Обработка результатов измерений: этапы проведения измерений реально существующих объектов (детали, процессы, поля, явления и т.д.)

  • Вид работы:
    Реферат
  • Предмет:
    Другое
  • Язык:
    Русский
    ,
    Формат файла:
    MS Word
    224,71 Кб
  • Опубликовано:
    2014-11-30
Вы можете узнать стоимость помощи в написании студенческой работы.
Помощь в написании работы, которую точно примут!

Обработка результатов измерений: этапы проведения измерений реально существующих объектов (детали, процессы, поля, явления и т.д.)

ОТЧЕТ

об учебной практике

ЗАДАНИЕ

измерение модель погрешность

Сроки практики с 14 июля 2014 г. по 27 июля 2014 г.

Обработка результатов измерений: этапы проведения измерений, классификация погрешностей, обработка результатов прямых измерений, обработка результатов косвенных измерений, обработка результатов совокупных измерений

 

СОДЕРЖАНИЕ

Введение

.        Этапы проведения измерений

.        Классификация погрешностей

.        Обработка результатов измерений

.1.     Обработка результатов прямых измерений

.2.     Обработка результатов косвенных измерений

.3.     Обработка результатов совокупных измерений     

Заключение

Список использованных источников

Введение

Целью измерения является получение количественной информации о величине исследуемого объекта, под которым понимаются реально существующие объекты (детали, процессы, поля, явления и т.д.), а также взаимодействия между ними.

Измерение может производиться как в познавательных (изучение элементарных частиц, организма человека и т.д.), так и в прикладных (управление конкретным технологическим процессом, контроль качества продукции) задачах. Существует тесная взаимосвязь между научно-техническим прогрессом и достижениями в области измерений и измерительной техники. Важной составной частью большинства научно-исследовательских работ являются измерения, позволяющие установить количественные соотношения и закономерности изучаемых явлений.

Прогресс в области измерений способствовал и способствует многим новым открытиям, а достижения науки, в свою очередь - совершенствованию методов и средств измерений (например, благодаря использованию лазеров, микроэлектроники и т.п.)

Любое современное производство должно быть оснащено измерительными средствами, позволяющими осуществлять точный и объективный контроль технологического процесса. От этого зависят уровень качества продукции и производительность. В автоматизированном производстве своевременное получение необходимой достоверной измерительной информации является одним из важнейших условий качественного управления объектом регулирования. С другой стороны, развитие и совершенствование технологических процессов в области получения новых материалов и элементов создают возможности для совершенствования и создания принципиально новых средств измерительной техники.

1.      Этапы проведения измерений


Первым прорабатывается вопрос о предварительной модели объекта. При этом должна привлекаться вся имеющаяся в распоряжении информация. Должна использоваться имеющаяся информация о статистических характеристиках объекта измерения. В случае, если возникает сомнение в адекватности выбранной модели, то следует провести предварительно дополнительные измерения и уточнить модель либо выбрать средство измерения, не реагирующее на отклонения одного или нескольких неинформативных параметров объекта измерения. При определении модели объекта возможны варианты. Выбор того или другого из них определяется целью, задачами и условиями измерений. Правильный выбор модели позволит адекватно оценить результаты измерений и получить необходимую точность.

Следующий этап подготовки - обоснование необходимой точности эксперимента. Проработка этого вопроса должна вестись с учетом поставленной цели измерений при ряде ограничений, связанных с техническими возможностями, материальными и временными затратами и пр. Точность измерений должна соответствовать их основной цели. Избыточность по точности ведет к необоснованному усложнению и удорожанию эксперимента. Точность эксперимента во многом определяется выбором метода, средств и условиями измерений. Задача решается перебором возможных вариантов состава и степени влияния составляющих суммарной погрешности, которая должна не превышать заданного значения. Принимается вариант, в наибольшей степени удовлетворяющий требованиям удобства, простоты при соблюдении необходимой точности.

