт, который заключался в определении остаточных деформаций через коэффициент овальности К в зависимости от перемещения одного из концов трубопровода Δl в плоскости изгиба.

Коэффициент

,

где D1 и D2 - максимальный и минимальный диаметры овального сечения трубы.

Рисунок 1.9 - Зависимость между перемещением и деформациями трубопроводов

По данным, полученным при проведении опыта, можно судить о следующем:

­    зависимость между перемещением и деформацией трубопровода, выраженная через коэффициент овальности, является почти линейной по всему диапазону перемещений (рисунок 1.9);

­    при минусовом отклонении по длине трубы зависимость между перемещениями и деформациями выражена значительно слабее, чем при плюсовом отклонении; в первом случае коэффициент овальности уменьшается, во втором - резко увеличивается;

­         увеличение коэффициента овальности трубопроводов в местах изгиба больше 10% приводит при эксплуатации изделий к разрушению трубопроводов;

­         долговечность овального участка трубопроводных систем зависит от перемещения Δl одного из концов трубы, радиуса изгиба и коэффициента овальности К.

Несоосность трубопровода со штуцером снижает сопротивление трубопровода вибрациям в их соединениях в зоне развальцовки, если это соединение трубопроводов осуществлено по наружному конусу или в соединениях трубопроводов по внутреннему конусу в местах припайки и приварки ниппеля к трубе.

Дефект несоосности, возникает при монтаже деталей из труб, понижает усталостную прочность соединений трубопроводов.

Возникновение подобных дефектов может быть вызвано некачественным выполнением развальцовки в результате, например, разной толщины стенок труб.

К этому же явлению приводит перекос трубы в зажиме развальцовочного станка, вызываемый зазорами между трубой и рабочей частью зажима, наличием диаметра трубы с минусовым допуском, малой площадью зажимаемой поверхности, а также наличием утоненной стенки у основания конуса в развальцовке, трещин, волосовин и т. д.

Перекос конуса развальцованной части трубы приводит, прежде всего, к нарушению герметичности соединений трубопроводов и возникновению течи.

1.2.6  Определение монтажных напряжений в трубопроводах

При расчете монтажных напряжений в соединениях трубопроводов исходными данными являются:

Δ - исходная неточность или одна из ее проекций на любое направление оси трубопровода;

Δs - неточность или ее проекция на любое направление, при которой появляются пластические деформации;

εmax - наибольшая относительная деформация;

 - отношение внутреннего диаметра трубопровода к наружному;

εs - относительная деформация, соответствующая пределу текучести.

Для соединений трубопроводов или промежуточного участка трубы определяют сначала неточность Δs, соответствующую той деформации, при которой напряжения в трубе равны пределу текучести материала. Затем определяют неточность Δ, возникающую при монтаже свободного конца или промежуточного сечения трубопровода.

Если величина отношения  < 1, то монтажные напряжения в трубопроводе ниже предела текучести, если же  > 1, то имеет место пластическая деформация монтируемого участка, и напряжения в нем превышают предел текучести материала трубопровода.

Количественно эти напряжения оценивают по диаграмме растяжения для соответствующего материала трубопровода и по зависимости между неточностями и наибольшими монтажными деформациями (рисунок 1.10). В случае отсутствия полных справочных данных диаграмму растяжения для данного материала строят по экспериментальным данным.

Зависимость между неточностями и наибольшими монтажными деформациями строят для трубопроводов из различных материалов и различных диаметров. Однако в данном случае при расчете трубопроводов гидрогазовых систем выбор диаметров ограничен, поэтому зависимость для различных диаметров выражена сравнительно узкой областью (заштрихованный участок на рисунке 1.10).

Верхняя линия показывает зависимость между неточностями и наибольшими монтажными деформациями для трубопровода размером 8 х 1 мм, а нижняя для трубопровода 22 х 1 мм.

Для промежуточных диаметров значения величины  рекомендуется выбирать по верхней кривой, что повышает запас прочности.

Рисунок 1.10 - Зависимость между неточностями и наибольшими монтажными деформациями для трубопроводов из стали Х18Н10Т.

Зависимость, приведенная на рисунке 1.10, получена при расчете большого количества трубопроводов различной конфигурации из стали Х18Н10Т, имеющих изгиб лишь в одной плоскости.

Эту зависимость можно использовать и для определения с достаточной точностью монтажных напряжений пространственных трубопроводов, т. е. имеющих изгибы в различных плоскостях.

Рекомендуется следующий порядок определения величины монтажных напряжений.

После определения  по данным графика (рисунок 1.28) находят . Затем, зная величину εs, соответствующую пределу текучести , определяют εmax, а по диаграмме растяжений для данного материала, зная значения εmax, определяют уровень монтажных напряжений. Величины Δ и Δs можно определить прибором, схема которого приведена на рисунке 1.11. На штуцер агрегата или на переходной штуцер 1 крепят в зажимах индикатор 2, а за накидной гайкой 4 - хомутом на трубке - ограничительную пластинку 3.

1 - штуцер; 2 - индикатор; 3 - ограничительная планка; 4 - накидная гайка; Δ1 - недотяг; Δ2 - несоосность; Δ3 - перекос.

Рисунок 1.11 - Схема прибора для замера неточностей при монтаже.

При перемещении монтируемого участка трубопровода индикатор показывает относительное перемещение свободного конца трубопровода, поскольку абсолютное перемещение, имеющее место при зазоре Δ1 между конусами штуцера и трубопровода, перекосе Δ3 и несоосности Δ2, происходит в трех взаимно перпендикулярных плоскостях (рисунок 1.29 Δ2 = 0).

Определяют Δs по этапам несколькими перемещениями монтируемого участка трубопровода.

Последовательно увеличивая эти перемещения на небольшие величины, находят величину перемещения Δs, при которой участок не возвращается в исходное положение. Точность определения должна быть в пределах 0,1 - 0,2 мм.

В случае, когда монтажные напряжения не превышают предел текучести материала, то, зная прочностные возможности материала трубопроводов, можно исходить из условия σmax = σs.

Для более точного определения монтажных напряжений в области упругих деформаций необходимо, задавая перемещения, превышающие фактическую неточность Δ, найти величину Δs. Тогда фактическое монтажное напряжение

(1.4)

На основании проведенных исследований, а также на основании расчета и определения монтажных напряжений для прямолинейных участков трубопровода можно рекомендовать следующие допустимые монтажные неточности (табл. 1.1).

Таблица 1.1 Допустимые монтажные неточности.

Наружный диаметр трубы в мм

При соединении труб

При закреплении в колодке


Осевая неточность для соединения в мм

Несоосность (в мм) при длине незакрепленного участка: 275 - 300 мм

Перекос в град

Несоосность в мм

Перекос в град














АН - 1848

АН - 1854

Заводская нормаль*





































































До 10

1,0

1,5

1,5

Не более 7

По нормали АН - 1426, АН - 1854 не более 30', по нормали

Не более 2 мм на длине не менее 100 мм

Не более 1° 10'


При длине незакрепленного участка не менее 300 мм











10-20

1,0

1,5

1,5

Не более 5**

АН - 1848 с полной сферой в пределах 3°

Не более 1,5 мм на длине не менее 100 мм

Не более 30'


При длине незакрепленного участка не менее 400 мм























Свыше 20

-

-

-

Не более 3


Не более 1 мм на длине не менее 200 мм

Не более 20'

* Соединение по наружному конусу с точеным ниппелем, припаянным к трубопроводу.

** Данная величина несоосности получена экспериментальным путем, а остальные - расчетным.


Эти монтажные неточности относятся к трубопроводам, проложенным в крепежных колодках или незатянутых хомутах и при закрепленном одном конце.

Для труб с криволинейным участком допустимая величина осевой неточности может быть несколько выше, чем для прямолинейных, так как влияние осевой неточности на монтажные напряжения прямолинейных труб более значительно, чем для труб с криволинейным участком.

Рисунок 1.12 - Схема применения прокладок для регулировки осевой неточности.

При соединении трубопроводов с фитингами закрепленных агрегатов для компенсации осевых неточностей при сборке рекомендуется применять регулировочные прокладки величиной до 3 мм (рисунок 1.12).

Хомуты и колодки креплений следует затягивать только после затяжки соединения трубопровода с двух сторон.

Чтобы избежать при монтаже увеличения овальности изогнутых трубопроводов в местах изгиба, категорически запрещается подгибать трубу во внутреннюю сторону изгиба.

1.2.7  Напряжения в круглом сечении

Определим величины составляющих , ,  (рисунок 1.13) для волокон внутренней и внешней поверхности трубопровода размером 12 х 10 мм.

Выберем, как и ранее, максимальное рабочее давление Рраб = 210 кГ/см2.

В этом случае напряжения на внутренней поверхности трубы

 кг/см2 или 11,65 кг/мм2,

а на наружной поверхности

 кГ/см2 или 955 кГ/мм2.

Рисунок 1.13 - Схема действия напряжений от внутреннего давления в плоскости круглого сечения трубопровода

Аналогичным способом определяют напряжения . Известно, что максимальная пульсация Δр при работе одного шестеренчатого насоса составляет Δр = 38,7 кГ/см2, а при работе двух плунжерных параллельно Δр = 52,6 кг/см2. Тогда для шестеренчатого насоса

 кГ/см2;

 кГ/см2.

а для двух плунжерных насосов:

 кГ/см2;

 кГ/см2.

1.2.8  Напряжения в овальных сечениях

Различными авторами предложено несколько формул для учета повышения напряжений в трубопроводах от овальности. Проведенные авторами экспериментальные исследования показали, что для трубопроводов гидравлических систем лучше других применима формула Булгакова:

, (1.5)

где ;и b1 - большая и малая полуоси овала.

Расчет по этой формуле для давления 210 кГ/см2 и овальности К = 9,94% дает следующее значение:

 кг/см2 или  кг/см2.

Соответственно напряжение, вызванное пульсацией давления Δр = 37,8 кГ/см2 при работе одного шестеренчатого насоса:

 кг/см2.

При работе двух плунжерных насосов

Δр = 49,3 кг/см2

и

 кг/см2.

1.2.9  Температурные напряжения

Так как температура жидкости в трубопроводе во время полета выше температуры окружающей его среды, то напряжения  неравномерно распределены по толщине стенки. При малых толщинах стенки трубопровода напряжения

, (1.6)

где Е - модуль упругости;

μ - коэффициент Пуассона; для стали μ = 0,29.

Подставив значения этих величин в формулу (1.6), получим

 кг/см2,

или

 кг/мм2.

При этом волокна, испытывающие действие более высокой температуры, сжаты, более низкой - растянуты.

Точную оценку величины монтажных напряжений  дать трудно. Однако, учитывая, что в большинстве случаев колодки крепления изготовляют из сплава алюминия или текстолита с упругими прокладками, напряжение  имеет незначительную величину по сравнению с напряжениями  и .

1.2.10  Напряжения, возникающие при вибрации трубопровода

Напряжения  имеют наибольшее значение в условиях резонанса радиальных колебаний. Для расчетного определения величины этих напряжений необходим сложный математический аппарат, а для определения этих напряжений экспериментально нужна тензометрическая аппаратура, способная работать при частотах 1000 гц и более.

