Расчет длительности цикла светофорного регулирования
Введение
Рассматривая конкретное содержание форм
инженерной деятельности в городах, можно отметить, что в первую очередь она
относится к регулируемым пересечениям (узлам) на улично-дорожной сети (УДС).
Это объясняется тем, что именно в этих местах взаимодействуют транспортные
пешеходные потоки, прибывающие с различных направлений, в результате чего
возникают конфликты как между транспортными средствами при пересечении,
отклонении или слиянии траекторий их движения, так и между транспортными
средствами и пешеходами, пересекающими проезжую часть в различных направлениях.
Конфликты, в конечном счете, приводят к ДТП. Кроме того, по работе регулируемых
пересечений определяется в решающей степени пропускная способность улиц, так
как транспортные потоки каждого направления приходится прерывать с помощью
светофоров для пропуска потоков других направлений, в том числе пешеходных. В
результате, как правило, регулируемые пересечения становятся во многих случаях
«узкими» местами, обусловливающими задержки транспортных средств и пешеходов.
По мере постоянного роста автопарка
эксплуатируемых транспортных средств и, как правило, недостаточного увеличения
протяженности УДС в городах неуклонно растет количество регулируемых
пересечений. В целом в России ежегодно вводится или реконструируется около 1000
светофорных объектов.
Сложность проблемы оценки качества ОДД придает
низкая ее нормативная обеспеченность. В рекомендациях рассматривается не только
вопросы констатации состояния ОДД на регулируемых пересечениях, но и предлагаются
основные пути совершенствования ОДД с учетом выявленных ее недостатков.
1.
Определение задания на выполнение курсовой работы
Таблица 1 - Параметры магистрали
|
Перегон
|
Перегон
|
Перегон
|
|
Длина,
м
|
Уклон,
%
|
Длина,
м
|
Уклон,
%
|
Длина,
м
|
Уклон,
%
|
|
460
|
+6
|
320
|
0
|
420
|
-2
|
Таблица 2 - Параметры перекрестков
|
А
|
Б
|
В
|
Г
|
|
|
Число
сторон
|
|
Число
сторон
|
|
Число
сторон
|
|
Число
сторон
|
|
11
|
3
|
11
|
4
|
14
|
4
|
11
|
4
|
Таблица 3 - Интенсивности транспортных потоков
по направлениям перекрестков (ед/ч)
|
Перекресток
|
|
|
А
|
Б
|
В
|
Г
|
|
|
|
|
|
|
|
|
|
|
|
|
|
|
|
|
320
|
184
|
150
|
200
|
70
|
85
|
410
|
225
|
280
|
40
|
115
|
1270
|
2.
Оценка планировочных параметров перекрестка
Оценка ОДД на РП предполагает наличие заданных
планировочных параметров перекрестков. Горизонтальная улица имеет ширину 23 м,
имеет шесть полос движения шириной 3,83 м, что удовлетворяет требованиям
интенсивности и пропускной способности ТС. Вертикальные улицы имеют иные
параметры. Дано четыре перекрестка: А, Б, В, Г.
Перекресток А: Вертикальная улица шириной 11 м,
имеет три полосы движения, шириной 3,6 м. Организация движения на данном
перекрестке включает в себя две фазы регулирования. Состав транспортного потока
- преобладают легковые автомобили. Средняя скорость движения 50 км/ч.
Перекресток Б: Вертикальная улица шириной 11 м,
имеет три полосы движения, шириной 3,6 м. Организация движения на данном
перекрестке включает в себя три фазы регулирования. Состав транспортного потока
- преобладают легковые автомобили. Средняя скорость движения 50 км/ч.
Перекресток В: Вертикальная улица шириной 14 м,
имеет по две полосы движения, шириной 3,5 м. Организация движения на данном
перекрестке включает в себя три фазы регулирования. Состав транспортного потока
- преобладают легковые автомобили. Средняя скорость движения 50 км/ч.
