Системи охолодження
Вступ
процесор відеокарта вентилятор охолодження
Сьогодні в комп'ютерах практично не
використовується пасивне охолодження. Комп‘ютери з такими системами були
абсолютно безшумними, але і малопродуктивними. Із зростанням продуктивності
процесорів і інших компонентів ПК зростало і їх енергоспоживання і, як
наслідок, компоненти ПК ставали усе більш гарячими. Процесори стали оснащувати
масивними радіаторами, а незабаром до них додалися і вентилятори, тобто пасивне
охолодження процесорів вже не могло забезпечити необхідне тепловідведення для
забезпечення допустимої температури, і стало використовуватися повітряне
охолодження. Із зростанням тактових частот процесорів збільшувалася і
ефективність тепловідводу, що досягалося використанням масивніших радіаторів і
швидших вентиляторів. З'явилися радіатори на теплових трубках, альтернативні
системи водяного охолодження, системи охолодження з використанням
термоелектричних модулів Пельтьє. Крім того, поступово радіаторами стали
оснащуватися графічні карти, чипсет, пам'ять і навіть окремі мікросхеми на
материнських платах. А якщо додати до цього ще і систему охолодження процесора,
відеокарти, радіатори, що встановлюються на модулі пам'яті, то стає зрозуміло,
що джерел тепловиділення в сучасному комп'ютері досить багато і для нормальної
роботи усієї цієї складної системи потрібно створення ефективної системи
тепловідведення.
Сьогодні розроблена досить велика кількість
систем охолодження, які відрізняються одна від іншої принципом функціонування
системи тепловідведення, тобто середовища, яке використовується для відведення
тепла. За системами тепловідведення системи охолодження можна розділити на
наступні категорії:
ü пасивні системи
охолодження на основі радіаторів;
ü системи
охолодження на основі теплових трубок;
ü повітряні системи
охолодження;
ü рідинні системи
охолодження;
ü системи
охолодження на основі модулів Пельтьє.
1. Описова частина
1.1 Фізика охолодження
Усі системи охолодження використовують загальний
принцип дії: перенесення тепла від гарячішого тіла (охолоджуваного об'єкту) до
менш гарячого (системі охолодження). При постійному нагріві охолоджуваного
об'єкту, рано чи пізно прогріється також і система охолодження, температура її
порівняється з температурою охолоджуваного об'єкту, передача тепла припиниться
- це викличе перегрівання. Щоб цього не сталося, необхідно організувати
підведення деякої холодної речовини, здатної охолоджувати саму систему
охолодження. Таку речовину прийнято називати холодагентом (теплоносієм). У
нашому випадку холодагентом виступає повітря. Вважатимемо, що навколо
комп'ютера є необмежений запас холодного повітря: це припущення справедливе,
якщо об'єм кімнати, в якій встановлений один або декілька комп'ютерів, досить
великий - повітря в кімнаті не нагрівається істотно за допомогою комп'ютерів.
Типова кімната в житловому будинку або офісі цілком задовольняє цим вимогам.
Це припущення буде невірним при проектуванні
охолодження серверної кімнати: велика кількість техніки, зібраної в невеликому
об'ємі, вимагає додаткової примусової вентиляції.
Існує декілька механізмів перенесення тепла.
Перший: теплопровідність, здатність речовини
проводити тепло усередині свого об'єму; в цьому випадку треба тільки створити
фізичний контакт деякого об'єму речовини з охолоджуваним об'єктом. З доступних
речовин найкращу теплопровідність мають метали; радіатори і теплообмінники
систем охолодження якраз з них і виготовляються. Серед металів краще за усіх
проводить тепло срібло, з менш дорогих - мідь, потім алюміній; як правило, саме
тому мідні радіатори мають більшу ефективність, ніж алюмінієві. Повітря, до
речі, має дуже невисоку теплопровідність (завдяки цьому віконні пакети в наших
будинках зберігають тепло).
Другий механізм: конвективний, теплообмін з
холодагентом, пов'язаний з фізичним перенесенням охолоджувальної речовини; для
ефективного охолодження треба організувати вільну циркуляцію повітря.
Категорично не рекомендується встановлювати комп'ютер в глухий, закритий ящик
столу; також погано, якщо комп'ютер встановлений поряд з радіатором опалювання.
Третій механізм: теплове випромінювання, його
величина є дуже малою в процесах, що розглядаються.
Для організації перенесення тепла до холодагенту
необхідно організувати тепловий контакт системи охолодження з повітрям. Для
цього конструюють різні радіатори (англ.: heatsink). Очевидно, чим більшою є
площа теплового контакту, тим інтенсивніше передається тепло. Використовують
два методи збільшення площі радіатора.
Перший: збільшення площі ребер при збереженні
розміру радіатора; обребрення виходить густішим, самі ребра - тоншими.
Теплообмін в такому радіаторі покращується, але зростає його гідравлічний опір:
необхідно створити більший тиск, щоб прокачати через радіатор заданий об'єм
повітря.
Другий метод: збільшення геометричних розмірів
радіатора, що дозволяє залучити в процес теплообміну більший об'єм повітря,
також знижується гідравлічний опір радіатора. Таким чином, переважними
виявляються радіатори великих розмірів.
.2 Охолодження процесорів і відеокарт
Центральний процесор і графічний процесор -
найпотужніші джерела тепла всередині сучасного комп'ютера. Розроблена безліч
різних конструкцій систем охолодження для цих компонент. Краще використовувати
системи охолодження з максимально великими радіаторами, бажано мідними. Часто
застосовують комбіновану схему: мідне осердя, впресоване в алюмінієвий
радіатор; мідь допомагає ефективніше розподіляти тепло. Вентилятори системи
охолодження краще використовувати низькошвидкісні: вони працюють тихіше. Щоб
зберегти прийнятну продуктивність, застосовують вентилятори великого типорозміру
(аж до ø120 мм). Так,
наприклад, виглядає процесорний кулер Zalman CNPS7700 - AlCu:
Рис.1.1.
Часто для побудови великого радіатора
використовують теплові трубки (англ.: heatpipe) - герметично запаяні і спеціальним
чином влаштовані металеві трубки (зазвичай мідні). Вони дуже ефективно
переносять тепло від одного свого кінця до іншого: таким чином, навіть
найдальші ребра великого радіатора ефективно працюють в охолодженні. Так,
наприклад, влаштований популярний кулер ScytheNinja:
Рис.1.2.
Для охолодження сучасних продуктивних графічних
процесорів застосовують ті самі методи: великі радіатори, мідні осердя систем
охолодження або повністю мідні радіатори, теплові трубки для перенесення тепла
до додаткових радіаторів:
Рис.1.3
Зазвичай вентилятори систем охолодження відеокарт
лише перемішували повітря всередині системного блоку, що не дуже ефективно з
точки зору охолодження усього комп'ютера. Лише зовсім нещодавно для охолодження
відеокарт стали застосовувати системи охолодження, які виносять гаряче повітря
за межі корпусу: першими стали Arctic Cooling Silencer і схожа конструкція IceQ
від бренду HIS:
Рис.1.4
Подібні системи охолодження встановлюються на
найпотужніші сучасні відеокарти (nVidiaGeForce 8800, ATI x1800XT і старше).
Така конструкція більше виправдана з точки зору правильної організації
повітряних потоків всередині корпусу комп'ютера, чим традиційні схеми.
.3 Зв'язок між температурою і потужністю
Розглянемо графік залежності температури джерела
від розсіюваної потужності для трьох різних кулерів.


Рис. 1.5
Чи можна стверджувати, що кулер 3 менш
ефективний, чим перші два? Звичайно, оскільки при усіх рівнях тепловиділення
його температурні показники гірші. Не настільки однозначною виглядає картина
порівняння кулерів 1 і 2. Дійсно, після відмітки в 160 Вт характеристики
другого кулера не погіршуються, тоді як кулер 1 вже не здатний зберегти лінійне
зростання температури. На перший погляд усе просто, але якщо врахувати, що
теплова потужність навіть найпродуктивніших процесорів не перевершує значення
140 Вт, доводиться стверджувати, що ефективність їх все ж таки є однаковою.
Помітимо, що кулер 1 є Al-Cu - конструкцією, а кулер 2 повністю мідний.
Відповідно можна зробити наступні висновки:
. Залежність температури системи (процесора) від
потужності, що виділяється, умовно можна вважати лінійною тільки в суворо
певних межах.
. Далеко не завжди можливість кулера справлятися
з більшою потужністю означає ефективніше тепловідведення від кристалів з меншим
тепловиділенням. Типовим прикладом є системи водяного охолодження, які
використовуються в комп'ютерах. Їх здатність утримувати температуру нагрівача
потужністю до 300 Вт в межах 80°С зовсім не гарантує меншу температуру
процесора 100-ват в порівнянні з хорошим «повітряним» кулером.
.4 Вплив термоінтерфейсів
На малюнку зображена схема поширення тепла від
кристала. Будь-який перехід між показаними елементами явно або умовно є
термоінтерфейсом з відповідним йому термоопором. З них найбільш значущим і
знайомим користувачеві є термопаста, яка виконує функції «провідника» тепла від
процесора до кулеру.
Рис.1.6. Загальна схема розподілу тепла від
кристала CPU
1.5 Види систем охолодження
Пасивні системи охолодження на основі радіаторів
Традиційна система охолодження процесора або
будь-якої гарячої мікросхеми, яка має назву кулера, включає радіатор і
вентилятор. Радіатор потрібний для того, щоб збільшити інтенсивність
теплообміну між процесором і навколишнім простором. Радіатори виконуються з алюмінію,
міді або з комбінації обох металів.
Радіатори повинні відповідати певним вимогам.
По-перше, швидко забирати тепло від процесора, по-друге, добре проводити тепло
від своєї нижньої (гарячіше) поверхні до верхньої (холодної) і, по-третє,
ефективно розсіювати це тепло в навколишній простір.
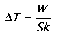
Передача тепла між процесором і радіатором
(процес тепловіддачі) залежить від різниці температур на межі двох середовищ,
від площі контакту і від контактуючих матеріалів:
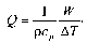
(1.1)
де W - кількість теплоти (тепловий потік), що
передається в одиницю часу;- площа контакту;
DT - різниця температур;
α - коефіцієнт
тепловіддачі, залежний від контактуючих матеріалів.
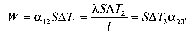
Аналогічно можна записати тепловий потік між
радіатором і навколишнім середовищем. Ефективність процесу передачі тепла
всередині самого радіатора (процес теплопровідності) залежить від різниці
температур між гарячою і холодною поверхнями радіатора, поперечного перерізу
радіатора і його висоти:
(1.2)
де - W - створюваний тепловий потік;- поперечний
переріз радіатора;- висота радіатора;
DT - різниця температур;
α - коефіцієнт
теплопровідності.
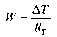
Щоб підвищити ефективність теплопровідності
всередині самого радіатора, його виготовляють з матеріалу з високим
коефіцієнтом теплопровідності. Найвищий коефіцієнт теплопровідності (407 Вт/М×К) має срібло,
але через високу вартість воно не використовується для виготовлення радіаторів.
На другому місці за коефіцієнтом теплопровідності (384 Вт/М×К) стоїть мідь,
тому її часто використовують при виготовленні радіаторів.
