Составление схемы замещения

  • Вид работы:
    Курсовая работа (т)
  • Предмет:
    Физика
  • Язык:
    Русский
    ,
    Формат файла:
    MS Word
    266,59 Кб
  • Опубликовано:
    2016-04-12
Вы можете узнать стоимость помощи в написании студенческой работы.
Помощь в написании работы, которую точно примут!

Составление схемы замещения

Министерство науки и образования Республики Казахстан

Екибастузский инженерно-технический институт им. К.И. Сатпаева

Кафедра «Энергетика и металлургия»










Курсовая работа

по дисциплине: «Переходные процессы»

Выполнил:

студент гр. БЭЭ-31

Москова С.С.

Проверил:

Имангазинова Д.К.





Екибастуз, 2016 г.

Задание

1. Составить схему замещения для заданной электрической схемы и рассчитать ее параметры в относительных единицах.

2.      Определить сверхпереходный и ударный токи трехфазного короткого замыкания в точке К(3) заданной схемы. Определить методом типовых кривых периодическую слагающую тока.

.        Определить начальные значения токов всех видов несимметричных коротких замыканий в заданной точке К(n). Построить векторные диаграммы токов и напряжений.

.        Определить предел передаваемой мощности и коэффициент статической устойчивости электропередачи с учетом и без учета АРВ.

Рисунок 1 - Исходная электрическая схема

Содержание

1.      Составление схемы замещения. Расчет параметров схемы

.        Расчет сверхпереходного и ударного токов трехфазного короткого замыкания

.        Расчет токов всех видов коротких замыканий. Построение векторных диаграмм

.        Расчет предела передаваемой мощности и коэффициента статической устойчивости

Список использованных источников

. Составление схемы замещения. Расчет параметров схемы

Составим схему замещения на основе заданной электрической схемы.












Рисунок 2 - Схема замещения

Определим основные параметры схемы. Рассчитаем реактивное сопротивление системы.

        (1)

Найдем сопротивления автотрансформаторов. Для этого определим напряжения короткого замыкания.

(2)

(3)

(4)

Т.к. параметры автотрансформаторов АТ1 и АТ2 равны, то реактивные сопротивления соответствующих обмоток будут равны между собой.

      (5)

 

      (6)

Рассчитаем реактивные сопротивления линий.

  (7)

Определим реактивное сопротивление двухобмоточного трансформатора.

      (8)

Произведем расчет напряжений короткого замыкания и реактивных сопротивлений автотрансформатора АТ3.

   (9)

   (10)

   (11)

      (12)

 

      (13)

Определим реактивное сопротивление нагрузки.

    (14)

Рассчитаем реактивные сопротивления генераторов.

     (15)

     (16)

Найдем реактивное сопротивление синхронного двигателя.

    (17)

Принимаем сверхпереходные ЭДС системы , нагрузки .

Определим сверхпереходную ЭДС генераторов.

  (18)

 

 

Рассчитаем сверхпереходную ЭДС синхронного двигателя.

 

1      

. Расчет сверхпереходного и ударного токов трехфазного короткого замыкания

Преобразуем исходную электрическую схему относительно точки К1. Для этого объединим параллельное соединение синхронного двигателя и генератора.

(19)

             (20)

Заменим последовательные соединения сопротивлений каждой ветви в одно сопротивление.

 (21)

 (22)











Рисунок 3 - Схема преобразований

Произведем дальнейшее преобразование схемы замещения до точки КЗ.

  (24)

            (25)

 (26)

(27)

            (28)








Рисунок 4 - Эквивалентная схема относительно точки КЗ

Произведем расчет сверхпереходного тока трехфазного короткого замыкания.

        (29)

 (30)

Определим ударный ток трехфазного короткого замыкания. Для этого оценим значения активных сопротивлений схемы.

Активное сопротивление системы.

        (31)

Активные сопротивления соответствующих обмоток автотрансформаторов АТ1 и АТ2.

(32)

 

  (33)

Активные сопротивления линий.

  (34)

Активное сопротивление двухобмоточного трансформатора.

          (35)

Активные сопротивления автотрансформатора АТ3.

         (36)

 

(37)

Активное сопротивление нагрузки.

(38)

Активные сопротивления генераторов.

        (39)

        (40)

Активное сопротивление синхронного двигателя.

         (41)

Преобразуем исходную схему относительно точки К1 с учетом активных сопротивлений.

  (42)

 (43)

 (44)

 (45)

  (46)

 (47)

  (48)

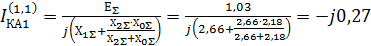
Рассчитаем отношения .

 

 

Определим с помощью графика значения ударных коэффициентов: , . Произведем расчет ударных токов.

 (49)

 (50)

3. Расчет токов всех видов коротких замыканий. Построение векторных диаграмм

Произведем расчет схемы прямой последовательности.















Рисунок 5 - Схема прямой последовательности

Т.к. все реактивные сопротивления и сверхпереходные ЭДС рассчитаны, запишем их значения.

