Оценка погрешностей результатов измерений
Министерство образования и науки
России
Севастопольский Национальный
технический университет
Кафедра ТБ
оценка погрешностей результатов
измерений
Курсовая работа по дисциплине
«Метрология, Стандартизация,
Сертификация»
Выполнила:
ст. гр.
ТБб-21д
Ксенита М. Е.
(Вариант 21)
Проверила:
доц. Азаренко
Е.И.
Севастополь
ЗАДАНИЕ НА
КУРСОВУЮ РАБОТУ
1. Оценка погрешностей результатов прямых
равноточных измерений
Оценить
результаты прямых измерений, проведенных одним и тем же методом, в ходе практического
изучения которого путем 20 наблюдений постоянной величины Х были получены
значения среднего арифметического
и суммы
квадратов абсолютных отклонений
.
Определить:
а)
пригоден ли этот метод для проведения однократных измерений с допускаемой
погрешностью ± 0,5% при доверительной вероятности Р;
б)
какова будет погрешность при однократных измерениях и заданной доверительной
вероятности Р;
в)
каков доверительный интервал для среднего арифметического при десятикратных
наблюдениях и заданной доверительной вероятности Р;
г)
сколько наблюдений следует провести данным методом, чтобы погрешность среднего
арифметического с заданной доверительной вероятностью Р не превышала ± 0,1%.
Закон
распределения результатов измерений считать нормальным.
Таблица 1 - Данные для расчета оценки погрешностей результатов прямых
равноточных измерений.
|
Р
|

|
|
|
0,99
|
83,16
|
1.00
|
2.
Оценка погрешностей результатов неравноточных измерений
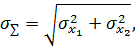
Напряжение в цепи измерительного канала одновременно проконтролировали
тремя вольтметрами разной точности, но с одинаковым верхним пределом диапазона
измерений. Измерения были выполнены в нормальных условиях. Определить среднее
взвешенное значение напряжения и доверительные границы его погрешности для
заданной доверительной вероятности и нормального закона распределения
погрешностей вольтметров.
Таблица 2 - Данные для расчета оценки погрешностей результатов неравноточных
измерений
|
Р
|
Umax, B
|
Класс точности вольтметра
|
Результат измерения
|
|
|
1го
|
2го
|
3го
|
U1,В
|
U2,В
|
U3,В
|
|
0,99
|
30
|
1,5
|
0,5
|
0,1
|
20,0
|
19,95
|
20,15
|
3. Оценка погрешностей результатов
косвенных измерений
Для измерения концентрации пыли в воздухе был использован весовой метод.
Объем прошедшего через фильтр воздуха определили при помощи расходометра,
допускаемая основная погрешность которого нормирована в процентах от верхней
границы диапазона измерений Qmax=0,0003 м3/с и секундомера, допускаемая основная
погрешность которого задана значением абсолютной погрешности. Режим отбора проб
воздуха объемный расход Q =
0,00017 м3/с, время отбора пробы t = 1200 с. Для взвешивания фильтров использовали весы
аналитические с допускаемой основной погрешностью, заданной значением
абсолютной погрешности. Определить относительную погрешность измерения
концентрации пыли.
Таблица 3 - Данные для расчета оценки погрешностей результатов косвенных
измерений
|
Допускаемая основная погрешность расходомера, %
|
Допускаемая основная погрешность секундомера, с
|
Допускаемая основная погрешность весов, мг
|
Масса фильтра до отбора пробы, m1,мг
|
Масса фильтра после отбора пробы, m2, мг
|
|
1,5
|
0,02
|
0,1
|
63,15
|
90,05
|
4. Расчет погрешности измерительного канала
Измерительный канал состоит из реостатного датчика Д, усилителя У и
регистратора Р (см. рисунок 1).
Рисунок 1 - Схема измерительного канала
Погрешность датчика сопротивлением Rд нормирована значением
приведенной погрешности gд, закон
распределения которой известен. Датчик питается напряжением Uд через
стабилизатор напряжения с коэффициентом стабилизации Kст от общего с
усилителем стандартного нестабилизированного блока питания. Усилитель
обеспечивает линейность характеристики всего канала, для чего имеет входное
сопротивление много больше сопротивления датчика.
Колебания напряжения питания усилителя приводят к изменению коэффициента
усиления К на величину yUу
(10%) DU/U, а влияние
температуры приводит к смещению его нуля на величину yqу %10К.
В качестве регистратора используется электронный самопишущий
автоматический потенциометр известного класса точности, с записью процесса на
бумажную ленту. Время прохода регистратора известно. Влияние температуры
приводит к смещению его нуля на величину yqу %10К.
Установка
питается от сети 220В, 5Гц с нестабильностью напряжения питания dUпит. Закон распределения напряжения треугольный. Объект
испытаний, на котором установлен датчик, находится в цехе, температура в
котором может изменяться в известных пределах с вероятностью Р = 0,98.
Усилитель и регистрирующая аппаратура расположены в лаборатории, где
температура колеблется в пределах tлаб = (21±3) оС. Закон распределения температуры в лаборатории - равномерный; в цехе - нормальный. В качестве линии
связи с датчиком используется стационарно проложенная в траншеях цеха проводка,
каждая жила которой имеет сопротивление 2 Ом. Материал проводки - медь, температурный коэффициент которой
= +4%
/10К. Напряжение наводки частотой f=50Гц, измеренное между
заземленным проводом линии и одной из изолированных жил с помощью электронного
вольтметра с входным сопротивлением 1МОм, составило 1,6В. Закон распределения
напряжения наводки арксинусоидальный.
Используя
имеющуюся информацию о погрешностях блоков измерительного канала и условия его
эксплуатации, произвести анализ источников возникновения погрешностей.