Щоб збільшити ефективність тепловіддачі між
поверхнею мікросхеми (джерелом тепла) і радіатором, в якості проміжного шару
між ними використовують термопасту. Фактично в даному випадку йдеться про
процеси тепловіддачі між поверхнею мікросхеми і термопастою, теплопровідності
усередині шару термопасти і тепловіддачі між термопастою і поверхнею радіатора.
З урахуванням того, що тепловий потік на всіх ділянках теплообміну повинен
залишатися незмінним, маємо:
(1.3)
де
- коефіцієнт
тепловіддачі між поверхнею мікросхеми і термопастою;
- коефіцієнт тепловіддачі між термопастою і поверхнею
радіатора;
- коефіцієнт теплопровідності термопасти;
- товщина шару термопасти;
- різниця температур на межі контакту мікросхеми і
термопасти;
- різниця температур між нижнім і верхнім шарами термопасти;
- різниця температур на межі контакту термопасти і
радіатора.
Враховуючи, що сума різниць температур дорівнює
загальній різниці температур, тобто
отримаємо:
(1.4)
Якщо позначити
, то різницю температур
можна записати у вигляді:
(1.5)
Відповідно, тепловий потік між поверхнею
мікросхеми і радіатором через шар термопасти запишеться у вигляді:
(1.6)
Коефіцієнт
називають коефіцієнтом
теплопередачі. Для ефективного тепловідводу (високий коефіцієнт теплопередачі)
термопаста повинна мати високий коефіцієнт тепловіддачі між поверхнею
мікросхеми і термопастою і між термопастою і радіатором, а також мати великий
коефіцієнт теплопровідності і як можна меншу товщину шару.
Якщо в цій формулі величину
позначити як RT,
то тепловий потік можна записати у вигляді:
(1.7)
Величина RT, яка вимірюється в°С / Вт,
називається тепловим опором переходу «мікросхема - термопаста - радіатор».
Тепловий опір показує різницю температури між мікросхемою і поверхнею радіатора
при відведенні через цей перехід 1 Вт тепла.
Щоб збільшити ефективність тепловіддачі між
поверхнею радіатора і навколишнім повітрям, збільшують площу радіатора (площа
теплового розсіювання), роблячи поверхню радіатора ребристою.
Аналогічно, як і у випадку з термопастою, при
розгляді усіх процесів теплообміну і теплопередачі при перенесенні тепла від
мікросхеми в навколишній простір тепловий потік можна зависати у вигляді:
(1.8)
де
- тепловий опір радіатора;
- різниця температур між поверхнею мікросхеми і навколишнім
простором.
Тепловий опір радіатора є його найважливішою
технічною характеристикою і показує, наскільки зміниться температура поверхні
мікросхеми відносно температури навколишнього простору при відведенні 1 Вт
теплової потужності через цей радіатор. Якщо, наприклад, відомо, що тепловий
опір радіатора складає 1°С / Вт, типова температура оточуючогосередовища 40°С,
а теплова потужність мікросхеми 10 Вт, то температура поверхні мікросхеми при
відведенні тепла через цей радіатор буде на 10°С вищою, ніж температура
навколишнього простору, тобто складе 50°С.
Потужність тепловиділення процесора IntelPentium
4 з тактовою частотою 3,8 ГГц складає 130 Вт. При цьому температура поверхні
процесора не повинна перевищувати80°С. Якщо врахувати, що типова температура
повітря всередині ПК складає близько 50°С, то нескладно підрахувати, що
тепловий опір радіатора для такого процесора має бути не більше 0,23°С / Вт. Такого
малого теплового опору не має жоден пасивний радіатор. Кардинально зменшити
його тепловий опір можна при використанні додаткового вентилятора. Вентилятор
створює примусову конвекцію повітря, що сприяє зростанню ефективності
теплообміну між радіатором і навколишнім середовищем. Тому для зменшення
теплового опору разом з радіатором використовується вентилятор, а їх сукупність
називають кулером. Відмітимо, що тепловий опір сучасних процесорних кулерів
дорівнює 0,2°С / Вт і більше.
Системи охолодження на основі теплових трубок
Власне, сам термін «теплова труба» (HeatPipe)
далеко не новий. Вперше ідея використання теплової труби як пристрою з високою
теплопровідністю була запропонована Голгером ще в 1942 році, і такі труби в
радіаторах процесорів зустрічаються все частіше. Особливо актуальні вони для
систем охолодження чипсетів і компонентів відеокарт.
Передусім зупинимося на принципі дії теплової
труби. Прототипом теплової труби був термосифон, тому спочатку слід розглянути
принцип дії цього пристрою.
Принцип дії термосифону досить простий і
заснований на такому добре відомому фізичному явищі, як конвекція (Рис. 1.7).
Простий термосифон є порожнистою трубкою, наприклад, з міді, всередині якої є
невелика кількість робочої рідини. Рідина може бути різною - усе залежить від
характерних температур. Для температур від 0 до 300°Св якості робочої рідини
може використовуватися вода. Після додавання рідини з корпусу термосифону
відкачують повітря, а корпус запаюють (герметизують).
Рис. 1.7. Будова термосифону
Термосифон розташовується вертикально, а кінець з
рідиною поміщається в область підвищеної температури. При підводі тепла рідина
починає перетворюватися на пару (зона випару). З курсу фізики відомо, що процес
пароутворення відбувається при будь-якій температурі, проте тільки до тих пір,
поки тиск пари над рідиною не стане насиченим. На швидкість пароутворення
впливають такі чинники, як температура рідини і тиск. Щоб підвищити
інтенсивність пароутворення при температурах, які значно нижче за температуру
кипіння рідини (маються на увазі температури кипіння при нормальному
атмосферному тиску), якраз і створюється розріджений тиск всередині
термосифону.
Пара, що утворюється при нагріванні, в результаті
конвекції рухається вгору, тобто в зону з меншою температурою. В результаті
охолодження пара конденсується і стікає по стінках термосифону вниз. Отже, ми
розглянули просту модель теплової труби (точніше, термосифону), що володіє
теплопровідністю, яка в сотні разів є вищою за теплопровідність аналогічної по
геометрії цілісної мідної трубки. Для ефективного тепловідводу за допомогою
такого термосифону необхідно забезпечити постійне відведення тепла від зони
конденсації, що можна зробити за допомогою радіатора. Таким чином, необхідно,
щоб завжди був градієнт температури і щоб температура зони конденсації була
достатньою для конденсації пари. Відмітимо, що термосифон здатний забезпечити
велику потужність теплопередачі навіть при малій різниці температур між його
кінцями, оскільки прихована теплота пароутворення у рідин велика.
Саме необхідність повернення рідини, що
сконденсувалася, в зону випару виключає використання термосифону інакше, як в
горизонтальному положенні. В цьому випадку рідина стікає вниз під дією
гравітаційних сил, тому термосифон може працювати тільки тоді, коли зона випару
знаходиться нижче за зону конденсації. У цьому полягає головний недолік
термосифону, що обмежує його використання в системах охолодження процесорів.
Для побудови більш універсальних систем охолодження вимагається, щоб
тепловідведення здійснювалося при будь-якому положенні труби, а не тільки при
вертикальному. Проте для цього необхідно передбачити інший механізм повернення
конденсату в зону випару, тобто не під дією, а, можливо, всупереч дії
гравітаційних сил. Таким механізмом повернення може служити капілярний ефект.
Ідея є досить простою: якщо опустити у вертикальному положенні кінець ганчірки
або мотузка в склянку з водою, то через деякий час уся ганчірка або мотузок стане
мокрою, оскільки за рахунок капілярного ефекту вода підніматиметься по ганчірці
вгору проти дії гравітаційних сил. Отже, додаємо в термосифон пористий
капілярний матеріал (гніт) і отримуємо теплову трубу. Уперше така теплова труба
була запропонована Гровером в 1963 році.
У тепловій трубі в якості сили, що піднімають
конденсат проти сил гравітації, використовуються капілярні сили, що виникають
при змочуванні рідиною капілярно-пористого матеріалу. На відміну від
термосифону, теплова труба працює в будь-якому положенні (Рис. 1.8).
Рис. 1.8. Будова теплової трубки
Теплові труби, що використовуються для системи
охолодження процесорів, зазвичай виготовляються з міді. При цьому корпус
теплової труби має бути герметичним, витримувати перепад тисків між внутрішнім
і зовнішнім середовищами і забезпечувати підведення тепла до робочої рідини і
відведення тепла від неї. Діаметр теплової труби може бути різним, проте
повинна дотримуватися умова, щоб внутрішній діаметр порожнини виключав дію
капілярних сил, тобто щоб паровий канал не перетворився на капілярний.
В якості робочої рідини можуть використовуватися
різні речовини, але вони повинні відповідати певним вимогам. Передусім робоча
рідина повинна мати точку фазового переходу «рідина - пара» в необхідному
діапазоні робочих температур. До того ж рідина повинна мати досить велику
питому теплоту пароутворення, оскільки чим вище питома теплота пароутворення,
тим менше буде потрібно рідині. Крім того, рідина повинна мати високу теплопровідність,
щоб звести до мінімуму перепад температур між стінкою трубки і поверхнею
випару. Прийнятніше використання рідин з високим поверхневим натягом, оскільки
в цьому випадку рідина матиме яскраво виражений капілярний ефект.
Для охолодження процесорів в якості робочої
рідини можна використовувати воду (діапазон робочих температур - від 30 до
200°С) або ацетон (діапазон робочих температур - від 0 до 120°С).
Капілярно-пористий матеріал, що використовується
в теплових трубках, має бути досить дрібнопористим для поліпшення капілярного
ефекту, але в той самий час занадто дрібнопориста структура перешкоджатиме
проникненню рідини. Тому вибір матеріалу для гніту залежить і від робочих
температур, і від загальної довжини теплової трубки.
Повітряні системи охолодження
Характеристики вентиляторів
Для зменшення теплового опору кулери обладнуються
вентиляторами. Звичайно ж, вентилятори використовуються не лише разом із
радіаторами, але і окремо для створення примусової конвекції повітря всередині
системного блоку (чи блоку живлення). Основу усіх сучасних вентиляторів, які
використовуються в ПК, складає двигун постійного струму з напругою живлення 12
В. Окрім двигуна, у вентиляторі є схема керування, яка індукує обертове
магнітне поле, внаслідок чого приводиться в рух ротор двигуна. Схема керування
вентилятором може мати і тахометричний контроль для моніторингу швидкості
обертання, і кола захисту детектування зупинки вентилятора, і навіть
термодатчик для контролю температури радіатора.
Вентилятори розрізняються за своїм розміром і
товщиною: зазвичай в комп'ютерах зустрічаються типорозміри 40×40×10 мм, для охолодження відеокарт і кишень для
жорстких дисків, а також 80×80×25,
92×92×25, 120×120×25 мм для охолодження
корпусу. Також вентилятори розрізняються типом і конструкцією встановлюваних
електродвигунів: вони споживають різний струм і забезпечують різну швидкість
обертання крильчатки. Від розмірів вентилятора і швидкості обертання лопатей
крильчатки залежить продуктивність: створюваний статичний тиск і максимальний
об'єм перенесеного повітря.
Об'єм перенесеного вентилятором повітря (витрата)
вимірюється в кубометрах на хвилину або кубічних футах на хвилину (CFM, cubic
feet per minute). Продуктивність вентилятора, вказана в характеристиках,
вимірюється при нульовому тиску: вентилятор працює у відкритому просторі.
