Расчет электрического фильтра
Оглавление
Задание
Введение
.
Параметры и схема фильтра
.
Нахождение комплексной функции передачи
.
Нахождение функций АЧХ и ФЧХ и их параметры. Графики функций
.
Построить графики частотной зависимости входного сопротивления
.
Построить карты полюсов и нулей
.
Функции импульсной и переходной характеристик. Их графики
Заключение
Библиографический
список
Введение
При выполнении работы необходимо: построить
электрическую схему фильтра, определить комплексную функцию передачи, перейти к
операторной функции передачи (ОФП), построить АЧХ и ФЧХ, построить графики
частотной зависимости входного сопротивления и найти его параметры, найти нули
и полюса ОФП и построить карту полюсов и нулей, также необходимо построить и
определить параметры импульсной и переходной характеристик.
В заключение проекта необходимо отразить все
аспекты выполнения тех или иных задач, сделать выводы в соответствии с
полученными результатами и написать список литературы, которая была
использована при выполнении работы.
1. Параметры и схема
фильтра
Составили электрическую схему по заданным
данным:
|
Ветвь
№1
|
Ветвь
№2
|
Ветвь
№3
|
|
узлы
|
элементы
|
узлы
|
элементы
|
узлы
|
элементы
|
|
от
|
до
|
мГн
|
нФ
|
от
|
до
|
мГн
|
нФ
|
от
|
до
|
мГн
|
нФ
|
|
1
|
0
|
1
кОм
|
1
|
0
|
0,6402
|
-
|
1
|
2
|
1,1983
|
-
|
|
|
|
|
|
|
|
|
|
|
|
|
|
Ветвь
№4
|
Ветвь
№5
|
Ветвь
№6
|
|
узлы
|
элементы
|
узлы
|
элементы
|
узлы
|
элементы
|
|
от
|
до
|
мГн
|
нФ
|
от
|
до
|
мГн
|
нФ
|
от
|
до
|
мГн
|
нФ
|
|
1
|
-
|
1,4802
|
2
|
0
|
0,6432
|
-
|
2
|
3
|
-
|
3,7616
|
|
Ветвь
№7
|
Ветвь
№8
|
|
узлы
|
элементы
|
узлы
|
элементы
|
|
от
|
до
|
мГн
|
нФ
|
от
|
до
|
мГн
|
нФ
|
|
2
|
3
|
0,3013
|
-
|
3
|
0
|
1,1296
|
-
|
R2
- элемент, общий для всех вариантов (он заключен между последним и нулевым
узлами).Rн =1кОм.

Рисунок 1.1 - Схема фильтра
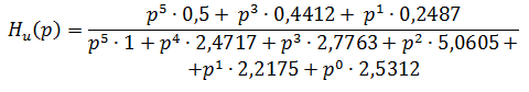
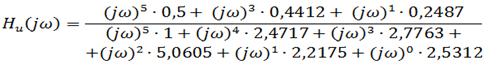
2. Нахождение
комплексной функции передачи
С помощью программы GeneralNumbers.vi
находим функцию передачи
Произведем замену переменных:

Подставив значения элементов цепи в
формулу операторной функции передачи и упростив ее, получим следующее
выражение:
Осуществим переход к нормированной
частоте в соответствии с формулой:
Делим на старший коэффициент
Ненормированная частота:
. Нахождение функций АЧХ и ФЧХ и их параметры.
Графики функций
электрический фильтр сопротивление цепь
Для нахождения функций АЧХ и ФЧХ будем
использовать программы Multisim
11.
Рисунок 3.1 Графики АЧХ и ФЧХ
Выполнив анализ
данных графиков, получили следующее:
наибольшее значение
АЧХ y= -6,5828 Дб;
первое Наименьшее
значение АЧХy= -84,038 Дб;
второе Наименьшее
значение АЧХy= -74,07812 Дб;
частота среза
определяется на уровне спада амплитуды на 3 Дб.
постоянная времени
есть величина, обратная частоте среза.
частота среза ν
= 179,7979
кГц ; Постоянная времени τ= 5,5618 мкс;
Крутизна среза S1=1285,7
(Дб/окт) , S2 =
4281,381(Дб/дек);
время задержки
найдем из графика ФЧХ. t
= 5,014 мкс.