Результаты анализа многочисленных дефектов трубопроводов позволяют предположить, что эти напряжения имеют значительно меньшую величину, чем ,  или .В противном случае имелись бы случаи возникновения продольных трещин на поверхности трубопроводов, имеющих недеформированное (круглое) поперечное сечение.

В таблице 1.2 приведены значения напряжений, возникающих в стенках трубопровода размером 12x10 мм, под действием различного рода нагрузок. Материал трубы - сталь 20А, рабочее давление Рраб = 210 кг/см2.

Таблица 1.2 - Напряжения, действующие в трубопроводе

Наименование напряжения

Величена напряжений в кГ/мм2

Характер распределения


на наружном диаметре

на внутреннем диаметре


1

2

3

4

Осевые напряжения

Постоянная составляющая от внутреннего давления 0,30,3Равномерно по сечению трубопровода




Переменная составляющая от внутреннего давления 0,30,3Равномерно по сечению трубопровода




Монтажные напряжения Могут достигать предела текучестиМожет быть различным



Температурные напряжения  при Δt = 30˚С0,570,57Равномерно по сечению




Эксплуатационные напряжения --Как в случае изгиба




Напряжения, возникающие при вибрации трубопровода, До 10Как в случае изгиба




Тангенциальные напряжения

Постоянная составляющая от внутреннего давления 9,5511,65Не равномерно по сечению




Переменная составляющая 2,242,73Максимальные напряжения на внутренней поверхности, минимальны на внутренней




Постоянная составляющая напряжения , вызванная наличием овальности сечения при К = 10%24,2129,78




Переменная составляющая , вызванная внутренним давлением при наличии овальности К = 10%6,356,97То же




Монтажные напряжения Значительно меньше, чем - 5,55Может быть различным



Температурные напряжения 5,55- 5,55Неравномерно по сечению




Напряжения, возникающие при вибрации трубопровода, --Не равномерно по сечению





Из таблицы видно, что наиболее опасными из осевых напряжений следует считать напряжения от вибрации, которые в сочетании с напряжениями, возникающими при монтаже, могут приводить к разрушению трубопроводов.

Разрушение в этом случае, как правило, возникает вблизи колодок крепления или развальцовки и имеет вид трещины, идущей по окружности.

Из тангенциальных напряжений наиболее опасными следует считать напряжения, возникающие при наличии овальности.

При колебаниях величины внутреннего давления рабочей жидкости постоянная составляющая  превращается в переменную. Колебания давления в этом случае приводят к изменению формы сечения и возникновению трещин, идущих вдоль образующей трубопровода.

1.3 Обзор существующих методов расчёта


Существуют гидравлический и прочностной расчеты трубопроводов.

Целью гидравлического расчета является определение потерь напора рабочей жидкости при заданных скоростях ее движения, обусловленных временем, потребным для выполнения той или иной операции.

При расчете гидравлических систем, особенно систем самолетов, приходится одновременно учитывать интересы, как уменьшения гидравлических потерь, так и уменьшения веса трубопроводов.

Для уменьшения гидравлических потерь желательно выбирать возможно больший диаметр трубы, однако при этом вес трубопровода с жидкостью возрастает в квадратичной зависимости от диаметра. В связи с этим для уменьшения веса трубопроводов в гидравлической системе желательно делать их возможно малого диаметра.

Расчет на прочность позволяет установить, насколько правильно подобраны материал трубопроводов и толщина стенки, а так же назначить требуемый запас прочности.

Гидравлический и прочностной расчеты позволяют выбрать оптимальные параметры трубопроводов.

1.3.1  Гидравлический расчет трубопроводов

Если известен расход жидкости через трубопровод, то при заданной скорости движения определяется потребный внутренний диаметр

 см, (1.7)

где Q - наибольший расход жидкости, возможный в данном участке гидравлической системы, в см3/сек;

υ - средняя скорость движения рабочей жидкости в см/сек.

Скорость движения жидкости в напорных и сливных трубопроводах обычно выбирают не более 8 - 15 м/сек. Для всасывающих трубопроводов ее обычно ограничивают величинами 1,5 - 2 м/сек.

Полученный по формуле [1.7] размер внутреннего диаметра трубопровода округляют до ближайшего размера, рекомендуемого соответствующим ГОСТом.

Кроме определения диаметра трубопровода, в задачу гидравлического расчета входит определение гидравлических потерь по длине трубопровода, величина которых зависит в основном от характера движения жидкости по трубопроводу.

Различают два вида движения жидкости: ламинарное и турбулентное. При ламинарном (или слоистом) движении траектории частиц жидкости параллельны оси трубы. Слои жидкости двигаются, не смешиваясь между собой. При турбулентном движении наряду с движением жидкости вдоль оси существует пульсация скорости в поперечном направлении. Траектории частиц жидкости при этом представляют собой сложные кривые.

Переход от одного режима течения к другому наступает при определенных условиях, характеризуемых некоторым безразмерным числом Рейнольдса Rе, значение которого зависит от диаметра трубопровода, скорости движения жидкости и ее кинематической вязкости.

Число Рейнольдса для круглых труб

,(1.8)

где Re - число Рейнольдса;

υ - средняя скорость движения жидкости см/сек;- внутренний диаметр трубопровода в мм;- коэффициент кинематической вязкости.

Опыты показали, что ламинарному режиму движения жидкости по металлическим круглым трубам соответствуют числа Рейнольдса Rе ≤ 2200÷2300, а турбулентному - Rе≥2200÷2300 [1.8]. Если в трубопроводе отсутствуют возмущения, способствующие возникновению турбулентности, то поток сохраняется ламинарным до более высоких чисел Рейнольдса. Несмотря на это обстоятельство, при расчете гидравлических сопротивлений исходят из минимальных (критических) значений Rе.

Таким образом, ламинарное течение соответствует малым скоростям, малым диаметрам и высоким вязкостям жидкости.

Потери напора по длине трубопровода в метрах столба данной жидкости можно определить по следующей известной формуле [1.9]:

,(1.9)

где g - ускорение силы тяжести;

λ - коэффициент сопротивления, равный для ламинарного режима

;(1.10)

l - длина трубопровода.

Однако в практических расчетах обычно берут для ламинарного режима . Для шлангов этот коэффициент равен . Увеличение коэффициента λ объясняется наличием у труб искажений поперечного сечения, а также некоторым охлаждением слоев жидкости, прилегающих к внутренней поверхности трубы. В результате теплоотдачи через трубу эти слои жидкости несколько охлаждаются, что приводит к местному увеличению вязкости, а следовательно, и сопротивления.

Для турбулентного режима движения жидкости коэффициент сопротивления вычисляют по выражению Блазиуса:

(1.11)

С учетом значения  формула для определения потерь напора для ламинарного режима может быть представлена в следующем виде:

 кГ/см2,(1.12)

где ρ - плотность жидкости.

Эта формула справедлива лишь для прямолинейных участков трубы, сопротивление движению жидкости в которых создается в основном в результате гидравлического трения. При наличии же в системе криволинейных участков труб, а также проходных штуцеров, кранов и других гидравлических элементов возникают местные сопротивления из-за вихреобразований, срыва потока и перераспределения скоростей по сечению.

Исследования показали, что для подавляющего большинства местных сопротивлений при ламинарном течении потери давления можно считать пропорциональными расходу или скорости в первой степени, т. е. при ламинарном движении доминирующее значение оказывает трение. Потери же, пропорциональные квадрату скорости, в этих случаях ничтожно малы.

Это обстоятельство позволяет почти все местные сопротивления в гидравлической системе выразить в виде эквивалентных или относительных длин (таблица 1.3). Эквивалентная длина равна длине трубопровода, потери напора в котором при том же расходе соответствуют потере напора в данном местном сопротивлении.

Таблица 1.3 - Эквивалентные длины

Название местного сопротивления

Распределительный золотник с электромагнитным управлением

900-1200

Фильтр щелевой

275-300

Односторонний шариковый клапан-колено под углом 90°

190

Стандартные поворотные угольники с полым крепежным болтом

47 - 125

Односторонний шариковый клапан прямой

68

Распределительный кран пробковый

33-59

Сверленые угольники

50-70

Обратные клапаны:


а) с шариком и пружиной

41-110

б) откидной шарнирный

12-33

Золотник цилиндрический

32-59

Предохранительный клапан

23-60

Самозапирающееся соединение трубопровода

18,5-27,5

Трехходовой кран

10-12

Отвод (колено с закруглением)

0


Относительная длина выражается отношением .

Учитывая все вышеизложенное, величина гидравлических потерь при ламинарном движении в гидравлической системе

(1.13)

где l - длина трубопровода в см;- внутренний диаметр трубопровода в см;

ρ - плотность жидкости в кг·сек2/см4;

ν - кинематическая вязкость в см2/сек.

Приведенные данные можно использовать лишь для приближенного расчета гидравлических систем. Для выполнения точных расчетов необходимы дополнительные испытания конкретных местных сопротивлений в реальных условиях их работы.

При помощи экспериментов установлено, что при ламинарном течении жидкости шероховатость внутренней поверхности труб не влияет на гидравлическое сопротивление, так как выступы шероховатостей скрыты под пограничным слоем. Такие трубы называют гидравлически гладкими. При возрастании числа Rе толщина пограничного слоя уменьшается, в результате чего часть выступов начинает проникать сквозь пограничный слой и вследствие этого шероховатость трубы начинает оказывать влияние на величину гидравлического сопротивления. Это происходит в области развитой турбулентности, т. е. при Rе > 80 000. В области же турбулентного течения, но при небольших значениях чисел Рейнольдса и малой относительной шероховатости  (где К - абсолютная шероховатость, а r - радиус трубы) шероховатость на сопротивление не влияет.

При весьма больших значениях Rе и больших  коэффициент сопротивления λ перестает зависеть от числа Rе и делается постоянным для данной шероховатости.

Об изменении коэффициента сопротивления можно судить по экспериментальным кривым, полученным И. И. Никурадзе (рисунок 1.14). Однако для того, чтобы пользоваться графиками Никурадзе, необходимо знать величину относительной шероховатости труб (таблица 1.4).

Таблица 1.4- Значения высоты неровностей некоторых труб

Характеристика труб

Высота неровностей в мм

Цельнотянутые авиационные трубы из сплава алюминия, латуни, меди

0,01 - 0,05

Трубопроводы из нержавеющей стали с повышенным качеством внутренней поверхности

0,01 - 0,03

То же из стали 20А

0,05 - 0,08

Стальные трубы с коррозией на внутренней поверхности

До 0,60


-ламинарный режим течения; 2- турбулентный режим течения.

Рисунок 1.14 - Зависимость Lg(1000λ) от LgRe для шероховатых труб.

Для учета гидравлических потерь, возникающих в участках трубопроводов (имеющих искажения поперечного сечения, вмятины) и в гибких шлангах, расчетную длину lп рассматриваемого участка трубопровода принимают равной действительной длине lд, умноженной на коэффициент а (таблица 1.5).

При выполнении гидравлического расчета трубопроводной системы серьезное внимание должно быть уделено выбору диаметра всасывающего трубопровода насоса. От того, насколько правильно будет выбран этот диаметр, зависит надежная работа насоса и всей системы. В случае неправильного выбора диаметра всасывающего трубопровода возможно возникновение кавитационных режимов у насоса, что может привести к выходу насоса из строя и оказать неблагоприятное воздействие на другие агрегаты и трубопроводы.