Корпус комп'ютера має невеликий розмір, тому встановлені в ньому нагнітаючі
вентилятори створюють в обслуговуваному об'ємі деякий надмірний тиск. Природно,
що об'ємна продуктивність буде приблизно зворотно пропорційною створюваному
тиску; конкретний вид витратної характеристики залежить від форми використаної
крильчатки і інших параметрів конкретної моделі (Рис. 1.9).
Вентилятори в задній частині корпусу комп'ютера
працюють на видув (вихлоп), тобто створюють надмірний тиск у великому об'ємі
(зазвичай: кімната, де встановлений комп'ютер). Об'єм прокачаного вентилятором
повітря дуже малий порівняно з об'ємом кімнати, тому створюваний тиск
невеликий. Через це вентилятор забезпечує порівняно велику об'ємну
продуктивність, тим самим істотно допомагаючи охолодженню системи: ніж більше
холодного повітря можна прокачати через комп'ютер, тим ефективніший вигляд
охолодження. Якщо комп'ютер встановлений в ящик столу із задньою стінкою або
під столом щільно до стіни кімнати, видуваючим вентиляторам доводиться
нагнітати повітря в невеликому об'ємі і створювати там деякий надмірний тиск. У
такому разі об'ємна продуктивність падає, ефективність охолодження знижується -
саме тому комп'ютер не рекомендується встановлювати в невеликому замкнутому
просторі.
Рис. 1.9. Графік для вентилятора Glacial Tech
Silent Blade GT80252BDL
Вентилятори можуть бути виконані на підшипниках
ковзання (sleeve bearing) і підшипниках кочення (ball bearing).
Використовуються також комбіновані схеми з одного підшипника ковзання і одного
підшипника кочення. Крім того, можуть використовуватися два підшипники кочення.
Вентилятори на основі підшипників ковзання (Рис.
1.10) найбільш прості у виготовленні і дешеві. Проте вони досить шумні, а
термін їх експлуатації малий. Причому з часом рівень шуму, що створюється таким
підшипником, тільки збільшується.
Рис. 1.10. Вентилятор на підшипнику ковзання
Вентилятори на основі підшипників кочення (Рис.
1.11) дорожчі, але і якісніше. По-перше, вони надійніше в роботі, а по-друге,
значно менш шумні в порівнянні з підшипниками ковзання. Усі вентилятори так
званої безшумної серії (Silent Series) засновані саме на підшипниках кочення.
Рис. 1.11. Вентилятор на підшипнику кочення
Окрім типів використовуваних підшипників і
особливостей схем контролю роботи двигуна, вентилятори характеризуються
продуктивністю, швидкістю обертання, типорозміром і рівнем шуму.
Продуктивність вентилятора Q є його найважливішою
технічною характеристикою і визначає об'єм повітря, що прокачується
вентилятором в одиницю часу. Продуктивність вентилятора прийнято виражати в
кубічних футах в хвилину (Cubic Feet per Minute, CFM). Типові значення
продуктивності вентиляторів - від 10 до 50 CFM.
Швидкість обертання вентилятора вимірюється в
обертах на хвилину (Rotations Per Minute, RPM). Продуктивність вентилятора
безпосередньо пов'язана із швидкістю обертання: чим швидше обертається
вентилятор, тим більший повітряний потік він створює. Типові значення швидкості
обертання вентиляторів - від 1000 до 5000 об/хв.
За типорозміром найбільш поширені вентилятори 60
х 60, 80 х 80, 92 х 92 і 120 х 120 мм. Зрозуміло, що чим більший розмір
вентилятора, тим вищою є його продуктивність. Тобто якщо порівняти, наприклад,
120 - і 80-міліметровий вентилятори, то при рівній швидкості обертання продуктивність
120-міліметрового вентилятора буде вищою.
Однією з найважливіших експлуатаційних
характеристик вентиляторів є рівень створюваного ними шуму. Рівень шуму
вентиляторів виражається в децибелах по фільтру А (фільтр А враховує
особливість сприйняття звуку людським вухом на різних частотах). Відмітимо, що
людина сприймає звук, починаючи з 30 дБА, а типове значення шуму, що
створюється сучасними вентиляторами, лежить в діапазоні від 32 до 50 дБА.
Рівень шуму вентилятора безпосередньо залежить
від швидкості його обертання. Найбільш тихими є саме 120-міліметрові
вентилятори, оскільки для створення необхідного повітряного потоку вони можуть
обертатися з нижчою швидкістю, ніж вентилятори меншого типорозміру.
Розрахунок повітряного потоку, необхідного для
тепловідводу заданої потужності
Для створення ефективної системи тепловідводу від
джерел тепла (мікросхем) використовуються радіатори, кулери і вентилятори. Досі
ми розглядали завдання тепловідведення від окремо взятих елементів. У реальних
умовах усі джерела тепла знаходяться всередині одного системного блоку і
розсіювання теплової потужності окремими компонентами ПК відбувається саме в
корпус системного блоку. Якщо не передбачити заходів з відведення тепла з
корпусу ПК, температура в корпусі буде поступова збільшуватися, що приведе до
зменшення ефективності тепловідведення від окремих мікросхем і їх перегрівання.
Найбільш поширений спосіб відведення тепла з корпусу системного блоку полягає в
створенні за допомогою вентиляторів повітряного потоку через корпус ПК. Чим
більше теплова потужність, що розсіюється усіма компонентами комп'ютера, тим
більший повітряний потік буде потрібно для відведення тепла.
Припустимо, що сумарна розсіювана усіма
пристроями всередині корпусу теплова потужність складає
, а різниця температур
всередині і зовні корпусу -
Нехай за час Т повітря масою m, що поступає в
системний блок, нагрівається на DТ (тобто від початкової
температури навколишнього повітря до температури всередині системного блоку).
Тоді за цей час йому передається кількість теплоти, що дорівнює:
(1.9)
де
- теплоємність повітря
при незмінному тиску.
Визначивши масу повітря через його щільність і
об'єм
, отримаємо:
(1.10)
Враховуючи, що об'єм повітря, що прокачується
через корпус в одиницю часу, дорівнює
, необхідний повітряний
потік для відведення теплової потужності W буде:
(1.11)
У цій формулі повітряний потік вимірюється в м3/с.
Підставляючи в цю формулу щільність і питому теплоємність повітря, а також
перетворивши м3/c в CFM, отримаємо:
(1.12)
Наприклад, якщо усі пристрої всередині корпусу
розсіюють максимальну теплову потужність 300 Вт, температура зовні корпусу
складає 25°С, а всередині - 45°С, то необхідний для цього повітряний потік має
дорівнювати 26,4 CFM.
Характеристична крива вентилятора
Розглянута нами продуктивність вентилятора є його
ідеалізованою характеристикою і до реальної характеристики має лише непряме
відношення. Якщо вентилятор встановлюється в корпус системного блоку, його
продуктивність відрізнятиметься від заявленої в технічній документації.
Річ у тому, що вказувана в документації
продуктивність вентилятора розраховується в ідеальних умовах відсутності опору
створюваному ним повітряному потоку. У реальних умовах на шляху повітряного
потоку, який формується вентилятором, завжди існують перешкоди, які призводять
до зменшення об'єму повітря, що прокачується через вентилятор в одиницю часу, і
збільшення різниці між тиском повітряного потоку, який формується вентилятором,
і тиском в навколишньому середовищі (атмосферним тиском).
Різниця між тиском повітряного потоку, що
формується вентилятором, і атмосферним тиском називається статичним тиском
. Зрозуміло, що між
продуктивністю вентилятора і статичним тиском його повітряного потоку існує
взаємозв'язок. Тобто можна сказати, що статичний тиск є функцією продуктивності
вентилятора:
(1.13)
Ця функція носить назву характеристичної кривої,
або витратної характеристики вентилятора. Характеристичні криві отримують в
результаті лабораторних досліджень вентиляторів в спеціальних камерах
(flowbench).
Повітряний потік
створюваний тестованим
вентилятором, нагнітається в повітряну камеру і, проходячи через перфоровані
екрани, необхідні для створення ламінарного потоку, і форсунку, потрапляє у
витяжний пристрій. Витяжний пристрій разом з регулювальником повітряного потоку
дозволяють контролювати повітряний потік, що проходить через камеру.
Форсунка і перфоровані екрани потрібні для
визначення повітряного потоку, який розраховується за різницею тисків в
повітряних камерах до і після форсунки.
Оскільки вентилятор нагнітає повітря в первинну
повітряну камеру, тиск
в ній буде вищий за атмосферний, причому різниця
тисків
залежатиме від
повітряного потоку, що проходить через камеру. Регулюючи повітряний потік
знімають залежність
яка і є характеристичною
кривою вентилятора.
Закони вентилятора
Очевидно, що статичний тиск, що створюється
вентилятором, формований їм повітряний потік, рівень шуму і споживана його
мотором електричнапотужність залежать від таких характеристик, як швидкість
обертання і діаметр вентилятора. Закони, що зв'язують ці величини один з одним,
носять назву законів вентилятора.
При збільшенні швидкості обертання вентилятора
від значення
до
формований їм повітряний потік збільшується від
значення
до
, статичний тиск зростає
від
до
, споживана
електродвигуном потужність збільшується від значення НР1 до НР2,
а рівень шуму - від значення NL1 до NL2, причому:
(1.14)
Припустимо, вимагається збільшити повітряний
потік на 10%. Для цього треба просто збільшити швидкість обертання вентилятора
на 10%. При цьому статичний тиск, створюваний вентилятором, збільшиться на 21%,
а споживана електродвигуном потужність - на 33%. Крім того, на 2 дБ збільшиться
і рівень шуму, що створюється вентилятором.
Якщо ж розглянути вентилятори різного діаметру,
але на базі одного і того ж електродвигуна і при однаковій формі крильчатки, то
при рівній швидкості обертання збільшення діаметру крильчатки від значення D1
до D2 приведе до зміни повітряного потоку, статичного тиску,
споживаної електричній потужності за наступними законами:
(1.15)
Тобто при заміні 92-міліметрового вентилятора на
аналогічний за формою 120-міліметровий повітряний потік збільшиться в 2,2 рази
(на 120%), а споживана вентилятором електрична потужність - в 3,8 рази.
Імпеданс системного блоку
Знання тільки продуктивності вентилятора і навіть
його характеристичної кривої ще недостатньо для розрахунку створюваного їм
повітряного потоку в корпусі системного блоку. В результаті того, що корпус є
перешкодою на шляху формованого вентилятором повітряного потоку, значення
об'ємної швидкості повітряного потоку буде завжди нижчим за максимальну
продуктивність вентилятора. Щоб оцінити, як саме корпус впливає на зменшення
повітряного потоку, вводять поняття імпедансу корпусу. Імпеданс корпусу
визначається з використанням тієї ж самої камери, яка використовується для
зняття характеристичних кривих вентилятора. Різниця полягає в тому, що тепер
повітряний потік створюється витяжним пристроєм з регулювальником повітряного
потоку, а сам корпус є перешкодою на шляху повітряного потоку. В результаті в
первинній повітряній камері тиск повітря
буде нижчим за
атмосферний.
Різниця між тиском
і атмосферним тиском / залежить
від об'ємної швидкості повітряного тиску, тобто / Ця залежність визначає резистивні
властивості корпусу і називається його імпедансом. Точно визначити системний
імпеданс для конкретного корпусу можливо тільки в лабораторних умовах, проте в
першому наближенні припускають, що системний імпеданс можна виразити за
формулою:
(1.16)
де
, причому
для ламінарного
повітряного потоку;
для турбулентного повітряного потоку;
- щільність повітря;
- константа, що
характеризує резистивні властивості корпусу.
