Организация дорожного движения
СОДЕРЖАНИЕ
Введение
. Расчет
светофорных циклов на перекрестках магистрали
1.1 Определение
потоков насыщения
1.2 Расчет
длительности промежуточного такта
1.3 Расчет
фазовых коэффициентов
1.4 Определение
длительности цикла и основных тактов
2. Построение
графика координированного управления
3. Расчет
задержек транспортных средств на подходах к перекрестку
Заключение
Список
использованной литературы
ВВЕДЕНИЕ
В жизни любого современного мегаполиса одними из
наиболее важных стали проблемы с ростом интенсивности транспортных потоков на
автомобильных дорогах. Большое количество транспортных средств вызывает
проблемы связанные со снижением скоростей движения транспортных потоков,
увеличение числа дорожно-транспортных происшествий и загазованность окружающей
среды, особенно в придорожной полосе. В связи с тем, что увеличение пропускной
способности отстает дорожных сетей значительно отстает от роста автомобилизации
населения (расширение дорожной сети не всегда возможно, на некоторых участках),
за счет внедрения более совершенных средств и систем управления дорожным
движением можно достичь за счет значительного повышения эффективности их
использования Нормальное функционирование транспортных систем современного
города в условиях повышенной автомобилизации можно обеспечить внедрением
автоматизации управлением дорожным движением.
1.
РАСЧЕТ СВЕТОФОРНЫХ ЦИКЛОВ НА ПЕРЕКРЕСТКАХ МАГИСТРАЛИ
.1 Определение потоков
насыщения
Эти потоки определяются для всех направлений
перекрестка в каждой фазе. Если ширина проезжей части находится в пределах от
5,4 до 18 м, то поток насыщения определяется по формуле
где 
- ширина проезжей части (полосы
движения), м;

- номер полосы движения;

- номер фазы.
В зависимости от продольного уклона
дороги на подходе к перекрестку расчетное значение 
меняется. Каждый процент уклона
дороги на подъеме снижает, а на спуске увеличивает поток насыщения на 3%.
Расчет потоков насыщения для
магистрали.
Направление 1.
Направление 2.
Расчет потоков насыщения для
второстепенных дорог.
Таблица 1
|
|
5,1
|
4,8
|
4,2
|
3,6
|
3,3
|
3,0
|
|
|
2700
|
2475
|
2075
|
1950
|
1875
|
1850
|
Параметра потока насыщения мы выбираем по табл.
1.

Корректируем потоки насыщения по
формуле:
где 
- интенсивность транспортных
потоков прямо, налево и направо соответственно в процентах от общей
интенсивности в рассматриваемом направлении данной фазы регулирования.
Перекресток А

;

;

;
Перекресток Б

;

;
Перекресток В

;

;


;

;
1.2
Расчет длительности промежуточного такта
Длительность промежуточного такта 
с, определяется по формуле
где 
- средняя скорость транспортных
средств при подходе к перекрестку и в зоне перекрестка, км/ч;

- среднее замедление транспортных
средств при включении запрещающего сигнала, м/с2;

- расстояние до ДКТ, м;

- длина транспортного средства,
наиболее часто встречающегося в потоке, м.
Рассчитанная длительность
промежуточного такта округляется до целого числа и должна удовлетворять условию
Принимаем длительность
промежуточного такта 
1.3 Расчет фазовых коэффициентов
Фазовые коэффициенты определяются для каждого
направления движения на перекрестке в данной фазе регулирования по формуле:
где 
- интенсивность движения по
направлениям перекрестка.
На магистрали
Перекресток А
Перекресток Б
Перекресток В
Перекресток Г
На второстепенных дорогах

.
Для каждой из двух фаз регулирования
выбирается максимальное значение фазового коэффициента и находится их сумма:
1.4 Определение длительности
цикла и основных тактов
Длительность цикла 
, с, светофорного регулирования
определяется по формуле Вебстера:
где 
- сумма промежуточных тактов. По
требованию ГОСТ 23457-86 длительность цикла светофорного регулирования должна
лежать в пределах
Перекресток А - ключевой.
Суммарная длительность основных
тактов рассчитывается по формуле
Длительность основного такта
(зеленого сигнала) пропорциональна величине максимального фазового коэффициента
данной фазы, поэтому эти длительности определяются по формулам:


где 
и 
- максимальные фазовые коэффициенты
в первой и второй фазах соответственно.