Перекресток Г: Вертикальная улица шириной 11 м,
имеет три полосы движения шириной 3,6 м. Организация движения на данном
перекрестке включает в себя три фазы регулирования. Состав транспортного потока
- преобладают легковые автомобили. Средняя скорость движения 50 км/ч.
3.
Расчет цикла светофорного регулирования
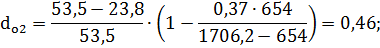
3.1 Определение потоков насыщения
Определяем расчетным методом потоки насыщения,
так как расчёт проводится для проектируемой схемы перекрёстка (см. графический
материал - План-схема магистрали ТГТУ 23.03.01.179 2Д-ПСМ).
Мн прямо = 525 ∙ Впч, (1)
где Впч - ширина проезжей части.
Поток насыщения для лево- и правоповоротных
потоков, если суммарная интенсивность составляет более 10% от общей
интенсивности движения в данной фазе и отдельные полосы для них не выделены,
определяется по формуле:
Мн ij = Мн прямо∙
(2)
где a, b, c - интенсивность движения
транспортных потоков соответственно прямо, налево и направо в процентах от
общей интенсивности в рассматриваемом направлении данной фазы регулирования.
Для право- и левоповоротных потоков, движущихся
по специально выделенным полосам, поток насыщения определяется в зависимости от
радиуса поворота:
Мij ПОВ =
(3)
где R - радиус движения право- и левоповоротных
потоков, м.
Перекресток А:
фаза:
С учетом уклона на перегоне +6% пересчитаем:
2 фаза:
= 1800/(1+1,525/8)
= 1511,3
=
1800/(1+1,525/28) = 1706,2
Перекресток Б:
1 фаза:
С учетом уклона на перегоне +6% пересчитаем:
2 фаза:
525
∙ 3,6 = 1890
Пересчитаем:
3 фаза:
=
=
1800/(1+1,525/28) = 1706,2
Перекресток В:
фаза:
С учетом уклона на перегоне -2% пересчитаем:
2 фаза:
525
∙ 3,5 = 1837,5
Пересчитаем:
3 фаза:
=
1800/(1+1,525/28) = 1706,2
Перекресток Г:
1 фаза:
С учетом уклона на перегоне -2% пересчитаем:
фаза:
525
∙ 3,6 = 1890
Пересчитаем:
3 фаза:
1800/(1+1,525/28)
= 1706,2
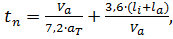
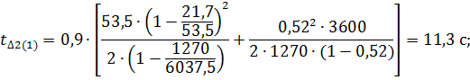
.2 Расчет длительности промежуточного такта
Длительность промежуточного такта
в
секундах, определяется по формуле:
(4)
где
-
средняя скорость автомобиля на подходе к перекрестку и в зоне перекрестка без
торможения, км/ч;
- среднее
замедленнее автомобилей при включении запрещающего сигнала, м/с;
-
расстояние от стоп линии до дальней конфликтной точки, м;
-
длинна транспортного средства, наиболее часто встречающего в потоке, м.
(5)
Перекресток А:

Перекресток В:
Перекресток Г:
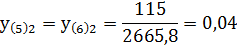
.3 Определение фазовых коэффициентов
Формула определения фазовых коэффициентов:
yij = Nij/Mij , (6)
где Nij - интенсивность движения для
рассматриваемого периода суток; д/час; Mij - поток насыщения в данном направлении
фазы регулирования; ед/час.
Перекресток А:
За расчетный фазовый коэффициент примем
наибольшее значение yij в данной фазе:
- для 1 фазы.
- для 2 фазы.
У = 0,21 + 0,23 = 0,44.
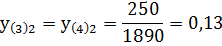
Перекресток Б:
За расчетный фазовый коэффициент примем
наибольшее значение yij в данной фазе:
- для 1 фазы.
- для 2 фазы.
- для 3 фазы.
У = 0,26 + 0,11 + 0,04 = 0,41.