Поняття системного імпедансу корпусу і
характеристичної кривої вентилятора дозволяють визначити реальне значення
повітряного потоку, що формується конкретним вентилятором в конкретному
корпусі. Значення статичного тиску і повітряного потоку, що формується
вентилятором всередині корпусу, визначає так звану робочу точку.
Для її знаходження необхідно вирішити систему
рівнянь, перше з яких визначає характеристичну криву вентилятора, а друге -
системний імпеданс корпусу:
(1.17)
Рис. 1.12. Знаходження робочої точки при
використанні одного вентилятора в корпусі
Рішення цієї системи можливе тільки графічним
методом. Точка перетину характеристичної кривої вентилятора і кривої системного
імпедансу корпусу якраз і визначають робочу точку (Рис. 1.12).
Рідинні системи охолодження
Принципова різниця між повітряним і рідинним охолодженням
полягає в тому, що в останньому випадку для перенесення тепла замість повітря
використовується рідина, що має більшу, в порівнянні з ним, теплоємність. Для
цього замість повітря через радіатор прокачується вода або інша відповідна для
охолодження рідина. Циркулююча рідина забезпечує краще тепловідведення, ніж
потік повітря.
Інша відмінність полягає в тому, що рідинні
системи охолодження набагато компактніше традиційних повітряних кулерів. Саме
тому першими стали застосовувати рідинне охолодження на серійних пристроях
виробники ноутбуків.
З точки зору конструкції системи примусової
циркуляції рідини по замкнутому контуру системи рідинного охолодження можна
розділити на два типи: внутрішні і зовнішні.
Ніякої принципової відмінності між внутрішніми і
зовнішніми системами не існує. Різниця полягає лише в тому, які функціональні
блоки знаходяться усередині корпусу, а які - зовні.
Принцип дії рідинних систем охолодження досить
простий і нагдує систему охолодження в автомобільних двигунах. Холодна рідина (як
правило, дистильована вода) прокачується через радіатори охолоджуваних
пристроїв, в яких вона нагрівається (відводить тепло). Після цього нагріта
рідина поступає в теплообмінник, в якому обмінюється теплом з оточуючим
простором і охолоджується. Для ефективного теплообміну з оточуючим простором в
теплообмінниках, як правило, використовуються вентилятори. Усі компоненти
конструкції з'єднуються між собою силіконовими шлангами діаметром 5-10 мм. Щоб
змусити рідину циркулювати по замкнутому корпусу, використовується спеціальний
насос - помпа. Структурна схема такої системи показана на Рис. 1.13.
Рис. 1.13. Загальна схема рідинного охолодження з
помпою
За допомогою систем рідинного охолодження тепло
відводиться від центральних процесорів і графічних процесорів відеокарт. При
цьому рідинні радіатори для графічних і центральних процесорів розрізняються
між собою. Для графічних процесорів вони менше за розміром, проте принципово
нічим один від одного не відрізняються. Ефективність рідинних радіаторів
визначається площею контакту його поверхні з рідиною, тому для збільшення площі
контакту всередині рідинних радіаторів встановлюють ребра або стовпчасті голки.
У зовнішніх рідинних системах охолодження
всередині корпусу комп'ютера розміщується тільки рідинний радіатор, а резервуар
з охолоджувальною рідиною, помпа і теплообмінник, поміщені в єдиний блок,
виносяться за межі корпуса ПК.
Системи охолодження на основі модулів Пельтьє
Із збільшенням потужності процесорів і графічних
карт проблема тепловиділення ПК стає усе більш актуальною. Традиційні повітряні
системи охолодження вже майже вичерпали свої можливості. На зміну їм поступово
приходять альтернативні системи охолодження, наприклад рідинні. Поширення
набувають і системи охолодження на основі так званих термоелектричних модулів
Пельтьє.
А. Ефект Пельтьє. Ефект Пельтьє відноситься до
термоелектричних явищ і полягає в тому, що якщо через контакт двох різнорідних
провідників пропустити електричний струм, то в контакті відбувається або
поглинання, або виділення тепла залежно від напряму струму. Величина тепла, що
виділяється (поглинається), залежить від виду контактних провідників, сили
струму і часу його проходження, тобто кількість тепла прямо пропорційна
кількості заряду, що пройшов через контакт:
(1.17)
де
- коефіцієнт Пельтьє,
який залежить від властивостей контактуючих провідників.
Індекс 12 означає, що струм передбачається
спрямованим від провідника 1 до провідника 2. При зміні напряму струму на
зворотний замість виділення теплоти спостерігається її поглинання і навпаки.
Отже:
(1.18)
Загальна причина виділення (поглинання) теплоти
Пельтьє полягає в наступному. Електрони при русі в провідниках переносять не
лише заряд, але і потенційну і кінетичну енергію, тобто за наявності струму в
провіднику існує певний потік енергії. При одній і тій же густині електричного
струму (а при контакті двох провідників щільність струму в них однакова)
густина потоків енергії в різних провідниках, взагалі кажучи, різна. Це
означає, що енергія, що входить в контакт двох провідників в одиницю часу, не
дорівнює енергії, яка виходить з контакту в одиницю часу. Якщо енергія, що
входитьє більшою за ту, що виходить, то різниця цих енергій виділяється у
вигляді тепла Пельтьє; якщо ж, навпаки, енергія, що входить є меншою за ту, що
виходить, і енергія, якої бракує, повинна поглинатися (поглинання теплоти
Пельтьє).
При спрощеному розгляді можна вважати, що, якщо
енергія, що входить більше енергії, що виходить, кінетична енергія електронів в
першому провіднику є більшою, ніж в другому. Під час переходу електронів в
другий провідник вони гальмуються, передаючи частину своєї кінетичної енергії
кристалічній решітці і тим самим розігріваючи її. Це і є виділення тепла
Пельтьє. У другому випадку, коли енергія, що входить менша за енергію, що
виходить, електрони при переході в інший провідник прискорюються, відбираючи
енергію, якої бракує у кристалічної енергії, що призводить до її охолодження. В
цьому випадку тепло Пельтьє поглинається.
Явище Пельтьє можна розуміти і трохи інакше. При
зіткненні двох різнорідних провідників виникає так звана контактна різниця
потенціалів, тобто контактне електричне поле. При проходженні електричного
струму через контакт контактне поле або сприятиме, або перешкоджає проходженню
струму. Якщо контактне поле перешкоджає проходженню струму, зовнішнє джерело
повинне витратити додаткову енергію, яка виділяється в контакті, що призводить
до його нагріву. Якщо ж струм йде за напрямом контактного поля, то він
підтримується цим полем, яке і здійснює роботу з переміщення зарядів. Необхідна
для цього енергія відбирається у речовини (кристалічної решітки), що призводить
до охолодження контакту.
Відомо, що найсильніше ефект Пельтьє виражений в
напівпровідниках, що пов'язано з більшою енергетичною різницею зарядів.
Б. Модуль Пельтьє. Застосовуючи ефект Пельтьє,
можна створити різні термоелектричні охолоджувальні пристрої. Найбільшого
поширення набули так звані термоелектричні модулі (ТЕМ) Пельтьє. Принцип роботи
цих модулів достатньо простий. ТЕМ є масивом напівпровідників р- і n - типів,
послідовно сполучених між собою мідними провідниками (масив переходів
«напівпровідник - метал»).
Розглянемо принцип дії ТЕМ на прикладі двох
сполучених між собою мідних контактів напівпровідників р- і n - типів, тобто
масив чотирьох переходів «метал - напівпровідник» (Рис. 1.14).
Рис. 1.14. Структурна схема комірки
термоелектричного модуля Пельтье
Допустимо, струм спрямований від напівпровідника
n-типу до напівпровідника р-типу. За напрям струму береться напрям, зворотний
впорядкованому руху електронів в металі, тому, рухаючись через замкнутий контур
кола, електрони будуть долати переходи в наступному порядку: «мідь -
напівпровідник р-типу», «напівпровідник р-типу - мідь», «мідь - напівпровідник
n-типу», «напівпровідник n - типу - мідь».
На першому переході («мідь - напівпровідник
р-типу») електрони потрапляють з мідного провідника в напівпровідник р-типу, де
основними носіями заряду є дірки. У напівпровіднику р-типу поблизу переходу
відбувається рекомбінація дірок і електронів, що супроводжується виділенням
енергії, оскільки з енергетичної точки зору електрони при цьому переходять із
стану з вищою енергією (таку енергію електрони мають в зоні провідності) в стан
з меншою енергією (таку енергію електрони мають у валентній зоні). В результаті
виділення енергії (теплота Пельтьє) область поблизу межі переходу «мідь -
напівпровідник р-типу» нагрівається.
На наступному переході («напівпровідник р-типа -
мідь») електрони з напівпровідника р-типу переходять в метал. У напівпровіднику
р-типу електрони поблизу межі переходу утворюються за рахунок генерації
електронно-діркових пар. Процес генерації електронно-діркових пар відбувається
в усьому просторі напівпровідника, проте він компенсується зворотним процесом
рекомбінації, тому середня кількість дірок і електронів не змінюється. І тільки
в області поблизу межі переходу процес генерації не компенсується процесом
рекомбінації, оскільки під дією електричного поля електрони «висмоктуються» з
напівпровідника. В процесі генерації електронно-діркових пар з енергетичної
точки зору електрони переходять з валентної зони (із стану з меншою енергією) в
зону провідності (у стан з вищою енергією). Тому цей процес супроводжується
поглинанням енергії, внаслідок чого область поблизу межі переходу охолоджується
(поглинання теплоти Пельтьє).
На наступному переході («мідь - напівпровідник n
- типу») електрони переходять з міді в напівпровідник n-типу. У напівпровіднику
n-типу основними носіями заряду також являються електрони, тому ніякої
рекомбінації електронів і дірок в даному випадку не спостерігається. Проте
енергія електронів в металі і напівпровіднику є різною, причому в
напівпровіднику електрони провідності мають вищу енергію, ніж в металі. Для
того, щоб перейти в зону провідності в напівпровіднику, електрони повинні
здолати заборонну зону, ширина якої досягає декількох еВ. Відповідно, перехід
електронів з металу в напівпровідник n-типа з енергетичної точки зору
відповідає збільшенню енергії електронів і, отже, супроводжується поглинанням
енергії, внаслідок чого область поблизу межі переходу «мідь - напівпровідник
n-типу» охолоджується.
На останньому переході («напівпровідник n-типу -
мідь») електрони переходять з напівпровідника n-типу в мідь. В даному випадку
ми маємо справу з енергетичним процесом, зворотним розглянутому раніше, тобто в
процесі переходу електрони переходять із стану з вищою енергією (зона провідності
в напівпровіднику) в стан з меншою енергією (зона провідності в металі). В
результаті такого переходу виділяється енергія, що приводить до нагріву межі
переходу «напівпровідник n-типу - мідь».
Таким чином, в результаті проходження струму
через послідовність переходів «мідь - напівпровідник р-типу», «напівпровідник
р-типу - мідь», «мідь - напівпровідник n - типу» і «напівпровідник n-типу -
мідь» два переходи нагріватимуться, а два - охолоджуватися. Якщо розташувати
переходи таким чином, щоб переходи, що нагріваються знаходилися в одній
площині, а що охолоджуються - в іншій (див. Рис. 1.14), то ми отримаємо
елементарний термоелектричний елемент Пельтьє.