Произвести
оценку статических и динамических погрешностей канала. Составляющие
результирующей погрешности представить в виде относительных приведенных значений
СКО. Для расчета результирующей погрешности канала разделить составляющие на
аддитивные и мультипликативные, коррелированные и независимые. При этом
коррелированными следует считать погрешности, вызванные одной и той же
причиной, коэффициентом корреляции принять равным единице. Рассчитать
погрешность нуля канала и погрешность в конце диапазона измерений и назначить
класс точности канала в соответствии с ГОСТ 8.401-80 с учетом 25% запаса на
старение. Оценить динамическую погрешность канала.
Таблица
4 - Данные для расчета погрешностей измерительного канала
|
duпит %
|
Кст
|
Uд, мВ Rд, Ом
|
gд, %; закон
распр.
|
yUy, % yqy, %
|
Класс точности регистратора, закон распределения его
погрешности
|
yqр, %
|
tц,оС
|
|
±
15
|
30
|
300 300
|
±0.25 Равн.
|
+0,3 +0,2
|
1,5 равн.
|
-0,20
|
20±15
|
5. Выбор средства контроля, отвечающего
требованиям к точности контроля
Выбрать средство контроля параметра, если значение параметра находится в
известных пределах и задана допустимая абсолютная погрешность измерения. Для
выполнения задания рекомендуется использовать сайты приборостроительных
компаний России, а также отраслевые каталоги (например, «Приборы и средства
автоматизации») и справочники по электроизмерительным и другим приборам.
Таблица 5 - Данные для выбора средства контроля, отвечающего требованиям
точности контроля
|
Контролируемый параметр
|
Допустимая абсолютная погрешность средства измерения
|
Интервал значений параметра, ед.изм.
|
|
Давление кислорода
|
± 1
|
(30 ± 5), МПа
|
СОДЕРЖАНИЕ
ВВЕДЕНИЕ
. ОЦЕНКА ПОГРЕШНОСТЕЙ РЕЗУЛЬТАТОВ ПРЯМЫХ РАВНОТОЧНЫХ ИЗМЕРЕНИЙ
.1 Алгоритм статистической обработки результатов измерений
. ОЦЕНКА ПОГРЕШНОСТЕЙ РЕЗУЛЬТАТОВ ПРЯМЫХ НЕРАВНОТОЧНЫХ
ИЗМЕРЕНИЙ
.1 Основные теоретические положения
.2. Определение среднего взвешенного значения и доверительной
границы его погрешности
. ОЦЕНКА ПОГРЕШНОСТЕЙ РЕЗУЛЬТАТОВ КОСВЕННЫХ ИЗМЕРЕНИЙ
.1. Основные теоретические положения
.2 Оценка погрешностей результатов косвенных измерений
. РАСЧЕТ ПОГРЕШНОСТИ ИЗМЕРИТЕЛЬНОГО КАНАЛА
.1 Основные теоретические положения
.2. Анализ составляющих погрешности измерительного канала
.3. Расчет средних квадратичных отклонений составляющих
статистической погрешности измерительного канала
.3.1. Аддитивные погрешности
.3.2. Мультипликативные погрешности
.4 Расчет результирующей погрешности измерительного канала
.4.1 Сложение коррелированных составляющих
.4.2 Определение результирующей погрешности нуля канала
.4.3. Определение результирующей погрешности в конце
диапазона измерения канала
.5 Назначение класса точности измерительного канала
.6. Расчёт динамической погрешности результата измерений
. ВЫБОР СРЕДСТВА КОНТРОЛЯ, ОТВЕЧАЮЩЕГО ТРЕБОВАНИЯМ К ТОЧНОСТИ
КОНТРОЛЯ
.1. Критерии и методика ориентировочного выбора средств
контроля
.2 Выбор средства измерения давления кислорода
.3 Назначение и область применения Манометра показывающего
ТМ-510
.4 Описание Манометра показывающего ТМ-510
ЗАКЛЮЧЕНИЕ
БИБЛИОГРАФИЧЕСКИЙ СПИСОК
ВВЕДЕНИЕ
Метрология это наука об измерениях, методах и средствах обеспечения их
единства и способах достижения требуемой точности. Предметом метрологии
является извлечение количественной информации о свойствах объектов с заданной
точностью и достоверностью. Средством является совокупность измерений и
метрологических стандартов, обеспечивающих требуемую точность. Одна из задач
метрологии это разработка и стандартизация методов определения точности
измерений и основ обеспечения их единства.
Измерение различных величин и получение их числовых значений являются
непосредственной задачей большинства экспериментов. Результатом измерения
называется значение величины, полученное путём её измерения. Все результаты
измерений представляют собой набор статистических данных, которые необходимо
уметь правильно обрабатывать. Как бы тщательно не выполнялись измерения,
результаты всегда получаются с некоторыми погрешностями, связанными с
ограниченной точностью измерительных приборов, неправильным выбором, и
погрешностью метода измерений, а так же физиологией экспериментатора и
особенностями измеряемых объектов. Поэтому в задачу измерения входит нахождение
не только самой величины, но и погрешности измерения.
В данной курсовой работе представлены методики обработки статистических
данных, расчёта и оценки погрешностей результатов различных видов измерений,
выбора средства контроля, отвечающего требованиям к точности контроля, а так же
назначение класса точности измерительного канала.
. ОЦЕНКА
ПОГРЕШНОСТЕЙ РЕЗУЛЬТАТОВ ПРЯМЫХ РАВНОТОЧНЫХ ИЗМЕРЕНИЙ
Прямыми называются измерения, в результате которых находят
непосредственно искомые значения величин. В этом случае измеряемую величину
находят прямым сравнением с её мерой или по показаниям прибора. Результаты,
получаемые при прямых измерениях постоянной физической величины, называются
равноточными или равнорассеянными [8].
