Развитие и переустройство пассажирской станции А
МИНИСТЕРСТВО
ОБРАЗОВАНИЯ И НАУКИ РЕСПУБЛИКИ КАЗАХСТАН
КОСТАНАЙСКИЙ
СОЦИАЛЬНО-ТЕХНИЧЕСКИЙ УНИВЕРСИТЕТ
ИМЕНИ
АКАДЕМИКА ЗУЛХАРНАЙ АЛДАМЖАР
Кафедра «Организация перевозок и транспорт»
ДИПЛОМНЫЙ
ПРОЕКТ
Развитие
и переустройство пассажирской станции А
Специальность
050901 «Организация перевозок, движения и эксплуатация транспорта »
Костанай
2009
ВВЕДЕНИЕ
станция локомотив стоянка поезд
вокзал
Железнодорожный транспорт выполняет огромный
объем перевозок, должны полностью обеспечивать и своевременно удовлетворять
потребности населения в перевозках, создавать условия для безопасного и
удобного следования при высоком качестве обслуживания пассажиров на вокзалах и
в поездах, организации и расширении услуг. Выполнение этих задач возможно
только при движении пассажирских поездов всех категорий строго по расписанию,
техническом и санитарном состоянии подвижного состава и постоянных устройств,
при перевозке пассажиров, четкой организации продажи билетов.
Для обслуживания населения (пассажиров) в
крупных городах, промышленных центров строят пассажирские станции. При
построении пассажирской станции большое значение уделяется на взаимодействие с
городским транспортом. Это решение позволяет рассредоточить пассажирские потоки
и более рационально загрузить городской пассажирский транспорт. Дальнейшее
развитие станции должно обеспечивать полному удовлетворению потребности
населения в перевозках и максимальному комфорту при поездках.
Также продолжаются работы по реконструкции
вокзалов и станций, производится оснащение их новой техникой, вводится
прогрессивные технологические работы. Особое место отводится современным
требованиям к комфорту поездки и обслуживанию пассажиров. На пассажирских
станциях для приема и отправления пассажирских поездов сооружаются приемоотправочные
пути, обслуживающие как дальние и пригородные поезда, так и специализированные
для определенного вида движения. Для пропуска и накопления, посадки пассажиров
в поезда, высадки пассажиров из прибывающих поездов и пропуска их к выходу в
здание вокзала и на привокзальную площадь на пассажирских станциях сооружаются
пассажирские платформы (основные и промежуточные).
Всё это позволяет улучшить обслуживание
пассажиров на начальных и конечных операциях, связанных с перевозкой.
Выполнения всех видов операций должно производиться с минимальным строительными
затратами и минимальными эксплуатационными расходами, связанными с их
функционированием.
Пассажирские станции предназначены для
переформирования, ремонта, очистки и экипировки пассажирских составов. Для
ремонта и экипировки на станциях имеется:
путевое развитие
вагономоечные машины
вагоноремонтное и экипировочное депо с
ремонтными цехами и отделениями
пункты технического обслуживания
конторы по обслуживанию пассажиров
посты ЭЦ
горячее и холодное водоснабжение
катальные
устройства связи
На пассажирских станциях выполняются операции по
обслуживанию пассажиров, производится оплаты билетов, прием и выдача багажа.
При выполнении билетно-кассовых операций на вокзалах широко внедряется
централизованное руководство продажей билетов, предварительная продажа билетов,
оформление в пути следования прямых плацкарта пересаживающихся пассажиров,
доставка билетов на дом. Пассажирские станции работают по единой технологии,
разработанной на основе взаимодействия работы пассажирской станции с графиком
движения, внутристанционных процессов пассажирской и технической станций.
Технологический процесс работы вокзала станции K
предусматривает прогрессивную систему оформления проездных документов
пассажиров и перевозки багажа и обеспечивает культурное обслуживание
пассажиров.
Технологический процесс основан на следующих
положениях:
четкой специализации каждого подразделения
вокзала, рациональной последовательности и минимальных затрат времени на
выполнение операций, высокой производительности труда работников.
правильно планировки помещений (билетных касс,
справочного бюро) обеспечивающее прохождение пассажиров без встречных и
пересекающих потоков.
автоматизации и механизации производственных
процессов.
введение рациональных графиков работы билетных
касс, справочных бюро с учетом поступления запросов пассажиров по дням недели и
часам суток.
ускорении обслуживания пассажиров и максимальное
удовлетворение запросов, обеспечении всех подразделений вокзала необходимым
оборудованием, материалам и средствами связи.
разработке карт научной организации рабочих мест
и создании наиболее благоприятных условий для повышения производительности
труда.
изучении и внедрении передовых методов работы
вокзала.
максимально совмещении профессий отдельных
категорий работников.
четком соблюдении условий охраны труда и техники
безопасности на рабочих местах.
Основная задача организации пассажирских
перевозок - возможно более полное удовлетворение потребностей населения в
передвижении. При этом необходимо также наилучшим образом использовать
перевозочные средства при безусловном обеспечении безопасности движения поездов
и личной безопасности пассажиров и работников транспорта. Основные направления
в решении этих задач на железнодорожном транспорте следующие:
увеличение скоростей движения; сокращения
стоянок поездов для технических надобностей, погрузки и выгрузки багажа и
почты, посадки и высадки пассажиров; расширение числа беспересадочных
сообщений, согласованность движения поездов и других видов транспорта в пунктах
прицепки вагонов и пересадки пассажиров и , как результат, сокращения времени
проезда
улучшение обслуживания пассажиров на вокзалах и
поездах (минимальная затрата времени на приобретение проездных документов,
получение справок, возможность приобретения постельного белья, газеты, пищи)
наилучшее использование подвижного состава
(пассажирских локомотивов и вагонов), станционных и вокзальных устройств, что
достигается составлением рациональных графиков оборота составов в пунктах
приписки и оборота, сокращением стоянок поездов в пути, разработка эффективного
технологического процесса работы станции и вокзала
правильное сочетание пассажирского и грузового
движения (расположение на графике пассажирских поездов не должно нарушать
равномерности прокладки грузовых, особенно на линиях, где грузовые перевозки
преобладают); специализация параллельных линий преимущественно для пассажирских
или грузовых перевозок при рациональном соотношении скорости обоих видов
движения; правильный подбор типов локомотивов
организация пассажирских перевозок на
специализированных высокоскоростных магистралях
координация всех видов транспорта для наибольшей
согласованности в их работе; организация смешанных железнодорожных, речных,
морских, автомобильных и воздушных перевозок
экономичность перевозок, снижение их
себестоимости и повышение производительности труда работников, связанных с
перевозками пассажиров
постоянное совершенствование технических средств
и технологии всех звеньев процесса пассажирских перевозок.
Железные дороги должны обеспечивать потребность
населения в пассажирских перевозках, безопасность пассажиров при пользовании
железнодорожным транспортом, необходимые удобства для пассажиров, культурное
обслуживание их на вокзалах и в поездах, своевременную перевозку и сохранность
багажа и пассажиров. Работники железных дорог должны быть вежливыми и
предупредительными к пассажирам, принимать меры к устранению недостатков в их
обслуживании независимо от того, по чьей вине из работников транспорта они
допущены.
1. ХАРАКТЕРИСТИКА ПАССАЖИРСКОЙ СТАНЦИИ А
Станция А является пассажирской
станцией сквозного типа и по объему работы отнесена к 1 классу (рис. 1.1).
Путевое развитие состоит из 7 приемоотправочных путей для пассажирских поездов
дальнего и местного следования: 1, 3, 4, 6, 7, 8, 9.
Для пропуска грузовых поездов,
а также для выполнения маневровой работы имеются три ходовых пути: 2, 5, 10.
Пути для отстоя пригородных
поездов расположены со стороны вокзала - это 15 и 16 пути.
Имеются также тупики для смены
локомотивов у транзитных пассажирских поездов и стоянки маневровых локомотивов:
11, 12, 13, 14.
На станции предусмотрены также
почтово-багажные устройства, расположенные со стороны пассажирского здания,
Для посадки и высадки
пассажиров перронные пути оборудованы высокими пассажирскими платформами - это
основная пассажирская платформа и три промежуточных платформы, длиной 600 м
каждая. Пассажирское здание и промежуточные платформы соединены для удобства
пассажиров 2 тоннелями.
С четной стороны к станции
примыкает технический парк, в котором расположены вагономоечная машина,
ремонтно-экипировочное депо, парк резервных составов, вагонное депо и пункт
газовой обработки вагонов.
На рисунке 1.2 показана
диаграмма пассажиропотока в дальнем и местном сообщении за последние 5 лет.
Рисунок 1.1. Схема пассажирской
станции А
.1 Структура управления
пассажирской станцией
В положении о железнодорожной
станции определены структура руководства, права и обязанности ответственных
административных лиц на станции.
Руководителем и организатором
всей работы пассажирской станции является ее начальник. Он назначается в
соответствии с установленной номенклатурой должностей. В состав руководства
пассажирской станции наряду с начальником входят первый заместитель по
оперативной работе, инженер станции, заместитель начальника станции по кадровым
вопросам (рис. 1.3).
Рисунок 1.2. Диаграмма
пассажиропотока по станции А
Рисунок 1.3. Структура управления
пассажирской станцией
Первый заместитель начальника
станции по оперативной работе обеспечивает выполнение технологического процесса
всего технологического цеха, пассажирской и технической станции. Заместитель
начальника станции по коммерческой работе руководит грузовой и коммерческой
работой, а также работой багажного цеха (отделения).
Инженер (главный инженер)
станции ведает вопросами техники безопасности и безопасности движения,
внедрения новой техники и передовой технологии, развитием хозяйства станции.
Заместитель начальника станции
по оперативной работе отвечает за выполнение сменных производственных заданий и
должностных обязанностей сменными руководителями, содержание стрелочного и
сигнального хозяйства, ведет контроль за оформлением технической документации,
занимается расстановкой людей по сменам на станции.
Маневровый диспетчер
пассажирской станции обеспечивает выполнение всей оперативной работы на
собственно пассажирской и технической станции (парке) по своевременному
формированию, подаче и выставке составов из парка в парк в соответствии со
сменно-суточными заданиями, руководит маневровой работой с пассажирскими и
грузовыми вагонами.
Дежурные по паркам технической станции выполняют
маневровую работу по указаниям маневрового диспетчера. Они несут
ответственность за обеспечение безопасности маневровых передвижений,
своевременное и правильное формирование поездов, за соблюдение правил техники
личной безопасности при производстве маневровой работы. Ответственность за
прием, отправление поездов и приготовление маневровых маршрутов несет дежурный
по станции, в помощь которому выделены дежурные по паркам, обеспечивающие
прием, отправление поездов и взаимодействие между пассажирскими и техническими
парками. Дежурный по станции, кроме общего руководства приготовлением поездных
и частично маневровых маршрутов, лично контролирует работу дежурных по паркам.
2. ТЕХНОЛОГИЯ РАБОТЫ ПАССАЖИРСКОЙ СТАНЦИИ А
.1 Устройства пассажирской
станций А
Пассажирская станция выполняет
большой объем работы по обслуживанию пассажиров и приему-отправлению
пассажирских поездов. Кроме того, выполняются следующие технические операции:
·
технический
осмотр составов пассажирских поездов;
·
смена
локомотивов у транзитных поездов (на тех станциях, где это предусмотрено
графиком движения);
·
экипировка
локомотивов и вагонов поездов, проходящих станцию транзитом;
·
на
некоторых станциях отцепка и прицепка вагонов к проходящим поездам, а также
переформирование составов;
·
уборка
на пути технического парка или технической станции составов поездов,
оканчивающих свое следование на данной станции, а также подача составов на
перронные пути под посадку пассажиров;
-отстой составов пассажирских
дальних и пригородных поездов в ожидании подачи под посадку.