У елементі Пельтье кількість пов'язаних один з
одним переходів може бути дуже великою, але головне - переходи, що все
нагріваються, розташовані в одній площині, а що все охолоджуються - в іншій.
Мідні контакти, що сполучають напівпровідники, фіксуються керамічними
пластинами. Таким чином, одна керамічна пластина нагрівається, а інша, навпаки,
охолоджується. Структурна схема термоелектричного модуля Пельтье показана на
Рис. 1.15.
Рис. 1.15. Структурна схема термоелектричного
модуля Пельтьє
Термоелектричні модулі Пельтьє знайшли широке
застосування в різних системах охолодження, у тому числі в системах охолодження
компонентів ПК. Так, на основі термоелектричних модулів побудовані деякі моделі
процесорних кулерів і кулерів для відеокарт. У таких кулерах холодна керамічна
пластина модуля Пельтьє стикається з гарячою поверхнею елементу, що
охолоджується (наприклад, процесора), а до гарячої пластини прикріпляється
радіатор з вентилятором для відведення тепла.
2. Організаційно-технологічна частина
2.1 Організація повітряних потоків
Сучасні стандарти з конструювання корпусів
комп'ютерів серед іншого регламентують і спосіб побудови системи охолодження.
Починаючи ще з систем на базі IntelPentium II, впроваджується технологія
охолодження комп'ютера наскрізним повітряним потоком, спрямованим від передньої
стінки корпусу до задньої. Пізніше Intel стала рекомендувати додатково
всмоктувати повітря для охолодження через ліву стінку, потім - підводити
повітря з отвору в лівій стінці корпусу безпосередньо до процесорного кулеру:
Рис. 2.1
Рис. 2.2
Рис. 2.3
Як мінімум один вентилятор встановлений в блоці
живлення комп'ютера (багато сучасних моделей мають два вентилятори, що дозволяє
істотно понизити швидкість обертання кожного з них, а, означає, і шум при
роботі). У будь-якому місці всередині корпусу комп'ютера можна встановлювати
додаткові вентилятори для посилення потоків повітря. Обов'язково треба
дотримуватися правила: на передній і лівій бічній стінці повітря нагнітається
всередину корпусу, на задній стінці гаряче повітря викидається назовні. Також
треба проконтролювати, щоб потік гарячого повітря від задньої стінки комп'ютера
не потрапляв напростець у повітрозабір на лівій стінці комп'ютера (таке
трапляється при певних положеннях системного блоку відносно стін кімнати і
меблів). Які вентилятори встановлювати, залежить в першу чергу від наявності
відповідних кріплень в стінках корпусу. Шум вентилятора головним чином
визначається швидкістю його обертання, тому рекомендується використовувати
повільні (тихі) моделі вентиляторів. При рівних настановних розмірах і
швидкості обертання, вентилятори на задній стінці корпусу суб'єктивно шумлять
дещо менше за передні: по-перше, вони знаходяться далі від користувача,
по-друге, ззаду корпусу розташовані майже прозорі грати, тоді як спереду -
різні декоративні елементи. Часто шум створюється внаслідок обгинання елементів
передньої панелі повітряним потоком: якщо об'єм повітряного потоку, що
переноситься, перевищує деяку межу, на передній панелі корпусу комп'ютера
утворюються вихрові турбулентні потоки, які створюють характерний шум (він
нагадує шипіння пилососа, але набагато тихіше). Це ж торкається і грат для
повітря, які в дешевих корпусах часто виглядають як набір отворів в металевій
пластині: ефективна площа такого повітрозабору є меншою, ніж площа вентилятора.
Заміна подібних «грат» на дротяну (англ. grill, іноді використовується калька з
англійського: гриль) дозволить істотно полегшити роботу вентилятору і зменшити
шум повітряного потоку (подібні грати встановлюються на багато процесорних
кулерів і вентилятори блоків живлення). Також вентиляційний отвір можна
доповнити імпровізованим пиловим фільтром з медичного бинту, москітної сітки
або рідкої тканини: це зменшить ефективну площу повітрозабору, але дозволить
захистити нутрощі комп'ютера від попадання пилу.
Засмічення систем охолодження пилом знижує їх
ефективність: шар пилу виконує роль термоізолятора.
Виробники, так звані brandname комп'ютерних
систем (наприклад, Apple, Sun), використовують перегородки для розмежування повітряних
потоків всередині корпусу комп'ютера. У деяких моделях корпус заповнюється
пінопластом, в якому виконані повітроводи: у такому разі повітря від
нагнітаючих вентиляторів підводиться точно до гарячих ділянок комп'ютерної
системи, а потім нагріте повітря найкоротшим шляхом виводиться через вихлопні
вентилятори. Стандарт ATX не вимагає подібного, через очевидну складність і
неуніверсальність подібного підходу. Проте, охочі можуть спробувати зімітувати
подібний підхід, розділивши і направивши потоки повітря в корпусі свого
комп'ютера різними пристосуваннями - при грамотному виконанні ефективність
охолодження від цього лише виграє.
2.2 Контроль і керування вентиляторами
Більшість сучасних материнських плат дозволяють
контролювати швидкість обертання вентиляторів, підключених до деяких три - або
чотири контактних роз'ємів. Більше того, деякі з роз'ємів підтримують програмне
керування швидкістю обертання підключеного вентилятора. Не усі розміщені на
платі роз'єми надають такі можливості: наприклад, на популярній платі Asus A8N
- E є п'ять роз'ємів для живлення вентиляторів, контроль за швидкістю обертання
підтримують тільки три з них (CPU, CHIP, CHA1), а керування швидкістю
вентилятора - тільки один (CPU); материнська плата Asus P5B має чотири роз'єми,
усі чотири підтримують контроль за швидкістю обертання, керування швидкістю
обертання має два канали: CPU, CASE1/2 (швидкість двох корпусних вентиляторів
змінюється синхронно). Кількість роз'ємів з можливостями контролю або керування
швидкістю обертання залежить не від використовуваного чипсету або південного
моста, а від конкретної моделі материнської плати: моделі різних виробників
можуть розрізнятися в цьому відношенні. Часто розробники плат навмисно
позбавляють дешевші моделі можливостей керування швидкістю вентиляторів.
Наприклад, материнська плата для процесорів InetlPentiun 4 Asus P4P800 SE
здатна регулювати оберти кулера процесора, а її здешевлений варіант Asus P4P800
- X - ні. У такому разі можна використовувати процесорні кулери із вбудованим
регулюванням швидкості обертання вентилятора, а також спеціальні пристрої, які
здатні керувати швидкістю декількох вентиляторів (і, зазвичай, передбачають
підключення цілого ряду температурних датчиків) - їх з'являється все більше на
сучасному ринку.
Деякі процесорні кулери мають вбудовану схему для
регулювання швидкості обертання вентилятора залежно від температури радіатора
(як правило: терморезистор, що знижує напругу живлення електромотора).
Наявність такої схеми дозволяє використовувати кулер навіть в тих системах, в
яких відсутні інші можливості регулювання обертів вентилятора процесорного
кулера. З іншого боку, подібна система чудово працює в парі з контролером
вентиляторів: наявність додаткової схеми керування дозволяє не пропустити
момент нагріву процесора навіть при зависанні програми моніторингу; також
максимальна швидкість вентилятора (самий шумний режим) не використовується,
якщо нагрів не критичний і можна обійтися скромнішими заходами.
Контролювати значення швидкості обертання
вентиляторів можна за допомогою BIOS Setup. Як правило, якщо материнська плата
підтримує зміну швидкості обертання вентиляторів, тут же в BIOS Setup можна
настроїти параметри алгоритму регулювання швидкості. Набір параметрів різний
для різних материнських плат; зазвичай алгоритм використовує покази
термодатчиків, вбудованих в процесор і материнську плату. Існує ряд програм для
різних ОС, які дозволяють контролювати і регулювати швидкість вентиляторів, а
також стежити за температурою різних компонентів усередині комп'ютера. Виробники
деяких материнських плат комплектують свої вироби фірмовими програмами для
Windows: Asus PC Probe, MSI Core Center, Abitµ Guru, Gigabyte Easy Tune,
Foxconn Super Step і т.д. Поширено декілька універсальних програм, серед них
Hmonitor (shareware, $20-30), MotherBoardMonitor (поширюється безкоштовно, не
оновлюється з 2004 року). Найпопулярніша програма цього класу - SpeedFan (Рис.
2.4).
Ці програми дозволяють стежити за цілим рядом
температурних датчиків, які встановлюються в сучасні процесори, материнські
плати, відеокарти і жорсткі диски. Також програма відстежує швидкість обертання
вентиляторів, які підключені до роз'ємів материнської плати з відповідною
підтримкою. Нарешті, програма здатна автоматично регулювати швидкість
вентиляторів залежно від температури спостережуваних об'єктів (якщо виробник
системної плати реалізував апаратну підтримку цієї можливості).
Рис.2.4
На приведеному вище малюнку програма налаштована
на керування тільки вентилятором процесора: при невисокій температурі ЦП (36°C)
він обертається з швидкістю близько 1000 об/хв, це 35% від максимальної
швидкості (2800 об/хв). Налаштування таких програм зводиться до трьох кроків:
визначенню, до яких з каналів контролера
материнської плати підключені вентилятори, і які з них можуть керуватися
програмно;
вказівці, які з температур повинні впливати на
швидкість різних вентиляторів;
завданню температурних порогів для кожного
датчика температури і діапазону робочих швидкостей для вентиляторів.
Можливості по моніторингу також мають багато
програм для тестування і тонкого налаштування комп'ютерів: SiSoftSandra,
S&M, nVidiaClockGen і т.д.
Для регулювання швидкості обертання вентиляторів
переважну більшість контролерів (як інтегровані на материнські плати, так і у вигляді
окремих пристроїв) використовують так звану широко-імпульсну модуляцію (ШИМ)
напруги живлення: при цьому вентилятор живиться імпульсами з штатною напругою
(12 В). Грубо кажучи, струм подається не 100% часу, а 70%, 50%, 30%: чим рідше
слідують імпульси, тим менше швидкість обертання вентилятора (Рис. 2.5)
Рис. 2.5
Проте, електромотори, які використовуються в
деяких моделях вентиляторів, будучи такими, що живлять за такою схемою, видають
гучний тріск. Єдиний вихід у такому разі: використовувати зовнішніх
регулювальників обертів вентиляторів, які використовують так звану аналогову
схему керування, тобто подають на електромотор постійний струм різної напруги
(12 В для 100% швидкості обертання, 6 В для 50%, тощо)
Багато сучасних відеокарт також дозволяють
регулювати оберти вентилятора системи охолодження залежно від нагріву
графічного процесора. За допомогою спеціальних програм можна навіть змінювати
налаштування механізму охолодження, знижуючи рівень шуму від відеокарти у
відсутність навантаження. Так виглядають в програмі ATI TrayTools оптимальні
налаштування для відеокарти HIS X800GTO IceQ II:
Рис. 2.6
Використання декількох вентиляторів в корпусі
Розглянутий нами варіант знаходження робочої
точки відносився до випадку, коли в системному блоці є всього один вентилятор,
що формує повітряний потік. У реальних корпусах для формування повітряного
потоку може використовуватися декілька вентиляторів. Наприклад, вентилятор може
встановлюватися на вдув на передній панелі корпуси і на видув на задній панелі.