Равнорассеянные -
это одинаково доверяемые измерения при условии проведения их с одинаковой
тщательностью при повторных наблюдениях, в одних и тех же условиях, с помощью
одинаковых средств измерений, одними и теми же лицами и одинаковом числе
наблюдений [4].
Количество измерений может быть различным, однако если случайные
составляющие малы по сравнению с систематическими составляющими погрешностей и
соответственно ими пренебрегать нельзя, для определения характеристик
погрешностей измерений, наряду с определением систематических составляющих
погрешностей, необходимо проводить многократные измерения измеряемой физической
величины для определения случайных составляющих.
При многократных измерениях отдельное измерение
принято называть наблюдением, и, соответственно, результат отдельного измерения
при проведении многократных измерений называется результатом наблюдения.
Однако при многократных измерениях не имеется
возможности проведения бесконечно большого количества наблюдений,
следовательно, не имеется возможности принятия в качестве результата измерения
истинного значения измеряемой величины и в качестве характеристик случайных
величин принимаются не истинные, а приближенные оценки этих характеристик.
Значения измеренной величины и оценок ее характеристик, в отличие от самих
характеристик, являются случайными величинами, зависящими от количества
проведенных наблюдений.
Многократные измерения проводятся, как правило, для
уменьшения влияния случайных погрешностей. Результат каждого измерения при этом
дает оценку измеряемой величины [2].
При статистической обработке группы результатов прямых
многократных независимых измерений выполняют определённые последовательные
операции.
1.1 Алгоритм статистической обработки результатов измерений
Алгоритм статистической обработки результатов
измерений включает в себя несколько этапов.
На первом этапе исключают систематические погрешности.
Если известно, что все результаты наблюдений имеют одинаковую систематическую
погрешность, ее исключают из результата измерений.
На втором этапе вычисляют оценку измеряемой величины.
Измеряемой величиной является среднее арифметическое результатов измерений
.
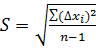
Далее вычисляют среднее квадратическое отклонения
(СКО). Для нахождения СКО используется такая формула:
,
где n-
число измерений;
-сумма квадратов абсолютных отклонений;
отсюда:
Затем вычисляют СКО среднего арифметического для окончательной записи результата
измерения. Его определяют по формуле:
отсюда:
На пятом этапе обработки проверяют наличие грубых погрешностей. Если в
ряде измерений обнаружены грубые погрешности, то их исключают. Для исключения
промахов - грубых погрешностей, используют критерий Граббса, он основан на
предположениях о том, что группа результатов измерений принадлежит нормальному
распределению.
Затем необходимо проверить гипотезу о принадлежности результатов
измерений нормальному распределению.
После проводят вычисление доверительных границ погрешности среднего
арифметического согласно формуле:
,
где
- коэффициент Стьюдента, который в зависимости от
доверительной вероятности и числа результатов измерений определяется по
таблице;
p - принятая при обработке результатов
измерений доверительная вероятность.
следовательно:
.
После округления погрешности результата получим: t = (83,16 ± 0,146) 0С при p = 0, 99.
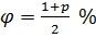
На восьмом этапе оценивают доверительные границы случайной погрешности.
Согласно рекомендациям Р. 50.2.038-2004 [7], доверительные границы случайной
погрешности результата однократного измерения можно оценить по формуле:
где Zp - квантиль функции нормированного
распределения для вероятности
- определённое экспериментально СКО результатов измерений,
которое характеризует рассматриваемый метод.
Далее определяют вероятность распределения
по формуле:
,
следовательно:
Из задания известно, что
тогда согласно формуле (1.4) доверительные границы случайной
погрешности результата однократного измерения составят:
После чего необходимо представить эту погрешность в относительной форме.
Для этого используют следующую формулу:
где
- среднее арифметическое значение температуры, полученное при
обработке эксперементальных данных. Используется в качестве действительного
значения измеряемой велечины.
Из условия задания известно, что
= 83,16, следовательно погрешности
результата однократного измерения в относительной форме согласно формуле (1.6)
составит:
Так как
= 0,9 %, что превышает 0,5%, следовательно, метод не
пригоден для получения однократного результата измерений с требуемой точностью.
Погрешность при однократных измерениях в абсолютной форме с доверительной
вероятностью р = 0,99, составит ±
0С.
В соответствии с ГОСТ Р. 8. 736-2011, используя, значение S полученное
при изучении метода измерения погрешность вычисляют по формуле:
откуда:
Для расчёта используем значение коэффициента Стьюдента при p = 0,99 и n-1 = 9
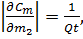
На следующем этапе определяют необходимое количество опытов. Для чего
пользуются формулой:
откуда:
Выразим допускаемую погрешность ± 0,1 % в абсолютной форме, используя
следующую формулу:
откуда:
Тогда согласно формуле (1.9) определим количество опытов:
то есть необходимо провести семьдесят пять измерений.
На последнем этапе, для оценки влияния замены коэффициента Стьюдента на
Квантиль нормального распределения, определяют доверительные границы
погрешности среднего арифметического полученного при выборке 75 опытов при tр = 2,6267. Согласно формуле (1.7) получим:
Выразим эту погрешность в относительной форме, согласно формуле (1.10)
она составит:
Исходя из этого, можно говорить о том, что при большом числе опытов
замена коэффициента Стьюдента на квантиль нормального распределения привела к
уменьшению погрешности.