Таблица 1.5 - Значения коэффициента а

Наименование элемента

а

Правильный изгиб трубы с отношением радиуса изгиба к ее диаметру 1 П


Изгиб трубы при наличии вмятины вместе изгиба, с уменьшением диаметра на 10 - 20 %

1,1

То же, но при наличии в месте изгиба вмятины, с уменьшением диаметра на 40 - 50 %

2,07

Прямой гибкий шланг со стандартным наконечником

1 - 1,15

Гибкий шланг, изогнутый с малым радиусом

1,44


Расчет потребной длины и диаметра всасывающего трубопровода может быть выполнен, если известны рабочий объем и производительность насоса.

Расчет ведется для обеспечения бескавитационных режимов работы насоса. При этом абсолютное давление на входе в насос не должно быть слишком малым. Рекомендуемый вакуум на входе в насос составляет не более 300 мм рт. ст.

Абсолютное давление на входе в насос Рвх определяют по уравнению Бернулли, которое составляют для участка магистрали расходный бак - насос, т. е.

(1.14)

или

, (1.15)

где Н - высота расположения бака над насосом;

Р0 - абсолютное давление воздуха в баке;

a - коэффициент Кориолиса, который для ламинарного движения равен двум, а для турбулентного - примерно единице;

ртр и рм - потери давления в трубопроводе и местных сопротивлениях;

γ - удельный вес жидкости.

Обычно всасывающий трубопровод выполняют несколько большего диаметра, чем напорный, и выбирают его из условия обеспечения заданной величины давления на входе в насос.

Из уравнения (1.15) находят предельно допустимую сумму гидравлических потерь и скоростного напора во всасывающем трубопроводе, т. е.

.

Эту величину можно связать по (1.7) с диаметром трубопровода

.

После этого можно найти минимально допустимую величину диаметра

.

Указанный расчет выполняют для случая максимальной вязкости жидкости, т. е. для минимальной ее температуры.

1.3.2  Приближенный расчет трубопроводов на прочность

Опыт эксплуатации самолетов показал, что трубопроводы гидравлических систем являются весьма нагруженными элементами, ибо работа их происходит при сложных асимметричных циклах нагружения. В связи с этим уточненный расчет трубопроводов на прочность представляет известную сложность, так как связан с определением всех возможных типов нагрузок и действующих напряжений.

Анализ дефектов трубопроводов гидравлических систем самолетов показывает, что возможны два вида разрушений трубопроводов: трещины вдоль образующей трубопровода и трещины по окружности. Первый тип разрушения может возникнуть от действия нагрузок, вызванных внутренним давлением рабочей жидкости в трубопроводе, второй - от действия изгибных напряжений в плоскости оси трубопровода.

Напряжения от внутреннего давления жидкостей в трубопроводе, действующие в тангенциальном направлении, можно приближенно определить по формуле

,(1.16)

где  - тангенциальные напряжения, кГ/см2;

 - максимальное статическое давление рабочей жидкости, возникающее в данной гидросистеме, Па;

 - внутренний диаметр трубопровода, м;

 - толщина стенки трубы, м.

Приведенная формула предполагает равномерное распределение напряжений  по толщине стенки трубы, что может быть принято лишь для труб соотношением толщины стенки к наружному радиусу . С увеличением толщины возрастает неравномерность распределения напряжений от внутреннего давления.

При этом наибольшие напряжения возникают у волокон на внутренней поверхности трубы, а наименьшие - у внешних волокон. Кривая зависимости отношения  (где σmax и σmin - максимальное и минимальное значение напряжений) от значения  приведена на рисунке 1.15.

Рисунок 1.15 - График зависимости отношения  от величины  для трубопроводов.

Рисунок 1.16 - Характер деформации трубопровода от внутреннего давления жидкости вблизи ниппеля

Напряжения σmax и σmin , кг/см2 ,можно определить по формулам

;

,

где rн и rв - наружный и внутренний радиусы сечения, м.

Наибольшие напряжения, возникающие от внутреннего давления, имеют место вблизи ниппелей (рисунок 1.16). Так, для случая абсолютно жесткой заделки напряжения:

σ ж.з = 3,6σТ.

Для случая упругой заделки, которая характерна для реальных соединений трубопроводов:

σу.з = 1,8σТ.

Напряжения от внутреннего давления, возникающие в криволинейных участках трубопроводов,

,(1.17)

где q - погонная нагрузка, кг/м;изг - радиус изгиба трубы, м;и δ - диаметр и толщина стенки трубы, м.

1.3.3 Алгоритм решения инженерных задач на основе метода конечных элементов

Конечно-элементные модели расчета имеют такую большую степень адекватности объекту проектирования, что можно утверждать об определенного рода революции в практике инженерных расчетов. То есть, в настоящее время на первое место, при проектировании и производстве инженерно-технических объектов, выходят теоретические расчеты и моделирование, а уж затем, на завершающих этапах проектирования, для полного подтверждения результатов, проводятся дорогостоящие натурные испытания. На основе представленного подхода появился термин "Компьютерные технологии".

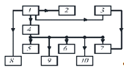
Блок-схема современного алгоритма решения инженерной задачи на основе метода конечных элементов представлена на рисунке 1.17 , где условно можно выделить три больших блока (выделенные серым фоном): препроцессорный, аналитический и постпроцессорный.

Препроцессорный блок включает в себя подготовку исходных данных, то есть генерацию полной конечно-элементной модели объекта проектирования в памяти компьютера. Сюда, например, входят: формирование геометрической модели (облика объекта), задание свойств используемых материалов, описание свойств конечных элементов, генерация конечно-элементной сетки, задание вариантов граничных условий, задание вариантов внешнего воздействия различной природы и многое другое. В результате работы этого блока имеем готовую конечно-элементную модель инженерного объекта или ряд ее вариантов.

Аналитический, или процессорный, блок - это непосредственное решение глобальной системы алгебраических уравнений, полученной после реализации вариационного подхода МКЭ для решения дифференциального уравнения рассматриваемого физического процесса. Результатом этого решения является определение поля неизвестной величины в узловых точках конечно-элементной модели объекта. Относительно этой величины определяются другие - зависимые величины. Например, при решении задач прочности, с реализацией вариационно-энергетического подхода метода перемещений теории упругости, в качестве базового неизвестного используется вектор перемещения, на основе которого в последующем определяются вектора деформаций, напряжений и др.

Рисунок 1.17 - Алгоритм решения задач МКЭ

Работа постпроцессорного блока направлена, в основном, на визуализацию результатов счета. Для этого блок предполагает широкий набор инструментов. Например: использование цветовой гаммы видимого спектра светового излучения в зависимости от интенсивности распределения визуализируемой величины, представление величин в виде изо-поверхностей равного сопротивления; использование визуализации различного рода сечений области определения и многие другие. При расчете объекта на прочность, визуализируются: вектора перемещений, деформаций, напряжений, сил, моментов и другие необходимые свойства. В задачах теплопередачи визуализируются: поля температур, тепловые потоки, внешнее излучение, поглощение и т.д. В задачах гидравлики - поля скоростей, давлений, изменения вязкости, энергии турбулентности и др.

Постпроцессорный блок настроен на любой тип решаемой задачи. в зависимости от физики рассматриваемого объективного процесса. Здесь же имеет место блок оптимизации, в котором инженер (пользователь) может задать либо ограничение, либо целевую функцию, вернуться в пре-процессорный блок, и повторить расчет, то есть оценить влияние вносимых изменений для доводки проектируемого изделия.

Оптимизация проектов может проводиться единовременно, то есть путем вариации параметров формы, размеров и свойств объектов, обрабатывая неограниченное число проектных характеристик и ограничений. Алгоритмы анализа при оптимизации позволяют исследовать влияние различных параметров на поведение целевой функции и управлять процессом поиска оптимального решения. Кроме того, целевые параметры и ограничения могут быть определены пользователем в виде функциональных зависимостей расчетных и экспериментальных данных, что позволяетполучать модификацию модели в соответствии с данными испытаний, то есть провести идентификацию модели и объекта в автоматическом режиме.

1.3.4. Система инженерного анализа MSC/NASTRAN for Windows

MSC/NASTRAN for Windows - это система, основанная на методе конечных элементов и предназначенная для расчета статических напряжений и деформаций, устойчивости, определения собственных частот и форм колебаний, анализа тепловых установившихся и переходных процессов, а также зада статики и динамики в нелинейной постановке для широкого класса машиностроительных и других конструкций. MSC/NASTRAN for Windows сочетает в себе мощные аналитические возможности процессора MSC/NASTRAN и легкость работы с графическим пользовательским интерфейсом среды Windows.

Геометрические модели для MSC/NASTRAN for Windows, являющиеся основой конечно-элементных моделей, можно формировать как с помощью препроцессора самой системы, так и импортировать их из какой-либо другой CAD-системы, с которой MSC/NASTRAN for Windows имеет интерфейс (форматы: DXF, IGES, ACIS, Parasolid, стереолитография). В любом из этих случаев система обеспечивает генерацию полной конечно-элементной модели на базе заданной геометрии. Возможности генерации конечно-элементных сеток (КЭС) в препроцессоре системы варьируются в широких пределах: от формирования сеток вручную, на основе указанных опорных точек, до полностью автоматической генерации сетки для сложных частей геометрической модели.

Необходимые для проведения анализа характеристики материалов и балочных сечений могут задаваться пользователем самостоятельно или выбираться из соответствующих библиотек, имеющихся в системе. Предусмотрена возможность моделирования практически всех типов материалов, включая композиты, гиперупругие и другие современные материалы.

Для моделирования внешних факторов, оказывающих влияние на конструкцию, в системе имеется большой выбор способов нагружения и закрепления конечно-элементной модели.

Кроме того, система может работать и с уже готовыми конечно-элементными моделями, которые были сформированы с помощью других систем и переданы в MSC/NASTRAN for Windows с использованием соответствующих интерфейсов.

Препроцессор системы обеспечивает полный визуальный контроль всех этапов моделирования. Для удобства работы и исправления допущенных ошибок в системе предусмотрены возможности отмены (undo) и выполнения отмененной команды (redo) любого уровня. При возникновении потребности в какой-либо дополнительной информации или помощи относительно соглашений, принятых в системе MSC/NASTRAN for Windows, можно воспользоваться встроенной в препроцессор справочной системой.

Перед проведением какого-либо расчета необходимо быть уверенным в правильности сформированной модели. Поэтому в MSC/NASTRAN for Windows предусмотрен постоянный контроль процесса моделирования, который помогает избежать проникновения ошибок в создаваемую модель. Достигается это посредством визуальной обратной связи системы с пользователем. Кроме того, MSC/NASTRAN for Windows располагает развитым набором средств для выявления и устранения ошибок, которые трудно или невозможно заметить визуально. Так MSC/NASTRAN for Windows позволяет выявлять совпадающие (сдублированные) геометрические объекты, обнаруживать неправильные соединения элементов, рассчитывать массовые и инерционные свойства, оценивать условия закрепления модели. Каждый из 'тих методов может быть использован в любое время для обнаружения потенциальных ошибок, которые могут привести к ненужным временным и материальным затратам.

По окончании процесса формирования модели, с помощью системы MSC/NASTRAN for Windows можно осуществить ее конечно-элементный анализ построенный на алгоритмах, которые обеспечивают максимальную точность, скорость и достоверность решения.