Крім того, багато корпусів допускають паралельне встановлення двох вентиляторів
на передній і задній панелях корпусу, а також встановлення вентиляторів на
бічній і верхній панелях.
При усій різноманітності варіантів встановлення
вентиляторів всередині системного блоку усі випадки можна звести до розгляду
двох базових варіантів розташування вентиляторів: паралельному і послідовному.
Під паралельним ми розумітимемо таке розташування
вентиляторів, коли вони знаходяться поруч один з одним і працюють на вдув або,
навпаки, на видув. Якщо припустити, що використовуються однакові вентилятори,
то формований ними максимальний повітряний потік
(випадок відкритого простору)
буде в два рази вищим, ніж повітряний потік одного вентилятора. В той самий час
два паралельно встановлених однакових вентилятора створять максимальний
статичний тиск
такий самий, як і один вентилятор. Щоб це зрозуміти,
уявимо собі вентилятор, що нагнітає повітря в закриту камеру. При деякому
(максимальному для цього вентилятора) тиску в камері повітряний потік, що
формується вентилятором, стане таким, що дорівнює нулю, тобто вентилятор буде
просто підтримувати тиск в камері, але більше не зможе нагнітати в камеру
повітря. Якщо при цьому підключити паралельно другий такий самий вентилятор, то
він, зазнаючи на собі такий самий тиску, також не зможе нагнітати повітря в
камеру і лише підтримуватиме в ній тиск. Тому два паралельно сполучених
однакових вентилятора створюють в два рази більший повітряний потік у
відкритому просторі, але один і той самий статичний тиск. Якщо відома
характеристична крива одного вентилятора, то приблизно можна побудувати таку
криву для двох паралельних вентиляторів (Рис. 2.7).
Рис. 2.7. Побудова характеристичної кривої двох
паралельно розташованих вентиляторів
Як видно на Рис. 2.7, використання паралельного
розташування вентиляторів для збільшення повітряного потоку має сенс тільки у
разі корпусу з низьким імпедансом. Якщо ж використовується корпус з високим
імпедансом, то паралельне розташування вентиляторів неефективне і для
досягнення більшого повітряного потоку бажано застосувати продуктивніший вентилятор
або ж послідовне розташування вентиляторів.
Під послідовним ми розумітимемо таке розташування
вентиляторів, коли вони знаходяться один за одним і одночасно працюють на вдув
або на видув.
Якщо припустити, що використовуються однакові
вентилятори, то формований ними максимальний повітряний потік
(на відкритому просторі)
буде такий самий, як і повітряний потік одного вентилятора. Одночасно два
послідовно встановлених однакових вентилятора створять максимальний статичний
тиск
в два рази більший, ніж
один вентилятор. Дійсно, уявимо собі вентилятор у відкритому просторі, що
формує повітряний потік Q. Якщо послідовно з ним розташувати другий такий самий
вентилятор, то об'єм повітря, що прокачується в одиницю часу першим
вентилятором, поступає на вхід другого вентилятора, і, отже, два послідовні
вентилятори прокачуватимуть в одиницю часу такий самий об'єм повітря, як і один
вентилятор. Якщо ж послідовно розташовані вентилятори нагнітають повітря в
закриту камеру, то максимальний тиск в камері, при якому формований ними
повітряний потік стане таким, що дорівнює нулю, буде в два рази вищим, ніж у
разі одного вентилятора. Дійсно, у разі одного вентилятора створюваний
статичний тиск визначається різницею тиску в камері і зовнішнього
(атмосферного) тиску. Якщо ж розташовуються послідовно два вентилятори, то для
другого з них зовнішнім буде вже не атмосферний тиск, а тиск на виході першого
вентилятора.
Якщо відома характеристична крива одного вентилятора,
то приблизно можна побудувати таку криву для двох послідовних вентиляторів.
Як видно на Рис. 2.8, використання послідовного
розташування вентиляторів для збільшення повітряного потоку має сенс тільки у
разі корпусу з високим імпедансом. Якщо ж використовується корпус з низьким
імпедансом, то послідовне розташування вентиляторів неефективне і, як було
показано, для досягнення більшого повітряного потоку бажано використовувати
паралельне розташування вентиляторів.
Рис. 2.8. Побудова характеристичної кривої двох
послідовно розташованих вентиляторів
Послідовним можна рахувати таке розташування
вентиляторів, коли один вентилятор встановлений на передній панелі корпусу і
працює на вдув, а другий - на задній панелі корпусу і працює на видув. Проте
ефективність такого розташування вентиляторів для збільшення повітряного потоку
може бути не занадто високою, особливо якщо використовуються корпуси з низьким
імпедансом. Тому у багатьох випадках цілком достатньо тільки вентилятора на
задній панелі корпусу.
Технології керування швидкістю обертання
вентиляторів
Сучасні продуктивні процесори потребують
ефективної системи тепловідведення. Особливо це стосується процесорів Intel,
які розсіюють більше 100 Вт теплової потужності. Проте потужні кулери, які
використовуються для охолодження процесорів, створюють і високий рівень шуму.
Відповідно, окрім проблеми охолодження процесорів, так же гостро стоїть
проблема зниження рівня шуму. Ідеї, закладені в технології енергозбереження і зниження
тепловиділення, можна використовувати і для зниження рівня шуму систем
охолодження. Оскільки тепловиділення (а отже, і температура) процесора залежить
від його завантаження, а при використанні технологій енергозбереження - і від
його поточної тактової частоти і напруги живлення, в періоди слабкої активності
процесора він остигає. Відповідно, немає необхідності постійно охолоджувати
процесор з однаковою інтенсивністю. Тобто інтенсивність повітряного
охолодження, яка визначається швидкістю обертання вентилятора кулера процесора,
повинна залежати від поточної температури процесора.
Існують два основні способи динамічного керування
швидкістю обертання вентиляторів, що реалізовуються на сучасних материнських
платах:
ü керування по
постійному струму (DC);
ü керування з
використанням широко-імпульсної модуляції напруги (PWM).
А. Керування по постійному струму. У технології
керування по постійному струму міняється рівень постійної напруги, що подається
на електромотор вентилятора. Діапазон зміни напруги може складати від 6 до 12 В
і залежить від конкретної материнської плати.
Ця схема керування швидкістю обертання
вентилятора є досить простою: контролер на материнській платі, аналізуючи
поточне значення температури процесора (через вбудований в процесор термодатчик),
виставляє потрібне значення напруги живлення вентилятора. До певного значення
температури процесора напруга живлення є мінімальною, а отже, і вентилятор
обертається на мінімальних обертах і створює мінімальний рівень шуму. Як тільки
температура процесора досягає деякого граничного значення, напруга живлення
вентилятора починає динамічно змінюватися аж до максимального значення залежно
від температури. Відповідно змінюється і швидкість обертання вентилятора, і
рівень створюваного шуму (Рис. 2.9).
Розглянута технологія динамічного керування
швидкістю обертання вентилятора реалізована на всіх сучасних материнських
платах (як для процесорів Intel, так і для AMD). Для її реалізації необхідно
встановити відповідну схему керування в BIOS материнської плати і
використовувати триконтактний вентилятор. Відмітимо, що більшість процесорних
кулерів є саме триконтактними. Два контакти - це напруга живлення вентилятора,
а третій контакт - це сигнал тахометра, що формується самим вентилятором і
необхідний для визначення поточної швидкості обертання вентилятора. Сигнал
тахометра є прямокутними імпульсами напруги, причому за один оберт вентилятора
формуються два імпульси напруги. Знаючи частоту дотримання імпульсів тахометра,
можна визначити швидкість обертання вентилятора. Наприклад, якщо частота
імпульсів тахометра складає 100 Гц (100 імпульсів на секунду), то швидкість
обертання вентилятора дорівнює 50 об/с, або 3000 об/хв.
Рис. 2.9. Реалізація динамічного керування
швидкістю обертання вентилятора кулера процесора при зміні напруги живлення
Б. Керування з використанням широко-імпульсної
модуляції напруги. Альтернативною технологією динамічного керування швидкістю
обертання вентилятора кулера процесора є широко-імпульсна модуляція (Pulse Wide
Modulation, PWM) напруги живлення вентилятора.
Ідея є досить простою: замість того, щоб
змінювати амплітуду напруги живлення вентилятора, напругу подають на вентилятор
імпульсами певної тривалості. Амплітуда імпульсів напруги і частота їх дотримання
є незмінними, змінюється тільки їх тривалість. Фактично вентилятор періодично
вмикають і вимикають. Підібравши частоту дотримання імпульсів і їх тривалість,
можна керувати швидкістю обертання вентилятора. Дійсно, оскільки вентилятор має
певну інертність, він не може миттєво розкрутитися і зупинитися (Рис. 2.10).
Рис. 2.10. Реакція вентилятора на імпульс напруги
Якщо тривалість імпульсу напруги
менше характерного часу
розкручування вентилятора
, а проміжок часу, протягом якого на вентилятор
не подається напруга
, менше характерного часу зупинки вентилятора
, то при подачі
послідовності таких імпульсів на вентилятор він не обертатиметься з деякою
середньою швидкістю, значення якої визначається співвідношенням часів
і
(Рис. 2.11).
Рис. 2.11. Керування швидкістю обертання
вентилятора при широко-імпульсній модуляції напруги
Відношення часу
до періоду дотримання
імпульсів
, вимірюване у відсотках, тобто
(2.1)
називається шпаруватістю імпульсів. Якщо,
приміром, шпаруватість складає 30%, то час, протягом якого на вентилятор
подається напруга, складає 30% від періоду імпульсу.
Реалізація широко-імпульсної модуляції напруги
вентилятора здійснюється за допомогою PWM - контролера на материнській платі.
Цей тип керування підтримується тільки материнськими
платами для процесорів Intel.- контролер залежно від поточної температури
процесора формує послідовність імпульсів напруги з певною шпаруватістю. Проте
це ще не імпульси напруги, яка подається на електродвигун вентилятора.
Послідовність імпульсів, формована PWM - контролером, використовується для
керування електронним ключем (транзистором), що відповідає за подачу напруги
(12 В) на електродвигун. Спрощена схема керування швидкістю обертання кулера
показана на Рис. 2.12.
Рис. 2.12. Схема керування швидкістю обертання
вентилятора при використанні PWM - сигналу
Кулери, що підтримують РWМ-керування, мають бути
чотириконтактними. При цьому два контакти потрібно для подачі напруги 12 В,
третій контакт - це сигнал тахометра, що формується самим вентилятором і
необхідний для визначення поточної швидкості обертання, а четвертий контакт
використовується для зв'язку з PWM - кoнтpoлepoм.
При широко-імпульсній модуляції напруги для зміни
швидкості обертання вентилятора змінюється шпаруватість імпульсів, але не
частота їх дотримання. Типова мінімально можлива шпаруватість імпульсів складає
30%, а максимально можлива - 100%, що відповідає постійній напрузі на
вентиляторі. Частота дотримання РWМ - імпульсів дорівнює від 21 до 25 кГц
(типове значення 23 кГц), тобто протягом однієї секунди вентилятор включається
і відключається приблизно 23 000 разів!
На Рис. 2.13 показаний приклад осцилограми РWМ -
імпульсів з частотою чередування 25 кГц і шпаруватістю 78%.