. ОЦЕНКА
ПОГРЕШНОСТЕЙ РЕЗУЛЬТАТОВ ПРЯМЫХ НЕРАВНОТОЧНЫХ ИЗМЕРЕНИЙ
2.1 Основные теоретические положения
погрешность
результат измерение канал
Неравноточными или неравнорассеянными называют измерения, выполненные с
различной точностью, с неодинаковым числом равноточных наблюдений или в разных
критериях [6].
Степень надежности результата измерений, выраженную числом, называют
весом этого результата. Чем надежнее итог, тем больше его вес. Следовательно,
вес связан с точностью результата измерения, которая характеризуется средней квадратической
погрешностью.
Совместная обработка неравноточных измерений позволяет уточнить значение
измеряемой величины.
Основой для расчёта служат следующие данные:
-
;
; …
- средние арифметические рядов
равнорассеянных результатов измерения постоянной физической велечины Q;
- S1; S2; …; Sі - среднее квадратическое
отклонение;
- n1; n2; …; nі - числа наблюдений в каждом ряду [8];
В качестве оценки истинного значения измеряемой велечины по результатам неравноточных
измерений, используют среденее взвешенное
, рассчитываемое по формуле:
где
-
весовой коэффициент, характеризующий степень доверия к тому или иному
результату. Он определяется по формуле:
Дисперсия среднего взвешенного меньше дисперсии всех средних арифметических.
Её можно оценить по формуле:
2.2 Определение среднего взвешенного значения и доверительной
границы его погрешности
В соответствии с условием рассматривается три ряда неравноточных
результатов,
в каждом из которых содержится по одному измерению:
= U1;
U2;
= U3;
Для нахождения дисперсии результатов каждого ряда рассмотрим уравнение
приведённой погрешности, так как класс точности вольтметров задаётся в форме
приведённой погрешности:
где
-
доверительные границы погрешности результатов
где,
- квантиль нормального распределения;
-
среднее квадратическое отклонение погрешности вольтметров.
Следовательно:
откуда:
тогда весовые коэффициенты для рассматриваемых рядов измерений, можно
найти по формуле:
откуда:
следовательно:
Найдём весовые коэффициенты. Они рассчитываются, учитывая, что
= 30, а
= 5,8409, для p = 0,99:
Расчёт среднего взвешенного значения напряжения производится по формуле:
отсюда:
Расчёт доверительных границ среднего взвешенного производится по формуле:
откуда:
следовательно:
Таким образом, результат совместной обработки неравноточных рядов
измерений представляется в виде: (20,14 ± 0,3) В, p = 0,99.
. ОЦЕНКА
ПОГРЕШНОСТЕЙ РЕЗУЛЬТАТОВ КОСВЕННЫХ ИЗМЕРЕНИЙ
3.1 Основные теоретические положения
Косвенными называются измерения, при которых искомое значение
определяется на основании известной зависимости между величиной и величинами,
полученными прямыми измерениями [8]. Косвенные измерения широко распространены
в тех случаях, когда искомую величину невозможно или слишком сложно измерить
непосредственно или когда прямое измерение дает менее точный результат. Роль их
особенно велика при измерении величин, недоступных непосредственному
экспериментальному сравнению[6]. В общем случае косвенно измеряемая величина
представляет собой некоторую функцию:
Полный дифференциал функции Z имеет вид:
Каждая из величин
измеряется с некоторой погрешностью
Полагая, что погрешности
малы, мы можем заменить
на
В выражении (3.3) слагаемое
представляет собой, частную
погрешность результата косвенного измерения, вызванную погрешностью
определения величины
Частные производные носят название
коэффициентов влияния соответствующих погрешностей [2].
Следует иметь в виду, что формула (3.3) является приближенной, так как
учитывает только линейную часть приращения функции, однако в большинстве
практических случаев она обеспечивает удовлетворительную точность оценки
погрешностей результаты косвенного измерения. По виду функциональной
зависимости можно различать.
Косвенные измерения с линейной зависимостью между
измеряемой величиной и аргументами. Линейная функциональная зависимость
является простейшей формой связи между измеряемой величиной и находимыми
посредством прямых измерений аргументами [2]. Она может быть выражена формулой:
где
- постоянный коэффициент i-гo аргумента
m - число аргументов.
Погрешности линейных косвенных измерений оцениваются методом, основанным
на раздельной обработке аргументов и их погрешностей.
Косвенные измерения с нелинейной зависимостью между измеряемой величиной
и аргументами. Для косвенных измерений при нелинейных зависимостях и
некоррелированных погрешностях измерений аргументов используют метод
линеаризации. Метод линеаризации предполагает разложение нелинейной функции в
ряд Тейлора:
где
-
нелинейная функциональная зависимость измеряемой величины
от измеряемых аргументов
i;
, -
первая производная от функции
по аргументу
i
, вычисленная в точке
;
- отклонение
результата измерения аргумента
i
, от его среднего арифметического; R - остаточный член.
3.2 Оценка погрешностей результатов косвенных измерений
Концентрация пыли в воздухе определяет содержание массы пыли в единице
объема воздуха.
Один из методов измерения концентрации пыли в воздухе - весовой, который
применяется при санитарно- гигиенических исследованиях атмосферного воздуха
населённых пунктов или условий труда на производстве. Суть метода заключается в
следующем: взвешивают массу чистого фильтра, затем запыленный воздух с помощью
малогабаритной воздуходувки прокачивается через фильтр. Расход воздуха Q при
этом измеряется с помощью расходомера. После отбора пробы измеряют массу
фильтра. По разности масс определяют массу пыли. Массовая концентрация пыли в
воздухе определяется по формуле:
где m2 -
масса фильтра после отбора пробы воздуха, мг;1 - масса фильтра до отбора пробы
воздуха, мг;- объемный
расход воздуха, м³/с;- время пробoотбора, с;
T- температура, К;
В - давление, кПа.