Важным этапом подготовки из мерительного эксперимента является разработка методики проведения эксперимента, под которой понимается совокупность действий с использованием различных способов и средств, обеспечивающих измерения с необходимой точностью. В число средств, используемых согласно методике, входят средства измерений, вычислительные и различные вспомогательные средства. Особое место при разработке методики занимает выбор вида измерений: прямых, косвенных, совместных или совокупных, а также метода измерений: непосредственной оценки, сравнения с мерой и т.д. Решается также вопрос, производится ли одно - или многократные измерения. В результате данного этапа подготовки разрабатывается схема измерений, план проведения эксперимента, подготавливается методика обработки результатов наблюдений и оценки влияния условия измерений на их результаты.

Необходимым этапом подготовки измерительного эксперимента является выбор средств измерений. Используемые в эксперименте средства измерений должны соответствовать принятым моделям, измеряемым величинам, целям и условиям проведения эксперимента. Возможны варианты, связанные с необходимостью автоматической регистрации результатов наблюдений, представления результатов в аналоговой или цифровой форме, ввода полученной измерительной информации в ЭВМ и пр. Однако каждый из вариантов должен прорабатываться на соответствие метрологических характеристик используемого средства измерений установленным требованиями по точности и их влиянию на результаты измерений.

Одним из основных разделов методики проведения измерительного эксперимента должен быть раздел, посвященный обработке результатов измерений (наблюдений) с целью установления значений измеряемой величины и оценки погрешности полученного результата измерения.

2.      Классификация погрешностей


Опыт показывает, что вследствие неточности измерительных приборов, несовершенства органов чувств, неполноты наших знаний, трудности учета всех побочных явлений, при многократном повторении одного и того же измерения получаются разные числовые значения изучаемой физической величины. Так бывает, даже если измерения производить в совершенно одинаковых условиях (равноточные измерения). При практическом использовании результатов тех или иных измерений возникает вопрос об истинном значении изучаемой физической величины, о точности измерения.

Термин «точность измерения», т.е. степень приближения результатов измерения к некоторому действительному значению, используется для качественного сравнения измерительных операций. Для количественной оценки используется понятие «погрешность (ошибка) измерений». Эти термины тесно связаны друг с другом: чем меньше погрешность, тем выше точность. Оценка погрешности измерений - одно из важных мероприятий по обеспечению достоверности измерений.

Количество факторов, влияющих на точность измерений, достаточно велико, и любая классификация погрешностей измерений в известной мере условна. На схеме, изображенной на рис. 1, приведена одна из возможных классификаций, которая может служить основой для оценки погрешности.

Погрешность измерения - это отклонение результата измерений x от истинного x0 (действительного) значения измеряемой величины. В зависимости от формы представления различают абсолютную, относительную и приведенную погрешности измерений.

Абсолютная погрешность измерения определяется как разность x0-x=Dx между истинным и измеренным значениями физической величины. Абсолютная погрешность может быть положительной или отрицательной в зависимости от того уменьшен или увеличен результат измерения по отношению к истинному значению.

Рис. 1. Классификация погрешностей

Относительная погрешность - отношение абсолютной погрешности к истинному значению или к результату измерения. Относительная погрешность чаще всего выражается в процентах.

Приведенная погрешность - отношение абсолютной погрешности к нормированному значению xn, выраженное в процентах  В качестве нормированного значения может быть взято максимальное или минимальное значение измеряемой величины.

В зависимости от характера проявления, причин возникновения и возможностей устранения различают систематическую и случайную составляющую погрешности измерения, а также грубые погрешности (промахи).

Систематические погрешности (ошибки) - это погрешности, которые сохраняют величину и знак от опыта к опыту, при равноточных измерениях. Типичными источниками систематических погрешностей бывают:

• несовершенство используемой измерительной аппаратуры,

• несовершенство используемого метода измерений;

• плохая настройка измерительной аппаратуры;

• недостаточное постоянство условий опыта;

• влияние окружающей среды;

• постоянные ошибки экспериментатора;

• неучтенные влияния других параметров.

Систематические погрешности считаются потенциально устранимыми. Чтобы избежать или уменьшить систематические погрешности необходимо критически относиться к методам исследования, совершенствуя их, применяя более точные приборы, следя за их исправностью и т.д.