Для выполнения перечисленных выше
операций на пассажирской станции имеются следующие устройства:
·
пассажирское
здание (вокзал) со всеми необходимыми помещениями для полного и
высококачественного обслуживания пассажиров, а также технические здания или
помещения в здании вокзала для работников станции;
·
пассажирские
платформы для удобной и безопасной посадки-высадки пассажиров; платформы для
перемещения почты, багажа и грузобагажа; переходы между зданием вокзала и
пассажирскими платформами и между отдельными платформами;
·
путевое
развитие для приема и отправления поездов, для стоянки отцепляемых вагонов
(служебных, багажных, почтовых и др.), для производства маневров и для отстоя
составов там, где это требуется по условиям движения поездов;
·
устройства
для снабжения локомотивов и вагонов водой.
2.2 Специализация парков и
путей пассажирской станции А
Основными условиями, которым
должна удовлетворять специализация парков и путей пассажирской станции
являются: обеспечение поточности для поездных маневровых передвижений; минимальная
затрата времени на маневры; равномерное распределение работы между маневровыми
районами; исключение или сокращение до минимума враждебных маршрутов;
обеспечение безопасности движения.
Для правильного распределения
работы необходимо произвести специализацию парков (путей) собственно
пассажирской станции; распределение путей в каждом парке по видам работ (прием
и отправление поездов), примыкающим линиям, направлениям движения (четное,
нечетное), категориям поездов (дальние, местные, пригородные); закрепление за
отдельными путями определенных номеров дальних, местных, пригородных поездов.
На рассматриваемой пассажирской
станции закрепление путей произведено по направлениям. Пути 1,3 и 4
предназначены для приема, обработки и отправления нечетных пассажирских поездов
дальнего и местного следования. Пути 7, 8 и 9 предназначены для обработки
четных пассажирских поездов. 6 путь предназначен для приема и отправления
нечетных и четных пригородных составов. Также выделены ходовые пути для
пропуска поездных и маневровых локомотивов, отстоя служебных вагонов и вагонов,
подготовленных для прицепки к транзитным поездам, для багажных и почтовых
вагонов. Имеются пути пропуска транзитных грузовых поездов.
2.3 Технология обработки
пассажирских поездов
На пассажирской станции порядок
выполнения операций по обработке составов и технологические нормы на их
производство во многом определяют использование пропускной способности станции,
потребность в подвижном составе, число работников, обслуживающих поезда и т.д.
Общим условием при обработке
всех прибывающих поездов является выполнение вспомогательных и подготовительных
операций до прибытия поезда на станцию. Для этого должна быть организована
предварительная информация станции о наличии в поездах свободных мест, количество
отгружаемого багажа и почты, необходимость ремонта вагонов или производства
других операций с прибывающими поездами.
2.3.1 Обработка транзитного
поезда без смены локомотива
Обработка транзитного поезда
без смены локомотива включает в себя технический осмотр поезда, смену
локомотивной бригады, сокращенное опробование автотормозов.
Продолжительность стоянок при
смене локомотивных бригад на станционных путях без отцепки локомотива
определяется в основном временем на приемку и сдачу локомотива бригадами и
опробованием автотормозов. Приемка и сдача осуществляется одновременно двумя
бригадами (принимающей и сдающей).
Операции по посадке-высадке
пассажиров, погрузке и выгрузке багажа и почты совмещаются с основной
лимитирующей операцией - сменой локомотивных бригад.
График выполнения операций при
смене локомотивных бригад на односекционном пассажирском электровозе
представлен на рис. 2.1.
При двухсекционном электровозе
операция по приему-сдаче увеличивается на 3 минуты.
Департаментом управления
перевозками установлены нормативы времени на техническое обслуживание составов
с пролазкой бригады и опробованием электропневматического тормоза в зависимости
от числа бригад осмотрщиков вагонов и числа вагонов в составе поезда, они
представлены в табл. 2.1.
|
№
п/п
|
Наименование
операции
|
Норма
времени на выполнение операции, мин
|
Время,
мин
|
Исполнитель
|
|
|
|
2
4 6 8
|
|
|
1
|
Снятие
ленты скоростемера или электронного модуля памяти
|
1,2
|
|
|
|
|
|
Сдающий
машинист
|
|
2
|
Заправка
ленты скоростемера или электронного модуля памяти
|
2,0
|
|
|
|
|
|
Принимающий
машинист
|
|
3
|
Прием
- сдача электровоза
|
7,0
|
|
|
|
|
|
Сдающая
и принимающая бригады
|
|
4
|
Получение
машинистом письменного предупреждения
|
1,0
|
|
|
|
|
|
Принимающий
машинист
|
|
5
|
Опробование
электропневматических тормозов (сокращенное)
|
3,0
|
|
|
|
|
|
Принимающий
машинист
|
|
6
|
Опробование
автотормозов (сокращенное)
|
3,0
|
|
|
|
|
|
Принимающий
машинист
|
|
7
|
Ожидание
отправления поезда
|
0,2
|
|
|
|
|
|
Принимающая
бригада
|
|
Bceго
|
9,7
|
|
|
|
|
|
|
Рисунок 2.1. Технологический
график выполнения операций при смене локомотивных бригад на односекционном
пассажирском электровозе
Таблица 2.1
Нормативы времени, мин, на
техническое обслуживание состава транзитного поезда
|
Число
вагонов в составе
|
Число
бригад осмотрщиков
|
|
1
|
2
|
3
|
|
1
|
2
|
3
|
4
|
|
10
|
20,54
|
10,27
|
6,58
|
|
11
|
22,59
|
11,29
|
7,53
|
|
12
|
24,60
|
12,30
|
8,20
|
|
13
|
26,70
|
13,30
|
8,90
|
|
14
|
28,76
|
14,38
|
9,59
|
|
15
|
30,81
|
15,90
|
10,27
|
|
16
|
32,86
|
16,43
|
10,95
|
|
17
|
34,92
|
17,46
|
11,64
|
|
18
|
36,97
|
18,48
|
12,32
|
|
19
|
39,03
|
19,51
|
13,01
|
|
20
|
41,08
|
20,54
|
13,69
|
|
21
|
43,13
|
21,56
|
14,38
|
|
22
|
45,19
|
22,59
|
15,06
|
|
23
|
47,24
|
26,62
|
15,74
|
|
24
|
49,30
|
24,65
|
16,43
|
2.3.2 Обработка транзитного
поезда со сменой локомотива
В этом случае обработка
транзитного поезда включает в себя следующие операции: посадка-высадка
пассажиров, погрузка-выгрузка багажа и почты, отцепка и прицепка поездного локомотива,
технический осмотр, опробование тормозов.
На станции смены локомотива
возможна также и частичная экипировка составов, включающая снабжение вагонов
водой и топливом.
График операций по обработке
транзитных поездов со сменой локомотивов и частичной экипировкой вагонов
показан на рис. 2.2.
2.3.3 Обработка транзитного
поезда с отцепкой (прицепкой) групп вагонов
Прицепляемая группа вагонов
должна быть заранее подготовлена к отправлению и поставлена на один из путей,
смежных с путями приема поезда. Технический осмотр этих вагонов и проба
тормозов от стационарной установки осуществляется до прибытия поезда. В
зависимости от расположения отцепляемой группы вагонов (в голове или хвосте)
поезд обрабатывается поездным или маневровым локомотивами. Прицепка групп
вагонов к составу может быть выполнена маневровым или поездным локомотивами.
Если вагоны, подлежащие
отцепке, находятся в хвостовой части состава, то поезд обрабатывается полностью
маневровым локомотивом. При этом выполняются следующие операции:
·
заезд
локомотива за группой;
·
отцепка
вагонов и постановка их на один из соседних путей;
·
заезд
локомотива за подготовленной заранее прицепляемой группой и ее перецепка.
Если же отцепляемые вагоны
находятся в голове поезда, то они могут отставляться на соседний путь прибывшим
поездным локомотивом. Прицепка группы вагонов к составу может быть выполнена
маневровым или отправляющимся поездным локомотивом. В таком же порядке
выполняются операции при перецепке вагонов от одного группового поезда к
другому.
Обработка транзитного
пассажирского поезда производится следующим порядком.
По выходе с соседней станции
оператор при ДСП извещает об этом диктора радиоузла и оператора ПТО, указывая
номер поезда и пути приема для оповещения о прибытии поезда пассажиров и
работников, участвующих в обработке поезда.
Обработка транзитного поезда
включает: технический осмотр, безот-цепочный ремонт вагонов, посадку и высадку
пассажиров, погрузку и выгрузку почты, прицепку и отцепку прицепных вагонов.
Дежурный парка прибытия делает
запись в журнале формы ВУ-14, указывая номер поезда, путь приема, время
предъявления (указывает время прибытия) и ставя свою подпись.
При одновременном прибытии
нескольких поездов очередность их технического обслуживания устанавливает
дежурный по станции.
На основании информации,
переданной по радио, бригада осмотрщиков выходит на пассажирскую платформу,
прилегающую к пути приема, для встречи прибывающего поезда. Осмотр вагонов
прибывающего на станцию поезда производится с ходу. Осматривая вагоны
движущегося поезда, осмотрщики-ремонтники визуально и на слух выявляют
неисправные редукторно-карданные приводы, дребезжание плохо закрепленных
деталей, заклиненные колесные пары. Номера вагонов, у которых обнаружены
неисправности, осмотрщики-ремонтники записывают в книгу предъявления вагонов к
осмотру.
После остановки поезда
осмотрщик по тормозам получает от локомотивной бригады информацию о работе
тормозов и о замеченных в пути следования неисправностях вагонов.
Техническое обслуживание
вагонов производится одной или двумя бригадами осмотрщиков-ремонтников (четного
и нечетного направлений).
Осмотрщики-ремонтники, получив
сообщение о подходе поезда, выходят к пути его приема. Одна группа, в составе
осмотрщика-ремонтника вагонов и осмотрщика-ремонтника по тормозам, направляется
к месту предполагаемой остановки хвостовой части поезда и располагается по обе
стороны поезда. Другая группа в таком же составе, как первая, располагается у
места остановки головного вагона.
|
№
п/п
|
Наименование
операций
|
Всего,
мин
|
Время,
мин 0 5 10 15
|
Исполнители
|
|
1
|
Выход
на платформу и путь приема работников ПТО, подготовка локомотива
|
5
|
|
|
|
|
|
Работники
ПТО
|
|
2
|
Осмотр
поезда с ходу
|
2
|
|
|
|
|
|
Работники
ПТО
|
|
3
|
Отцепка
и уборка прибывшего локомотива
|
3
|
|
|
|
|
|
Локомотивная
бригада, ДСП
|
|
4
|
Ограждение
поезда в установленном порядке
|
0,5
|
|
|
|
|
|
Работники
ПТО
|
|
4
|
Технический
осмотр и ремонт
|
15
|
|
|
|
|
|
Работники
ПТО
|
|
5
|
Снабжение
вагонов водой и топливом
|
15
|
|
|
|
|
|
Работники
КОП
|
|
6
|
Выгрузка
и погрузка багажа и почты
|
15
|
|
|
|
|
|
Приемосдатчики,
агент связи
|
|
7
|
Высадка
и посадка пассажиров
|
15
|
|
|
|
|
|
Проводники
|
|
8
|
Снятие
ограждения
|
0,5
|
|
|
|
|
|
Работники
ПТО
|
|
9
|
Подача
поездного локомотива и прицепка к составу
|
3
|
|
|
|
|
|
Локомотивная
бригада, ДСП
|
|
10
|
Смена
кабины управления локомотивом
|
2
|
|
|
|
|
|
|
|
11
Итого
|
Присоединение
воздушной магистрали состава к локомотиву и опробование тормозов
|
5
|
|
|
|
|
|
|
|
Итого
|
15
|
|
|
|
|
|
|
Рисунок 2.2. График операций по
обработке транзитных поездов со сменой локомотивов и частичной экипировкой
вагонов
После ограждения поезда
установленным порядком осмотрщики-ремонтники головной и хвостовой групп
приступают к осмотру и ремонту вагонов с двух сторон поезда, с головы и хвоста,
двигаясь к середине состава.