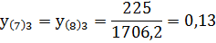
Перекресток В:
За расчетный фазовый коэффициент примем
наибольшее значение yij в данной фазе:
- для 1 фазы.
- для 2 фазы.
- для 3 фазы.
У = 0,22 + 0,22 + 0,13 = 0,57.
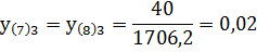
Перекресток Г:
За расчетный фазовый коэффициент примем
наибольшее значение yij в данной фазе:
- для 1 фазы.
- для 2 фазы.
- для 3 фазы.
У = 0,21 + 0,13 + 0,02 = 0,36.
.4 Определение длительности цикла и основных
тактов
Для расчета длительности цикла светофорного
регулирования (совокупности всех повторяющихся фаз) используют формулу:
(7)
Расчет времени основных тактов:
(8)
где
максимальный
фазовый коэффициент в соответствующей фазе.
Перекресток А:

Структура цикла регулирования:
= 10,7 + 4 + 11,7
+ 4 = 30,4 с.
Перекресток Б:
Структура цикла регулирования:
= 15 + 4 + 7 + 4 +
7 + 4 = 41 с.
Перекресток В:
Структура цикла регулирования:
= 16 + 4 + 16 + 4
+ 9,5 + 4 = 53,5 с.
Перекресток Г:
Структура цикла регулирования:
= 14 + 4 + 8,7 + 4
+ 7 + 4 = 41,7 с.
3.5 Выбор ключевого перекрестка
Для технической реализации координированного
управления движением на магистрали необходимо выполнять ряд условий, одним из
которых является одинаковая длительность цикла светофорного регулирования на
всех перекрестках. Для этого требования выбираем самый длительный светофорный
цикл. Перекресток магистрали, имеющий такой цикл, называется ключевым. Для всех
остальных перекрестков делаем перерасчет основных тактов. Этот цикл будет
оптимальным только для ключевого перекрестка, для остальных он будет
избыточным, в результате чего возможны заторы на второстепенных дорогах.
Ключевым перекрестком является перекресток В,
теперь делаем перерасчет всех остальных основных тактов.
Перекресток А:
Перекресток Б:
Перекресток Г:
4.
Построение графика координированного управления
См. графический материал - График
координированного управления ТГТУ 23.03.01.179 2Д-ГКУ.
(10)
Тангенс угла наклона линий в графике
координированного управления:
(11)
Необходимое условие, которому должна
удовлетворять максимальная длительность зеленого сигнала
выражается
формулой:
(12)
5.
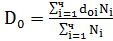
Расчет основных показателей качества организации дорожного движения
5.1 Основные показатели качества организации
дорожного движения
Качество ОДД на РП характеризуется показателями
транспортной эффективности, безопасности движения и экологического воздействия
транспортных потоков, которые связаны между собой. Оценка качества ОДД на РП
должна носить комплексный характер и предусматривать анализ показателей каждой
из трех указанных групп.
.2 Показатели транспортной эффективности
Для определения задержек транспортных средств,
двигающихся через РП, следует рассчитать среднюю задержку 2
го
рода для данного регулируемого направления, можно определить по формуле:
(13)
где x
степень насыщения данного регулируемого направления;
интенсивность
движения ТС i-го регулируемого направления;
поток
насыщения 1-го направления;
длительность
светофорного регулирования;
длительность
разрешающего движение сигнала светофора.задержкой транспортных средств
непосредственно связана степень насыщения направления движения Х,
представляющая собой отношение среднего числа прибывающих в данном направлении
к перекрестку в течение цикла транспортных средств к максимальному числу
покинувших перекресток в том же направлении в течение разрешающего сигнала:
(14)
Удовлетворительным показателем степени насыщения
следует считать степень насыщения не более 0,85. Для тех направлений, по
которым осуществляется координированное управление, удовлетворительной является
степень насыщения не более 0,7.
