Стандартная обработка результатов прямых измерений с многократными наблюдениями
МИНОБРНАУКИ РОССИИ
Федеральное государственное
автономное образовательное учреждение высшего профессионального образования
Южный федеральный университет
Факультет автоматики и вычислительной
техники
Кафедра систем автоматического
управления
Отчет
по лабораторной работе №2
по курсу: «Метрология»
Тема:
Стандартная обработка результатов
прямых измерений с многократными наблюдениями
Таганрог 2013 г.
Цель работы
Ознакомление с методикой выполнения прямых измерений с многократными
наблюдениями. Получение навыков стандартной обработки результатов наблюдений,
оценивания погрешностей и представления результатов измерений.
Общие сведения
В данной лабораторной работе необходимо провести измерение сопротивления
n резисторов с помощью цифрового измерителя иммитанса Е7-21, а затем обработать
полученные результаты. Обработка результатов измерений ведется по ГОСТ 8.207-76
"ГСИ. Прямые измерения с многократными наблюдениями. Методы обработки
результатов наблюдений. Основные положения". Этот ГОСТ регламентирует
методику выполнения прямых измерений с многократными независимыми наблюдениями
и устанавливает основные положения методов обработки результатов наблюдений и
оценивания погрешностей результатов измерений.
При выполнении лабораторной работы следует иметь в виду, что значение
сопротивления каждого резистора несколько отличается от номинального. Для
каждого конкретного резистора отклонение от номинала - детерминированная
(постоянная) величина; а для совокупности резисторов данного типа и номинала -
случайная величина, меняющаяся от экземпляра к экземпляру. Анализ этой величины
может использоваться, в частности, для определения качества и управляемости
процесса производства.
Обработка результатов наблюдений:
При статистической обработке группы результатов наблюдений n
следует выполнить следующие
операции.
. Исключить известные систематические погрешности из результатов
наблюдений.
2. Вычислить среднее арифметическое исправленных результатов
наблюдений
, принимаемое за результат измерения:
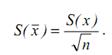
. Вычислить оценку среднего квадратического отклонения (СКО) результата
наблюдения:
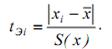
Вычислив оценку СКО результата наблюдений, необходимо проверить наличие в
группе наблюдений грубых погрешностей (промахов). При числе измерений
n>20,…,50 можно применить критерий 3ζ: при нормальном законе распределения
ни одна случайная погрешность
с вероятностью 0.997 не может выйти за пределы ±3ζ.
Наблюдения, содержащие
грубые погрешности, т.е. те, для которых выполняется условие:
,
исключают из группы и заново повторяют вычисления
и S(x).

. Вычислить оценку среднего квадратического отклонения результата
измерения:
5. Проверить гипотезу о том, что результаты наблюдений принадлежат
нормальному распределению
При числе результатов наблюдений 15<n<50 для проверки
принадлежности их к нормальному распределению предпочтительным является
составной критерий, приведенный ниже. В случае, если хотя бы один из критериев
не соблюдается, считают, что распределение результатов наблюдений группы не
соответствует нормальному.
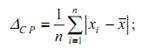
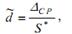
Критерий 1. Вычисляют отношение
где
- среднее отклонение результатов наблюдений, определяемое по
формуле:
-смещенная оценка среднего квадратического отклонения,
вычисляемая по
формуле:
Если найденное
удовлетворяет неравенству

заранее выбранный уровень значимости критерия, переходят к
проверке второго критерия. Если неравенство не выполняется, считают, что
результаты наблюдений не принадлежат нормальному закону и второй критерий не
проверяют.
многократный квадратический средний доверительный
Таблица 1
Критерий 2: Оценка по критерию 2 заключается в определении числа
Отклонений
экспериментальных значений
, превосходящих теоретическое
значение
для заданного уровня значимости
. Для этого при заданных
. и n находятся параметры α
и
по данным таблице. 2
Таблица 2
Далее находится квантиль интегральной функции нормированного нормального
распределения
, которая определяется из таблицы 3 для значения:
Таблица 3
Затем вычисляются экспериментальные значения параметра по формуле
по формуле:
Вычисленное значение
сравнивается с теоретическим значением
и подсчитывается число отклонений
, для которых удовлетворяется
неравенство
. Значение
сравнивается с теоретическим числом отклонений
. Если
, то распределение данного ряда
наблюдений не противоречит нормальному. В случае, если при проверке
нормальности распределения результатов наблюдений группы для критерия 1 выбран уровень
значимости
, а для критерия 2 -
, то результирующий уровень
значимости составного критерия:

. Вычислить доверительные границы случайной погрешности (случайной
составляющей погрешности) результата измерения.
Доверительные границы ε (без учета знака) случайной
погрешности результата измерения находят по формуле:
где t - коэффициент Стьюдента, который в зависимости от доверительной
вероятности Р и числа результатов наблюдений n находят по таблице.4
Таблица 4
7. При равномерном распределении неисключенных систематических
погрешностей эти границы (без учета знака) можно вычислить по формуле
где θ i - граница i-й неисключенной систематической погрешности;-
коэффициент, определяемый принятой доверительной вероятностью.
Доверительную вероятность для вычисления границ неисключенной
систематической погрешности принимают той же, что при вычислении доверительных
границ случайной погрешности результата измерения.
Коэффициент k принимают равным 1,1 при доверительной вероятности Р =
0,95.
. Вычислить доверительные границы погрешности результата измерения
Для определения доверительных границ погрешности результата измерения
доверительную вероятность Р принимают равной 0,95.
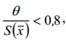
Для определения доверительных границ погрешности результата измерения
вычисляют отношение
.
Если
, то случайной погрешностью можно пренебречь и принять границы
погрешности результата
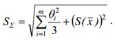
.∑ - оценка суммарного среднего квадратического
отклонения результата измерения.
Оценку суммарного среднего квадратического отклонения результата
измерения вычисляют по формуле

Вывод: В ходе выполнения данной лабораторной работы была изучена методика
выполнения прямых измерений с многократными наблюдениями, а также получены
навыки стандартной обработки результатов наблюдений, были получены навыки в
оценке погрешностей. Все результаты измерений и вычислений представлены в
отчете.