Осмотрщики-ремонтники по
тормозам, работающие в голове поезда, выясняют у машиниста локомотива состояние
и качество работы автотормозов и электропневматических тормозов и приступают к
их осмотру. В случае необходимости производят контрольное опробование тормозов.
Осмотрщики хвостовой части
после остановки поезда продувают магистраль через концевой кран хвостового
вагона, а затем начинают осмотр двигаясь к середине.
Обнаруженные при осмотре
неисправности в объеме текущего безотцепочного ремонта устраняются
осмотрщиками-ремонтниками за время стоянки поезда.
Если же неисправности устранить
в поезде не представляется возможным, тогда сменный мастер или старший
осмотрщик уведомляет по телефону дежурного по парку или дежурного по станции о
подаче вагона на путь ремонта или в депо для выполнения безотцепочного ремонта.
По окончании технического
обслуживания тормозов осмотрщики-ремонтники по тормозам, идущие со стороны
машиниста, производят полное опробование тормозов от локомотива и сокращенное
опробование электропневматических тормозов в соответствии с «Инструкцией по
эксплуатации тормозов подвижного состава ЦТ-ЦВ-ЦЛ-ВНИИЖТ-227».
После окончания полного
опробования тормозов в поезде головной осмотрщик-ремонтник по тормозам
составляет справку о тормозах формы ВУ-45 в двух экземплярах, один экземпляр
вручается машинисту.
Сменный мастер или старший
осмотрщик вагонов, получив сообщение об окончании технического обслуживания
поезда, докладывает о готовности пассажирского поезда дежурному по парку, а тот
докладывает дежурному по станции. После сдачи поезда сменный мастер или старший
осмотрщик расписывается в книге ВУ-14, находящейся у дежурного по парку, но не
позднее чем через 30 минут после отправления поезда.
Осмотр и ремонт вагонов поездов
с электроотоплением производится при разъединенных межвагонных высоковольтных
соединениях между локомотивом и первым вагоном и опущенном пантографе.
Параллельно указанным выше
операциям производится посадка и высадка пассажиров, погрузка и выгрузка багажа
и почты, снабжение продуктами вагона-ресторана.
Прицепка вагонов к транзитным
пассажирским поездам производится в соответствии с действующим графиком
движения поездов, а также приказами управления дороги.
Прицепные вагоны к транзитным
поездам заблаговременно предъявляются техническому осмотру оператором ПТО с
оформлением записи в настольном журнале и в книге ВУ-14 не позднее чем за 4
часа до прицепки вагона к поезду. Оператор ПТО согласно полученному им
плановому приказу сообщает старшему осмотрщику вагонов о необходимости осмотра
прицепного вагона. Старший осмотрщик вагонов направляет для осмотра прицепного
вагона осмотрщика-ремонтника. Осмотрщик-ремонтник после осмотра прицепного
вагона расписывается в журнале формы ВУ-14 и докладывает о готовности старшему
осмотрщику, который докладывает оператору ПТО. Оператор ПТО через дежурного по
парку уведомляет об окончании осмотра и готовности вагонов маневрового
диспетчера и дежурного по станции.
На рис. 2.3 и 2.4 приведены
графики операций по обработке транзитных поездов на станциях смены локомотивов
с отцепкой вагонов с головы и хвоста состава.
2.3.4 Обработка поезда по
прибытии и при отправлении на пассажирских станциях приписки и оборота составов
Технология обработки составов
на станции формирования (приписки) и на станциях оборота включает выполнение
операций: на перронных путях по прибытии, на перронных путях при отправлении.
На рис. 2.5 приведен график
обработки поезда маршрут которого заканчивается на станции, по прибытии.
Технология обработки поезда по
прибытии основывается на предварительной информации и заблаговременном
извещении о подходе поезда всех работников, участвующих в его обработке.
Обработка начинается с технического осмотра ходовых частей вагонов, выгрузки
багажа и почты, высадки пассажиров.
Уборка состава на техническую
станцию может быть выполнена прибывшим поездным локомотивом или маневровым
локомотивом, который подается к составу к моменту окончания всех операций на
пути приема.
На рис. 2.6 приведен график
обработки поезда на станции формирования при отправлении.
Операции по отправлению на
перронных путях включают: контрольный технический осмотр, списывание состава,
догрузку багажа и почты, посадку пассажиров, прицепку поездного локомотива и
опробование тормозов.
2.3.5 Нормирование стоянок
пассажирских поездов для выполнения пассажирских операций
Продолжительность стоянок
пассажирских поездов зависит от времени, необходимого для:
·
выполнения
технических операций с составом;
·
посадки
и высадки пассажиров;
·
выполнения
пограничных и таможенных процедур;
·
перестановки
тележек на пограничных станциях;
·
выполнения
почтово-багажных операций.
·
Общая
продолжительность операций при отправлении пассажирских поездов на начальных и
конечных станциях определяется затратой времени на посадку пассажиров в вагоны.
|
Операции
|
Время,
мин
|
Исполнители
|
|
|
0
5 10 15
|
|
|
Выход
на платформу и путь работников, участвующих в приеме поезда
|
5
|
|
|
|
|
|
Работники
ПТО
|
|
Осмотр
поезда с ходу
|
1,5
|
|
|
|
|
|
Работники
ПТО
|
|
Отцепка
локомотива от состава. Проезд локомотива
|
3
|
|
|
|
|
|
Локомотивная
бригада
|
|
Ограждение
поезда
|
0,5
|
|
|
|
|
|
Работники
ПТО
|
|
Техническое
обслуживание вагонов
|
7
|
|
|
|
|
|
Работники
ПТО
|
|
Высадка
и посадка пассажиров
|
10
|
|
|
|
|
|
Проводники,
ильщики
|
|
|
|
|
|
|
|
|
|
Получение
разрешения на маневровую работу. Заезд маневрового локомотива в хвост
|
5
|
|
|
|
|
|
Составитель
поездов, маневровая бригада
|
|
Прицепка
маневрового локомотива к составу с присоединением воздушной магистрали.
Проход составителя для прицепки, отцепки вагонов
|
2
|
|
|
|
|
|
Составитель
поездов
|
|
Отсоединение
цепей электроотопления вагонов. Отцепка вагонов и их отстановка
|
5
|
|
|
|
|
|
Составитель
поездов, маневровая бригада
|
|
Снятие
ограждения
|
0,5
|
|
|
|
|
|
Работники
ПТО
|
|
Проезд
локомотива к составу. Смена кабины управления
|
5
|
|
|
|
|
|
Локомотивная
бригада
|
|
Присоединение
воздушной магистрали состава к локомотиву. Опробование автотормозов. Отметка
в справке ф. В-45
|
8
|
|
|
|
|
|
Локомотивная
бригада
|
|
Общее
время
|
|
|
|
|
|
|
Рисунок 2.3. График операций по
обработке транзитных поездов на станциях смены локомотивов при отцепке вагонов
с хвоста состава
|
Операции
|
Время,
мин
|
Исполнители
|
|
0
5 10 15
|
|
|
Выход
на платформу и путь работников, участвующих в приеме поезда
|
5
|
|
|
|
|
|
Работники
ПТО
|
|
Осмотр
поезда с ходу
|
1,5
|
|
|
|
|
|
Работники
ПТО
|
|
Отцепка
локомотива от состава. Проезд локомотива
|
3
|
|
|
|
|
|
Локомотивная
бригада
|
|
Получение
распоряжения на маневровую работу. Заезд маневрового локомотива в голову состава
|
3
|
|
|
|
|
|
Составитель
поездов, маневровая бригада
|
|
Проход
составителя к отцепляемым вагонам. Отсоединение цепей электроотопления группы
вагонов от состава
|
3
|
|
|
|
|
|
Составитель
поездов
|
|
Прицепка
маневрового локомотива к отцепляемым вагонам. Отцепка вагонов от состава,
отстановка вагонов от состава
|
3
|
|
|
|
|
|
|
|
Доклад
о выполнение маневровой работы
|
0,5
|
|
|
|
|
|
|
|
Ограждение
поезда
|
0,5
|
|
|
|
|
|
Работники
ПТО
|
|
Техническое
обслуживание вагонов
|
7
|
|
|
|
|
|
Работники
ПТО
|
|
Высадка
и посадка пассажиров
|
10
|
|
|
|
|
|
Проводники,
носильщики
|
|
Снятие
ограждения
|
0,5
|
|
|
|
|
|
Работники
ПТО
|
|
Проезд
локомотива к составу. Смена кабины управления
|
3
|
|
|
|
|
|
Локомотивная
бригада
|
|
Присоединение
воздушной магистрали состава к локомотиву. Опробование автотормозов. Отметка
в справке ф. В-45
|
4,5
|
|
|
|
|
|
Локомотивная
бригада
|
|
Общее
время
|
20
|
|
|
|
|
|
|
Рисунок 2.4. График операций по
обработке транзитных поездов на станциях смены локомотивов при отцепке вагонов
с головы состава
|
Операции
|
Время,
мин
|
Исполнители
|
|
|
0
5 10 15
|
|
|
Выход
на платформу и путь работников, участвующих в приеме поезда
|
5
|
|
|
|
|
|
Работники
ПТО, носильщики
|
|
Осмотр
поезда с ходу. Взятие и укладка тормозного башмака
|
5
|
|
|
|
|
|
Работники
ПТО, ДСПП
|
|
Высадка
пассажиров
|
15
|
|
|
|
|
|
Проводники,
носильщики
|
|
Отцепка
и уборка поездного локомотива, ограждение поезда
|
5
|
|
|
|
|
|
Локомотивная
бригада, ДСПП
|
|
Технический
осмотр
|
12
|
|
|
|
|
|
ДСП,
составительская бригада
|
|
Прицепка
маневрового локомотива, изъятие тормозного башмака
|
2
|
|
|
|
|
|
Маневровая
бригада, ДСПП
|
|
Уборка
состава на техническую станцию
|
3
|
|
|
|
|
|
Составительская
бригада, ДСП
|
|
Общее
время
|
20
|
|
|
|
|
|
|
Рисунок 2.5. График обработки
поезда маршрут которого заканчивается на станции, по прибытии
Для правильной организации
посадки необходимо соблюдение следующих основных условий:
-своевременная подача состава
под посадку;
·
организация
информации пассажиров о начале посадки, расположении вагонов в составе, номере
пути и платформы;
·
рациональная
специализация проходов и платформ, обеспечивающая поточность движения
пассажиров;
·
разметка
на платформах номеров вагонов для ориентации пассажиров;
·
четкая
работа поездной бригады.
|
Операции
|
Время,
мин
|
Исполнители
|
|
|
0
5 10 15 20 25
|
|
|
Выход
на платформу и путь работников, участвующих в отправлении поезда
|
5
|
|
|
|
|
|
|
|
Работники
ПТО, носильщики
|
|
Подача
состава на путь отправления
|
5
|
|
|
|
|
|
|
|
Составительская
бригада
|
|
Контрольная
проверка состава
|
15
|
|
|
|
|
|
|
|
Оператор
|
|
Подача
и прицепка почтового и багажного вагонов
|
7
|
|
|
|
|
|
|
|
ДСП,
составительская бригада
|
|
Посадка
пассажиров
|
25
|
|
|
|
|
|
|
|
Проводники,
носильщики
|
|
Прицепка
поездного локомотива, подключение электроотопления, опробование автотормозов
и отправление поезда
|
10
|
|
|
|
|
|
|
|
Локомотивная
бригада, поездной электрик
|
|
Общее
время
|
28
|
|
|
|
|
|
|
|
|
Рисунок 2.6. График обработки
поезда при отправлении
Минимально необходимая
продолжительность стоянки пассажирского поезда для операций по посадке
пассажиров на начальных и конечных станциях определяется по формуле:
, мин (2.1)
где
- число мест в вагоне при
максимальной вместимости, пас;
tnoc - среднее
время на посадку одного пассажира в вагон, с;
п - число открываемых тамбуров
в вагоне;
Lnp - среднее
расстояние прохода пассажира к вагону, м;
Vnac - скорость
движения пассажира, м/с;
tок - промежуток
времени от окончания посадки (от момента обращения проводника к провожающим с
просьбой покинуть вагон) до отправления поезда, с.