. Построить графики
частотной зависимости входного сопротивления
Рисунок
4.1Амплитуда входного сопротивления
Рисунок 4.2 Фазовая
характеристика входного сопротивления
Для нахождения
модуля сопротивления на графике возьмем прямолинейный участок, удаленный от
частоты среза. Проделав это, мы получили следующее значение.
|Z|
= 1кОм, Arg(Z)
= -179,83.
Начальное сопротивление цепи равно
Конечное сопротивление цепи равно
5. Построить карты
полюсов и нулей
По ранее найденной комплексной функции передачи
цепи определим полюса и нули:
Для нахождения нулей выпишем отдельно числитель
функции и приравняем его к нулю. Корни данного уравнения и будут являться
нулями.
=0
Решая данное уравнение, получим:
Ручные расчёты:
Z1=0i =0.3634 - 0.7571i =0.3634 +
0.7571i
Машинные расчёты:=-885.2691m+0i
2=0+939.3212k
i
Z3=0-939.3212k
i Для нахождения
полюсов выпишем отдельно знаменатель функции и приравняем его к нулю. Корни
данного полинома и будут являться полюсами.
Решив данное уравнение, мы получили полюса:
Ручные расчёты:=
-2.1655 + 0i = -0.2463 - 0.9088i = -0.2463 + 0.9088i4=
-0.0932 - 1.1445i
P5= -0.0932 + 1.1445i
Машинные расчёты:
P1= -1.954M + 0i = -235.3575k +
1.1152M i = -235.3575k - 1.1152M i4= -23.4931k
+ 998.3049k
i
P5= -23.4931k
- 998.3049k
i
По полученным значениям построим карту полюсов и
нулей, используя программуMicrosoft
Excel:
Рисунок 5.1 Карта полюсов и нулей
Используя программу Multisim
11, найдем нули и полюса сопротивления.
Координаты полюсов :
P1= -122.3013k
+ 1.1632M
i
P1= -122.3013k
- 1.1632M
i
Координаты нулей:
Z1= -1.954M + 0i= -235.3575k +
1.1152M i= -235.3575k - 1.1152M i= -23.4931k + 998.3049k i5=
-23.4931k - 998.3049k i
Рисунок 5.2 Карта полюсов и нулей
. Функции
импульсной и переходной характеристик. Их графики
,
где H1(p) -
числитель функции передачи;
H2 (p) -
знаменатель функции передачи;
e - основание
натурального логарифма;
k -
порядковый номер полюса (корня знаменателя функции передачи).
Рисунок 6.1 График переходной
характеристики цепи
T=6.709 мкс, f=0.1491
МГц, tд.=1.2532
Uнач
= 499.9994 mВ, Uуст
= 1.0291 mВ
Переходная характеристика находится по формуле:
,
где
- первая производная знаменателя,
умноженного на P в точках, соответствующих полюсам
функции передачи.
Получаем график:
Рисунок 6.2 График импульсной
характеристики цепи
T=6.5122 мкс,
f=0.154МГц
tд=1.473
Uнач = 122.2805 kВ/с
Uуст = 4,2489 kВ/с
График переходной характеристики
показывает, что все переходные процессы в цепи затухающие.
Заключение
В ходе работы были проведены
необходимые вычисления, и по полученным результатам можно сделать следующие
выводы:
. Цепь является минимально-фазовой,
т.к. нули в правой полуплоскости отсутствуют.
. Цепь является устойчивой, т.к. в
правой полуплоскости нет полюсов и их действительные части отрицательные
все процессы
затухают.
. Фильтр является режекторным. Об
этом можно судить по графику АЧХ.
. Все свободные процессы в цепи
затухают - это видно из графика переходной характеристики.
. Частота среза ν = 179,7979 кГц
;Время задержки равно 5.014мкс. Крутизна среза S1=1285.7
(Дб/окт) , S2 =
4281.381(Дб/дек)
. Входное сопротивление цепи равно 1
кОм.
Библиографический
список
1.
Основы теории цепей: учебное пособие к курсовой работе / сост. В.М. Коровин. -
Челябинск: изд. ЮУрГУ, 2011. - 20 с.
. Попов,
В.П. , Основы теории цепей / В.П. Попов, - М.: Высшая школа, 2003.
. Матханов,
П.Н. Основы анализа электрических цепей: линейные цепи. / П.Н. Матханов. - М.:
Высшая школа, 1981.
. Бакалов
В.П. Основы анализа цепей: учебное пособие для вузов./ В.П. Бакалов, О.Б.
Журавлева, Б.И. Крук. - М.: Горячая линия - телеком, 2007.