Постпроцессор системы MSC/NASTRAN for Windows располагает мощными средствами визуализации, позволяющими по завершении расчетов быстро обрабатывать полученные результаты, а также рядом инструментов для дальнейшей численной обработки этих результатов. Полученные значения узловых перемещений обычно используются для рисования деформированного состояния модели и его анимации. Все существующие типы результатов можно изображать также в виде изолиний, а некоторые в виде эпюр и векторов. Любой тип данных может быть представлен и в форме графиков. Кроме того, MSC/NASTRAN for Windows позволяет линейно объединять результаты предыдущих вариантов расчета, а также решать заданные пользователем уравнения.

Расширенные функции MSC/NASTRAN for Windows включают технологию процесса оптимизации проектов.

Вывод

В данной главе дипломного проекта рассмотрены основные аспекты надёжности трубопроводов, а так же - методы, применяемые для выполнения различных расчётов трубопроводных систем.

2. Проектировочный расчет точки крепления трубопровода

 

2.1 Действующая конструкция трубопровода.


Общий вид реальной конструкции сборного трубопровода напорной трассы ГС самолета показан на рисунке 2.1. Участок предназначен для передачи управляющих импульсов к органам управления ЛА.


Рисунок 2.1- Общий вид участка напорной трассы ГС самолета

Трубопровод устанавливается в 5 точках крепления. Трубы соединяются между собой с помощью фланцевого соединения по наружному конусу. Трубы 1 и 2 соединены тройником фланцевым, одновременно служащим для разветвления напорной магистрали. Трубы 2 и 3 соединены проходником с помощью двух типовых соединений по наружному конусу (рис.2.2).

Колодки установлены на элементы жесткости каркаса планера в левой хвостовой балке исследуемого ЛА и связывают все элементы конструкции в единую вибрационно- жесткостную систему. Согласно описанной выше конструктивной схемы фланцевый тройник жестко установлен в конструкцию планера и тем самым передает все колебания без их демпфирования.

-        труба в сборе; 2- проходник прямой; 3- проволока; 4- пломба

Рисунок 2.2- Соединение по наружному конусу

-        Вкладыши; 2- болты; 3- кронштейн; 4- фторопластовая прокладка

Рисунок 2.3- Геометрическая модель колодок крепления трубопровода

Исходя из экспериментальных данных, описанное соединение (рис. 2.3) подвергается разрушению по неопределенной причине, связанной с динамикой работы системы. Изнашиваются колодки крепления (рис.2.4), изнашивается фторопластовая прокладка (рис.2.5), разрушаются кронштейны крепления труб и в самом худшем случае разрушаются сами трубы (рис.2.6). Для предотвращения отказа данной системы необходим постоянный осмотр и замена деталей креплений. Характер разрушений представлен на рисунках 2.4-2.6.

Рисунок 2.4- Износ колодок крепления трубопровода и контровочной шайбы

Рисунок 2.5- Износ фторопластовой прокладки

Очень часто бывает, что детали не отрабатывают свой заявленный ресурс и изнашиваются гораздо раньше, что ведет к дополнительным затратам на их изготовление и замену. А если учесть большой авиапарк, то можно сделать выводы, что затраты колоссальны. Существование данной проблемы требует немедленного ее решения.

Рисунок 2.6- Чеканка трубы в месте ее крепления

Конструкторским бюро было предложено решение, направленное на гашение поперечных нагрузок. Вместо фторопластового вкладыша в колодке было предложено использовать вкладыш из резины ИРП 1078 НТА, который запрессовывается в конструктивный паз колодки. Конструкция предложенного решения показана на рис.2.7.

Рис.2.7- Колодка (полувкладыш нижний) крепления трубопровода с резиновым вкладышем

Проектировочных расчетов на ИАЗ не проводилось, но по оценочным прикидкам резина будет гасить вибрацию, и тем самым продлять ресурс данной конструкции крепления. Таким образом необходимо провести серию расчётов, позволяющих достоверно определить параметры прокладки, позволяющей гасить вибрации на определенных частотах (см.п.2.2).

2.1   Материалы деталей трубопроводной трассы и их характеристики необходимые для выполнения анализа

Материал трубы - коррозионностойкая сталь марки 12Х18Н10Т, модуль Юнга 198∙103 МПа, коэффициент Пуассона 0.3, предел прочности на растяжение 549 МПа, предел текучести на растяжение - порядка 196 МПа точных данных не найдено, принята усреднённая величина от известных для различных полуфабрикатов из этого сплава), предел усталостной прочности - 240 МПа, коэффициент линейного расширения - 16,4∙10-6 1/°С (ПНАЭ Г-7-002-86). Рабочая жидкость АМГ10.

Материал колодки- алюминиевый сплав марки Д16Т, модуль Юнга 72∙103 МПа, плотность материала 2,6 103 кг/м3, коэффициент Пуассона- 0,31, коэффициент линейного расширения -11,7∙10-5 1/°С.

Материал болтов и гаек- конструкционная сталь марки заданной ПС ANSYS Mechanical Workbench по умолчанию - Structural Steel (Конструкционная сталь)

2.2   
Нагрузки и условия работы конструкции


Для того чтобы предложить какие-либо конструкторские решения, необходимо знать какие нагрузки действуют на данную конструкцию.

В механической системе трубопровода действуют: гидравлические нагрузки, возникающие от работы гидравлической составляющей системы; механические, подразделяющиеся на динамические с различными гармониками возбуждения, приложенные в конструкции как сейсмические, а также статические (монтажные и эксплуатационные), имеющие период приложения от нескольких минут до всего срока эксплуатации ЛА.

Давление в гидросистеме составляет 26 МПа. Давление в трассе нагнетается при помощи насоса. Для сглаживания импульсов и пассивного регулирования уровня давления в систему установлен гидроаккумулятор.

Гидроагрегаты обладают отличными от трубопроводов характеристиками динамической реакции (больший вес, большая высота над точками крепления). Это является причиной различий в нагрузках, передаваемых конструкцией планера и агрегатами ГС на трубопровод.

Колебания, воспринимаемые колодками, прикладываются к кронштейнам в местах их установки на каркас. Нагрузка в модели колодки состоит из двух составляющих:

а) динамическая - прикладываются амплитудные значения виброперемещений колебаний каркаса в зависимости от времени. Исходные данные могут быть пересчитаны в виброускорения и виброскорости;

б) статическая - прикладываются относительные перемещения между колодками крепления трубопроводов, характеризующие деформации фюзеляжа в полете.

Комбинирование условий нагружения в модели для различных режимов работы самолета позволяет моделировать полный комплекс работы самолета от навески боевого снаряжения и запуска двигателя до режима посадки и руления.

Вкладыши колодок крепления трубопровода подвержены периодической нагрузке от трения и ударов со стороны трубопроводов. Оценивая следы перемещения трубопровода относительно колодок, оставленных после выработки фторопластовых прокладок (см. рис. 2.4 и рис.2.6), можно качественно описать картину деформирования системы при ее нагружении. Трубопровод, перемещаясь вдоль свой оси, совершает высокочастотные колебания в перпендикулярных оси направлениях, что приводит к выбиванию и истиранию фторопластовых прокладок (см. рис.2.5)

Каждая точка крепления обладает своим набором нагрузок, так как точки крепления во всей конструкции располагаются не равноудалено относительно точек крепления двигателя основного (ссылка на диссер) источника возбуждения вибраций, а также насоса и других агрегатов. Снятые с датчиков тензометрирования данные для каждой из точек крепления, приложенные в одной и той же пространственно-временной системе координат, позволят учесть распространение волн пульсации в конструкции.

Кроме того, в полете могут возникать пульсации давления потока воздуха в воздухозаборниках, на аэродинамических поверхностях и в камерах сгорания. Спектральное представление данных тензометрирования позволит в будущем определить долю воздействий тех или иных динамических данных на конкретный элемент конструкции.

Для увеличения достоверности оценки работоспособности устанавливаемого в планер агрегата, необходимо учитывать резонансные и интерференционные пики колебаний напряжений в конструкции планера самолета не только при его испытаниях, но и на стадии проектирования.

Для расчета необходимо учесть как можно больше факторов, что является чрезвычайно трудоёмким процессом. Снижение трудоёмкости учёта нагрузок возможно достичь путём использования результатов анализа данных тензометрирования панели в левой хвостовой балке исследуемого ЛА. Применение их для оценки поля многофакторного нагружения позволит описать в КЭ модели весь комплекс сложного нагружения ЛА. Результаты тензометрирования отображены на рис.2.8-2.10.

Применение данных тензометрирования в чистом виде не позволит получить достоверную информацию о нагружении трубопровода ввиду сложности поиска сил, вызывающих измеренные тензодатчиками деформации. Ввиду преобладающего денамического характера нагрузок разложение в спекр данных тензометрирования позволит оценить основные гармоники возбуждения конструкции реального трубопровода, а сравнение спектра нагружения в реальном ЛА и спектра частотного отклика модели гидроситемы позволит подобрать необходимые динамические параметры (жесткость и коэффициент демпфирования) проектируемой конструкции.

Рисунок 2.8- Зависимость напряжения от времени , полученная на поверхности трубопровода в горизонтальной плоскости при тензометрировании

Разложение цифровых данных тензометрированя в спектр происходит согласно методики, основанной на методе быстрого преобразования Фурье, описанном в научном труде Яхненко «Динамика сборных конструкций трубопроводных систем с учётом условий сопряжения» [9]

2.3   
Определение величины нагрузок, действующих на трубу со стороны


Основной нагрузкой, которая действует на колодки, являются силы, возникающие от затяжки болта.

На работоспособность резьбовых соединений существенное влияние оказывает трение в резьбе и на торце гайки или головки винта.

Так, в резьбах, предназначенных для скрепления соединяемых деталей, необходимо обеспечить повышенное трение, исключающее самопроизвольное отвинчивание гаек или винтов.

Это достигается выбором соответствующего профиля резьбы (треугольного), небольшим углом подъема резьбы (резьбы с мелкими шагами), а также стопорением с помощью контргаек, пружинных шайб и т. п.

В то же время при вращении гайки под нагрузкой повышенное трение в резьбе увеличивает напряжение кручения в стержне винта и снижает его прочность.

Для корректного определения характеристик работоспособности соединений необходимы знания о величине коэффициентов трения.

Их значения устанавливаются экспериментальными исследованиями, при которых замеряется момент сопротивления вращения ключа MKL при завинчивании гайки или винта, и определяются его составляющие: момент сил сопротивления в резьбе MR и момент сил трения на торце гайки MT.

Коэффициенты трения в резьбовых деталях изменяются в довольно широких пределах и зависят от сочетания материалов, винта и гайки, состояния поверхности (шероховатости и твердости), наличия смазки, скорости завинчивания и других факторов.

На рисунке 2.9 приведена расчетная схема резьбового соединения в вышеприведенных выражениях.

Рисунок 2.9-Расчетная схема к определению момента затяжки

Крутящий момент на ключе идет на преодоление момента, создаваемого силой трения торца гайки о неподвижную опорную поверхность стягиваемых деталей и момента сопротивления в резьбе:

, где

MR - момент необходимый для создания осевого усилия и преодоления трения в резьбе, Нм;

MT - момент сил трения на торцевой поверхности гайки, головки винта или его упорного конца, Нм.

