Углеводородные газы

  • Вид работы:
    Реферат
  • Предмет:
    Физика
  • Язык:
    Русский
    ,
    Формат файла:
    MS Word
    61,84 Кб
  • Опубликовано:
    2015-07-11
Вы можете узнать стоимость помощи в написании студенческой работы.
Помощь в написании работы, которую точно примут!

Углеводородные газы














Реферат

Углеводородные газы

. Состав сжиженных углеводородных газов

Под СУГ понимают такие индивидуальные углеводороды или их смеси, которые при норм. условиях находятся в газообразном состоянии, а при относительно небольшом повышении давления без изменения температуры или незначительном понижении температуры при атмосферном давлении переходит в жидкое состояние.

При нормальных условиях из предельных углеводородов (Cn H2n+2) газами являются лишь метан, этан, пропан, и бутан. При О0С этан конденсируется в жидкость при повышении давления до 3 Мпа. Пропан до 0,47 Мпа, Н-бутан до 0,116 МПа, Изобутан до 0,16 МПа. Рассмотрим, какие углеводороды переходят в жидкое состояние при сравнительно небольшом понижении температуры и атмосферном давлении 4подходящей для практического применения являются пропан и бутан. На ряду с нормальными предельными углеводородами существуют изомерные соединения, отличающиеся характером расположения атомов углерода, а также некоторыми свойствами. Изомер бутана - изобутан.

Структура и ф-ла Н-бутана

СН3-СН2-СН2- СН3

Изобутан:


Помимо предельных в состав СУГ встречаются также группа ненасыщ. Или непредельных углеводородов, характеризуются двойной или тройной связью между атомами углерода. Это этилен, пропилен, бутилен (нормальный и изомерный). Общая формула непредельных углеводородов с двойной связью СnН2n. Этилен С2Н4 СН2=СН2. Для получения сжиженных углеводородных газов используется жирные природные газы, т.е. газы из нефтяных и конденсатных месторождений , содержащих большое количество тяжелых углеводородов. На газоперерабатывающих заводах их этих газов выделяются пропан-бутановую фракцию и газовый бензин(С5Н12). Технический пропан и бутан а также их смеси представляют собой сжиженный газ, используемый для газоснабжения потребителей.

Технические газы отличаются от чистых содержанием небольших количеств углеводорода и наличием примеси. Для технического пропана содержание С3Н8+С3Н6 (пропилен) д.б. не <93%. Содержание С2Н6 +С2Н4 (этилен) не > 4%. Содержание С4Н10+С4Н8 не >3%.

Для технического бутана: С4Н10+С4Н8 д.б. не <93%. С3Н8 +С3Н6 не> 4%. С5Н12+С5Н10 не >3%.

Для смеси тех. бутана и пропана содержание: С3Н8+С3Н6, С4Н10+С4Н8 д.б. не < 93%. С2Н6 +С2Н4 не> 4%. С5Н12+С5Н10 не >3%.

2. Технические сжиженные газы. Марки СУГ

Состав сжиженных газов, применяемых в газоснабжении выбираются с учетом климатических условий, где он используется. И определяется требованиями ГОСТ 20448 «Газы углеводородные сжиженные топливные для коммунально-бытового потребления. Технические условия». Состав подбирается так, чтобы при низких температурах зимой упругость паров смеси была достаточной для нормальной работы регуляторов. А при высоких температурах летом не превышала мах давления, на которые рассчитаны баллоны и резервуары для СУГ. Согласно ГОСТ давление насыщенных паров смеси д.б. не менее 0,16 МПа при t=+450C. Если сжиженный пропан может применяться при температурах от -35 до +45, то бутан в условиях с естественным испарением не м.б. использован при темературах ниже 0, хотя при t >0 он имеет значительное преимущество перед пропаном. Поэтому подбором состава сжиженного газа можно получать желаемые свойства.