Перекресток А:
фаза:
2фаза:
Перекресток Б:
1 фаза:
2 фаза:

Перекресток В:
1 фаза:
фаза:
фаза:
Перекресток Г:
фаза:
2 фаза:
3 фаза:
.3 Показатели безопасности дорожного движения
5.3.1 Определение конфликтной загрузки
пересечения
Простейший метод с учетом интенсивностей
транспортных потоков - определение индекса конфликтности по формуле:
(15)
где
количество
точек ответвления, слияния и пересечения;
меньшие
интенсивности из каждой пары конфликтующих между собой транспортных потоков.
Перекресток А
Рисунок 1 - Конфликтные точки транспортных
потоков
,
отсюдаА = 0,01 ∙ [ 0 + 3(31
)
+ 5 ∙ 344] = 36,8
При 40>m перекресток считается легким.
Перекресток Б
Рисунок 2 - Конфликтные точки транспортных
потоков
,
отсюдаБ = 0,01 ∙ [ (85 + 85) + 3(85 + 85 + 70 + 70) + 5 (200 + 200 + 200
+ 200 + 70 + 70 + 70 + 70)] = 65
При 80>m перекресток считается средней
тяжести.
Перекресток В
Рисунок 3 - Конфликтные точки транспортных
потоков
,
отсюдаВ = 0,01 ∙ [ (280 + 280) + 3(
)
+ 5(410 + 410 + 410 + 410 + 225 + 225 + 225 + 225) ] = 162,9
При m>80 перекресток считается сложным.
Перекресток Г
Рисунок 4 - Конфликтные точки транспортных
потоков
,
отсюдаГ = 0,01 ∙ [ (115 + 115) + 3(115 + 115 + 40 + 40) + 5(250 + 250 +
250 + 250 + 40 + 40 + 40 + 40)] = 69,6
При 80>m перекресток считается средней
тяжести.
.4 Показатель экологической безопасности
Самостоятельным показателем, характеризующим
транспортную эффективность, является доля остановленных ТС в целом на РП
вычисляемая по формуле:
(16)
(17)
Доля снизивших скорость перед РП, но не до
полной остановки, определяется по формуле:
(18)
Перекресток А:
фаза:
2 фаза:
Перекресток Б:
фаза:
2 фаза:
3 фаза:

Перекресток В:
1 фаза:
2 фаза:
3 фаза:
Перекресток Г:
фаза:
2 фаза:
3 фаза:
Экологическое воздействие транспортных потоков
на РП характеризуется дополнительными расходами топлива и выбросом ТКОГ, что
соответствует увеличению показателей по сравнению с уровнем показателей при
условии преодоления данного РП всеми ТС остановки снижения скорости.
Заключение
В данном курсовом проекте я рассмотрел вопросы
по организации дорожного движения на перекрестках, научился рассчитывать циклы
регулирования, определять задержки транспортных средств, число полос (рядов)
движения на подходах к перекрестку, определять количество конфликтных точек и
возможных конфликтных ситуаций, на основании всего вышеперечисленного научился
строить схемы применения технических средств, расчет координированного
управления «зеленая волна» на перекрестках магистрали.
Список используемых источников
светофорный перекресток
дорожный координированный
1.
ГОСТ 23535-79 АСУД. Условные обозначения на схемах и плакатах.
.
ГОСТ 23457-79. Технические средства организации дорожного движения. Правила
применения.
.
Клинковштейн Г.И. Организации дорожного движения. - М.: Стройиздат, 1974.
.
Кременец Ю.А. Технические средства регулирования дорожного движения. - М.:
Транспорт, 1997.
.
Полукаров В.М. Организация транспортных потоков. - М.: ВНИИ - безопасности
дорожного движения, 1974 - 78
.
Руководство по регулированию дорожного движения в городах. М.: Стройиздат,
1974.
.
СниП II-60-75. Нормы проектирования. Планировка и застройка городов, поселков и
сельских населенных пунктов. - М.: Стройиздат, 1976.