Рис. 2.13. Осцилограма РWМ - послідовності з
шпаруватістю 78% при частоті дотримання 25 кГц
Шпаруватість РWМ - імпульсів визначається
поточною температурою процесора. Якщо вона нижча за деяке граничне значення,
шпаруватість імпульсів є мінімальною. При цьому вентилятор обертатиметься на
мінімальній швидкості і видаватиме мінімальний рівень шуму. При перевищенні
температури процесора граничного значення шпаруватість імпульсів починає
лінійно змінюватися з температурою, збільшуючись аж до 100%. Відповідно і
швидкість обертання вентилятора, як і рівень створюваного ним шуму,
змінюватиметься залежно від температури процесора (Рис. 2.14).
Рис. 2.14. Залежність шпаруватості PWM-імпульсів
від температури процесора
Для реалізації PWM - керування швидкістю
обертання кулера необхідно активувати цей режим керування в BIOS материнської
плати.
.3 Конфігурація повітряних потоків всередині
корпусу форм - фактора ATX
процесор відеокарта вентилятор охолодження
А. Геометрична модель. У геометричну модель
були включені стінки корпусу і основні розташовані усередині великогабаритні
деталі. Усі розміри були перенесені в модель шляхом прямих вимірів за допомогою
рулетки із стандартного системного блоку, відповідного типорозміру ATX: Був
розглянутий Inwin J535 з корпусними вентиляторами в передбачених виробником
місцях, стандартний блок живлення з одним вентилятором, Radeon 9000 з пасивним
охолодженням, боксів кулер від Intel, одна планка пам'яті. Оскільки в прототипі
геометричної моделі для підключення накопичувача на жорстких магнітних дисках
використовувався інтерфейс Serial ATA (що характеризується малими розмірами
сполучного кабелю) вкупі з грамотним розташуванням IDE шлейфів для підключення
приводів читання / запису компакт-диск дисків, ці і інші проводи не
враховувалися при побудові геометричної моделі.
У розгляд були включені наступні елементи, що
обмежують поширення повітряного потоку:
· стінки корпусу
(Walls)
· накопичувач на
жорстких магнітних дисках (HDD)
· два пристрої
читання / запису компакт-диск дисків (CDROM)
· дисковод для
гнучких дискет (FloppyDrive)
· відеокарта
(Video)
· мікросхема
пам'яті (Memory)
· стінки блоку
живлення (Power)
У розгляд були включені наступні елементи для
завдання температурних навантажень:
· центральний
процесор з радіатором (СPU)
· графічний
процесор з радіатором (GPU)
· накопичувач на
жорстких магнітних дисках (HDD)
· мікросхеми
пам'яті (Memory)
У розгляд були включені наступні елементи, що
визначають швидкість повітряного потоку:
· вентилятор
процесора (CPUFan)
· вентилятор блоку
живлення (PowerFan)
· вентилятор на
передній стінці корпусу (SysFanFront)
· вентилятор на
задній стінці корпусу (SysFanBack)
На малюнках приведені проекції різних частин
тривимірної моделі на одну площину проекції, отримані засобами ANSYS,
Рис. 2.15 Внутрішні деталі моделі
Рис. 2.16. Зовнішні деталі моделі
Рис. 2.17. Внутрішні деталі моделі, вигляд збоку
Таким чином, геометрія моделі однакова для усіх
вирішуваних завдань.
Нехай швидкості повітряних потоків на
вентиляторах однакові за величиною в усіх випадках, а напрям потоку повітря, що
створюється процесорним вентилятором, постійно і по напряму. Розглянуті
варіанти установки вентиляторів з умовними позначеннями приведені нижче.
1. вдув / нуль - передній вентилятор
працює на вдув, задній відсутній, вентилятор блоку живлення працює на видув
2. вдув / видув - передній вентилятор
працює на вдув, задній і вентилятор блоку живлення працює на видув
3. вдув / вдув - передній і задній
вентилятори працюють на вдув, вентилятор блоку живлення працює на видув
4. нуль / вдув - передній вентилятор
відсутній, задній вентилятор працює на вдув, вентилятор блоку живлення на видув
5. зворотний струм - передній
вентилятор працює на видув, задній і вентилятор блоку живлення працюють на вдув
б. Фізична модельЧисельне рішення
гідродинамічної і температурної завдань припускає попереднє завдання
характерних властивостей потоку рідини або газу, як, наприклад, ламінарний або
турбулентний характер течії і наявність або відсутність стисливості потоку.
Також необхідно знати граничні умови: швидкості/тиску на вхідних і вихідних
отворах моделі. Для отримання сталої картини (оскільки коливання швидкостей і
температур незначні) на деталях моделі досить задати постійні температури.
Початкову швидкість потоку повітря, що
створюється вентиляторами, можна визначити, виходячи з їх паспортних даних. Для
усіх вентиляторів відомими є об'єм повітря, що пропускається, за одиницю часів
і і площа перерізу. Приклад для розрахунку швидкості повітря, що проходить
через вентилятор радіусу r = 0.035 м і проникного v = 20 кубічних футів повітря
в хвилину:
(2.2)
При взаємодії потоку повітря з перешкодами
довільної конфігурації, якими можна рахувати встановлені усередині системного
блоку деталі, логічно чекати виникнення турбулентних течій. Це можна
підтвердити, оцінивши порядок коефіцієнта Рейнольдса для цього потоку повітря і
перешкоди розміром близько 0.1 м. Для потоку повітря з характерними швидкістю
близько 1 м/с, щільністю 1 кг/м3 і кінематичною в'язкістю 10-5 м3/с
коефіцієнт Рейнольдса складе
(2.3)
Відомо, що при порядку коефіцієнта Рейнольдса,
більшому 1, сили в'язкості вже не здатні гасити довільні складові швидкості
потоку, що виникають при обтіканні, з чого виходить турбулентний характер
потоку.
Характерні складнощі реалізації
Оскільки завдання тривимірне і має складну
геометрію, рішення сходиться завсіма параметрами до декілька сотень ітерацій.
При розбитті моделі навіть на десятки кінцевих елементів по кожному виміру,
виконання цієї необхідної кількості ітерацій вимагає від півгодини до години
часу на Celeron 2.0@2.6ГГц (ANSYS - одне з небагатьох застосувань, яке реально
підтримує багатопроцесорність). При створенні дрібнішого розбиття час рішення
різко збільшується. Наприклад, при реформуванні сітки всього в 3 рази, час
підрахунку одного завдання збільшиться в 27 разів, і складе приблизно добу на
одне завдання. Внаслідок відсутності на момент реалізації потужніших
обчислювальних ресурсів кінцевоелементна сітка моделі недостатньо детальна,
хоча і дозволяє описати усі частини моделі і вирішити поставлене завдання.
Для візуалізації результатів використовувалисядва
різні способи:
1. переріз моделі з контурним колірним
графіком температури або швидкості повітря
2. картина розподілу ліній струму повітря, кольором
показана температура (картина переміщення заздалегідь вибраних елементарних
об'ємів повітря)
Порівняльний аналіз систем охолодження, що
працюють на вдув / видув і вдув / вдув
Рис. 2.18. Вдув/видув, лінії струму, вигляд збоку
Рис.2.19. Вдув/вдув, лінії струму, вигляд збоку
З графіків видно, що в першому випадку потік має
менше завихрень, стійкіший за конфігурацією.
Рис. 2.20. Вдув/видув, лінії струму
Рис.2.21. Вдув/вдув, лінії струму
Важливу інформацію несуть температурні розподіли:
Рис.2.22. Вдув/видув, температура в поперечному
перерізі через ЦП
Рис.2.23. Вдув/вдув, температура в поперечному
перерізі через ЦП
Рис.2.24. Вдув/видув, температура в подовжньому
перерізі через ЦП
Рис.2.25. Вдув/вдув, температура в подовжньому
перерізі через ЦП
Кожен з варіантів має свої переваги і недоліки. У
першому випадку гаряче повітря швидше відводиться від процесора, але в другому
випадку, при роботі вентилятора на задній стінці на вдув, процесор
охолоджується холоднішим повітрям.
Коротка характеристика результатів для випадку
вдув / нуль
Рис. 2.26
Одна з найбільш вдалих конфігурацій вентиляторів.
За своїми характеристиками розподілів і температур практично не відрізняється
від конфігурації вдув / видув, використовуючи на один вентилятор менше
(ефективно застосовуватися може тільки за відсутності інших витяжних отворів).
Коротка характеристика результатів для випадку
нуль / вдув
Рис. 2.27
Рис. 2.28
Потік повітря, що поступає через вентилятор,
розташований на задній стінці, практично не бере участь у відведенні тепла з
центрального процесора і відеокарти (схема вгорі). Це негативно позначається на
утворенні зони слабкої конвекції поблизу мікросхеми пам'яті і центрального
процесора. При цьому встановлений на процесорі вентилятор захоплює і повторно
пропускає через себе частину нагрітого повітря. Такевстановлення вентиляторів
одне з самих неефективних, хоча з декілька симетричної геометрії можна було
очікувати конфігурації потоків як у випадку вдув / нуль.
Коротка характеристика результатів для випадку
зворотного потоку
Рис. 2.29
Рис.2.30
Рис. 2.31
Так само, як і у попередньому випадку, основний
потік повітря практично не бере участь в теплообміні з найбільш нагрітими
частинами моделі. Очевидним недоліком застосування такого компонування
вентиляторів є ще і те, що в цьому випадку примусова конвекція відбувається
проти напряму невеликою за величиною, але природній конвекції, що має місце.
Така система розташування не може вважатися найефективнішою.
2.4 Пропозиції що до вдосконалення систем
охолодження
Перше і очевидне рішення - дати можливість
процесорному кулеру забирати холодне повітря ззовні системного блоку (Рис.
2.32).
Рис.2.32. Система охолодження з подаючим
патрубком
В принципі, відведенням гарячого повітря можна
нехтувати, якщо встановлений додатковий вентилятор на видув разом з
вентилятором в блоці живлення.
Невеликий патрубок квадратного перерізу
герметично закріплюється на процесорному кулері. У бічній панелі системного
блоку вирізається отвір відповідних габаритів. Патрубок монтується
горизонтально, і на іншому його торці забезпечується повітряна герметизація при
встановленні панелі корпусу в нормальне положення. Це може бути смужка
поролону, приклеєна по периметру торця патрубка, або щось інше. З малюнка ясно,
що повітря в кулер поступає тільки з позакорпусного середовища, де температура,
як правило, на 10-20°C є нижчою, ніж всередині системного блоку. Таким чином
здійснюється ефективне підведення холодного теплоносія до процесорного кулеру.
Претензією на абсолютне рішення для повітряного
охолодження процесора може бути наступна конструкція (Рис. 2.33).
Рис. 2.33. Система охолодження з підсмоктуванням
і вихлопом повітря
У корпусі прорізається отвір прямокутного
перерізу, в який вставляється патрубок, один кінець якого впирається (чи
закріплюється з деяким проміжком) в системну плату, а на іншому кінці
закріплюється великий тихий вентилятор на видув (передбачається типорозмір
120х120 мм) з невеликим нахилом вгору. Коаксіально (тобто всередині патрубка)
монтується труба з вентилятором на вдув, що герметично насувається на кулер.
Вона загинається на виході з корпусу і виходить вниз в спеціалізований отвір
основного патрубка.
Таким чином, холодне повітря підсмоктується знизу
за рахунок процесорного кулера і допоміжного вентилятора. Засмоктуванню сприяє
і видувний великий вентилятор, що створює повітряне розрідження в основній
трубі. Це ж розрідження примушує відпрацьоване повітря активно виходити
назовні. Оскільки видувний вентилятор досить потужний, можна залишити проміжки
між материнською платою і основною трубою, і тоді він підсмоктуватиме повітря
ще і з материнської плати, сприяючи охолодженню перетворювача напруги живлення
процесора і інших теплонавантажених елементів.