Случайные погрешности (ошибки) - это погрешности, изменяющие свою величину или знак от опыта к опыту, при измерениях, выполненных одинаковым образом и при одинаковых условиях. Случайные погрешности обуславливаются большим числом случайных причин, действующих в каждом отдельном измерении различным, неизвестным образом. К числу таких причин относятся случайные вибрации отдельных частей прибора, различные изменения в среде (температурные, оптические, электрические, магнитные воздействия, изменение влажности, колебание воздуха), трение, физиологическое изменение органов чувств (например, утомление) и множество других причин, которые практически невозможно исключить. Предсказать величину случайной погрешности для одного измерения в принципе невозможно. Поэтому приходится повторять измерения до определенного разумного предела, а полученную совокупность результатов обрабатывать с помощью методов теории вероятностей и математической статистики.

Промахи или грубые погрешности (ошибки) - это ошибочные измерения или наблюдения, возникающие в результате небрежности при отсчете по прибору или неразборчивой записи показаний, при неправильном включении прибора, или при нарушении условий, в которых должен проводиться опыт (изменение напряжения, загрязнение материала и т.д.). Такие ошибочные данные следует отбросить или сделать повторные (контрольные) измерения.

3.      Обработка результатов измерений


Различают прямые и косвенные измерения. При прямых измерениях искомое значение величины находят непосредственно путем наблюдений (например, измерение длины линейкой, силы тока - амперметром, массы - пружинными весами). При косвенных измерениях искомое значение величины находят на основании известной зависимости между этой величиной и величинами, определенными в прямых измерениях (например: определение площади прямоугольника по длине его сторон, силы тока - по напряжению и сопротивлению электрической цепи и т. п.).

Обычно измерения проводят многократно, путем нескольких наблюдений.

Проводя многократные измерения, всегда получают совокупность результатов отдельных наблюдений xi. Математическая обработка результатов измерений позволяет определить интервал значений  а так-же вероятность P, с которой величина оказывается в этом интервале. Область значений называется [a,b] доверительным интервалом, а соответствующее ему значение P - доверительной вероятностью α. Для большинства технических измерений, а также при физических измерениях погрешностей производят для доверительной вероятности α=0,95.

3.1 Обработка результатов прямых измерений


. В результате прямых многократных измерений получаем n значений измеряемой величины: x1, x2,x3,…, xn

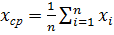
. Находим среднее (наиболее вероятное) значение искомой величины по формуле

.

. Определяем оценку среднеквадратического отклонения результата из n измерений по формуле


. В зависимости от числа проведенных измерений n и для доверительной вероятности находим коэффициент Стьюдента.

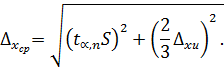
5. По паспорту измерительного прибора определяем инструментальную погрешность Δxи. Величина этой погрешности определяется классом точности или указывается в паспорте прибора как предельная погрешность, т. е. для доверительной вероятности α=0,997≈1. Поэтому при принятом значении α=0,95 инструментальную погрешность результата измерений следует учитывать с коэффициентом 2/3.

. Находим абсолютную погрешность по формуле


. Находим относительную погрешность по формуле


. Округляем абсолютную и относительную погрешности до двух значащих цифр (если первая из них меньше или равна 3) или до одной значащей цифры (если первая из них больше 3).

. Округляем результат измерения. Число значащих цифр результата измерений должно быть ограничено порядком величины абсолютной погрешности.

. Записываем результат измерений с указанием единиц

X=(…±)ед.;  …%; a=0,95

3.2 Обработка результатов косвенных измерений


При косвенных измерениях физическая величина определяется функциональной зависимостью z=f(x1, x2, x3, …, xn), где x1, x2, x3, xn - непосредственно измеряемые величины или же величины.

Обработка результатов косвенных измерений проводится в следующей последовательности:

. Находим средние значения и погрешности (абсолютную и относительную) каждой из непосредственно измеренных величин: x1, x2, x3,…, xn. Погрешности  и  определяются из прямых измерений или же, как инструментальная погрешность прибора при доверительной вероятности α=0,95.



. Определение погрешности величины zcp можно выполнить одним из двух способов.

Способ 1.