ГОСТ на СУГ устанавливают 3 марки сжиженного газа:

1) Смесь пропана и бутана технических зимняя СПБТЗ

2)      Смесь пропана и бутана технических летняя СПБТЛ

)        Бутан технический

Деление смеси пропана и бутана на зимнюю и летнюю марки связано с наружными t-ми, определяющими упругость нас. паров сжиженных газов, находящихся в баллонах или подземных резервуарах.

Зимой в составе смеси д.б. больше пропана и пропилена, летом количество их м.б. уменьшено. С той же целью лимитируются мах содержание бутана и бутилена в смеси, т.к. при низких температурах они имеют малую упругость паров.

С учетом оптимальной упругости насыщенных паров ГОСТ предусматривает содержание пропана и пропилена в зимней марке не <75% по массе. А в летней марке и бутане техническим содержанием этих компонентов не нормируется. Сумма бутанов и бутиленов в зимней марке не нормируется, в летней не >60%, в бутане техническом не <60% по массе. Ограничение в составе сжиженных газов содержания лёгких компонентов (этан, этилен) связано с тем, что наличие значительного количества этих углеводородов приводит к резкому увеличению упругости паров. Например, при 350C упругость насыщенных паров этана достигает 4,9 МПа. В то же время наличие незначительного количества легких компонентов в сжиженном газе повышает общее давление насыщенных паров смеси, что обеспечивает в зимнее время нормальное газоснабжение потребителей.

Наличие значительного количества пентана также недопустимо, т.к. это приводит к резкому снижению давления насыщенных паров и повышению точки росы (t-ра конденсации пентана около 30C).

3. Свойство СУГ

Возможны 3 состояния сжиженного газа, в котором находятся при хранении и использовании:

1) В виде жидкости (жидкая фаза)

2)      Пар (паровая фаза), т.е. насыщенные пары, находящиеся совместно с жидкостью в резервуаре или баллоне.

)        Газа (когда давление в паровой фазе ниже давления насыщенных паров при данной температуре).

Свойства сжиженных газов легко переходят из одного состояния в другое, делает их особенно ценным источником газоснабжения, т.к. транспортировать и хранить их можно в жидком виде, а сжигать в виде газа. Т.о. при транспортировке и хранении используется преимущественно жидкие фазы, а при сжигании газообразные.

Упругость насыщенных паров газа - это важнейший параметр, по которому определяется рабочее давление в баллонах и резервуарах. Давление и температура сжиженных газов строго соответствует друг другу.

Упругость насыщенных паров СУГ изменяется пропорционально температуре жидкой фазы и является величиной строго определенной для данной температуры.

Во все уравнения, связывающие физические параметры газообразного или жидкого вещества входят абсолютное давление и температура. А в уравнения для технических расчетов прочности стенок баллонов, резервуаров - избыточное давление.

В газообразный составе СУГ тяжелее воздуха в 1,5-2,1 раза. В жидком состоянии они почти в 2 раза легче воды.

Скрытая теплота парообразование весьма незначительная (приблизительно 116кВт/кг), поэтому расход теплоты на испарение сжиженного газа составляет 0,7% от потенциально содержащейся в них тепловой энергии. Вязкость очень мала, что обеспечивает транспортировку СУГ по трубопроводом , но то же время благоприятствует утечкам. Для них характерны низкие пределы воспламенения воздуха (2,3% для пропана, 1,7% для бутана).

Разница между верхним и нижним пределами незначительна, поэтому при их сжимании допускается применение отношения воздух-сжиженный газ. Обладает невысокими t-ми воспламенения по сравнению с большинством горючих газов (5100C для пропана и 4900C для бутана). Возможно образование конденсата при снижении t до точки росы или при повышении давления. Сжиженные газы характеризуются низкой t-рой кипения и поэтому при испарении во время внезапного выхода из трубопровода или резервуара в атмосферу охлаждается до отрицательной t-ры. Жидкая фаза попадая на незащищенную кожу человека может привести к обморожению. По характеру воздействия оно напоминает ожог.