Момент сил трения MT определяется по формуле:

, где

FЗАТ - усилие затяжки, Н;

fT -коэффициент трения по торцу, (таблица);

RTR -приведенный радиус трения, значение которого зависит от формы торца, м.

Для плоского кольцевого торца приведенный радиус трения можно найти как:

, где

d0- диаметр сверления под болт, м;

D- диаметр опорной поверхности гайки, головки болта (винта), который можно принимать равным «под ключ», м.

Момент сопротивления в резьбе можно найти так:

, где

d2- средний диаметр резьбы, м;

- угол подъема винтовой линии, град;

- угол трения резьбовой пары, град.

Средний диаметр резьбы определяется по формуле:

, где

d- номинальный диаметр резьбы, м;

H- вспомогательный параметр для расчета геометрии резьбы, м.

Вспомогательный параметр для расчета геометрии резьбы определяется по формуле:

, где

P- шаг резьбы, м.

Угол подъема винтовой линии определяется по формуле:

;

Угол трения резьбовой пары определяется по формуле:

, где

fR- коэффициент трения материалов сопрягаемых деталей;

Из всех выше представленных выражений получим:


Таблица 2.1- Рекомендуемые коэффициенты трения в резьбе (числитель) и на торце гайки (знаменатель) с предельными отклонениями, мм.


Таблица 2.2- Нормы затяжки болта, Нм [9]

 

2.4    Исследование динамики работы конструкции путем исследования ее динамического НДС


Исходные данные представляют собой числовые ряды, описывающие зависимость снятых с тензодатчика показателей напряжения от времени снятую с тензодатчика. Параметры этого ряда (частота дискредитации, битность) определяются в программе, описанной в оболочке Mathcad.

В соответствии с методикой согласно выражению:

, (2.1)

где fft(M) - функция быстрого преобразования Фурье, задающаяся выражением:

.(2.2)

Функция (2.3) - вектор дискретных значений выбранной длины, необходимый для проведения последовательного (по участкам) преобразования Фурье.

,(2.3)

,(2.4)

где Hm(n,N) - аппроксимирующая функция для массива длиной N, являющегося частью массива длиной n, где коэффициенты необходимы для регулировки «чувствительности» спектрограммы».

,(2.5)

где j - координата положения начала участка в функции для разложения ее в ряд Фурье.

,(2.5)

,(2.6)

где floor - функция, округляющая до большего целого;

,(2.7)

где ss = 2n - количество точек для разложения в ряд Фурье.

Функция для логарифмического отображения полученных в результате проведения Фурье-преобразований:.

В результате проведенных вычислений получаем спектрограмму сигнала тензодатчика (рис. 2.10). Построение спектрограммы ведется по участкам n массива исходных данных x с выделением сигналов, преобладающих по интенсивности на исследуемом участке длиной N согласно результатам Фурье-анализа.

Рисунок 2.10 - Спектрограмма (трехмерное отображение) данных

На рисунках 2.10 и 2.11 отображены спектрограммы, отражающие зависимости частоты (у) и амплитуды (z) от времени (x) по результатам анализа данных тензометрирования (см. рис.2.7). Очевиден многополосный характер нагружения конструкции с зависимостью положения максимумов от времени и, следовательно, от режима работы ЛА. Обнаружены как минимум пять полос интенсивного частотного возбуждения конструкции, которые отражают, согласно циклограмме работы ГТД, характеристики нагрузки, передаваемой каркасом ЛА с двигателя на трубопровод. Остальные частотные линии нагружения из-за малой их интенсивности (<30% преобладающих) не учитываются. Они, предположительно, характеризуют наличие эффектов дополнительной вибрации лопаток двигателя из-за течения воздуха, что требует проведения дополнительных исследований. К тому же в спектрограмме содержатся сведения о нагрузках, связанных с динамическим нагружением от динамики движения жидкости в трубопроводе, а так же работе других агрегатов ЛА.

Рисунок 2.11- Спектрограмма (двумерное отображение) данных (см. рис. 2.8)

Согласно рис.2.10 преобладающими динамическими нагрузками, воздействующими на трубопровод являются равнодействующие с частотами: 485Гц, 1000Гц, 1515 Гц, 2030Гц, следовательно целью проектировочного расчета является определение жесткости демпфирующей прокладки в новой конструкции точки опоры трубопровода, позволяющей демпфировать колебания конструкции на указанных частотах.

2.5    Анализ сходимости численного решения МКЭ для задачи динамического нагружения трубопроводов


Моделирование сборных конструкций средствами метода КЭ анализа неизбежно приводит к использованию контактных элементов, требующих итеративного решения. При решении динамической задачи такие приближения происходят на каждом временном шаге решения. В работе решение задачи о динамике роторов турбомашин производилось на предельно низком количестве КЭ, однако занимало до 60 часов машинного времени. Решение контактной задачи динамики трубопроводов потребует на порядки большее количество КЭ в связи с наличием тонкостенных и протяженных конструкций.

Таким образом, становится актуальным вопрос о возможности создания методики решения контактной задачи динамики трубопроводных систем, позволяющей снизить ресурсоемкость модели при достижении достаточной степени ее адекватности.

Рассматривается задача определения НДС трубопровода при сейсмическом нагружении участка трубопровода, установленного в колодки в динамической постановке. Решение поставленной задачи в рамках данной работы связано, в первую очередь, с верификацией КЭ модели посредством изменения параметров контактов между ее элементами. Определение степени адекватности решения статической и динамической задач средствами МКЭ для полученной КЭ модели относительно аналитических решений.

Модель представляет собой балку круглого сечения, расположенную на шарнирных опорах (рис. 2.12). Балка нагружена распределенной силой q, действующей по всей длине трубы. КЭ-модель представляет собой сборную конструкцию из трех деталей, построенных посредством гекса-элементов, соединенную элементами типа spring, заменяющих прокладку между трубопроводом и колодкой.элементы используются в качестве аналога контактных КЭ для решения динамической задачи МКЭ, так как, решение динамической задачи не потребует дополнительных итераций в каждом шаге решения, как в случае с элементами типа gap, а значит, окажется менее ресурсоемким.



Рисунок 2.12 - КЭ-модель трубопровода

Модель силового воздействия в КЭ-модели реализована путем применения ударного взаимодействия с помощью разгона и остановки опор расчетной системы в заданном интервале расстояний и скоростей, согласно графикам на рисунках 2.12 и 2.14. Начальные параметры жесткости контакта принимаются в соответствии с численным экспериментом.

Рисунок 2.13-Скорость перемещения опор

Рисунок 2.14 - Ускорение опор

Реализуя параметры аналитического решения с заданным шарнирным опиранием балки, приводим статическую модель с контактами на элементах типа gap по значению прогиба балки в соответствие с аналитической моделью путем изменения параметра жесткости контактных элементов. Нагрузка q при этом принимается равной силе инерции для динамической модели, вызванной фактором скорости смещения опор (табл. 2.1, рис. 2.12).

Таблица 2.3 - Исходные данные


Свойства материала конструкции элементов трубопровода

Геометрические параметры

Силовые факторы


Марка материала

E, Па

Gв,МПа

Nu

m,кг

L, мм

D,мм

d, мм



Труба

12Х18Н9Т

2.5•105

680

0.3

0.111

222

16

13

1.815е-9

10

1.1

Прокладка

НТА 1079

Жесткость [Н/м] подбирается экспериментально

Толщина прокладки 0.5 мм



Вкладыш

Д 16

1.3

250

0.3

Не оценивается

Согласно ОСТ 1 13263-78



Построение динамической модели требует введения промежуточной статической модели, в которой вместо контактных элементов типа gap используется элемент типа spring. Статическая модель отстраивается по значению прогиба трубы путем изменения жесткости пружин в контактах. Динамический расчет осуществляется в третьей модели. Жесткость пружин соответствует их жесткости во второй модели. Статический и динамический расчет проверяются аналитическими моделями.

Предлагаемая аналитическая модель преднамеренно представлена как шарнирно опертая на концах балка, в то время как КЭ-модель представляет собой трубопровод на упруго-деформируемых опорах, для которого модель шарнирно опертой балки является частным случаем

Для определения прогиба воспользуемся дифференциальным уравнением изогнутой балки:

(2.1)

,

,

,.

Уравнение оси изогнутой балки будет иметь вид:

.(2.2)

Максимальный прогиб от приложенной нагрузки в середине балки:

.

Прогиб определяется как отстояние точки центра пощади сечения в середине длины балки от установившегося положения центра в ее концах (рис. 2.15).

Рисунок 2.15 - Перемещения трубопровода по окончании действия силы

Определим жесткость опор, необходимую для реализации вышеописанной модели согласно графику на рисунке 2.16 как точку пересечения или максимального сближения аналитического решения и экспериментальной кривой зависимости прогиба от жесткости опор. Значения жесткостей опор в большом диапазоне значений жесткостей имеет близкие к теоретическим значения прогиба.

Рисунок 2.16 - Экспериментальная зависимость прогиба от жесткости опор

В динамической модели по окончании действия нагрузки в исследуемой системе продолжают действовать инерционные силы. Контактно закрепленный элемент начинает затухающие колебательные движения, амплитуда которых пропорциональна массе и ускорению системы.

Уравнение динамического равновесия для балки имеет вид:

,(2.3)

где

с - коэффициент жесткости конструкции;

F - сила, вызвавшая прогиб;

 - прогиб.

Уравнение свободных колебаний имеет вид:

,(2.4)

при (0)=0,  и ,

, .

Перемещения в исследуемой динамической системе с учетом сил инерции согласно уравнения 2.3:

(2.5)

Так как балка, рассматриваемая в модельной задаче и при нахождении численного решения, находится вне поля тяготения, то g=0. Силы сопротивления малы, возникают свободные колебания, т.е. . Решение уравнения (2.4) имеет вид:

,

где константы С1=Ar, C2=wr . Получаем уравнение затухающих колебаний балки:

.(2.6)

Уравнение (2.6) в заданных условиях представляет собой график затухающих колебаний, представленный на рисунке 2.14. При приближении жесткости контактных элементов к значениям порядка 1015 реализуется жесткая заделка исследуемой балки (см. рис. 2.15) , а при значениях, меньших жесткости трубы, элементы типа spring начинают растягиваться сильнее и превышают допустимые значения для конкретной контактной задачи, то есть происходит взаимопроникновение тел трубопровода и колодки. Такое поведение элементов типа spring следует отнести к границам их применимости в данной задаче. Жесткость элементов, наиболее соответствующая параметрам аналитического решения задачи равна 106 Н/м, при точности соответствия решений равной 0.508%.

При значениях в середине диапазона жесткостей модель работает как двух опорная шарнирно опертая балка или балка на упруго демпфирующем основании. Расчетное значение перемещения отличается от модельного вследствие смещения осей вращения балки от краев к ее центру. Картина перемещений становится качественно подобной при приближении формы изогнутого трубопровода к форме параболы, описываемой уравнением изогнутой оси балки. Такое приближение происходит как по статической, так и по динамической модели при жесткости опор порядка 106.

Анализ динамической модели показывает описанную выше зависимость в динамике. Кривые затухания y=eх(k) для различных жесткостей, представленные на рисунке 2.17, показывают зависимость амплитуды отклонения и скорости затухания колебаний от жесткости контактов и времени.