Продолжительность высадки пассажиров
из поезда зависит от населенности поезда, категории вагонов, высоты платформ и
количества ручной клади.
Время стоянки пассажирского поезда
для операций по высадке пассажиров определяется по формуле
, мин (2.2)
где
- число мест в вагоне при
максимальной вместимости, пас;
tвыc - среднее
время на высадку одного пассажира, с (при низкой платформе 2 - 5 с, при высокой
2 - 3 с);
п - число открываемых тамбуров
в вагоне;
tок.выс - промежуток
времени от окончания высадки пассажиров до отправления поезда, с.
Нормативы времени на посадку и
высадку пассажиров на станциях формирования и оборота пассажирских поездов
приведены в табл. 2.2.
При погрузке-выгрузке багажа и почты
время на операции определяется из расчета на 1 т багажа (18 - 20 мест) с
применением поддонов и погрузчика - 10 мин, вручную при работе двух грузчиков -
21 мин.
Нормативы продолжительности стоянок
поездов при погрузке-выгрузке багажа и почты в зависимости от числа операций на
1 вагон приведены в табл. 2.3.
Таблица 2.2
Минимальная продолжительность
стоянки пассажирского поезда
|
Число
пассажиров
|
Продолжительность
стоянки поезда, мин
|
|
Низкая
платформа
|
Высокая
платформа
|
|
посадка
|
высадка
|
посадка
|
высадка
|
|
1
|
2
|
3
|
4
|
5
|
|
1
|
15,0
|
2
|
15,0
|
2,05
|
|
1-5
|
16,0
|
2,5
|
16,0
|
2,25
|
|
6-10
|
16,0
|
3,0
|
16,0
|
2,5
|
|
11-15
|
17,0
|
3,5
|
16,0
|
3,0
|
|
16-20
|
17,0
|
4,0
|
16,0
|
3,0
|
|
21-25
|
18,0
|
4,0
|
17,0
|
3,5
|
|
26-30
|
18,0
|
4,5
|
17,0
|
3,5
|
|
31-35
|
19,0
|
5,0
|
17,0
|
4,0
|
|
36-40
|
19,0
|
5,5
|
17,0
|
4,0
|
|
41-45
|
20,0
|
6,0
|
18,0
|
4,0
|
|
46-50
|
20,0
|
6,5
|
18,0
|
4,5
|
|
51-55
|
21,0
|
7,0
|
18,0
|
4,5
|
|
56-60
|
21,0
|
7,0
|
18,0
|
5,0
|
|
61-65
|
22,0
|
7,5
|
19,0
|
5,5
|
|
66-70
|
22,0
|
8,0
|
19,0
|
5,5
|
|
71-75
|
23,0
|
8,5
|
19,0
|
6,0
|
|
76-80
|
23,0
|
9,0
|
19,0
|
6,0
|
|
81-85
|
24,0
|
9,0
|
20,0
|
6,5
|
|
86-90
|
24,0
|
9,5
|
20,0
|
6,5
|
|
91-95
|
25,0
|
10,0
|
20,0
|
7,0
|
|
96-100
|
25,0
|
10,0
|
20,0
|
7,0
|
Таблица 2.3
Минимальная продолжительность
стоянки пассажирского поезда при погрузке-выгрузке багажа и почты
|
Продолжительность
стоянки поезда по операциям, мин
|
|
Почтовые
отправки
|
Багаж
и грузобагаж
|
|
Число
мест
|
низкая
платформа
|
высокая
платформа
|
Число
мест
|
низкая
платформа
|
высокая
платформа
|
|
|
погруз
ка
|
выгрузка
|
погрузка
|
выгрузка
|
|
погрузка
|
выгрузка
|
погрузка
|
выгрузка
|
|
|
1
|
0,10
|
0,08
|
0,08
|
0,07
|
1
|
0,30
|
0,30
|
0,17
|
0,17
|
|
|
1-5
|
1
|
1
|
1
|
1
|
1-5
|
2
|
2
|
1
|
1
|
|
|
6-10
|
1
|
1
|
1
|
1
|
6-10
|
3
|
3
|
2
|
2
|
|
|
11-15
|
2
|
1
|
1
|
1
|
11-15
|
4,5
|
4,5
|
2,5
|
2,5
|
|
|
16-20
|
2
|
1
|
1
|
1
|
16-20
|
6
|
6
|
3,5
|
3,5
|
|
|
21-25
|
2
|
1
|
1
|
1
|
21-25
|
7,5
|
7,5
|
5
|
5
|
|
|
26-30
|
2
|
1
|
1
|
1
|
26-30
|
9
|
9
|
5,5
|
5,5
|
|
31-35
|
2
|
2
|
1
|
1
|
31-35
|
10,5
|
10,5
|
6,5
|
6,5
|
|
36-40
|
2
|
2
|
2
|
2
|
12
|
12
|
7
|
7
|
|
41-45
|
3
|
2
|
2
|
2
|
41-45
|
13,5
|
13,5
|
8,5
|
8,5
|
|
46-50
|
3
|
2
|
2
|
2
|
46-50
|
15
|
15
|
9,5
|
9,5
|
|
54-55
|
3
|
2
|
2
|
2
|
51-55
|
16,5
|
16,5
|
10
|
10
|
|
56-60
|
3
|
3
|
2
|
2
|
56-60
|
18
|
18
|
11
|
11
|
|
61-65
|
4
|
3
|
3
|
3
|
61-65
|
19,5
|
19,5
|
12,5
|
12,5
|
|
66-67
|
4
|
3
|
3
|
3
|
66-67
|
21
|
21
|
13
|
13
|
|
71-75
|
4
|
3
|
3
|
3
|
71-75
|
22,5
|
22,5
|
14
|
14
|
|
76-80
|
4
|
3
|
3
|
3
|
76-80
|
24
|
24
|
15
|
15
|
|
81-85
|
5
|
4
|
3
|
3
|
81-85
|
25,5
|
25,5
|
16
|
16
|
|
86-90
|
5
|
4
|
3
|
3
|
86-90
|
27
|
27
|
17
|
17
|
|
91-95
|
5
|
4
|
4
|
4
|
91-95
|
28,5
|
28,5
|
18
|
18
|
|
96-100
|
5
|
4
|
4
|
4
|
96-100
|
30
|
30
|
19
|
19
|
|
|
|
|
|
|
|
|
|
|
|
|
|
|
|
|
|
3. СТРУКТУРА УПРАВЛЕНИЯ ВОКЗАЛОМ НА ПАССАЖИРСКОЙ
СТАНЦИИ А
Вокзал может иметь различные структурные
подразделения. Основные из них: билетно-кассовый цех, справочно-информационная
служба, багажное отделение, камеры хранения ручной клади, комната отдыха
транзитных пассажиров, комната матери и ребенка (КМ и Р). Помимо этого в состав
вокзалов (кроме малых) дополнительно могут включаться группы учета и отчетности
(ГУО), ремонтные подразделения и другие службы. На арендных началах на вокзалах
размещаются кассы аэрофлота, предприятия бытового обслуживания и общественного
питания (почта, телефон, парикмахерские, буфеты, кафе и др.).
Организационная структура управления вокзалом
приведена на рис 3.1.
В настоящее время регламентируют работу вокзалов
следующие документы:
− Правила технической эксплуатации
железных дорог Республики Казахстан (ПТЭ);
− типовой технологический процесс работы
вокзалов;
− межгосударственные и государственные
стандарты строительных норм и правил, санитарных норм и правил, норм пожарной
безопасности;
Рисунок 3.1. Организационная структура
управления вокзалом
− технический регламент оснащенности
железнодорожных вокзалов (подготовлен ЗАО «Трансконсалт» и утвержден
Департаментом пассажирских сообщений);
− отраслевые нормы технологического
проектирования железнодорожных вокзалов для пассажиров дальнего следования.
В соответствии с этими документами управление
работой вокзала базируется на технологическом процессе, который объединяет все
отдельные операции, выполняющиеся на вокзале.
Порядок работы каждого руководителя и
исполнителя, взаимодействие их с другими работниками вокзала предусматривается
в инструкционно-технологических картах (или должностных инструкциях) работников
каждой профессии.
.1 Технологический процесс работы вокзала
Технологический процесс работы вокзала должен
предусматривать прогрессивную систему оформления проездных документов пассажира
и перевозки багажа и обеспечивать культурное обслуживание пассажиров.
При составлении технологического процесса
вокзала обязательными являются следующие положения:
− четкая специализация работы каждого
подразделения вокзала;
− рациональная последовательность и
минимальные затраты времени на выполнение операций, высокая производительность
труда работников;
− правильная планировка помещений
(билетных касс, справочного бюро, камер хранения и багажных отделений),
обеспечивающая прохождение пассажиров без встречных и пересекающихся потоков;
автоматизация и механизация производственных процессов;
− введение рациональных графиков работы
билетных касс, справочных бюро и багажных отделений;
− ускорение обслуживания пассажиров и
максимальное удовлетворение их запросов;
− изучение и внедрение передовых методов
работы вокзалов;
− максимальное совмещение профессий
отдельных категорий работников.
Технологический процесс работы вокзала имеет
следующие основные разделы:
− производственная и техническая
характеристика вокзала, содержащая данные об объеме работы и его техническом
оснащении;
− организация продажи билетов,
справочно-информационная работа на вокзалах, организация пассажиропотоков на
вокзале и на платформах;
− организация работы камер хранения и
багажного отделения;
− уборка помещений вокзала, привокзальной
территории и платформ;
− оперативное планирование работы вокзала;
− культурно-бытовое обслуживание
пассажиров.
Технологический процесс работы вокзала
определяется объемом и характером работы, а также техническими средствами
освоения этого объема.
.2 Производственная и техническая характеристика
вокзала
Производственная характеристика вокзала содержит
следующие данные:
− число отправленных пассажиров за каждый
месяц, по сообщениям с выделением транзитных пассажиров, в пригородном
сообщении - по дням недели и часам суток;
− размеры пассажирского движения по видам
сообщения на летний и зимний периоды;
− объемы переработки багажа и грузобагажа
по прибытию, отправлению и транзиту;
− количество ручной клади, принимаемой в
камеры хранения за сутки.
Техническая характеристика вокзала включает:
− схематический план привокзальной площади
и вокзала с указанием расположения путей, платформ и основных помещений, их
характеристики (площадь, объем, оборудование);
− сведения о применяемых на вокзале
средствах автоматизации и механизации;
− данные об устройствах связи (внутренней
и внешней).
.3 Организация пассажиропотоков
На вокзале различают следующие основные потоки
пассажиров:
пассажиры
отправления, для которых вокзал - начальный пункт движения по железной дороге;
они при следовании от привокзальной площади до платформ для посадки в вагоны
широко пользуются помещениями вокзала (для наведения справок, покупки билетов,
кратковременного ожидания поездов и т.п.). Для пассажиров, купивших билеты
предварительно, предусматривают кратчайшие пути (минуя помещения вокзала) от
привокзальной площади непосредственно на платформы;
пассажиры прибытия стремятся пройти кратчайшим
путем с платформы на привокзальную площадь. Часть пассажиров пользуется
камерами хранения, справочными бюро, санитарно-бытовыми помещениями и др.;
пассажиры транзитные находятся на вокзале
наиболее длительное время и пользуются почти всеми пассажирскими помещениями,
являясь сначала пассажирами прибытия, а после оформления проездных документов -
пассажирами отправления;
пассажиры проходящих поездов дальнего следования
пользуются вокзальными помещениями сравнительно редко и кратковременно.