Так как никаких указаний об отклонении условий измерений от нормальных в
задании не содержится, будем считать, что эксперимент проходил при нормальных
условиях, то есть T=273К, В=101,3кПа
В качестве действительного значения концентрации пыли в воздухе примем
результат расчета по формуле (3.6):
Максимальное значение абсолютной погрешности измерения массовой
концентрации пыли в воздухе можно оценить из выражения (3.7):
Рассчитаем значения частных производных по параметрам, измеряемым прямым
путем, продифференцировав по
:
отсюда:
Далее:
отсюда:
Далее:
отсюда:
Для расчета величины
имеем:
m1 =
m2 = 0,1(мг);
t=
(секундомера)=0,02 (с) из условия задания.
Определим
абсолютную погрешность измерения расходов воздуха. Для этого воспользуемся
уравнением приведённой погрешности, которая нормируется для расходомера. Так
как допускаемая погрешность расходомера задана в % от верхнего предела
измерения, то есть в приведенной форме, тогда:
отсюда:
следовательно:
Таким образом, абсолютная погрешность косвенного измерения концентрации
пыли в воздухе, согласно формуле (3.7) составит:
Определим относительную погрешность измерения концентрации пыли:
Подставив численные значения в формулу (3.13), получим:
Таким образом, относительная погрешность измерений концентрации пыли в
воздухе, весовым методом составила
. РАСЧЕТ
ПОГРЕШНОСТИ ИЗМЕРИТЕЛЬНОГО КАНАЛА
4.1 Основные теоретические положения
Измерительные каналы - это совокупность технических средств отдельной
измерительной системы, которая предназначена для выполнения функции, зависящей
от восприятия измеряемой величины до полученного результата многочисленных
измерений, что выражается численно или соответствующим числу кодом. Качество
будущих полученных данных напрямую зависит от количественной характеристики
погрешности средств измерений составляющих измерительный канал. Точность
измерительного канала характеризуется точностью каждого прибора, входящего в
измерительный канал [6].
Все составляющие погрешности являются СВ, в качестве их оценок удобно
пользоваться приведенными СКО, так как правила их суммирования известны и
просты.
Дисперсия суммы двух случайных величин в общем случае определяется по
формуле:
где
-
взаимный корреляционный момент.
где
-
коэффициент корреляции.
Для некоррелированных величин
= 0 и, следовательно:
Для жестко коррелированных величин в случае, когда x2 линейно
возрастает с ростом x1, коэффициент корреляции
= +1; когда x2 линейно
убывает с ростом x1, коэффициент корреляции
= -1. Тогда:
Таким образом, при определении результирующей погрешности сначала
необходимо суммировать оценки коррелированных составляющих, а затем произвести
общее суммирование, считая все составляющие независимыми.
Вычислить точные значения коэффициентов взаимной корреляции составляющих
погрешности очень трудно, поэтому на практике их разделяют на два вида:
- сильно
коррелированные погрешности, для которых
= 0,7
1 и принимается равным ± 1;
- слабо
коррелированные погрешности, для которых
< 0,7
и принимается равным нулю.
К сильно коррелированным погрешностям относят погрешности, вызванные
одной и той же причиной (например, погрешности, вызванные изменением
температуры).
Для упрощения задачи при суммировании из рассмотрения следует исключить
малые составляющие по следующему правилу:
- одну составляющую, если она в 5 раз меньше наибольшего из слагаемых;
- две составляющих, если они в 6 раз меньше наибольшего из слагаемых;
- три составляющих, если они в 7 раз меньше;
- четыре составляющих, если они в 8 раз меньше.
Исходя из порядка назначения класса точности измерительного канала по
ГОСТ 8.401-80 [3], оценки аддитивных и мультипликативных составляющих
погрешности должны суммироваться отдельно. В общем случае класс точности
средства измерения обозначается отношением приведенных погрешностей в конце
диапазона измерения и в начале: gк/gн с учетом 25% запаса на старение; при этом в качестве gк и gн не могут
быть использованы произвольные числа. Выраженные в процентах, gк и gн могут
иметь значения: …6; 4; 2,5; 1,5; 1,0; 0,5;
0,2; 0,1; 0,05; 0,002…
Для перехода от значения СКО к интервальной оценке погрешности в виде
доверительного или энтропийного интервала, необходимо определить значения
квантильного множителя или энтропийного коэффициента, руководствуясь
информацией о законе распределения результирующей погрешности.
Для определения энтропийного интервала введем понятие энтропии [2].
Энтропией системы (измеряемой величины) Н(х) называется сумма
произведений вероятностей различных состояний системы на логарифмы этих
вероятностей, взятая с обратным знаком:
,
где
f(x) - плотность распределения случайной величины x.
Энтропия
обращается в ноль, когда одно из состояний системы достоверно (вероятность
равна единице), а другие - невозможны (вероятности равны нулю). Таким образом,
энтропия системы с равновозможными состояниями равна логарифму числа состояний.
При увеличении числа состояний энтропия увеличивается. Единицы измерения
энтропии зависят от выбора основания логарифма. При использовании десятичных
логарифмов энтропия определяется в так называемых десятичных единицах (дит). В
случае двоичных логарифмов энтропия выражается в двоичных единицах (бит). На
практике удобней всего пользоваться логарифмами при основании 2, поскольку при
этом достигается согласие с применяемой в электронных цифровых вычислительных
машинах двоичной системой счисления [2].