Рисунок 2.17 - Кривые затухания динамической КЭ модели (зависимость амплитуды (мм) от времени (с) для моделей с различными жесткостями опор)/

Результаты анализа КЭ моделей показывают наибольшее соответствие КЭ модели и аналитического ее описания при значении k=1х105. Значение k описывает необходимый конструктивный и модельный вариант исполнения объекта согласно заданной аналитической модели (см. рис. 2.12). При необходимости реализации шарнирного закрепления или при наличии в конструкции жесткой заделки возможно изменение модели путем изменения жесткости конструкции, в том числе и жесткости контактов. Наличие контролируемых параметров модели, с одной стороны, позволяет настраивать модель и увеличивать ее достоверность, с другой - значительно увеличивает трудоемкость регулирования свойств модели. Параметры, установленные в ходе анализа, могут быть применены при разработке КЭ-моделей с количеством узлов, используемых в данной модели.

Избранная модель реализации контактного взаимодействия показала возможность ее применения в динамических расчетах. Описанная выше методика применения элементов типа spring возможна в рамках ограничений, описанных выше с точностями решения статической задачи.

2.6    Разработка новой конструкции узлов крепления трубопровода


Чтобы предотвратить разрушение конструкции при работе в поле динамических нагрузок, необходимо осуществить ее демпфирование. Конструкторским бюро уже было предложено решение по демпфированию трубопровода в поперечных направлениях (см. п.2.1), поэтому требуется найти решение на демпфирование конструкции в продольных направлениях.

Резиновые прокладки, установленные между кронштейном, на который крепится колодка, и диафрагмой (силовым элементом конструкции) позволят осуществить эффективную защиту конструкции в направлении продольных перемещений. Конструкция установленных прокладок показана на рисунке 2.18-2.19. Эти прокладки должны быть установлены на каждую точку крепления данного трубопровода.

Рисунок 2.18-Новая конструкция точки крепления трубопровода

Конструкция демпфирующей прокладки была сделана таким образом, чтобы высокочастотные колебания каркаса не передавались на узлы крепления трубопровода через жесткое болтовое соединение. Поэтому прокладка, также, служит втулкой для болтов крепления и опорой под головку болта. Такая конструкция продлит ресурс соединения, тем самым увеличив надежность всей конструкции.

Рисунок 2.19- Конструкция демпфирующей прокладки.

2.7    Расчет жесткости прокладки в первом приближении.


Расчет трубопровода будет проводиться в системе Nastran.

Целью анализа является определение изменений параметров (частот и максимальных амплитуд колебаний пролётов) частотного отклика конструкции трубопровода при изменении жесткости и коэффициента демпфирования прокладки между диафрагмой (силовым элементом) и кронштейном трубопровода. Жесткость прокладок лежит в диапазоне от до  Н/м.

Принципиальная схема трубопровода показана на рисунке 2.22. Точки, которые участвовали в расчете, так же показаны на рисунке 2.22 под номерами.

Конечно-элементная модель узла крепления трубопровода и конечно- элементная модель всего трубопровода показаны на рисунках 2.20-2.21. Прототипом данных моделей являются модели описанные в Яхненко «Динамика сборных конструкций трубопроводных систем с учётом условий сопряжения»[9]. Отличие описанных моделей заключается в наличии упруго-демпферной прокладке между кронштейном и диафрагмой (рис.2.21-2.22). Модель подвергалась динамическим нагрузкам, приложенным к точкам опоры (рис 2.23-2.26) с частотами от 0 до 900 Гц. Расчет проводился для трех моделей с прокладкой различной жесткости. В результате расчета получены зависимости перемещений точек трубопровода от частоты его возбуждения. Результаты данных расчетов занесены в таблицу 2.4. Столбцы таблицы представляют собой регистрацию частот максимумов перемещений для заданной жесткости расчета. Расчет 1 представляет собой анализ модели без демпфирующей прокладки. Для наглядности результаты расчетов показаны в виде кривых перемещений и кривых частотных откликов (рис.2.25-2.26).

Рисунок 2.20 - Конечно элементная модель узла крепления трубопровода.

Рисунок 2.21- Конечно элементная модель трубопровода.

Рисунок 2.22

 

Рисунок 2.23

Рисунок 2.24

Рисунок 2.25 -Частотный отклик контрольных точек трубопровода в третьем расчете

Рисунок 2.26 -Частотный отклик контрольных точек трубопровода в четвертом расчете

Рисунок 2.27

Рисунок 2.28- График перемещений точек при расчетах

Рисунок 2.27- График частотных откликов относительно критической частоты

Результаты расчета:

.По параметрам максимальных перемещений в пролетах при динамическом воздействии наилучшее значение показывает кривая перемещений №3 на рисунке 2.28.

.Значения частотного отклика для разных участков трубопровода значительно различаются и располагаются на графике рисунка 2.27 по разную сторону от линии частоты резонансного возбуждения конструкции. С точки зрения определения диапазона частот допустимого воздействия исследуемый трубопровод имеет двойное решение. Диапазон частотного отклика трубопровода на кривой №3 рис.2.27 для разных точек составляет от 350-530Гц, но не попадает в частоту 485Гц, что позволяет принять решение о возможности эксплуатации трубопровода с заданной в третьем расчете жесткостью.

По результатам анализа в качестве материала для прокладки берем резиновую смесь ИРП 1078НТА, потому как она полностью удовлетворяет результатам расчета. К тому же на ИАЗ имеется практика работы с данной резиновой смесью.

2.8  Детальный расчет участка трубопровода


Расчет проводится с целью определения возможности применения конструктивного исполнения прорезиненной прокладки кронштейна узла крепления. Параметры требуемой жесткости определены в пункте 2.8

Общий вид модели расчетного участка трубопровода показан на рисунке 2.29.

Конструкция узла крепления для первого и второго расчета показана на рисунках 2.30-2.31.

Подробная конечно- элементная модель показана на рисунке 2.31.

Нагрузки на модель представляют собой сложный комплекс, учитывающий взаимоперемещения точек опор, затяжку болтов и внутреннее давление. Значения нагрузок определены согласно исходным данным, описанным выше. Направления нагрузок, заданных для расчетной модели, показаны в на рисунке 2.32.

Подробная конечно-элементная расчетная модель представлена на рисунке 2.33

Результаты распределений напряжений в случаях с наличием прокладки и без нее представлены на рисунке 2.34-2.35.

Рисунок 2.29- Общий вид расчетной модели трубы.

Рисунок 2.30- Конструкция узла крепления трубопровода для первого расчета

Рисунок 2.31- Конструкция узла крепления трубопровода для второго расчета

Рисунок 2.32- Нагрузки на расчетную модель трубопровода.

Рисунок 2.33- Подробная конечно- элементная модель узла крепления трубопровода

Рисунок 2.34- Качественная картина результата расчета без демпфирующей прокладки.

Рисунок 2.35- Качественная картина результата расчета с демпфирующей прокладкой.

Значения частот собственных форм колебаний обеих конструкций располагаются рядом со значениями резонансных частот возбуждения конструкции, определенных в пункте 2.5. Наглядно это можно увидеть на рисунке 2.36

Рисунок 2.36- Частоты собственных форм колебаний конструкции

Анализ результатов расчетов показывает, что воздействие заданных нагрузок в обоих расчетных случаях приводит к значительному увеличению напряжений и перемещений. Итоги по двум расчетам занесены в таблицу 2.5.

Таблица 2.5- Итоги результатов двух расчетов.

Изменения %

частот

перемещения

напряжения




статика

динамика


6-24 (снизились)

10 (возрасли)

5-40 (снизились)

0


При использовании прорезиненного кронштейна изменяется характер распределения напряжений в точке опоры. В кронштейне без резиновой прокладки наблюдается концентрация напряжений в районе угловой части кронштейна (рис.2.34), тогда как в прорезиненном кронштейне нагрузка распределяется более равномерно(рис.2.35), что приведет к повышению ресурса конструкции.

По результатам всех расчетов убеждаемся в том что прокладка из резиновой смеси ИРП 1078НТА очень хорошо справляется с задачей демпфирования конструкции узла крепления трубопровода и значительно повышает ресурс всего трубопровода.

Вывод

В данной главе дипломного проекта представлены разработка новой конструкции крепления трубопроводов гидросистемы управления горизонтальным оперением, результаты проведенного проектировочного расчёта, а так же даны рекомендации по конструктивному исполнению кронштейнов.

3.      Анализ экономической эффективности введения в производство новой конструкции крепления трубопровода


Расчёт экономической эффективности нововведения будет проведён на примере оценки экономии времени работы инженеров и рабочих, при устранении дефектов. На основе полученной экономии времени с учётом разовых затрат предприятия и наличия большого авиапарка будет рассчитана экономия заработной платы инженера-конструктора, рабочего, а так же затрат предприятия на проведение ремонта.

Так как прочностные расчёты на заводе уже проводятся, то не требуется средств на закупку нового программного обеспечения и аппаратных средств.

Таким образом никаких затрат на внедрение предлагаемых мероприятий не требуется, расчет экономической эффективности сводится к расчету экономии рабочего времени и экономии заработной платы.

3.1 Расчет экономии времени на замену конструкции.


В конструкторском бюро имеются технические условия, согласно которым через каждые 25 часов должен проводиться осмотр и при необходимости замена изношенных или разрушенных деталей трубопровода левой хвостовой балки.

По данным того же конструкторского бюро выработка колодок крепления трубопровода с фторопластовой прокладкой происходила уже после 100-200 летных часов. При такой выработке необходима замена самих колодок крепления, фторопластовой прокладки, кронштейна и в некоторых случаях была необходима замена самих труб из-за очень сильной чеканки.

После установления резиновых прокладок в колодку крепления трубопровода, ее ресурс вырос до 300 летных часов. Через 300 часов происходило разрушение только кронштейна, на котором находится колодка.

При установке резиновой прокладки между кронштейном и диафрагмой (силовым элементом) ресурс всей конструкции повысится до 1000 летных часов. Соответственно количество замен разрушившихся деталей в узлах крепления трубопровода уменьшается в 3,3 раза и количество времени, требуемое на ремонты, тоже уменьшается в 3,3 раза.

3.2 Расчет экономии денежных средств.


Рассмотрим экономию денежных средств с новой конструкцией только для одной точки крепления трубопровода. На каждую доработку одного узла крепления отведено 8 нормо/часов.

Посчитаем стоимость одного нормо/часа.

Средняя заработная плата в цехе составляет 15000 рублей/мес. Среднемесячное количество рабочих часов составляет 166 часов. Тогда стоимость рабочего часа составляет:

рублей/час.

Соответственно стоимость ремонта одной точки крепления или ее замены на новую составит:

Нормо/час(на 1 доработку)*Зп.час,соответственно

нормо/часов*90,36руб/час= 722,88рублей.

Так как ресурс всей конструкции повыситься в 3,3 раза, средняя стоимость ремонта одной точки крепления при той же частоте понизиться в 3,3 раза и составит:

,88руб/3,3= 219 рублей.

В нашем случае мы имеем 5 точек крепления. Стоимость их доработок составляла:

,88руб*5т.кр.= 3614,4руб

А с новой конструкцией стоимость составит

,4руб /3,3=1095руб.