На вокзале соблюдают следующие основные
требования организации движения потоков пассажиров и багажа:
− возможно полное разделение потоков
пассажиров по категориям (дальние, пригородные) и направлениям движения
(отправление, прибытие) на привокзальной площади, в пассажирских зданиях, на
вокзальных переходах и пассажирских платформах, а также разделение движения
потоков пассажиров и багажа;
− пути следования потоков должны быть
безопасными, удобными и возможно короткими без пересечений и встречных движений
в одном уровне;
− сведение к минимуму излишних подъемов и
спусков, а также пересечений пристанционных путей железнодорожного транспорта с
потоками пассажиров и багажа в одном уровне;
− расположение устройств и помещений
вокзала с учетом рациональной технологической последовательности совершаемых
пассажирских операций, исключающее возвратные движения и чрезмерное
сосредоточение пассажиров в отдельных местах вокзала.
Предусматривают четкое зонирование и отделение
шумных операционных помещений (справочных бюро, касс, вестибюлей и т.п.) от
более тихих и спокойных помещений (залы ожидания. комнаты матери и ребенка и
т.п.).
Организация пассажиропотоков, обеспечивающая
поточность основных операций по отправлению и прибытию пассажиров, показана на
рис. 3.2.
Рисунок 3.1. Организация маршрутов потоков
пассажиров на вокзалах: а - посадка пассажира и приобретение билетов; б -
прибытие пассажира в поезде
.4 Основные расчетные параметры вокзалов
Нормирование вокзала ведут в зависимости от
расчетного годового потока пассажиров отправления Пврасч.год
и расчетной вместимости вокзала Nврасч.год , которые
определяют отдельно для дальних (включая местных) и пригородных пассажиров.
Пврасч.год определяют для
малых, средних и больших вокзалов дальнего следования, а также пригородных на
10-й год эксплуатации вокзала после окончания его строительства
(реконструкции), для крупных - не менее 15 лет.врасч.год
определяют числом пассажиров отправления, прибытия, провожающих и встречающих,
которые могут одновременно разместиться в помещениях пассажирского здания
(павильона) вокзала (при соблюдении нормативных условий обслуживания и площадей
помещений на одного расчетного пассажира).
Для вокзала, обслуживающего дальних (местных)
пассажиров, расчетный поток определяют за расчетные сутки:
, пасс/сут(3.1)
для вокзала, обслуживающего
пригородных пассажиров - за расчетный час:
, пасс/час(3.2)
где С - среднесуточный за расчетный
год поток пассажиров отправления с вокзала;
к1 - коэффициент сезонной
неравномерности, учитывающий изменение среднесуточных потоков пассажиров за три
наиболее нагруженных месяца года по сравнению с С (для вокзалов дальнего
следования 1,1-1,3; для пригородных - 1,0-1,2; относительное большее значение
коэффициентов принимают для вокзалов, расположенных на курортах, в местах
массового отдыха, исторических и т. п., уточняют по местным условиям);
к2 - коэффициент,
учитывающий пассажиров прибытия, а также встречающих и провожающих (для
вокзалов дальнего следования 1,1-1,25);
к3 - коэффициент суточной
неравномерности, учитывающий изменение суточных потоков пассажиров по двум наиболее
загруженным дням недели (например,
или
) по сравнению со среднесуточным
потоком С (для вокзалов дальнего следования 1,0-1,15); для пригородных
1,1-1,25);
к4 - коэффициент часовой
неравномерности, учитывающий колебания пригородного пассажиропотока отправления
в течение суток (1,4-1,7);ч - количество часов в сутки, в течение
которых надлежит работать вокзалу (уточняют по местным условиям).
Расчетная вместимость вокзала для
дальних пассажиров
, пасс(3.3)
где Н - нормы расчетной вместимости
вокзала в процентах от С (табл. 3.1); принимают (в пределах каждой ее градации)
более высокой для относительно малых значений С, при неравномерном распределении
потоков пассажиров в течение суток, отправлении поездов преимущественно в
ночное время, отсутствии предварительной продажи билетов.
4. РАСЧЕТ ЧИСЛА БИЛЕТНЫХ КАСС
Число билетных касс должно
обеспечивать полное и своевременное обслуживание пассажиров, приобретающих
проездные документы. В настоящее время используют два метода расчета потребного
количества билетных касс на вокзале:
ориентировочный, рекомендованный в
«Типовом технологическом процессе работы вокзала»;
детальный, основанный на применении
теории массового обслуживания и учитывающий качественные показатели
обслуживания пассажиров (длина очереди, время ожидания и др.).
По первому методу число билетных
касс на вокзале определяется исходя из общего числа пассажиров, отправляемых с
вокзала в день максимальных перевозок Ротпр, по данным первичной
отчетности о проданных билетах и материалах натурных наблюдений:
, (4.1)
где Рсут - суточный
пассажиропоток с учетом направлений специализации билетных касс (число проданных
билетов);
Кн - коэффициент
неравномерности перевозок;
Ксп - число направлений
специализации касс;
СН - суточная норма продажи билетов
одним кассиром (СН = КсмН, где Ксм - число смен; Н -
сменная норма продажи билетов одним кассиром).
Второй метод расчета числа билетных
касс, рассматриваемый ниже, позволяет получить более точные результаты.
Билетно-кассовые системы вокзала
относятся к многоканальным системам, имеющим несколько однородных групп каналов
обслуживания (специализированных по направлениям работы касс). Отдельные группы
специализированных по направлениям работы касс при допущении равновероятного
обращения к ним пассажиров можно рассматривать как одноканальные системы.
Доля пассажиров, приобретающих
билеты в суточных кассах на вокзале в день отправления поезда, αсут не
превышает 0,45 - 0,70 их общего числа.
Среднее число билетов β,
приходящееся на одного пассажира, обратившегося в кассу с запросом, составляет
1,3. Если учесть, что при обретении билета пассажиром в суточной кассе дата
поездки фиксирована, то общее число запросов в окончательном варианте
колеблется от трех до шести. При этом доля пассажиров, которым не удалось
приобрести билет, в среднем примерно составит γ = 0,15.
Прибывающий на вокзал поток
пассажиров считается пуассоновским с интенсивностью λ.
Интенсивность обращения пассажиров в кассы суточной продажи билетов λ,
соответствующая максимальному уровню загрузки вокзала, представляет собой
отношение числа обращений Пmax в кассы в
период «пик» к времени работы tсут касс в
течение рабочего дня:
. (4.2)
Коэффициент суточной неравномерности
(4.3)
Принимая распределение времени
обслуживания пассажира по показательному закону, минимально необходимое число
билетных касс на вокзале Smin определяем
из условия, что для обеспечения нормальной работы кассы коэффициент загрузки
кассира ϕ не должен
превышать значение 1:
или Smin › λtобсл, (4.4)
где Smin -
минимальное целое положительное число, удовлетворяющее решению данного
неравенства;
μ - средняя
интенсивность обслуживания пассажиров кассирами билетных касс.
Средняя интенсивность обслуживания
пассажиров кассами определится из следующего выражения:
, (4.5)
где S - число
билетных касс на вокзале;
tобсл - среднее
время обслуживания пассажира в системе «Экспресс-3».
Среднее время ожидания в очереди
.(4.6)
Среднее время, затраченное на
приобретение билета:
(4.7)
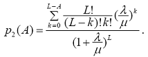
Из условия, что
, получаем
(4.8)
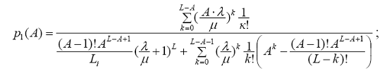
Потребное число касс на вокзале S
определяется как минимально целое положительное решение этого неравенства.
Среднее число пассажиров на вокзале,
ожидающих приобретение билетов:
p =φ /1−φ . (4.9)
Средняя длина очереди в одну кассу
(4.10)
По формулам 4.1-4.10 определим число
суточных билетных касс на вокзале и среднюю длину очереди у кассы в период
максимальных перевозок с условием, что время обслуживания пассажиров не должно
превышать Tmax = 20 мин. Отправление с вокзала в летний
период августа составляет ΣPотпрmax = 45333
пассажира. Доля пассажиров, приобретающих билеты в суточных кассах, αсут = 0,5.
Значения остальных показателей: β = 1,3; γ = 0,15; Кн
= 1,8. Тогда интенсивность обращений в кассы суточной продажи билетов:
пассажиров/ч = 25,6 пассажира/мин
Неравенство для определения числа
касс:
;
т.е. S ≥ 25,64. Следовательно,
оптимальное число билетных касс будет равно 26.
Коэффициент загрузки одного кассира
Средняя длина очереди в кассу
пассажира
Среднее время обслуживания пассажира
мин
< 20 мин
5. ЗАМЕНА БИЛЕТНЫХ КАСС НА
БИЛЕТОПЕЧАТАЮЩИЕ АВТОМАТЫ
Целью данного дипломного проекта
является развитие пассажирской станции. Я предлагаю в качестве мероприятия,
направленного на развитие пассажирской станции, замену билетных касс на
билетопечатающие автоматы (рисунок 5.1).
Рисунок 5.1. Современный
билетопечатающий автомат
Ответственными за работу билетопечатающих
автоматов приказом начальника станции назначаются специальные работники -
билетные кассиры, работающие в пригородных кассах, прошедшие обучение и знающие
устройство автоматов и настоящую Инструкцию. Ключи от автоматов билетные
кассиры передают сменяющему работнику под расписку в книге передачи дежурств.
В билетопечатающих автоматах операционные
счетчики опломбированы заводской пломбой. Снимать эту пломбу можно только при
ремонте счетчика в мастерских и на заводе. После ремонта счетчик должен быть
опломбирован пломбой ремонтной организации.
Денежная выручка в билетопечатающих автоматах
поступает в специальные монетосборники, которые пломбируются
кассиром-сборщиком. Взамен изымаемых из автоматов монетосборников с выручкой
устанавливается свободные монетосборники, также опломбированные
кассиром-сборщиком.
Ключи для изъятия монетосборника из автомата
хранятся у старшего билетного кассира. Комплект запасных ключей к автоматам
хранится в сейфе у начальника станции или вокзала.
Подготовка автоматов к работе и их действие
. Перед включением вновь поступивших
билетопечатающих автоматов необходимо снять показания (количество проданных
билетов) всех операционных суммирующих счетчиков и счетчиков сдачи. При этом
составляется акт в трех экземплярах, который подписывают начальник станции
(вокзала) или его заместитель, ревизор по контролю доходов, старший билетный
кассир и электромеханик. Первый экземпляр акта передается в группу учета и
отчетности станции, второй высылается в финансовую службу дороги, а третий -
начальнику финансового отдела отделения дороги. Билетные кассиры, обслуживающие
автоматы, должны знать принцип их действия, порядок продажи билетов, уметь
составлять отчетность и знать настоящую Инструкцию.
. Кассиры несут материальную ответственность в
соответствии с должностной инструкцией. Перед началом работы билетопечатающих
автоматов билетный кассир, обслуживающий эти автоматы, обязан проверить наличие
в них билетной ленты, заправить краской красящее устройство и установить на
дататоре соответствующую дату (число, месяц и год), проверить исправность
действия сигнальных ламп, наличие контрольной ленты, подписать ее, указав дату
и время, после чего отпечатать пробный билет (со звездочками) и закрыть
автомат.
Билет, полученный кассиром путем забрасывания
монет, также считается пробным. Пробные билеты кассир гасит (перечеркивает),
делая отметку на обороте билета, "Испорчен". Бланки испорченных
билетов прикладываются к отчету. Продажа пробных билетов со звездочками или
билетов, полученных при проверке работы автоматов путем забрасывания монет,
запрещается. Проверка на заброс монет производится при открытой передней дверце
автомата без поступления денег в монетосборник. Билетный кассир и механик
обязаны периодически проверять работу автоматов. Смену даты на дататоре кассир
производит в 00 ч 00 мин ежесуточно.