В цілому така конструкція дотримується всіх
правил ефективного охолодження, і в промисловому виконанні виглядатиме дуже
привабливо.
Дещо менш ефективною (через можливі замикання
повітряних потоків), але більше практичною конструкцією, без виступаючих з
корпусу елементів, може стати наступна схема (Рис. 2.34).
Рис. 2.34. Система охолодження з підсмоктуванням
і вихлопом повітря (робочі вентилятори монтуються урівень з панеллю корпусу)
В цій системі для підведення холодного повітря
використовується окремий отвір в бічній кришці корпусу, розташований нижче
вихлопного розтруба. Тобто, і вдувний, і видувний вентилятори розташовані
врівень з корпусом. Природно, отвори для вдуву і видуву повинні розташовуватися
якнайдалі один від другого, щоб виключити замикання потоків повітря, що входять
і виходять. При цьому не слід занадто опускати отвір для вдуву, оскільки разом
з холоднішим повітрям в кулер засмоктуватиметься і більше пилу,
сконцентрованого на поверхні, де стоїть системний блок.
Якщо говорити про ефективність подібних
конструкцій, то слід згадати, що основна їх мета полягає в нормалізації вводу і
відведення теплоносія (повітря) від тепловідведення. В принципі, цього ж можна
добитися витяганням материнської плати з процесором з корпусу і розташуванням
її на горизонтальній поверхні у вентильованому просторі (стіл в кімнаті з
відкритою кватиркою цілком підійде). Адже, як відомо, подібні заходи можуть
привести до пониження температури процесора на 10-15% залежно від поточних
умов. Але тут треба згадати і про інше - встановлення материнської плати з
«гарячим» процесором в погано вентильований корпус може привести до підвищення
температури процесора на ці 15%. Запропоновані конструкції систем повітряного
охолодження процесора якраз і можуть бути найбільш ефективними саме в таких
випадках, причому, швидше за все, їх ефективність може бути значно кращою за той
результат, що можна отримати шляхом встановлення декількох додаткових
вентиляторів всередині корпусу. Таким чином, якщо потрібно орієнтовно оцінити
ефективність застосування однієї із запропонованих схем охолодження в якомусь
конкретному випадку, витягають материнську плату з корпусу і тестують систему
за інших рівних умов.
Розглянувши різні методи охолодження сучасних
комп‘ютерів, можна із впевненістю сказати, що на сьогодні не існує ідеальних
методів, які дозволяють у повній мірі забезпечити охолодження всіх елементів,
які знаходяться в корпусі комп‘ютера.
Використання сучасних комп‘ютерних програм
дозволяє створити віртуальні температурні процеси, які відбуваються в корпусі
комп‘ютера та проаналізувати найкращі моделі охолодження.
Завдяки використанню функцій обробки і
представлення результатів можна зробити висновок про відносну ефективність з
охолодження різних варіантів встановлення вентиляторів в корпусі комп'ютера.
Найефективнішою з розглянутих конфігурацій є
наступна: вентилятор на передній стінці корпусу працює на вдув, вентилятор на
задній стінці працює на видув.
3. Економічна частина
В розрахунковій частині проводиться розрахунок
вартості проведення робіт з ремонту та модернізації охолоджувальної системи
комп‘ютера
3.1 Розрахунок фонду оплати праці
Ефективність
функціонування та соціальний розвиток того чи іншого суб’єкта господарювання
(трудового колективу) забезпечується передусім формуванням належних
індивідуальних і колективних матеріальних стимулів, провідною формою реалізації
яких є оплата праці різних категорій персоналу.
Оплата праці - це
будь-який заробіток, обчислений у грошовому виразі, що виплачується
працівникові за виконану роботу.
Оплата праці складається
з основної заробітної плати та додаткової оплати праці. Розміри оплати праці
найманого працівника залежать від результатів його праці з урахуванням
наслідків господарської діяльності підприємства.
Основна заробітна плата
працівника залежить від результатів його праці та визначається тарифними
ставками, відрядними розцінками, посадовими окладами, а також надбавками й
доплатами в розмірах, не вищих за встановлені чинним законодавством.
До додаткової заробітної
плати відносяться витрати на виплату виробничому персоналу додаткової
заробітної плати, нарахованої за працю понад установлені норми, за трудові
успіхи та винахідливість та особливі умови праці. В додаткову заробітну плату
включаються доплати, надбавки, гарантійні та компенсаційні виплати, передбачені
законодавством, премії, пов’язані з виконанням виробничих завдань і функцій.
Для проведення робіт з
ремонту та модернізації охолоджувальної системи комп‘ютера залучається технік з
обслуговування комп‘ютерної техніки. Роботи проводять протягом 2 діб, при чому
технік з комп‘ютером працює протягом 2-х годин.
Таблиця 3.1. Розрахунок
фонду оплати праці робітників
|
Професія
|
Чисельність робітників
|
Розряд
|
Тарифна ставка (грн.)
|
Фонд робочого часу, год
|
Заробітна плата, грн.
|
|
|
|
|
|
Одного робітника
|
Всіх робітників
|
|
Технік з обслуговування комп’ютерної
техніки
|
1
|
4
|
7,4
|
2
|
14,8
|
14,8
|
|
Всього
|
1
|
|
|
|
|
14,8
|
До елемента «Витрати на
оплату праці» належать витрати на виплату основної та додаткової заробітної
плати, обчислених згідно прийнятим підприємством системами та формами оплати
праці.
Таким чином, витрати на
оплату праці поділяються на основну і додаткову заробітну плату.
Основна заробітна плата
(Зосн.) при встановленні модему становить
Зосн. = Зтабл.1
= 14,8 (грн.)
Додаткова заробітна плата
(Здод) становить
Здод = (20%) Зосн.
= 14,8 ×0,2 = 2,96 (грн.)
Витрати на оплату праці
Зосн. + Здод
= 14,8 + 2,96 = 17,76 (грн.)
3.2 Відрахування на соціальні заходи
Суми відрахувань
нараховуються у процентному відношенні до загальної суми основної та додаткової
заробітної плати.
Приймаємо, що витрати на
соціальні заходи складають 35% від загальної суми основної та заробітної
плати.ума відрахувань на соціальні заходистановить
Зосн×35% = 17,76 ×0,35 = 6,22 грн.
3.3 Розрахунок матеріальних витрат
Під час ремонту та
модернізації охолоджувальної системи комп‘ютера виконуються наступні роботи:
1. Вмикають комп‘ютер та
за допомогою тестової програми перевіряють температуру нагрівання процесора,
відеоадаптера, чипсета і жорсткого диску.
2. Визначають
локальний перегрів.
. Вимикають
комп‘ютер, знімають бокову кришку, знову вмикають комп‘ютер та визначають який
з вентиляторів охолодження несправний.
. Вимикають
комп‘ютер та демонтують несправний вентилятор.
. Встановлюють
новий вентилятор, закривають бокову кришку та знову вмикають комп‘ютер.
. Запускають
тестову програму навантажуючи процесор комп‘ютера та відеоадаптер на 100% на
добу.
. Після закінчення
роботи тестової програми знімають покази температури, які фіксувалися тестовою
програмою упродовж її роботи.
. Визначають, що
охолодження елементу, на якому був замінений вентилятор покращилося, але
температура жорсткого диску перевищує допустиму.
. Вимикають
комп‘ютер, знімають кришку і встановлюють додаткову вентиляторну систему для
охолодження жорсткого диску.
. Закривають
комп‘ютер та знову запускають тестову програму на добу після чого визначають,
що температура всіх елементів комп‘ютера змінюється в межах норми.
Вартість матеріалів,
покупних виробів тощо, необхідних для експлуатаційних потреб враховуємо в
таблиці 3.2.
Табл. 3.2.
|
Найменування матеріалів, покупних
виробів, напівфабрикатів
|
Одиниці виміру
|
Вартість за одиницю виміру, грн
|
Кількість одиниць
|
Сума, грн
|
|
Вентилятор охолодження
|
шт
|
87
|
1
|
87
|
|
Вентиляторна система охолодження
жорсткого диску
|
шт
|
98
|
1
|
98
|
|
Всього
|
|
|
|
185
|
3.4 Енергетичні витрати
Енергетичні витрати
включають у себе витрати електроенергії на діагностування і
тестуваннякомп‘ютера протягом виконання робіт.
Потужність комп’ютера з
монітором складає 0,45кВт.
Робота комп‘ютера складає
24 години.
Кількість електроенергії,
спожита комп’ютером складає
24×0,45=10,8 кВт.
Вартість витраченої електроенергії складає
10,8×0,79 = 8,53 грн.
У тому числі ПДВ
0,79×0,2=0,16 грн.
,8×0,16=1,73 грн
Відповідно, вартість
витраченої енергії складає
8,53+1,73 = 10,26 грн.
Накладні витрати
проектних організацій включають три групи видатків: витрати на управління,
загальногосподарські витрати, невиробничі витрати. Вони розраховуються за
встановленими процентами (40%) до ви трат на оплату праці і складають:
Н = 40%×17,76 = 7,1 грн.
Інші витрати відображають видатки, які не
враховані у попередніх статтях витрат вони розраховуються за встановленими
процентами (10%) до витрат на оплату праці і складають:
Ів = 10%×17,76 = 1,78 грн.
.5 Розрахунок кошторису витрат на проведення
робіт з діагностування, ремонту та модернізації охолоджувальної системи
комп‘ютера
|
№ з.п.
|
Витрати
|
Сума витрат, грн
|
Примітки
|
|
1.
|
Матеріальні витрати
|
185
|
|
|
2.
|
Енергетичні витрати
|
10,26
|
|
|
3.
|
Витрати на оплату праці
|
17,76
|
|
|
4.
|
Відрахування на соціальні заходи
|
6,22
|
|
|
5.
|
Накладні витрати
|
7,1
|
|
|
6.
|
Інші витрати
|
1,78
|
|
|
Всього
|
228,12
|
|
Висновок: витрати на проведення робіт з
діагностування, ремонту та модернізації охолоджувальної системи комп‘ютера
склали228,12 грн.
Література
1. Леонтьев Б.К. Энциклопедия Upgrade. - М.: «Новый издательский дом», 2004
. Асмаков С.В., Пахомов С.О. Железо 2010. Компьютер Пресс рекомендует.
- СПб.: Питер, 2010
.
Мюллер, Скот Модернизация и ремонт ПК. - М.: ООО «И.Д. Вильямс», 2007
.
Жадаев А.Г. Видеосамоучитель. Ремонт компьютера. - СПб.: Питер, 2008
.
Стивен Бигелоу Устройство и ремонт персонального компьютера. Аппаратная платформа
и основные компоненты. - М.: ООО «Бином-Пресс», 2005
.
Платонов Ю.М.,
Уткин Ю.Г. Диагностика,
ремонт и профилактика персональных компьютеров. - М.: Горячая линия - Телеком,
2003
.
Економіка підприємства. Підручник /
за заг. Ред. С.Ф. Покропивного, К.: КНЕУ, 2001 р.
8.
ПУЭ. - М.: Энергоатомиздат, 2007
.
Правила безпечної експлуатації електроустановок споживачів. - К., 1998.
10.
Рожков А.П. Пожежна безпека на виробництві. - К.:, 1997.