В отличии от большинства жидкостей, которые при изменении t-ры незначительно изменяют свой объём, жидкая фаза СУГ довольно резко увеличивает свой объем при повышении t-ры (в 16 раз больше чем вода).

Сжимаемость сжиженных газов по сравнению с другими жидкостями весьма значительна. Если сжимаемость воды принять за единицу, то сжимаемость нефти 1,56, а пропана 15. Если жидкая фаза занимает весь объем резервуара, то при повышении t-ры ей расширяться некуда, и она начинает сжиматься. Давление в резервуаре повышается. Повышение давления д.б. не больше допустимого расчетного, иначе возможна авария. Поэтому при заполнении резервуаров и баллонов предусматривается оставлять паровую подушку, т.е. заполнять их не полностью. Величина паровой подушки для подземных резервуаров составляет 10%, для подземных и баллонов 15%.

Сжиженные газы имеют более высокую, чем природные газы, объемную теплоту сгорания (приближенно в 3 раза выше).

Сжиженные газы нетоксичны, но низкие пределы воспламенения и медленная диффузия в атмосферу в сочетании отсутствия у них запаха, цвета и вкуса (как в жидком, так и в газообразном виде) диктует необходимость их одоризации.

4. Достоинства и недостатки СУГ

Как топливо сжиженные газы обладают всеми достоинствами природных газов. Кроме того для них можно отметить дополнительно:

.   Возможность создать у потребителя необходимый запас газа в жидком виде.

2.      Простота транспортировки

.        Выделение наибольшего количества теплоты при сжигании

.        Отсутствие в составе СУГ коррозионно-активных веществ

.        Доступность использования в любом виде и в любых условиях

Недостатки СУГ:

.   Переменность состава и теплоты сгорания при естественном испарении

2.      Малые значения низшей границы предела воспламенения

.        Плотность пропана и бутана больше плотности воздуха, что при утечках вызывает скопление СУГ в низких местах и создаются взрывоопасные ситуации

.        Низкая температура воспламенения

.        Возможность обморожения обслуживающего персонала при аварийных ситуациях

.        Большой коэффициент объёмного расширения

5. Диаграммы состояния сжиженных газов

Для расчёта процессов и оборудования необходимо знать взаимосвязь различных параметров СУГ с достаточной точностью. Это можно сделать по диаграммам состояния. По ним можно определить:

.   Упругость паров при данной температуре

2.      Давление перегретых паров при данных условиях

.        Удельный объём и плотность жидкой, паровой и газовой фазы; их энтальпию

.        Степень сухости и влажности паров

.        Теплоту парообразования

.        Работу сжатия компрессором и повышения температуры при сжатии

.        Эффект охлаждения жидкости и газа при снижении давления (дросселировании)

.        Скорость истечения газа из сопел газогорелочных устройств

Диаграмма состояния строится на сетке из горизонтальных линий постоянных абсолютных давлений и вертикальных линий постоянных энтальпий. На сетку диаграммы наносят следующие точки и линии.


)   Точка «К» критического состояния данного углеводорода по критическим давлению и температуре.

2)      Пограничная кривая ПКЖ, проходящая через точку критического состояния и делящая диаграмму на 3 зоны:

I.  Характеризует жидкую фазу

II.      Парожидкостная фаза.         Газовая фаза

Ветвь ЖК характеризует состояние насыщение жидкости при различных давлениях, а ветвь КП состояние насыщенного пара при этих давлениях.

4)      Линии постоянной температуры изображаются ломаной ТЕМЛ с горизонтальным участком ЕМ (постоянное давление и температура при кипении жидкой фазы). Изотермы температур выше критической точки данного углеводорода изображается кривыми T’E’

)        Линии постоянных удельных объёмов (изохоры)

ОБ - в области жидкой фазы

О’Б’ - в области парожидкостной фазы

Б’Б’’ - в области газовой фазы

Эти же линии соответствуют постоянной плотности

Точка О на пограничной кривой ЖК показывает удельный объём жидкой фазы.