 

 

 

 

 

 

 

 

 

 

 

 

 

 

 

 

 

Рассчитаем реактивные сопротивления линий.

         (51)

      (53)

Преобразуем схему прямой последовательности относительно точки К(n), используя формулы (19-28).

 

 

 

 

 

 

 

 

 

 




Рисунок 6 - Преобразованная схема прямой последовательности

Определим суммарные реактивные сопротивления и ЭДС.

(54)

             (55)

Рассчитаем сверхпереходный ток, используя формулы (29-30).

 

 

Произведем расчет схемы обратной последовательности.

Т.к. все реактивные сопротивления рассчитаны, запишем их значения.

 

 

 

 

 

 

 

 

 

 

 

 

 

 

 

схема замещение короткий замыкание















Рисунок 7 - Схема обратной последовательности

Преобразование схемы обратной последовательности относительно точки К(n) будет идентично преобразованию схемы прямой последовательности.

 

 

 

 

 

 

 




Рисунок 8 - Преобразованная схема обратной последовательности

Суммарное реактивное сопротивление схемы обратной последовательности.

 

Произведем расчет схемы нулевой последовательности.












Рисунок 9 - Схема нулевой последовательности

Т.к. все реактивные сопротивления рассчитаны, запишем их значения.

 

 

 

 

 

 

 

 

 

 

 

Преобразуем схему нулевой последовательности относительно точки К(n).

 (56)

   (57)

 (58)

 (59)

Представим схему нулевой последовательности после преобразований.




Рисунок 10 - Преобразованная схема нулевой последовательности


(60)

Произведем расчет однофазного КЗ.

       (61)

  (62)

 (63)

 (64)

 (65)

 (66)

 (67)

 (68)

 

 (69)

 

Представим векторные диаграммы токов и напряжений.














Рисунок 11 - Векторная диаграмма токов однофазного КЗ










Рисунок 12 - Векторная диаграмма напряжений однофазного КЗ

Рассчитаем двухфазное КЗ.

  (70)

 (71)

 (72)

 (73)

 (74)

Представим векторные диаграммы токов и напряжений.












Рисунок 13 - Векторная диаграмма токов двухфазного КЗ







Рисунок 14 - Векторная диаграмма напряжений двухфазного КЗ

Произведем расчет двухфазного КЗ на землю.

            (75)

  (76)

       (77)

 

        (78)

 

 (79)

 

Представим векторные диаграммы токов и напряжений.














Рисунок 15 - Векторная диаграмма токов двухфазного КЗ на землю










Рисунок 16 - Векторная диаграмма напряжений двухфазного КЗ на землю

4.
Расчет предела передаваемой мощности и коэффициента статической устойчивости

Представим схему замещения без учета системы.













Рисунок 17 - Схема замещения без учета системы

Произведем преобразование схемы относительно точки КЗ.

 (80)

 (81)

  (82)

        (83)

(84)

            (85)

(86)

             (87)

(88)

(89)

             (90)

Представим полученную схему.


Рисунок 18 - Преобразованная схема замещения без учета системы

 (91)

 (92)

 (93)

 (94)

    (95)

Принимаем , .

 (96)

    (97)

Рассчитаем предел передаваемой мощности без учета АРВ.

(98)

  (99)

 

Произведем проверку правильности расчета.

 (100)

Без учета АРВ .

(101)


    (102)


Рисунок 19 - Схема замещения без учета АРВ

Произведем необходимый расчет для построения диаграммы (в нормальном и максимальном режимах).

Нормальный режим.

   (103)

 

   (104)

 (105)

   (106)

 (107)

 (108)

(109)

Максимальный режим.

   (110)

 

 (111)

  (112)

      (113)

 (114)

      (115)

 (116)

 (117)

   (118)












Рисунок 20 - Векторная диаграмма

Рассчитаем предел передаваемой мощности с учетом АРВ.

  (119)

     (120)

     (121)

     (122)

       (123)

             (124)

            (125)

(126)

(127)

(128)

             (129)


Рисунок 21 - Схема замещения

 

 (130)

 (131)

    (132)

      (133)

 (134)

 

Определим , для этого продифференцируем следующее выражение:

       (135)

         (136)

(137)

                                                        (138)

                                             (139)

                                           (140)

      (141)

В ходе выполнения математических действий получим, что . Тогда .

   (142)

 

Определим коэффициент статической устойчивости.

     (143)

Нормальный режим.

 

 

 

 

 

 

 

Максимальный режим.

 

 

(144)

      (145)

      (147)

 (148)

 (149)

   (150)

Список литературы

1.          Ульянов С.А. Электромагнитные переходные процессы. - 1970.

2.      Веников В.А. Переходные электромеханические процессы в электрических системах. - М.: Высшая школа, 1985. - 536 с.

.        Ахметбаев Д.С. Методические указания к выполнению курсовой работы.

Похожие работы на - Составление схемы замещения

 

Не нашли материал для своей работы?
Поможем написать уникальную работу
Без плагиата!
Без нейросетей!