Сбор денежной выручки и учет проданных билетов
. Монетосборники из автоматов изымает комиссия в
составе старшего билетного кассира, кассира-сборщика и билетного кассира,
обслуживающего автоматы. Эта операция осуществляется не реже одного раза в
сутки, как правило, в дневное время в строго определенные часы, установленные
начальником станции, при наименьшем пассажиропотоке. Порядок изъятия
монетосборников из автоматов следующий:
Билетный кассир открывает автомат и, получив
доступ к контрольной ленте, не снимая ее, отмечает на ней время съема денежной
выручки (число и часы) и вместе со старшим билетным кассиром подписывает
сделанную отметку. После этого старший билетный кассир изымает из автомата
монетосборник и передает его кассиру-сборщику. Взамен от кассира-сборщика он
получает порожний опломбированный монетосборник, который и вставляет в автомат.
Допускается другой порядок съема выручки когда
деньги из изъятого монетосборника высыпаются в специальный мешок, имеющий тот
же номер, что и билетопечатающий автомат, а освободившийся монетосборник, вновь
запламбировывают и вставляют наместо.
В процессе съема выручки билетный кассир
заполняет под копировальную бумагу в двух экземплярах сборный лист формы ГУ-35.
Для автоматов типа АБ-2 заполняются графа 1 и две графы той зоны, до которой
работает данный автомат.
Кассир-сборщик проверяет наличие пломбы на
монетосборнике и называет шифр пуансона, обозначенный на пломбе, билетному
кассиру, который записывает шифр в графу 22 сборного листа, а в графу 23 - шифр
пуансона, обозначенный на пломбе вставляемого в автомат порожнего
монетосборника. После этого старший билетный кассир запирает автомат ключом.
Для автоматов типа АБ-3 заполняются графы
сборного листа 1, 3-16, 22, 23; для автоматов типа АБ-4 - графа 1, две графы
той зоны, до которой работает данный автомат, графы 17, 18, 22, 23; для
автоматов типа АБ-5 - графы 1, 2, 3-18, 22, 23.
Автоматы, имеющие бункера сдачи, пломбируются
шифром того же пуансона, которым запломбирован монетосборник.
Открывание и запирание автоматов всех типов,
проставление отметок в контрольной ленте, изъятие и установка монетосборников с
соответствующими записями в сборном листе производится так же, как и для
автоматов типа АБ-2.
. Во время изъятия денежной выручки из автоматов
принимаются меры к обеспечению полной ее сохранности. Ответственность за
сохранность выручки возлагается на кассира-сборщика.
Из монетосборников выручку извлекают комиссионно
в специально отведенном помещении. Кассир-сборщик в присутствии старшего
билетного кассира и билетного кассира снимает пломбу с монетосборника с
выручкой, сверяя при этом номер монетосборника с номером билетопечатающего
автомата. После этого подсчитываются монеты. Количество монет, фактически
оказавшихся в наличии, записывается в соответствующую графу сборного листа (по
типам автоматов). Итоговые суммы выручки автоматов типов АБ-2 и АБ-3
подсчитываются по графе 21, а автоматов типа АБ-4 и АБ-5 - по графе 20.
Количество и сумма неплатежных монет записываются в графах 24 и 25 (для всех
автоматов).
Примечание. Количество монет в бункерах
автоматов, выдающих сдачу, определяется начальником станции (вокзала). При
первой зарядке бункеров составляется акт произвольной формы с указанием
количества монет и суммы. При каждой инкассации денег из автоматов бункера
пополняются до суммы, указанной в акте.
. При изготовлении на дорогах бланков сборных
листов, книг продажи билетов билетопечатающими автоматами, сводных ведомостей
учета продажи билетов пригородного сообщения и месячной выручки по
билетопечатающим автоматам количество колонок в них для заполнения показаний
операционных счетчиков должно предусматриваться в соответствии с количеством
всех операционных зонных счетчиков в автоматах, применяемых на дороге.
Сборный лист подписывают кассир-сборщик, старший
билетный кассир и билетный кассир. Подписанный сборный лист вручается билетному
кассиру для заполнения книги продажи билетов формы ЛУ-36. На основании сбортого
листа билетный кассир в книге заполняет для автоматов типов АБ-2 и АБ-3 графы
1, 3-16, 19, 26, 30; графы 17, 18, 20, 27, 28, 29 заполняют работники группы
учета и отчетности станции. Для автоматов типов АБ-4, АБ-5 кассир заполняет
графы 1, 2, 3-16, 19, 21-26, 30; графы 18, 20, 27-29 заполняют работники группы
учета и отчетности станции.
. В случае недостачи денег работник группы учета
и отчетности совместно с ревизором по доходам повторно проверяет правильность
записей в сборном листе и в книге продажи билетов по показаниям контрольной
ленты. При подтверждении правильности записей комиссионно проверяется работа
автомата с участием ревизора по контролю доходов, электромеханика, старшего
билетного кассира и билетного кассира. Для этого производится заброс монет в
автомат в количестве 1/3 выручки данного автомата за данный съем. По
результатам проверки составляется акт в трех экземплярах с указанием причин
недостачи.
Перед проверкой составляется акт произвольной
формы в трех экземплярах на выключение автомата с указанием в нем учетных
данных. Контрольная лента должна быть снята, подписана старшим билетным
кассиром и билетным кассиром с указанием даты и времени снятия.
Первые экземпляры этих актов сдаются в группу
учета и отчетности, которая высылает их в финансовую службу дороги вместе с
месячным отчетом о продаже билетов; вторые экземпляры хранятся у старшего
билетного кассира, а третьи - у старшего электромеханика (электромеханика).
. При обнаружении излишних денег старший
билетный кассир после повторной проверки отчетных данных в книге продажи
билетов выписывает квитанцию разных сборов с указанием в ней даты, суммы
излишних денег и номера автомата. Квитанция сдается в группу учета и отчетности
станции, а номер квитанции для подтверждения того, что деньги сданы вместе с
выручкой кассиру-сборщику по сборному листу, записывается в книгу продажи
билетов.
В случае заявления пассажира о неправильной
работе автомата последний вскрывается комиссией, выручка изымается,
пересчитывается и лишние деньги возвращаются пассажиру на основании его
письменного заявления. Все случаи обнаружения недостачи или излишка денег в
автомате старший билетный кассир регистрирует в журнале технического осмотра с
указанием даты и номера автомата. Автомат, в котором обнаружены недостача или
излишек денег, должен быть немедленно проверен, а выявленные неисправности
устранены.
. Сводная ведомость продажи билетов пригородного
сообщения и учета месячной выручки формы ЛУ-40 составляется по истечении месяца
работниками группы учета и отчетности станции на основании данных книг продажи
билетов автоматами. Ведомость подписывается начальником станции (вокзала),
начальником группы учета и отчетности и представляется в финансовую службу в
установленные сроки.
.1 Расчет числа билетопечатающих автоматов для
продажи пригородных билетов
Потребное число автоматов для продажи проездных
билетов:
, (5.1)
где Pmax - максимальный
общий пригородный пассажиропоток, обслуживаемый за день максимальных перевозок,
чел.;
βa - часть
пассажиров, приобретающих билеты через автоматы (βa = 0,2 -
0,7);
αp -
коэффициент, учитывающий долю разовых билетов (αp = 0,2 −
0,5);
Пф - производительность
автомата ( Пф = 200 - 250 чел./ч).
Коэффициент βa зависит от
специфики конкретного вокзала. Коэффициент αр, кроме
того, зависит от сезона (зимой αр меньше),
дня недели (в воскресенье αр больше) и
даже времени суток (в час «пик» αр меньше, чем
среднесуточный).
Общий пригородный пассажиропоток по
станции и остановочному пункту может быть определен по данным отчетности либо
на основе натурного обследования отправлений пассажиров.
Приведенный порядок расчета не
учитывает вероятностный характер приобретения билетов пассажирами через
автоматы. Для более точных расчетов воспользуемся теорией массового
обслуживания.
Приобретение пассажирами билетов
через автоматы на вокзале можно рассматривать как одноканальную систему
массового обслуживания с пуассоновским входящим потоком с интенсивностью λ . Время
обслуживания пассажира автоматом tобс постоянно. Максимальная
интенсивность пригородного пассажиропотока, обслуживаемого через автоматы:
, (5.2)
где
- число пассажиров, отправленных за
«пиковый» период в сутки максимальных перевозок;
Δtпик -
длительность «пикового» периода.
Средняя интенсивность обслуживания
пассажира автоматом
μ = ПфА. (5.3)
Коэффициент загрузки автомата
.(5.4)
Среднее время обслуживания пассажира
автоматом
обс =1/ Пф.
(5.5)
Для используемых в настоящее время
автоматов средняя интенсивность обслуживания в среднем составляет 15 с.
Минимально необходимое число автоматов
на вокзале определяется из условия, что коэффициент загрузки автомата φ не должен
превышать единицы. Из этого условия минимально необходимое число автоматов
Аmin › λtобс.(5.6)
Среднее время ожидания пассажира в
очереди к автомату:
.(5.7)
Среднее время, затраченное на
приобретение билета:
.(5.8)
Из условия, что среднее время,
затраченное на приобретение билета не должно превышать допустимого времени Тдоп,
т. е. Т ≤ Тдоп, получаем
.(5.9)
Потребное число автоматов на вокзале
определяется как минимальное целое число, удовлетворяющее условию
.(5.10)
Если учесть, что автоматы время от
времени ломаются или их ставят на профилактический ремонт, то на вокзале
требуется установка L автоматов (L≥A).
Интенсивность потока отказов
автоматов
,(5.11)
где Тотк - средняя
наработка на отказ, т.е. среднее время работы автомата между двумя поломками.
Интенсивность потока отключения
автоматов для профилактического ремонта
, (5.12)
где Тпроф - среднее время
работы автомата от одного профилактического ремонта до другого.
Интенсивность потока восстановления
автоматов
, (5.13)
где Твос - среднее время
профилактического или обычного ремонта.
Суммарная интенсивность перехода
автоматов в неработоспособное состояние
λ = λотк +λпроф. (5.14)
Время безотказной работы и время
восстановления распределено по экспоненциальному закону.
В качестве критерия при выборе
общего числа автоматов берется вероятность p∗ = p(A) -
вероятность того, что при установившемся режиме работы системы в любой момент
времени работоспособными окажутся не менее А автоматов. При этом возможны два
режима включения автоматов:
«холодный резерв» - в любой момент
времени включено не более А автоматов;
«горячий резерв» - в любой момент
времени включены все работоспособные автоматы.
Первый вариант предпочтительней с
точки зрения минимизации общего числа автоматов в том случае, когда частота
поломок автоматов зависит только от времени их нахождения в включенном
состоянии и не зависит от частоты обращения к ним.
Вероятности нахождения в
работоспособном состоянии не менее А автоматов:
для «холодного резерва»
(5.15)
для «горячего резерва»
(5.16)
Вследствие того, что определение
вида явной зависимости L от p(A) не представляется возможным, рассчитывать L
следует методом последовательных приближений. Вначале рассчитывают p(A) -
вероятность безотказной работы А автоматов при отсутствии резервных автоматов.
Если эта вероятность меньше нормативно установленной вероятности p∗, то
рассчитывается p(A) - вероятность безотказной работы А автоматов при общем их
числе= A + 1 и т.д.
Процесс продолжается до тех пор,
пока вероятность р(А) при L = А + к не превысит p∗. В этом
случае общее число автоматов, необходимых для обслуживания пассажиров, равно L,
из них к - резервных.
Формулы для определения р(А) при L =
А, А + 1, А + 2 представлены в таблице 5.1.
Таблица 5.1
Формулы для расчета вероятности
безотказной работы
Среднее число пассажиров, ожидающих
приобретения билета:
.(5.17)
Средняя длина очереди к автомату
.(5.18)
Определим потребное количество
автоматов по продаже железнодорожных билетов и среднюю длину очереди к
автоматам с тем условием, чтобы пассажир затрачивал на приобретение билета не
более Т = 1 мин. В час максимальных перевозок с вокзала отправляется 2000 чел.