Точка Б’ на КП - паровой фазы, находящейся в резервуарах или баллонах в эксплуатационных условиях

)   Линии постоянной энтропии AD, A’D’ (адиабаты). Они используются при определении параметров углеводородов при сжатии их в компрессоре и при истечении из сопел газогорелочных устройств

Давление жидкой и паровой фазы в замкнутом объёме при заданной температуре определяется по точке пересечения изотермы с одной из пограничных кривых КМ или КП.

Давление в точке пересечения М и Е будет искомым. Если изотерма не пересекает пограничную кривую то это значит что при данной температуре газ не перейдёт в жидкое состояние, а давление его можно определить если известны его удельный объём, например изобара в точке пересечения изотермы T’E’ и изохоры Б’Б”.

Удельный объём насыщенной жидкости или пара можно определить по температуре или давлению в точке пересечения заданной изобары или изотермы с пограничными кривыми жидкости КМ или пара КП. Удельный объём газовой определяется по давлению и температуре в точке пересечения соответствующих изобар и изотерм.

Энтальпия жидкой паровой и газовой фазы определяется на оси абсцисс при заданных значениях давления и температуры в точке пересечения изобар с пограничными кривыми, линиями постоянной сухости или изотермами.

Теплота парообразования при заданном давлении определяется как разность энтальпий в точке Е и М заданной изобары с общими пограничными кривыми


Степень сухости пара Х определяется Л изобары с кривой постоянной сухости пара при данной энтальпии.

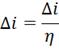
При расчёте процессов на диаграмму наносят вспомогательные линии. Так при дросселировании жидкой фазы от Рнач до Ркон наносят вертикальную линию МС (процесс идёт без подвода или отвода теплоты). Температура конца дросселирования определяется в точке С. Пересечение кривой сухости пара с изобарой Ркон показывает какое количество пара образовалось при дросселировании. Сжатие газа изображается на диаграмме адиабатами. Температура газа в конце сжатия определяется изотермой, проходящей через точку D’. Теоретическая работа сжатия 1кг газа определяется разностью теплосодержаний в точках D’ и A’.


Действительная работа сжатия будет несколько больше и определяется по формуле


-адиабатный КПД процесса сжатия (0,85-0,9)

6. Смеси газов и жидкостей. Пересчёт состава смесей

сжиженный углеводородный газоснабжение

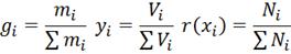
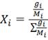
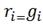
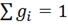
Состав сжиженного газа в жидкой и паровой фазах может выражаться массовыми gi, объёмными yi и малярными долями для газов ri, для жидкостей Х.


Где mi - масса, кг

Vi - объём, м3

Ni - число молей i-го компонента в смеси.

Для газовых (идеальных смесей) мольные и объёмные доли равны это следует из закона Авогадро

Пересчёт состава сжиженного газа из одного вида в другой производится следующим образом:

.   Для жидких смесей:

А) при известном массовом составе компонентов, объёмный и молярный состав определяется по формулам

 (1)

 (2)

Где ρi и Mi - соответственно плотность и молярная масса

Б) при заданном объёмном составе, массовый и молярный находятся по формулам

 (3)

 (4)

В) при известном молярном составе, массовый и объёмный определяются по формулам

 (5)

 (6)

Г) Для газовых смесей пересчёт из молярного в массовый производится по (5), а из массового в объёмный и мольный по (1) и (2).

7. Определение свойств СУГ

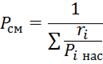
При известном составе сжиженного газа, давление смеси можно рассчитать по формулам:

;


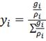
Плотность газовой смеси заданного состава определяется:


 - мольная доля i-ого компонента смеси

 - Плотность i-ого компонента смеси, кг/м3

Она находится по таблице или рассчитывается по закону Авогадро:

,

Где  - молекулярная масса i-ого компонента, кг/кмоль

 - Молекулярный объем i-ого компонента, м3/кмоль

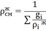
Средняя плотность жидкой смеси при известном массовом составе определяется по формуле:


При известном молекулярном составе:

,

Где  - плотность i-ого компонента входящего в жидкую смесь в жидкой фазе, кг/л

Плотность газовой смеси при повышенном давление находится из уравнения состояния для реальных газов.