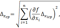
Вначале определяется абсолютная погрешность по формуле


где - абсолютная погрешность величины xi. Частные производные вычисляются при xi=xicp.

Затем определяется относительная погрешность по формуле


Способ 2.

Вначале определяется относительная погрешность по формуле

,

Где  - абсолютная погрешность величины xi. Частные производные от логарифма  вычисляются при xi=xicp.

Затем определяется абсолютная погрешность по формуле


. Округляем погрешности.

. Округляем результат косвенных измерений и записываем с указанием единиц по следующей форме: z=(…±)ед.;  …%; a=0,95.

3.3 Обработка результатов совокупных измерений

 

Совокупными называются проводимые одновременно измерения нескольких одноименных величин, при которых их искомые значения находят решением системы уравнений, получаемых при прямых измерениях различных сочетаний этих величин. Совместными называются проводимые одновременно измерения двух или нескольких неодноименных величин для установления зависимости между ними. Как видно из приведенных определений, эти два вида измерений весьма близки друг к другу. В обоих случаях искомые значения находятся в результате решения системы уравнений, коэффициенты в которых получены путем прямых измерений. Отличие состоит в том, что при совместных измерениях одновременно определяются несколько одноименных величин, а при совокупных - разноименных.

Косвенные, совместные и совокупные измерения объединяются одним принципиально важным общим свойством: их результаты определяются расчетом по известным функциональным зависимостям между измеряемыми величинами и величинами, подвергаемыми прямым измерениям. Различие между этими видами измерений заключается только в виде функциональной зависимости, используемой при расчетах. При косвенных измерениях она выражается одним уравнением в явном виде, при совместных и совокупных системой неявных уравнений.

Заключение

В основе любого измерительного процесса, независимо от объекта измерения, измеряемой физической величины, принципа измерения, способа обработки информации, лежат одни и те же закономерности. Точное описание измерительных процедур опирается на определение цели и особенностей измерений. Это выражается в алгоритмизации измерений, когда содержательное описание процедур и результатов заменяется формализованным.

Любое современное производство должно быть оснащено измерительными средствами, позволяющими осуществлять точный и объективный контроль технологического процесса. От этого зависят уровень качества продукции и производительность. В автоматизированном производстве своевременное получение необходимой достоверной измерительной информации является одним из важнейших условий качественного управления оборудованием. С другой стороны, развитие и совершенствование технологических процессов в области получения новых материалов и элементов создают возможности для совершенствования и создания принципиально новых средств измерительной техники.

Список использованных источников

1.      Сергеев А.Г. Метрология: Учебник. - М.: Логос, 2005. - 272 с ил. - ISBN 5-94010-374-Х

.        Бурдун Г.Д., Марков Б.Н. Основы метрологии [Текст]. - М.: Изд-во стандартов, 1972, 312 с.

.        Горбоконенко, В. Д. Метрология в вопросах и ответах [Текст] / В. Д. Горбоконенко, В. Е. Шикина. -Ульяновск: УлГТУ, 2005. - 196 с., - ISBN 5 - 89146 - 530 - 0

.        Кунце Х.-И. Методы физических измерений [Текст]: Пер. с нем.- М.: Мир, 1989. -216 с, ил. - ISBN 5-03-001018-1

.        Курепин В. В., Баранов И. В. Обработка экспериментальных данных [Текст]: Метод. указания к лабораторным работам для студентов 1, 2 и 3-го курсов всех спец./ Под ред. В. А. Самолетова. - СПб.: СПбГУНиПТ, 2003. - 57 с.

.        Кравченко Н.С. Методы обработки результатов измерений и оценки погрешностей в учебном лабораторном практикуме: учебное пособие [Текст] /Н.С. Кравченко, О.Г. Ревинская; Национальный исследовательский Томский политехнический университет. - Томск: Изд-во Томского политехнического университета, 2011. - 88 с.

Похожие работы на - Обработка результатов измерений: этапы проведения измерений реально существующих объектов (детали, процессы, поля, явления и т.д.)

 

Не нашли материал для своей работы?
Поможем написать уникальную работу
Без плагиата!
Без нейросетей!