Часть пассажиров, приобретающих билеты через автоматы на данном вокзале, βa = 0,7.
Коэффициент, учитывающий долю разовых билетов, αð = 0,6.
Производительность автомата Пф = 200 чел/ч.
Максимальная интенсивность
пригородного пассажиропотока, обслуживаемого через автоматы, определится
чел/мин.
Время обслуживания tобс =
0,3 мин.
Потребное число автоматов на вокзале
Оптимальное число автоматов для
продажи билетов А = 5.
Коэффициент загрузки автомата
Средняя длина очереди в автомат
чел.
Среднее время, затрачиваемое на
приобретение билета:
мин
6. ЭКОНОМИЧЕСКАЯ ЭФФЕКТИВНОСТЬ
ЗАМЕНЫ БИЛЕТНЫХ КАСС НА БИЛЕТОПЕЧАТАЩИЕ АВТОМАТЫ
По результатам расчетов, проведенных
в 4 и 5 разделах имеющийся пассажиропоток должны обслуживать 26 билетных касс.
При внедрении 5 билетопечатающих
автоматов на станции останется необходимость в 7 билетных кассах.
Капитальные затраты на внедрение
автоматов при стоимости одного автомата (с проведением работ по их установке и
подключению к системе Экспресс 3) - 1,5 млн. тенге, составят:
К = 1,5 * 5 = 7,5 млн.тг
Эксплуатационные расходы на
обслуживание билетопечатающих автоматов и при использовании билетопечатающих
машин в билетных кассах примем одинаковыми, и учитывать в дальнейших расчетах
не будем.
Экономию от внедрения автоматов
получим за счет сокращения численности билетных кассиров.
билетных касс будут обслуживать 52
билетных кассира и 2 старших кассира при двухсменной работе.
При внедрении автоматов нам нужны
будут только 16 кассиров для билетных касс и два кассира для обслуживания
билетопечатающих автоматов.
Средняя зарплата билетного кассира
35 000 тенге.
Тогда в базовом варианте расходы на
зарплату составят:
* 35000 * 12 = 22680000 тенге в год
При использовании автоматов расходы
на зарплату составят:
18 * 35000 * 12 = 7560000 тенге в
год
Тогда экономия от использования
автоматов по продаже билетов составит:
- 7560000 = 15120000 тенге
Срок окупаемости данного проекта:
/ 15120000 ≈ 0,5 года = 6
месяцев.
Высвободившихся кассиров и
полученную прибыль предлагаю направить на создание сервис центра обслуживания
пассажиров на данном вокзале.
7. ОХРАНА ТРУДА
.1 Динамические характеристики
деятельности человека-оператора в эргатических системах
В более формализованном виде
трудовую деятельность можно представить как динамическую структуру,
осуществляющую преобразование материи, энергии и информации. Следовательно,
эргатическую систему можно рассматривать как сложную динамическую систему
управления. Известно, что характеристики динамической системы управления
определяются характеристиками составляющих её звеньев (см. п. 1.6). Наибольшее
значение в эргатической системе имеют динамические характеристики человека и
техники. Для одноконтурной системы управления (см. рис. 3) эти характеристики
определяются циклом регулирования.
Циклом регулирования называется
период полного оборота сигнала по контуру системы управления, т. е. от объекта
управления к человеку-оператору (осведомительная информация) и от него через
регуляторы обратно к объекту управления (командная информация).
Этот цикл определяется суммой
задержек информации в человеческом и машинном звеньях системы.
, (7.1)
где
- время задержки сигнала в машинных
звеньях,
;
- время
реакции человека,
; t1
- время прохождения сигнала через средства отображения информации (СОИ);
t2 - время на восприятие, переработку информации оператором и
принятие решения; t3 - время на выполнение управляющих
действий человеком-оператором; t4 - инерционное время
срабатывания органов управления на пульте управления.
Практика работы СЧМ показывает, что
цикл регулирования, используемый оператором в реальных условиях больше
теоретического на некоторую величину, называемую резервным временем. Наличие
этого времени вызвано занятостью оператора другими приборами и устройствами,
неподготовленностью его к восприятию информации, загрузкой его решением других
задач. Из-за этого возникают дополнительные задержки информации в человеческом
звене, а резервное время как раз и определяет ту границу, в пределах которой
эти задержки допустимы.
Поэтому при проектировании СЧМ и
трудовой деятельности операторов таких систем необходимо учитывать резервное
время
. (7.2)
Время задержки сигнала в
человеческом звене на порядок больше времени прохождения сигнала через машинные
звенья системы
>
,
следовательно цикл регулирования Tц зависит
прежде всего от человека. Человек с возможной для него максимальной скоростью
выполняет то или иное движение в ответ на заранее известный, но внезапно
поступивший сигнал. Время реакции человека складывается из латентного
(скрытого) периода реакции t2 и времени моторного ответа t3.
При современной тенденции роста скоростей движения и постоянно увеличивающемся
дефиците времени у человека исследование времени реакции на различные сигналы
приобретает большое практическое значение.
На время реакции в производственных
условиях оказывают влияние факторы как объективного, так и субъективного
характера.
На время реакции оказывает влияние тип
раздражителя и соответственно анализатора, принимающего сигнал (табл. 1).
Таблица 7.1
Значения латентного периода реакции
|
Раздражитель
|
Анализатор
|
Латентный
период, мс
|
|
Прикосновение,
вибрация
|
тактильный
|
90-220
|
|
Звук
|
слуховой
|
120-180
|
|
Свет
|
зрительный
|
150-220
|
|
Запах
|
обонятельный
|
310-390
|
|
Тепло,
холод
|
температурный
|
280-1600
|
|
Соленое,
сладкое, кислое, горькое
|
вкусовой
|
310-1080
|
|
Укол
|
болевой
|
130-890
|
Время реакции зависит от числа одновременно
решаемых задач, от сложности алгоритмов их решения, от степени обученности и
опыта работы человека-оператора, от психофизиологического состояния человека,
пола, возраста и других индивидуальных особенностей оператора. На время реакции
влияют также интенсивность сигнала, периодичность появления сигнала, его
информационное содержание.
Время реакции подвержено суточным колебаниям,
зависит от действия помех, фармакологических, токсических, наркотических и
отравляющих веществ.
Особенно важным для практики работы оператора
является реакция выбора, связанная с тем, что на поступивший сигнал оператор
должен реагировать не простым нажатием кнопки, а выбором одного из нескольких
органов управления.
Время движения оператора к органу управления t3
зависит от того, какие движения туловища, рук или ног приходится выполнять
человеку.
Время на преодоление свободного хода органа
управления t4 в каждом конкретном случае оценивается
самостоятельно. При конструировании переключателей, рукояток, педалей и т. п.
время на преодоление свободного хода стараются свести к минимуму.
.2 Пропускная способность человека-оператора
При эргономической оценке деятельности
человека-оператора, занятого в системе управления, большое значение имеет
пропускная способность оператора, и прежде всего его пропускная способность по
приему и переработке информации.
Прием информации
- совокупность психических процессов, с помощью которых осуществляется
восприятие человеком сигналов внешнего мира. Принято выделять 4 основных режима
работы оператора при приеме информации: 1) поиск и обнаружение сигналов
(выделение сигналов из шума), 2) различение сигналов; 3) идентификация
(установление тождества сигналов); 4) опознание - соотношение поступающих
сигналов с заданной системой эталонов или признаков с последующим
декодированием сигналов.
Органы чувств человека воспринимают ограниченное
количество информации, определяемое пропускной способностью человека.
Пропускную способность человека в некоторых случаях можно выразить в и унифицированных
единицах, например в битах. Уменьшение частоты поступления сигналов снижает активность
оператора и увеличивает его ошибки так же, как и увеличение количества
поступающей в систему информации.
Оценка согласованности потока
перерабатываемой информации пропускной способности человека является одной из
важнейших задач эргономики. Условие согласования количества информации,
поступающего к человеку
(бит) и
перерабатываемого им
(бит)
следующее


. (7.3)
Общее количество информации,
поступающей к человеку-оператору
, воспринимаемой им перерабатываемой
и передаваемой
, (7.4)
где
- информация, поступающая на
средства отображения информации (СОИ);
- речевая информация, поступающая
по селектору, телефону, радиосвязи или лично в виде указаний, разрешений,
приказов и т. п.;
-
письменная информация, поступающая в виде приказов, распоряжений, справок и т.
п.
В эргономике при проектировании
операторской деятельности с информационными моделями используют понятие потока
информации,
(бит/с),
определяемого
, (7.5)
где
- продолжительность рабочей смены,
с.
Пропускная способность (скорость
переработки) человека-оператора - наибольший объем принимаемой и
перерабатываемой информации, которую человек может пропустить «через себя» при
заданной технической оснащенности рабочего места и определенных знаниях и
умениях самого человека. Пропускная способность характеризует степень
приспособленности человека к потоку информации. Оптимальная скорость приема и
переработки информации V = 0,5 - 5 бит/с.
Условие согласования потока
информации, поступающего на средства отображения информации
и
перерабатываемого человеком-оператором
(бит/с) следующее
. (7.6)
Если
, то человек-оператор начинает
пропускать сигналы, задерживать их передачу или воспроизведение, т. е.
допускать ошибки, снижающие общую эффективность работы или вообще останавливающие
её.
Приняв поступающую информацию,
оператор, так или иначе, её обрабатывает, и в процессе обработки информации
решающая роль принадлежит памяти. Память - способность к воспроизведению
прошлого опыта, одно из основных свойств нервной системы, выражающееся в
способности хранить информацию о событиях внешнего мира и реакциях организма.
Память служит основой приобретения знаний, навыков и умений и их последующего
использования.
В зависимости от продолжительности
закрепления и сохранения запоминаемого материала различают долговременную,
кратковременную и оперативную память.
Долговременная память -
подсистема памяти, обеспечивающая длительное, соизмеримое с продолжительностью
жизни сохранение временных связей (умений и навыков). Долговременная память
устойчива к чрезвычайным воздействиям и не всегда доступна сознанию. Считается,
что ёмкость долговременной памяти практически неограниченна. Можно сказать, что
принцип действия долговременной памяти «запомнил-помню».
Кратковременная память -
подсистема памяти, обеспечивающая непродолжительное сохранение материала после
его восприятия.
Кратковременная память участвует:
в получении и обработке информации
извне;
в извлечении информации из
долговременной памяти;
в выработке адекватных реакций.
Кратковременная память считается
уязвимой к чрезвычайным воздействиям, которые приводят к ее нарушению и
развитию ретроградной амнезии. Принцип действия долговременной памяти
«запомнил-помню-забыл».
Оперативная память -
подсистема памяти, которая непосредственно включается в регулирование
деятельности человека для удержания и фиксации ее промежуточных результатов. По
мере продвижения к конечному результату этот промежуточный материал может
забываться. Оперативная память складывается из актуальных на данный момент образов,
поступающих из долговременной и краткосрочной памяти. Считается, что объем
оперативной памяти взрослого человека составляет
смысловые единицы. Принцип действия
оперативной памяти «запомнил-забыл», т. е. информация запоминается только на
период времени, который требуется для решения конкретной задачи.
В связи с ограниченным объёмом
оперативной памяти необходимо при подаче сигналов следовать следующим правилам:
· количество информации, поступающей к
человеку-оператору, должно соответствовать объему его оперативной памяти (
смысловые
единицы);
· так как информация к человеку-оператору
поступает в основном в закодированном виде, интервал между подачей порций
информации должен быть не менее времени, необходимого на раскодирование
сигнала;
· повышение надежности и скорости запоминания
сигналов может быть достигнуто путем сворачивания информации в крупные
информационные структуры, которые при необходимости можно легко развернуть и
раскодировать;
· для устойчивого запоминания информации
необходимо своевременно освобождать оперативную память от ставшей ненужной
информации.
Соотношение между видами памяти зависит от
характера решаемых задач, структуры деятельности оператора и степени важности
воспринимаемой и запоминаемой информации.