,

Где - абсолютное давление (МПа) и t-ра смеси.

 - газовая постоянная смеси, (Дж/кг К)

z-коэффициент сжимаемости, учитывающий отклонение реальных газов от з-нов идеальных газов.

Газовая постоянная смеси рассчитывается по универсальной газовой постоянной и по молекулярной массе смеси.


Коэффициент сжимаемости определяется по графику в зависимости от приведённых параметров (давление и температура) газа.

;


Среднее критическое давление и температура для смеси газов определяется по его составу.


Объем газа, получается при испарение смеси СУГ, м.б. найден по формуле:


 - масса i-ого компонента смеси, кг

 - молекулярная масса i-ого компонента смеси, кг/кмоль

VMi-молекулярный объем i-ого компонента

Для подсчета низшей объемной температуры сгорания смеси СУГ используется следующая зависимость


 - низшая объемная теплота сгорания i-ого компонента, кДж/м3

Низшая массовая температура сгорания


Пределы воспламенения смеси СУГ, не содержащих балластных примесей, определяются:


Lсм- нижний или верхний предел воспламенения смеси газов.

 - нижний или верхний предел воспламенения i-ого компонента.

. Схемы перелива СУГ. Перемещение СУГ за счет разности уровней

Существует ряд методов перемещения сжиженного газа из ж/д или автоцистерн в стационарные емкости. И наоборот, наполнения транспортных емкостей и баллонов из стационарных хранилищ. Свойства СУГ, являются кипящими жидкостями, с малой плотностью и температурой парообразования обусловливают специфичность для перемещения метода схем и оборудования.

СУГ перемещают:

за счет разности уровней

сжатием газов

с помощью подогрева или охлаждения

при помощи компрессора

при помощи насоса

взаимным вытеснением жидкости

За счет разности уровней

Использование гидростатического напора применяется при заполнении подземных резервуаров из железнодорожных и автоцистерн, а так же при разливе СУГ в баллоны, если позволяет рельеф местности. Что бы слить цистерны в резервуар, необходимо соединить их паровые и жидкостные фазы.

В сообщающихся сосудах жидкость устанавливается на одном уровне, поэтому жидкая фаза перетечет в нижестоящий резервуар.


Для создания достаточной скорости слива, при одинаковых температуре и давлении, в цистерне и резервуаре необходимо, что бы за счет гидростатического напора создавалась разность давлений не менее 0,7-0,1.

Минимальная необходимая величина гидростатического напора в этих условиях будет 14-20 метров жидкости.

В зимнее время цистерна имеет более низкую температуру, чем резервуар т.е. Pгаза в цистерне будет меньше, чем в резервуаре.

Поэтому для слива разность уровней должна компенсировать эту разность давлений

,

Где - давление газа в резервуаре, Па

 - давление газа в цистерне

 - плотность жидкой фазы СУГ, кг/м3

Летом, в начальный момент слива, возможно расположение цистерн ниже резервуара. Но здесь скажется влияние температуры в резервуаре от более нагретой жидкости из цистерны, и величина перепада давления упадет примерно до 0. Слив прекратится. Поэтому летом, при сливе, паровые фазы автоцистерны и резервуара соединять не нужно.

«+» метода:

.   Простота схемы

2.      Отсутствие механических агрегатов

.        Надежность работы всех узлов

.        Готовность схемы к работе в любой момент, независимо от наличия постороннего источника энергии

«-» метода:

.   Невозможность использования местности с гористым рельефом.

2.      Большая продолжительность процесса.

.        Большие потери газа при отправлении его обратно в виде паров в слитых цистернах.

9. Газонаполнительные станции

ГНС являются базой снабжения систем газами и поставки потребителям сжиженных газов, поступающих с газобензиновых заводов.