Количество
информации I, получаемое в результате измерения об измеряемой величине
определяется как разность энтропий:
где
-мера неопределенности измеряемой
величины до ее измерения;
- энтропия
при условии
, то есть
энтропия действительного значения измеряемой величины при условии получения
показания прибора
Соотношение
между энтропийным и средним квадратическим значениями погрешности различно для
разных законов распределения и характеризуется величиной энтропийного
коэффициента[1]:
Значения
K для разных законов распределения погрешностей
приведены в таблице [8].
Таблица 4.1 -
Параметры законов распределения погрешности
|
Вид закона распределения
|
К
|
e
|
x
|
K = Dmax/s
|
|
Нормальный
|
2,066
|
3
|
0,577
|
-
|
|
Равномерный
|
1,73
|
1,8
|
0,745
|
|
|
Экспоненциальный
|
1,92
|
6
|
-
|
|
Арксинусоидальный
|
1,11
|
1,5
|
0,816
|
|
|
Треугольный
|
2,02
|
2,4
|
0,645
|
|
При суммировании составляющих погрешности их законы распределения
деформируются. Зависимость энтропийного коэфициента суммарного распределения
от соотношения суммируемых
составляющих и этих энтропийных коэффициентов для ряда законов распределения
представлены семейством кривых.
Для любого значения
может быть указано значение доверительнй вероятности
.
где
- эксцесс распределения результирующей погрешности измерительного
канала.
Для определения доверительной вероятности, значения эксцесса
распределения суммы двух независимых случайных величин, можно рассчитать по
формуле:
где
- эксцесс второго из суммируемых распределений;
- эксцесс первого из суммируемых распределений;
- вес дисперсии второго из суммируемых распределений в
дисперсии суммы:
4.2 Анализ составляющих погрешности измерительного канала
Учитывая схему измерительного канала и условия её эксплуатации, можно
выделить такие составляющие статистической погрешности:
- основная погрешность датчика;
- погрешность от колебания напряжения питания на выходе из датчика;
- температурная погрешность усилителя;
- температурная погрешность потенциометра;
- температурная погрешность линий связи;
- погрешность от наводки на линию связи;
- погрешность коэффициента усиления усилителя от колебаний напряжения
питания;
- основная погрешность потенциометра.
Динамическая погрешность канала определяется быстродействием
регистрирующей аппаратуры. Это погрешность, численное значение которой
вычисляется как разность между погрешностью, возникающей при измерении
непостоянной (переменной во времени) величины, и статической погрешностью
(погрешностью значения измеряемой величины в определенный момент времени) [1].
Такая погрешность не суммируется с остальными составляющими.
Для дальнейшего расчета результирующей погрешности канала составленного
из серийно-выпускаемых блоков необходимо все составляющие статистической погрешности
разделить на аддитивные и мультипликативные, выявить коррелированные
составляющие. Аддитивная погрешность это - погрешность, которая не зависит от чувствительности прибора
и является постоянной для всех входных величин в приделах диапазона измерений.
Мультипликативная погрешность - зависит от чувствительности прибора и изменяется пропорционально
текущему значению входной величины.
К аддитивным относятся:
- основная погрешность датчика, которая задана в форме приведенной
погрешности;
- температурная погрешность усилителя, в случае которой влияние
температуры приводит к смещению нуля усилителя;
- основная погрешность потенциометра.
Остальные составляющие статистической погрешности можно отнести к
мультипликативным.
К сильно коррелированным относятся погрешности, имеющие общую причину
возникновения:
- температурная погрешность усилителя;
- температурная погрешность потенциометра;
- погрешность от колебания напряжения на входе с датчика;
- погрешность коэффициента усиления усилителя от колебаний напряжения питания.
Выше перечисленные погрешности являются сильно коррелированными, так как
они вызваны одной и той же причиной, имеют одинаковую форму закона
распределения. Также они зависят от колебания напряжения питания.
4.3 Расчет средних квадратичных отклонений составляющих
статистической погрешности измерительного канала
Для количественной оценки составляющих погрешностей будем использовать
среднее квадратическое отклонение в приведённой форме, так как правила их
сложения известны и просты. Для удобства, сначала рассчитаем СКО для аддитивных
погрешностей измерительного канала, после для мультипликативных.
4.3.1 Аддитивные погрешности
Начнём с приведённой погрешность датчика.
Основная погрешность датчика задана величиной приведенной погрешности
= ±0,25%. Закон распределения этой погрешности равномерный.
Энтропийный коэффициент этого закона
= 1,73. Энтропийное значение
приведенной погрешности можно определить по формуле:
тогда приведенное СКО основной погрешности датчика будет равно:
Для равномерного закона распределения
=1,73 . Согласно формуле (4.12)
Далее рассмотрим температурная погрешность усилителя.
Из условия задания известно, что изменение температуры на каждые 10К,
приводит к изменению коэффициента усиления усилителя на величину yqу = + 0,002 %. Температура в лаборатории изменяется в
диапазоне (21± 3)о С,
закон изменения температуры равномерный. Температурная погрешность усилителя
задана отношением:
отсюда можно оценить максимальное значение приведенной температурной
погрешности усилителя:
Следовательно, определим приведённое СКО температурной погрешности
усилителя по формуле:
отсюда:
За тем рассчитаем СКО основной погрешность потенциометра.
Основная погрешность потенциометра составляет
=1,5 %. Закон распределения этой
погрешности равномерный . Энтропийный коэфициент
=1,73. Следовательно, можно рассчитать
СКО основной погрешности потенциометра:
Теперь рассмотрим температурную погрешность потенциометра.
Температурная погрешность потенциометра задана отношением:
Отсюда можно определить максимальное значение температурной погрешности
потенциометра:
Закон распределения этой погрешности равномерный, (
=1,73).