2.
ПОСТРОЕНИЕ ГРАФИКА КООРДИНИРОВАННОГО УПРАВЛЕНИЯ
На первом этапе построения графика изображают на
миллиметровой бумаге систему координат. Вертикальная ось - путь, горизонтальная
- время. Рядом с вертикальной осью вычерчивают план магистрали с соблюдением
масштаба. При этом существующие на реальной магистрали повороты
"распрямляют", продольные уклоны дороги не учитывают.
Масштаб вертикальной оси (ось пути) выражается
формулой
масштаб горизонтальной оси (ось времени)
где 
- суммарная длина магистрали;

- длина горизонтальной оси графика;


В выбранной системе координат вправо
через границы перекрестков проводит линии параллельные оси времени. Между парой
горизонтальных линий, соответствующих ключевому перекрестку А, наносят слева
направо с соблюдением горизонтального масштаба, повторяющуюся
последовательность светофорных сигналов и точек, отстающих вправо на интервал
времени
проводят наклонные линии. Тангенс
угла наклона этих линий определяется формулой
Величина 
определяет ширину так называемой
"ленты времени". Если ритм движения автомобиля находится внутри этой
ленты, то ему гарантируется безостановочное движение.
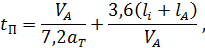
3.
РАСЧЕТ ЗАДЕРЖЕК ТРАНСПОРТНЫХ СРЕДСТВ НА ПОДХОДАХ К ПЕРЕКРЕСТКАМ
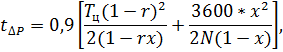
Величина задержек на регулируемом перекрестке
определяется по формуле Вебстера
где 
- отношение длительности
разрешающего сигнала второстепенной дороги к циклу, 
;

- интенсивность движения
транспортных средств по второстепенной дороге;

- степень насыщения направления
движения.
Степень насыщения направления
движения представляет собой отношение среднего числа прибывающих в данном
направлении к перекрестку в течение цикла транспортных средств к максимальному
числу автомобилей, покидающих перекресток в том же направлении в течение
разрешающего сигнала:
где 
и 
- соответственно интенсивность
движения и поток насыщения в данном направлении второстепенной дороги, ед/ч;

- длительность разрешающего такта
на второстепенной дороге.
Заторовое состояние на перекрестке
возникает при 
. Для обеспечения некоторого резерва
пропускной способности следует стремиться к значению 
, не превышающему 0,75…0,80. Если
перекресток перегружен, то путем применения запрещающих и предписывающих знаков
необходимо ограничить движение и возможность маневра.
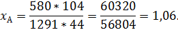
Перекресток А
Т.к. 
превышает допустимые значения, на
перекрестке А мы запрещаем поворот налево.
Поток насыщения для второстепенной
дороги.
Фазовый коэффициент для
второстепенной дороги.
Т.к. после расчетов длительность
цикла на перекрестке А изменилась и стала равной 33 с, то ключевым мы
принимаем перекресток В.
Суммарная длительность основных
тактов.




Степень насыщения перекрестков.
Величина задержек на регулируемом
перекрестке.
где 
- отношение длительности
разрешающего сигнала второстепенной дороги к циклу, 
.
ЗАКЛЮЧЕНИЕ
В курсовой работе на тему:
"Расчет элементов системы координированного управления движением на
магистрали", мы выполнили расчет светофорных циклов на перекрестках
магистрали, определили потоки насыщения. Также выполнили расчет длительности
промежуточного такта, фазовых коэффициентов и определили длительность цикла и
основных тактов. На демонстрационном листе формата А1 мы построили график
координированного управления, на основании которого определили задержки
транспортных средств на подходах к перекрестку.
СПИСОК ИСПОЛЬЗОВАННОЙ ЛИТЕРАТУРЫ
светофорный насыщение
транспортный перекресток
1. Расчет
элементов системы координированного управления движением на магистрали:
Методические указания и задания для курсового проектирования по дисциплине
"Технические средства организации дорожного движения"./ Юж. - Рос.
гос. техн. ун-т. Новочеркасск: ЮРГТУ, 2002. 16 с.
. Кукса
Н. Н. Технические средства организации дорожного движения. Учеб. пособие / Юж.
- Рос. гос. техн. ун-т. Новочеркасск: ЮРГТУ, 2001.
. Кременец
Ю. А. Технические средства организации дорожного движения. Учеб. для вузов. М.:
Транспорт, 2001.