Экономия доработок напорной трассы для одного самолета составляет:

,4руб -1095руб =2520 руб.

Если в расчет взять весь авиапарк, на котором ИАЗ проводит данные ремонтные работы, экономия составит

руб *200сам=503880рублей (при учете 200 самолетов).

Так как самолеты расположены в разных странах и городах, а ремонт производиться силами предприятия- изготовителя, то необходимо еще учесть затраты на транспортные расходы.

В среднем доставка работника до места и обратно обходиться предприятию в 20000рублей.Соответственно предприятие несет расходы для единоразовой доработки каждого самолета одним человеком в среднем в:

тыс.руб*200сам= 4млн рублей.

Так как самолеты придется дорабатывать в 3,3 раза реже, то транспортные расходы предприятия сократятся до:

млн рублей /3,3=1,212млн рублей.

Соответственно выгода для предприятия составит:

млн рублей-1,212млн рублей= 2,788млн рублей.

В сумме вся выгода от внедрения в производство новой конструкции виброзищищенных узлов крепления напорной трассы для предприятия составит:

,50388млн.рублей +2,788млн рублей = 3,292млн рублей.

Как мы видим из расчетов разработанная конструкция очень выгодна для внедрения в производство.

Вывод

В данной главе дипломного проекта определена экономическая эффективность введения в производство разработанной конструкции крепления трубопроводов гидросистемы управления горизонтальным оперением в виде экономии рабочего времени работника, а следовательно и экономии заработной платы и экономии денежных средств на транспортные издержки.

4. Оценка вредных факторов среды


При проектировании рабочего места инженера-конструктора необходимо учитывать и нормировать все опасные группы факторов внешних воздействий, поскольку при определенных условиях они могут вызвать нежелательные функциональные сдвиги в организме оператора, снизить качество и эффективность его работы, оказать отрицательное влияние на его здоровье..

Работа инженера - конструктора проходит в основном в сидячем, малоподвижном положении в специально оборудованном помещении. Работы выполняются с использования персонального компьютера. Для обеспечения высокой производительности труда необходимо обеспечить хорошее освещение рабочего места.

Персональный компьютер работает от напряжениея 220В/50Гц, которое превышает безопасный предел 42 В. Следовательно возникает опасность поражения электрическим током.

Воздействие на человека электрического тока приводит к общим травмам (электроудары) и местным (ожоги, металлизация кожи, электрические знаки, электроофтальмия, механические повреждения).

Таким образом пользователь, работающий с персональным компьютером подвергается воздействию следующих опасных и вредных факторов:

­    поражение электрическим током;

­         воздействие рентгеновского излучения;

­    ультрафиолетовое излучение и излучение электромагнитных полей радиочастот;

­    воздействие статического электричества;

­         недостаточное освещение.

трубопровод гидросистема летательный

4.1   Освещение рабочего места


Результаты работы инженера-конструктора в большой степени зависят и от освещенности рабочего места. Чтобы правильно спланировать рациональную систему освещения, необходимо учитывать яркость источников света, их расположение в помещении, яркостной контраст между устройствами ЭВМ и фоном, блесткость поверхностей, качество и цвет светильников и поверхностей. Для малой и средней контрастности поверхностей ЭВМ при темном фоне наименьший уровень освещенности должен быть 150 лк. Для большой контрастности при светлом или темном фоне наименьший уровень освещенности 100 лк.

В помещениях, где эксплуатируют ЭВМ, необходимо предусматривать систему искусственного освещения из люминесцентных ламп дневного света или ламп накаливания. Существуют прямая, отраженная и диффузная системы искусственного освещения. При прямом освещении свет попадает на объект непосредственно от источников света. При этом 90-100% мощности светильника направлено на рабочую поверхность, что вызывает яркостные контрасты, резкие тени и блесткость (свойство ярко освещенной поверхности вызывать ослепление или дезадаптацию наблюдателя). При освещении отраженным светом 90-100% света направляется на потолок и верхнюю часть стен, от которых свет более или менее равномерно отражается по всему помещению. При этом достигается равная освещенность без теней и блесткости. Диффузное освещение обеспечивает рассеянный свет, одинаково распределенный по всем направлениям. Такая система освещения требует меньшей мощности, чем две предыдущие, но вызывает частичное образование теней и блесткости.

Кроме освещенности, большое влияние на деятельность человека оказывает цвет окраски помещения и спектральные характеристики используемого цвета. Рекомендуется, чтобы потолок отражал 80-90%, стены - 50-60%, панели - 15-20%, а пол - 15-30% падающего на них света. Кроме того, цвет обладает некоторым психологическим и физиологическим действием. Так, например, применение тонов теплой гаммы (красный, оранжевый, желтый) создает впечатление бодрости, возбуждения и замедленного течения времени. Эти же цвета вызывают у человека ощущение тепла.

Освещение рабочего места должно:

­    улучшать условия зрительной работы,

­         снижать утомляемость,

­         повышать производительность труда и качество продукции,

­         повышать безопасность труда,

­         снижать производственный травматизм.

Восприятие световой информации зависит от количественных характеристик освещения зрительного пространства.

На рабочем месте инженера - конструктора необходимо обеспечить достаточный уровень освещённости для работы с текстовой и графической информацией на бумажных носителях, часто, очень низкого качества.

4.1.1  Расчёт искусственного освещения помещения

Основные исходные данные:

помещение (рисунок 4.1): Длинаa =15м,

Ширинаb =6м,

Высотаh =5м,= 4м,=0,8м;

светильник: ЛПО 16 2х36-002 «Гамма 236»;

лампы: люминесцентные 36 Вт, в одном светильнике 2

лампы;

световой поток: Ф=2850 лм;

нормы освещенности:освещённость на уровне 0,8м от пола Е=300 лк.

Коэффициент отражения k для:

-       потолка (побеленный бетон) - 70;

-       стен (голубая матовая краска) - 50;

-       пола (серый линолеум) - 20.

Коэффициент запаса: kз=0,8.

Рисунок 4.1 Схема расчета искусственного освещения

Расчётные формулы.

Определение площади помещения:

(4.1)

Определение индекса помещения:

(4.2)

Определение требуемого количества светильников:

,(4.3)

где Е - требуемая освещенность горизонтальной плоскости, лк; - площадь помещения, м2;

К3 - коэффициент запаса (К3 = 1,25) U - коэффициент использования осветительной установки ;

Фл - световой поток одной лампы, лм; - число ламп в одном светильнике ;

Расчёт.

1.      Определяем по формуле 4.1 площадь помещения:

2.     

.        Определяем формуле 4.2 индекс помещения: ,

.        Определяем коэффициент использования, исходя из значений коэффициентов отражения и индекса помещения: U=42

.        Определяем формуле 4.3 требуемое количество светильников:

Итого - 15 светильников или 30 ламп. В помещении 44 светильника, в них стоит 88 ламп, однако работает только 67 из них. Необходимо отметить чрезвычайную запылённость ламп, вследствие чего их световой поток можно снизить. В целом освещённость помещения можно назвать хорошей.

4.1.2  Расчёт естественного освещения помещения


Естественное освещение помещения происходит через оконные проёмы. Для оценки освещённости в помещении целесообразно рассчитать параметры окон в помещении.

Расчет требуемой площади оконных проёмов при боковом освещении проведём по формуле:

(4.4)

где: Sо - площадь световых проемов (в свету) при боковом освещении;

ен - нормированное значение принимаем ен =1,5;

КЕО;

Площадь пола помещения; Sп=6х15=90 м2.

Коэффициент запаса Кз , при запылённости менее 1мг/м3 , принимаем Кз=1,3.

Световая характеристика окон hо определяется в зависимости от:

отношения длины помещения lп к его глубине В, для данного помещения lп/В=6/15=0,4;

отношения глубины помещения B к его высоте от уровня условной рабочей поверхности до верха окна h, в исследуемом помещении B/h=15/4=3,75.

Принимаем hо=45;

Коэффициент, учитывающий затенение окон противостоящими зданиями Кзд принимаем Кзд,=1, так как на расстоянии в 20м перед окнами зданий нет ;

Общий коэффициент светопропускания, определяем по формуле:

(4.5)

где: t1 - коэффициент светопропускания материала, определяемый по табл. 10, принимаемый равным 0,8;

t2 - коэффициент, учитывающий потери света в переплетах светопроема принимаем равным 5;

t3 - коэффициент, учитывающий потери света в несущих конструкциях, при боковом освещении t3 = 1;

t4 - коэффициент, учитывающий потери света в солнцезащитных устройствах принимаем равным 1;

t5 - коэффициент, учитывающий потери света в защитной сетке, устанавливаемой под фонарями, принимаем равным 0,9.

Таким образом:

(4.6)

Коэффициент, учитывающий повышение КЕО при боковом освещении благодаря свету, отраженному от поверхностей помещения и подстилающего слоя, прилегающего к зданию, r1 зависит от

отношения длины помещения lп к его глубине В, для данного помещения lп/В=6/15=0,4;

отношения глубины помещения B к его высоте от уровня условной рабочей поверхности до верха окна h, в исследуемом помещении B/h=15/4=3,75.

Принимаем r1=1,4.

Требуемая площадь оконных проёмов:

.

Принимаем Sо =18 м2.

Площадь световых проёмов в бюро S=6*0,4*1+3*2*1=8,4 м2.

Вывод: Площадь световых проёмов недостаточна. Работать с использованием только естественного освещения нежелательно.

В помещении бюро используется смешанное освещение и суммарного освещения достаточно для выполнения точных работ.

4.2 Расчёт рентгеновского излучения компьютера


Возникновение рентгеновского излучения обусловлено наличием на аноде электронно-лучевой трубки дисплея напряжения до 30 кВ (а при напряжении 3-500 кВ присутствует рентгеновское излучение различной жесткости). Пользователь попадает в зону мягкого рентгеновского излучения.

При воздействии рентгеновского излучения на организм человека происходит:

-  образование чужеродных соединений молекул белка, обладающих даже токсическими свойствами;

-       изменение внутренней структуры веществ в организме, приводящее к развитию малокровия, образованию злокачественных опухолей, катаракты глаз.

При работе за экраном электронно-лучевой трубки дисплея пользователь попадает под воздействие ультрафиолетового излучения с длинами волн < 320 нм. Также при образовании строчной и кадровой разверток дисплея возникает излучение электромагнитных полей частотой до 100 кГц. Это может являться причиной возникновения следующих заболеваний:

-  обострение некоторых заболеваний кожи (угревая сыпь, себорроидная экзема, розовый лишай, рак кожи и др.);

-       нарушение в протекании беременности;

-       увеличение в 2 раза вероятности выкидышей у беременных женщин;

-       нарушение репродуктивной функции и возникновение рака;

-       нарушение режима терморегуляции организма;

-       изменения в нервной системе (потеря порога чувствительности);

-       понижение/повышение артериального давления.

Время работы на персональном компьютере по санитарным нормам не должно превышать 4 часа. Большинство используемых в России мониторов не соответствуют шведскому стандарту защиты пользователя от излучений и имеют на расстоянии 5 см от экрана дисплея мощность дозы рентгеновского излучения 100 мкР/час. Рассчитаем, какую дозу рентгеновского излучения получит пользователь на различном расстоянии от экрана дисплея (таблица 4.1).