Рассчитаем СКО температурной погрешности потенциометра:
4.3.2 Мультипликативные погрешности
Первой рассмотрим погрешность на выходе с датчика от колебаний напряжения
питания. Эта погрешность зависит от характеристик блока питания и стабилизатора
напряжения. Закон распределения данной погрешности, вызванной колебаниями
напряжения питания, повторяет закон распределения отклонений напряжения и
является треугольным. Следовательно, энтропийный коэффициент
= 2.02. Нестабильность напряжения
= ±15%, снижаетсяпосле стабилизации с
коэффициентом
=
30. Таким образом, размах колебаний напряжения питания выражается отношением:
откуда:
СКО Погрешность на выходе с датчика составит :
Второй проанализируем температурную погрешность линии связи.
Эта погрешность равна нулю при среднем положении подвижного контакта
датчика и максимальна при его крайних положениях. Закон ее распределения
повторяет закон распределения температуры в цехе и является нормальным.
Известно, что температура в цехе изменяется в диапазоне
, с вероятностью р = 0,98. В этом
случае, целесообразно, использовать доверительный интервал, квантильный
множитель в котором равен
Температурный коэффициент медных жил линии связи задаётся отношением:
а сопротивление одной жилы
2 Ом, тогда максимальное изменение
сопротивления каждой жилы, под влиянием температуры составит:
отсюда:
Приведённое значение этой погрешности можно определить по формуле:
отсюда:
СКО температурная
погрешность линии связи можно определить по формуле:
Следовательно, СКО составит:
Далее оценим погрешность от наводки на линию связи.
Для оценки погрешности от наводки на линию связи, необходимо оценить
последнее напряжение от тока наводки на датчики. Известно, что напряжение
наводки было измерено вольтметром с входным сопротивлением 1МОм и составило
. Закон распределения напряжения
наводки арксинусоидальный , энтропийный коэффициент К =1,11. Ток наводки можно
рассчитать по закону Ома:
следовательно:
Теперь можно определить падение напряжения на датчике от тока наводки, по
формуле:
Отсюда:
Так как значение
отсчитано по шкале вольтметра, оно является действующим, то
есть средним квадратическим. Таким образом, СКО погрешности от наводки на линию
связи можно определить по формуле:
откуда:
Следующей исследуем погрешность от изменения коэффициента усиления
усилителя при колебаниях напряжения питания.
Закон распределения это погрешности повторяет закон распределения
колебаний напряжения питания и является треугольным, энтропийный коэффициент
К=2,02. Известно, что колебания напряжения приводят к изменению коэффициента
усиления:
Зная, что размах колебаний напряжения питания составляет
, найдём максимальное значение
погрешности коэффициента усиления в приведённой форме:
СКО погрешности от изменения коэффициента усиления усилителя при
колебаниях напряжения питания можно определить по формуле:
откуда:
4.4 Расчет результирующей погрешности измерительного канала
4.4.1 Сложение коррелированных составляющих
К коррелированным относятся погрешности, вызванные одной и той же
причиной, они имеют одинаковую форму закона распределения, которая справедлива
и для их алгебраической суммы.
Сильно коррелированными в нашем случае являются погрешности:
- вызванные колебаниями напряжения питания на выходе с датчика и
усилителя;
- температурные погрешности усилителя и регистратора
Закон их распределения - треугольный.
Результирующая погрешность от колебаний напряжения питания является
мультипликативной и ее СКО оценивают по формуле:
отсюда:
СКО температурной погрешности усилителя и регистратора можно определить
по формуле:
следовательно:
4.4.2 Определение результирующей погрешности нуля канала
Погрешность нуля канала складывается из следующих составляющих,
представленных СКО:
-
закон распределения равномерный;
-
закон распределения равномерный;
-
закон распределения равномерный;
-
закон распределения равномерный;
-
закон распределения равномерный;
Температурные погрешности усилителя и регистратора являются сильно
коррелировнными и при суммировании дают СКО равное нулю.
Проанализируем оставшиеся составляющие на наличие пренебержимо малых:
- максимальной составляющей является СКО погрешности регистратора
%;
- СКО погрешности линий связи в 9 раз меньше
;
- СКО погрешности датчика в 6 раз меньше
;
Таким образом, температурной погрешностью линий связи и погрешностью
датчика можно пренебречь. Следовательно, СКО погрешности нуля канала
оценивается как:
отсюда:
Закон распределения этой погрешности можно считать равномерным.
Энтропийный коэффициент
тогда приведенная погрешность в начале диапазона измерения
канала определяется по формуле:
%,
откуда:
(%).
4.4.3 Определение результирующей погрешности в конце диапазона
измерения канала
Погрешность в конце диапазона измерения канала складывается из следующих
составляющих, представленных СКО:
-
%,
закон распределения равномерный;
-
%,
закон распределения треугольный;
-
, закон распределения нормальный;
-
закон распределения равномерный;
-
%,
закон распределения
арксинусоидальный;
-
%,
закон распределения треугольный.
Погрешность усилителя и погрешность на выходе с датчика, вызванные
колебаниями питающего напряжения, являются сильно коррелированными и в сумме
дают составляющую:
(%)
На основании Центральной придельной теоремы, вероятность закон
распределения результирующей погрешности в конце диапазона измерения канала,
будем считать нормальным,
С учётом того, что все составляющие погрешности можно считать
независимыми, СКО погрешности в конце диапазона рассчитаем по формуле (4.3), откуда:
Следовательно, погрешность измерительного канала в конце диапазона
определяется как:
отсюда:
4.5 Назначение класса точности измерительного канала
С учетом 25% запаса на старение получим значение приведенных погрешностей
в начале и конце диапазона измерений канала, которое находиться по формулам:
отсюда:
.