На ГНС выполняются след. работы:

·  -приём сжиженных газов от поставщика

·        -слив сж. газов в свои хранилища

·        -хранение СУГ в надземных, подземных или изотермических резервуарах, в баллонах или подземных пустотах.

·        -слив неиспарившихся остатков из баллона и сж. газа из баллонов, имеющих к-л неисправности

·        -разлив сж. газа в баллоны, передвижные резервуары и автоцистерны

·        -приём пустых и выдача наполненных баллонов

·        -транспортировка сж. газов по внутренней сети трубопровод

·        -ремонт баллонов и их переосвидетельствование

Техническое обслуживание и ремонт оборудования на станции

В ряде случаев на ГНС производится:

·  -заправка автомобилей, работающих на сж. газе из автозаправочной колонки

·        -смешение паров газа с воздухом или низкокалорийными газами

·        -выдача паров сж. газа газовоздушных и газовых смесей в гор. распределительные системы

Для выполнения этих операций на ГНС имеются след. подразделения и цеха:

·  -сливная эстакада ж/д ветки или ввод тр-да с отключающими устройствами

·        -база хранения СУГ, состоящая из надземных или подземных резервуаров, работающих под давлением, изотермич. резервуаров

·        -насосно-компрессионый цех для слива СУГ их ж/д цистерн в хранилища и подача его для наполнения

·        -цех для наполнения баллонов и слива из них неиспарившихся тяжёлых остатков

·        -склад суточного запаса пустых и заполненных баллонов

·        -колонки для заполнения автоцистерн

·        -коммуникации жидкой и паровой фаз, связывающие все отделения ГНС и обеспечивающих их перемещение.

В зависимости от объёма хранилищ, способа установки резервуаров эти расстояния от 40 до 300 м.


Литература

1.   Абрамочкин Е.Г.: Современная оптика гауссовых пучков. - М.: ФИЗМАТЛИТ, 2010

2.      Алексеев Г.В.: Оптимизация в стационарных задачах тепломассопереноса и магнитной гидродинамики. - М.: Научный мир, 2010

.        Амусья М.Я.: Поглощение фотонов, рассеяние электронов, распад вакансий. - СПб.: Наука, 2010

.        Антонов В.Ф.: Физика и биофизика. - М.: ГЭОТАР-Медиа, 2010

.        Банков С.Е.: Электромагнитные кристаллы. - М.: ФИЗМАТЛИТ, 2010

.        Барабанов А.Л.: Симметрии и спин-угловые корреляции в реакциях и распадах. - М.: ФИЗМАТЛИТ, 2010

.        Белоконь А.В.: Математическое моделирование необратимых процессов поляризации. - М.: ФИЗМАТЛИТ, 2010

.        Бобошина С.Б.: Курс общей физики. - М.: Дрофа, 2010

.        Бройер Х.-П: Теория открытых квантовых систем. - Ижевск: Институт компьютерных исследований, 2010

.        Виноградов Е.А.: Термостимулированные электромагнитные поля твердых тел. - М.: ФИЗМАТЛИТ, 2010

.        Вирченко Ю.П.: Случайные множества с марковскими измельчениями в одномерном пространстве погружения. - Белгород: БелГУ, 2010

.        Г.П. Берман и др.; пер. с англ. Е.В. Бондаревой ; под науч. ред. С.В. Капельницкого: Магнитно-резонансная силовая микроскопия и односпиновые измерения. - Ижевск: Ижевский институт компьютерных исследований, 2010

.        Голенищев-Кутузов А.В.: Фотонные и фононные кристаллы. - М.: ФИЗМАТЛИТ, 2010

.        Дьячков П.Н.: Электронные свойства и применение нанотрубок. - М.: БИНОМ. Лаборатория знаний, 2010

Похожие работы на - Углеводородные газы

 

Не нашли материал для своей работы?
Поможем написать уникальную работу
Без плагиата!
Без нейросетей!