= P0e-mr,(4.7)

где Pr - мощность дозы рентгеновского излучения на расстоянии r, мкР/час;- уровень мощности дозы рентгеновского излучения на расстоянии 5см от экрана дисплея, мкР/ч;

m - линейный коэффициент ослабления рентгеновского излучения воздухом, см-1;- расстояние от экрана дисплея, см;

Возьмем m = 3.14*10-2 см-1.

Таблица 4.1 Расчёт дозы облучения в зависимости от расстояния от экрана.

r, см

5

10

20

30

40

50

60

70

80

90

100

P, мкР/ч

100

73

53

39

28

21

15

11

8

6

4


Среднестатистический пользователь располагается на расстоянии 50 см от экрана дисплея. Рассчитаем дозу облучения, которую получит пользователь за смену, за неделю, за год, работая по 8 часов в день (таблица 4.2).

Таблица 4.2 Расчёт облучения в зависимости от времени работы.

За смену

8 часов

8*21

168 мкР/ч

За неделю

5 дней

5*168

840 мкР/ч

За год

44 рабочие недели

44*840

36960 мкР/ч



Вывод. На современных предприятиях продолжительность работы на компьютере в сутки составляет не мене 8 часов. По статистики наиболее опасно длительное воздействие малых доз радиации. Оно проявляется на протяжении 2х - 3х поколений.

4.3   Защита пользователей компьютерной техники от электромагнитного излучения


К числу неблагоприятных факторов относятся электромагнитные поля (ЭМП) высоких частот. Их воздействие на человека может вызвать функциональные сдвиги в организме: быструю утомляемость, головные боли, нарушение сна, раздражительность, утомление зрения и т.п.

4.3.1  Требования к современным мониторам

Основными поражающими факторами, при работе с компьютером, являются вредные излучения видеотерминального устройства.

Видеотерминальное устройство должно соответствовать следующим требованиям:

-  яркость свечения экрана не менее 100 кд/м2;

-       минимальный размер светящейся точки не более 0,4 мм для монохромного дисплея и не более 0,6 мм для цветного;

-       контрастность изображения знака не менее 0,8;

-       частота регенерации изображения при работе с позитивным контрастом в режиме обработки текста не менее 72 Гц;

-       количество точек на экране не менее 640;

-       экран должен иметь антибликовое покрытие;

-       размер экрана должен быть не менее 31 см по диагонали, а высота символов не менее 3,8 мм, при этом расстояние от экрана до глаз оператора должно быть 40-80 см.

При работе с текстовой информацией наиболее предпочтительным является предъявление чёрных знаков на светлом (белом) фоне.

Сравним стандарты РФ (таблица 4.3, 4.4) с международными стандартами излучений и энергопотребления ТСО99 (таблица 4.5, 4.6).

Временные допустимые уровни электромагнитных полей (ЭМП), создаваемых ПЭВМ, не должны превышать значений, представленных в таблице 4.3.

Таблица 4.3 Нормы напряженности электрического и магнитного поля в зависимости от частоты.

Нормир. велич.

Частота f, МГц


0.06-1.5

1.5-3.0

3.0-30

30-50

50-300

300-3*105

Е, В/м

50

50

20

10

5

нет

Н, А/м

5.0

-

0.3

-

нет

I, Вб/м2

-

-

-

-

-

I0 = e/T


Таблица 4.4 Временные уровни ЭМП, создаваемых ПЭВМ.

Наименование параметров

ВДУ ЭМП

Напряженность электрического поля

в диапазоне частот 5 Гц - 2 кГц

25 В/м


в диапазоне частот 2 кГц - 400 кГц

2,5 В/м

Плотность магнитного потока

в диапазоне частот 5 Гц - 2 кГц

250 нТл


в диапазоне частот 2 кГц - 400 кГц

25 нТл

Электростатический потенциал экрана видеомонитора

500 В


Таблица 4.5 Нормы напряженности электрического и магнитного поля в зависимости от частоты по стандарту ТСО99.

Нормир. велич.

Частота f, МГц


0.06-1.5

1.5-3.0

3.0-30

30-50

50-300

300-3*105

Е, В/м

40

30

15

5

5

нет

Н, А/м

5.0

-

-

0.2

-

нет

I, Вб/м2

-

-

-

-

-

I0 = e/T


Таблица 4.6 Временные уровни ЭМП, создаваемых ПЭВМ по стандарту ТСО99

Наименование параметров

ВДУ ЭМП

Напряженность электрического поля

в диапазоне частот 5 Гц - 2 кГц

20 В/м


в диапазоне частот 2 кГц - 400 кГц

2 В/м

Плотность магнитного потока

в диапазоне частот 5 Гц - 2 кГц

100 нТл


в диапазоне частот 2 кГц - 400 кГц

15 нТл

Электростатический потенциал экрана видеомонитора

400 В


Вывод. Нормы международного стандарта ТСО99 жестче, чем российские. Применение стандарта ТСО 99 наносит меньший вред пользователям ПК. Используемая аппаратура в бюро соответствует стандарту ТСО99.

4.4   Обеспечение требуемых показателей шума


Большое влияние на деятельность инженера-программиста оказывает и уровень акустического шума. Шум резко снижает производительность труда и увеличивает травматизм. Физиологически шум воздействует на органы зрения и слуха, повышает кровяное давление, при этом притупляется внимание.

Шум оказывает также и эмоциональное воздействие: он является причиной возникновения таких отрицательных эмоций, как досада, раздражение. Особенно неприятны высокочастотные и прерывистые шумы.

Основным из механических факторов производственной среды являются вибрации. Они не только вредно воздействуют на организм, но и мешают человеку выполнять как мыслительные так и двигательные операции. Под действием вибраций ухудшается зрительное восприятие, в осообенности на частотах между 25 и 40 Гц и между 60 и 90 Гц. Наиболее опасна вибрация с частотой 6-8 Гц, так как в этом диапазоне лежит собственная резонансная частота тела, головы и брюшной полости человека.

В производственных помещениях при выполнении основных или вспомогательных работ с использованием ПЭВМ уровни шума на рабочих местах не должны превышать предельно допустимых значений, установленных для данных видов работ в соответствии с действующими санитарно-эпидемиологическими нормативами.

При выполнении работ с использованием ПЭВМ в производственных помещениях уровень вибрации не должен превышать допустимых значений вибрации для рабочих мест (категория 3, тип "в") в соответствии с действующими санитарно-эпидемиологическими нормативами.

Шумящее оборудование (печатающие устройства, серверы и т.п.), уровни шума которого превышают нормативные, должно размещаться вне помещений с ПЭВМ.

В конструкторском бюро не используется оборудование, излучающее шум, превышающий допустимый уровень. Самым опасным источником шума можно назвать наушники. При постоянном воздействии звука из наушников снижается музыкальный слух, понижается уровень слуха.

Вывод: Показатели шума в бюро не превышают допустимых. К опасным источникам звука можно отнести наушники.

 

4.5   Пожарная безопасность


Причинами возникновения пожара электрооборудования могут быть: перегрузка проводов электросети, которая вызывает нагрев токопроводящих частей, загорание их изоляции в результате воспламенения различных горючих материалов, соприкасающихся с ними; некачественное выполнение соединений электрической проводки; перезагрузка различных электрических устройств (генераторы, трансформаторы, распределительные устройства), приводящие к их нагреву и, следовательно, к возможному загоранию.

Углекислотный огнетушитель (ОУ-2, ОУ-5, ОУ-8) предназначен для тушения электроустановок, находящихся под напряжением до 1000В для тушения небольших начальных очагов загорания различных веществ и материалов, а также, за исключением веществ, горение которых происходит без доступа воздуха. Огнетушитель используют при температуре окружающего воздуха от 25 °С до 50 °С. При более низкой температуре применять нельзя, так как не будет выброса углекислоты, за счет резкого образования снежной массы и перекрывания выходного отверстия баллона.

Для обеспечения быстрой и надежной эвакуации людей используются эвакуационные выходы.

Согласно СНиП 21-01-97 эвакуационными выходами являются выходы, если они ведут:

из помещений первого этажа наружу: непосредственно, через коридор, через вестибюль, через лестничную площадку;

из помещений любого этажа, кроме первого, непосредственно на лестничную клетку; в коридор, имеющий выход на лестницу; в холл, имеющий выход на лестницу.

в соседние помещения, обеспеченные выходами.

Для предотвращения распространения пожара предусматривается:

конструктивные, объемно-планировочные решения, препятствующие распространению опасных факторов пожара по помещениям;

ограничение пожарной опасности строительных материалов, используемых в отделке зданий;

снижение технологической взрывопожарной опасности помещений и зданий;

наличие первичных, в том числе, автоматических средств пожаротушения;

сигнализации и оповещения о пожаре.

Уровень пожарной безопасности КБ соответствует СНиП 21-01-97, и хорошо оснащено огнетушителями ОУ-2. План эвакуации при пожаре из бюро приведен на рисунке 4.2.

- направление движения к основному выходу, 2- направление движения к запасному выходу

Рисунок 4.2 - План эвакуации КБ103.

Вывод

Из результатов проведенных расчетов безопасность условий труда в конструкторском бюро можно считать обеспеченной. Нормируемые параметры в бюро обеспечены неравномерно но, в целом, остаются на уровне значений, не выходящих за рамки, требуемые стандартами.

 

ЗАКЛЮЧЕНИЕ


В данном дипломном проекте проведёны прочностноые расчеты точек крепления трубопровода гидросистемы управления горизонтальным оперением. На основе данных расчётов предложено решение по усовершенствованию конструкции креплений, а именно установка резиновых прокладок толщиной 1мм из резиновой смеси ИРП 1078НТА между кронштейном и диффрагмой.

СПИСОК ИСПОЛЬЗОВАННЫХ ИСТОЧНИКОВ


1.   Е.С. Войт. Проектирование конструкций самолетов: Учебник для студентов вузов. - М.: Машиностроение, 1987. - 416 с.: ил.

2.   В.И. Анурьев. Справочник конструктора машиностроителя: Т.1. М.:

Машиностроение, 1982. 736 с., ил.

3.   СТП ИрГТУ 05-99. Оформление курсовых и дипломных проектов.

4.   Санитарные правила и нормы СанПиН 2.2.2.542-96 «Гигиенические требования к видеодисплейным терминалам, персональным электронно-вычислительным машинам и организации работы с ними».

5.      Н.Н. Колотилов Охрана труда в авиационной промышленности. М.: Машиностроение, 1973. - 296 с., ил.

.        К.М. Великанов. Расчеты экономической эффективности новой техники: Справочник. - Л.: Машиностроение, 1990. - 448 с.

.        В. М. Сапожников. Справочник слесаря- монтажника трубопроводных коммуникаций гидрогазовых и топливных систем летательных аппаратов. -М.: Машиностроение,1988.-188 с.: ил.

.        С.П. Рычков . MSC Visual Nastran для Windows. - М.: НТ Пресс, 2004. - 552 с.: ил

.        Диссертация М.С. Яхненко «Контактная задача динамики сборных конструкций трубопроводных систем с учётом условий сопряжения» 2011г.

Похожие работы на - Разработка новой конструкции крепления трубопроводов гидросистемы управления горизонтальным оперением

 

Не нашли материал для своей работы?
Поможем написать уникальную работу
Без плагиата!
Без нейросетей!