При округлении значений погрешностей в меньшую сторону сокращается запас
на старение. По этому расчёт значения погрешностей для назначения класса
точности необходимо округлить до стандартных по ГОСТ 8. 401-80 [3].
Исходя из этого назначен класс точности 2,5.
4.6 Расчёт динамической погрешности результата
измерений
При использовании аналогового регистратора с помощью самописца, определим
диапазон частот измеряемой величины, таким образом, чтобы динамическая
погрешность не превышала значение в конце диапазона измерения.
Для предела измерений
, при условии прохода регистрации всей шкалы за t=0.5 (с).
Максимально допустимая скорость изменения напряжения во времени составит:
отсюда:
Определим максимальное значение скорости напряжения по формуле:
Отсюда:
откуда:
Таким образом, можно утверждать, что регистрация происходит без искажений,
так как f=0,32 (Гц), то динамическая
погрешность равна нулю.
. ВЫБОР
СРЕДСТВА КОНТРОЛЯ, ОТВЕЧАЮЩЕГО ТРЕБОВАНИЯМ К ТОЧНОСТИ КОНТРОЛЯ
5.1 Критерии и методика ориентировочного выбора средств контроля
Средством
измерения (СИ) называется техническое средство, предназначенное для измерений,
имеющее нормированные метрологические характеристики, воспроизводящее и
хранящее единицу физической величины, размер которой принимается неизменным (в
пределах установленной погрешности
<#"871412.files/image218.gif">
где
- относительная погрешность;
- показания прибора (м3/ч).
Подставив нужные нам данные, получаем:
Так как абсолютная погрешность прибора 0,9 МПа, что не превышает
допустимую погрешность ±1, данный прибор пригоден для измерений. Манометр
показывающий ТМ-510 полностью удовлетворяет все основные критерии выбора
средств измерения, а так же является довольно экономичным, так как его
стоимость не высокая.
ЗАКЛЮЧЕНИЕ
Обработка статистических данных используется в различных отраслях промышленности, на
производствах и в быту. По этому, умение правильно обрабатывать результаты измерений,
актуально и восстребовано.
При выполнении данной курсовой работы были освоены навыки обработки
прямых и косвенных измерений, оценки их погрешностей. А так же выделены
основные понятия метрологии, типы погрешностей и различные термины.
Таким образом в ходе курсовой работы была вычислена оценка погрешностей
результатов прямых неравноточных измерений; результат совместной обработки
неравноточных рядов измерений был представлен в виде:
. А также обработаны погрешности
результатов прямых равноточных измерений: исключены промах, рассчитана
погрешность метода для проведения однократного результата измерения с требуемой
точностью,
=
и рекомендован объем выборки для получения среднего значения
с погрешностью не более
который равен 75 опытам. Далее обработан результаты
косвенных измерений: относительная погрешность измерения концентрации пыли в
атмосферном воздухе весовым методом составила
, а максимальное значение абсолютной
погрешности измерения -
. Согласно заданию, рассчитана
погрешность измерительного канала: назначен класс точности канала - 2,5 а
оценка динамической погрешности канала составила
=
. Следовательно, используя
приобретённые навыки, было выбрано средство измерения давления кислорода - манометр показывающий ТМ-510 - который полностью удовлетворил все
основные критерии выбора средств контроля. Абсолютная погрешность результатов
измерения с помощью такого прибора составила 0,9 МПа.
БИБЛИОГРАФИЧЕСКИЙ
СПИСОК
2. Азаренко
Е. И. Основы метрологии, стандартизации, сертификации: конспект лекций/ СевНТУ.
- Севастополь, 2014.-
192 с.
3. В. В.
Севриков. «Методология и организация научных исследований: Учебное пособие/ В.
В. Севриков: - Минск: Дикта,
2011. - 371 с.
. ГОСТ
8.401-80 -
1981«Государственная система обеспечения единства измерений. Классы точности
средств измерений. Общие требования».-Взамен ГОСТ 13600-68; введён 1981- 01-07.- Москва: Государственный комитет СССР по стандартам; Москва: издательство
стандартов, - 36 с.
5. Морякова
Е. В. Основы метрологии, стандартизации и сертификации: Учебное пособие/
Морякова Е. В. - Архангельск, 2006.- 181 с.
6. Промышленное,
лабораторное и метрологическое оборудование, средства автоматизации, арматура,
КИП: Каталог [Электронный ресурс].- Режим доступа
<http://pribor-sk.ru/>
. Пулатов В. Н.
«Основы метрологии, точность и надежность в приборосторениии» . - Москва: машиностроение, 1991. - 300 с.
8. Р. 50.2.038-2004 «ГСИ. Измерения прямые однократные. Оценивание
погрешностей и неопределенности результата измерений»- Взамен МИ 1552-86; введён 2005-01-01. - Москва: Федеральное государственное
унитарное предприятие Всероссийский научно-исследовательский институт
метрологии им. Д.И. Менделеева Госстандарта России (ФГУП ВНИИМ им. Д.И.
Менделеева); Москва: Издательство рекомендаций и стандартов, - 43 с.
9. Севриков
В.В. Оценка погрешностей результатов измерений: Методические указания к
выполнению курсовой работы по дисциплине «Метрологические основы экологической
безопасности»/ В.В. Севриков, Е.И. Азаренко:- Севастополь: Издательство СевНТУ, 2005.-29 с.
10. Современные приборы
[Электронный ресурс].- Режим доступа <http://sovpribor.neobroker.ru>
. Товароведение и
экспертиза товаров [Электронный ресурс].- Режим доступа
<http://www.znaytovar.ru/>