Пропускная способность является функцией
большого количества факторов. Она зависит от возможности органов чувств по
обнаружению, различению и опознанию сигналов, типа и характера решаемой задачи,
роли степени участия оператора в работе СЧМ, объёма и вида выводимой на
средства отображения информации, способа кодирования, значимости поступающих
сигналов, наличия помех, уровня тренированности, работоспособности, состояния
среды и других параметров.
В системах управления
«человек-машина-среда» человек и техническое средство выступают как союзники, и
их действия направлены на достижение общей цели. В связи с этим СЧМ удобно
рассматривать как систему массового обслуживания (СМО), потоком требований
(заявок) для которой, на уровне пооперационного анализа, могут быть элементы
алгоритма трудовой деятельности. Прибором, обслуживающим требования, является
человек-оператор. Тогда как в любой СМО оптимизируемыми показателями
функционирования такой системы могут быть среднее время нахождения требования в
ожидании обслуживания (
) и среднее
время нахождения требования в системе в целом (
).
Пропускную способность человека
оператора в такой системе может охарактеризовать коэффициент загрузки
человека-оператора Кз, значение которого для эргатических
систем диспетчерского типа не должно превышать 0,75-0,8 (в зависимости от
класса системы).
, (7.7)
где
- число требований, поступивших за
период трудовой деятельности;
- продолжительность периода
трудовой деятельности (рабочая смена);
- среднее время нахождения
требования в системе.
Если условие
не
выполняется, то сокращаются резервные возможности организма человека-оператора,
что приводит к снижению работоспособности и продуктивности трудовой
деятельности, увеличивает утомление и, соответственно, увеличивается количество
ошибок, цена которых в управляющих системах железнодорожного транспорта очень
высока.
Среднее время нахождения требования
в системе (
)
определяется по известной формуле теории массового обслуживания
, (7.8)
где
- среднее время обслуживания одного
требования в системе;
- среднее
время ожидания обслуживания требования в системе.
Как уже было сказано, требованием в
данном случае будет считаться любой элемент алгоритма трудовой деятельности
(элементарная операция или логическое условие). За среднее время обслуживания
одного требования в системе (
) можно принять математическое
ожидание времени обслуживания
определяемое по формулам
математической статистики
, (7.9)
где ti -
время обслуживания конкретного требования (заявки); pi - частота
встречаемости данного требования; n - общее число различных требований
по всем вариантам всех алгоритмов за весь период трудовой деятельности (смену).
Среднее время ожидания обслуживания
требования в системе зависит, прежде всего, от закона распределения
длительности времени обслуживания
. При этом работа ДСП во
взаимодействии с органами управления рассматривается как функционирование
одноканальной системы массового обслуживания с одним обслуживающим прибором.
Тогда среднее время ожидания обслуживания требования в системе определяется по
следующим формулам:
а) при показательном распределении
времени обслуживания
; (7.10)
б) при нормальном распределении
времени обслуживания
; (7.11)
в) при эрланговском распределении
времени обслуживания
; (7.12)
г) при произвольном распределении
времени обслуживания
; (7.13)
где
- средняя интенсивность потока
поступающих требований;
-
интенсивность обслуживания;
- загрузка системы массового
обслуживания,
;
-
коэффициент вариации времени обслуживания;
- параметр Эрланга;
По результатам расчета коэффициента
загрузки
делается
вывод о способности человека-оператора принять и переработать всю необходимую
информацию, выполнить управляющие все действия и, в случае необходимости,
делаются предложения по снижению
.
.3 Расчет вентиляции
Вентиляционные установки -
устройства, обеспечивающие в помещении такое состояние воздушной среды, при
котором человек чувствует себя нормально и микроклимат помещений не оказывает
неблагоприятного действия на его здоровье.
Для обеспечения требуемого по
санитарным нормам качества воздушной среды необходима постоянная смена воздуха
в помещении; вместо удаляемого вводится свежий, после соответствующей
обработки, воздух.
В данном подразделе будет произведен
расчет общеобменной вентиляции от избытков тепла.
Общеобменная вентиляция - система, в
которой воздухообмен найденный из условий борьбы с вредностью, осуществляется
путем подачи и вытяжки воздуха из всего помещения.
Количество вентиляционного воздуха
определяется по формуле
(7.14)
где
- выделение в помещении явного
тепла, Вт;
- теплоемкость воздуха (C=10
Дж/кг);
- удельная плотность воздуха ( =1.3
кг/м );
- температура удаляемого и
приточного воздуха, град.
Температура удаляемого воздуха
определяется из формулы:
(7.15)
где
- температура воздуха в рабочей зоне
(tрз=20 град);
- коэффициент нарастания
температуры на каждый метр высоты (d=1.5 град/м);
- высота помещения (h=4 м).
Отсюда =
= 23 град.
Количество избыточного тепла
определяется из теплового баланса, как разница между теплом, поступающим в
помещение и теплом, удаляемым из помещения и поглощаемым в нем.
, (7.16)
Поступающее в помещение тепло
определяется по формуле:
, (7.17)
где
- тепло от работы оборудования;
- тепло, поступающее от людей;
- тепло от источников освещения;
- тепло от солнечной радиации через
окна.
=

=
=
Вт, (7.18)
где
- доля энергии, переходящей в
тепло;
- мощность установки.
Вт (7.19)
где
- количество человек в зале (n=5);
- количество тепла, выделяемое
человеком (q=90 Вт).
Вт (7.20)
где
= 0.4 для люминесцентных ламп;
- мощность осветительной установки.
Вт (7.21)
где
- теплопоступление в помещение с 1
кв.м стекла (127-234 Вт/м );
- площадь окна (S=3 м );
- количество окон (m=3);
- коэффициент, учитывающий характер
остекления (k=0.8).
Из формулы (7.17) получаем
Вт
Вт (7.22)
Отсюда по формуле (7.16)
Вт.
Находим необходимый воздухообмен:
м/ч.
Определяем необходимую кратность
воздухообмена:
(7.23)
где
, (7.24)
- число людей в помещении;
- площадь производственного
помещения, приходящаяся
на 1 человека (по нормам для
умственного труда (Sчел=4 м );
м - высота помещения.
Кратность воздухообмена:
Произведем подбор вентилятора по
аэродинамическим характеристикам и специальным номограммам, составленным на
основе стендовых испытаний различных видов вентиляторов.
Исходными данными для выбора
вентилятора являются:
расчетная производительность
вентиляторов:
м/ч. (7.25)
где
- коэффициент, учитывающий утечки и
подсосы воздуха.
напор (полное давление),
обеспечиваемый вентилятором:
, (7.26)
где
=1.3 кг/м - плотность воздуха,
- окружная скорость вентилятора;
ограничивается предельно допустимым уровнем шума в помещении.
Для центробежных вентиляторов
низкого давления в помещениях с малым шумом
должна быть не более 35 м/с. Для
расчет примем
м/с.
Тогда
=406 Па.
По исходным данным выбираем
центробежный вентилятор низкого давления Ц4-70N5. По номограммам определяем его
характеристики:
число оборотов - 1000 щб/мин;
КПД вентилятора - 0,8.
Необходимая установочная мощность
электродвигателя:
Вт, (7.27)
где
-
вентилятора.
ЗАКЛЮЧЕНИЕ
Данный дипломный проект выполнен на
тему Развитие и переустройство пассажирской станции А.
Для достижения цели дипломного
проекта - развития станции - были рассмотрены следующие разделы:
характеристика пассажирской станции,
в котором дана характеристика путевого развития станции, рассмотрена схема
станции и построена диаграмма пассажиропотока;
технология работы пассажирской
станции, в котором рассматривается технология обработки пассажирских поездов различных
категорий, а также технология взаимосвязи пассажирской и технической станции;
Структура управления вокзалом на
пассажирской станции;
Расчет числа билетных касс, в этом
разделе были проведены расчеты, в результате которых выяснилось, что для обслуживания
имеющегося пассажиропотока на рассматриваемом вокзале необходимы 26 билетных
касс;
Деталью проекта является вопрос
замены билетных касс на билетопечатающие автоматы. После проведенных расчетов
выяснилось что тоже самое число пассажиров смогут обслужить 5 билетопечатающих
автоматов и 7 билетных касс.
Экономическая эффективность замены
билетных касс на билетопечатающие автоматы была найдена за счет сокращения
числа рабочих мест. Срок окупаемости данного проекта составил 0,5 лет.
Охрана труда. В данном разделе были
рассмотрены динамические характеристики деятельности человека-оператора в
эргатических системах вопросы, методы определения пропускной способности
человека-оператора и проведен расчет вентиляции в помещении дежурного.
СПИСОК ЛИТЕРАТУРЫ
1.
Боровикова М.С. Организация движения на железнодорожном транспорте: учебник для
техникумов и колледжей ж.-д. транспорта. - М.: Маршрут, 2003. - 368 с.
.
Голубцов В.И. Обновленные вокзалы Санкт-Петербурга // Железнодорожный
транспорт. - 2003.- №5.- С. 19-23.
.
Дмитренко А.В. Покацкая Е.В. Пассажирские перевозки в условиях перехода к рынку
// Железнодорожный транспорт. - 1994.-№4.-С. 2 - 10.
.
Дьяконов Ю.М. О мерах по качественному улучшению работы пассажирского комплекса
// Железнодорожный транспорт.- 2003.- №5.- С. 22-25.
.
Кочнев Ф.П., Сотников И.Б. Управление эксплуатационной работой железных дорог:
учеб. пособие для вузов. - М.: Транспорт, 1990. - 424 с.
.
Кочнев Ф.П. Пассажирские перевозки на железнодорожном транспорте: учебник для
вузов ж.-д. транспорта. -6-е изд., перераб. и доп.-М.: Транспорт, 1980. -496 с.
.
Макарова Е.А. Комплексы задач автоматизированной подсистемы регулирования
пассажирских перевозок АСУ «Экспресс-3»: методическое пособие.- М.: УМК МПС,
2002. - 56 с.
.
Организация железнодорожных пассажирских перевозок: учеб. пособие для студ.
учреждений сред. проф. образования / А.А. Авдовский, А.С. Бадаев, К.А. Белов и
др.; под ред. В.А. Кудрявцева. - М.: Издательский центр «Академия», 2004. - 256
с.
.
Пазойский Ю.О., Рябуха Л.С., Шубко В.Г. Организация пассажирских перевозок на
железнодорожном транспорте (в примерах и задачах)/ под ред. В.Г. Шубко. - М.:
Транспорт, 1991. - 240 с.
.
Пассажирские перевозки на железнодорожном транспорте: справочник / А.В.
Крейкин, Н.И. Узиков, Г.М. Фомин и др.; под ред. Г.М. Фомина. - М.: Транспорт,
1990. - 224 с.
.
Покацкая Е.В., Мокейчева И.А. Организация пассажирского движения на
железнодорожном направлении. Методические указания к курсовому и дипломному
проектированию по дисциплине «Управление эксплуатационной работой и качеством
перевозок» для студентов всех форм обучения специальности «Управление
процессами перевозок на железнодорожном транспорте»// ИрГУПС, 2001.
.
Правдин Н. В. и др. Технология работы вокзалов и пассажирских станций. - М.:
Транспорт, 1990.
.
Совершенствование пассажирских перевозок на железнодорожном транспорте/
А.А.Колесов, Б.А. Таулин, И.Н. Шапкин, В.Г. Шубко - М.: Транспорт, 1991. - 143
с.
.
Типовой технологический процесс работы вокзалов/ Главное пассажирское
управление МПС СССР. - М.: Транспорт, 1990.
.
Агафонов Е.П. Наладка систем промышленной вентиляции. М., 1978.
.
Баркалов Б.В., Карпис Е.Е. Кондиционирование воздуха в жилых, промышленных и
общественных зданиях. - М., Стройиздат, 1981.
.
Богословский В.Н., Щеглов В.П. Отопление и вентиляция. - М., Стройиздат, 1981.