Расчет переходных процессов в линейных электрических цепях

  • Вид работы:
    Курсовая работа (т)
  • Предмет:
    Физика
  • Язык:
    Русский
    ,
    Формат файла:
    MS Word
    112,47 Кб
  • Опубликовано:
    2015-11-08
Вы можете узнать стоимость помощи в написании студенческой работы.
Помощь в написании работы, которую точно примут!

Расчет переходных процессов в линейных электрических цепях

Одесский национальный политехнический университет

Кафедра теоретических основ и общей электротехники











КУРСОВАЯ РАБОТА

по курсу «Теория электрических и магнитных цепей»

по теме «Расчет переходных процессов в линейных электрических цепях»

Студента 2-го курса группы АТ-131

направления подготовки 6.050201 - «Системная инженерия»

специальности «Компьютеризированные системы и автоматика»

Кушнира Р.А.

Руководитель к.т.н., доц. Маевский Д.А.

Члены комиссии Маевский Д.А.             _____________

Савёлова Э.В.              _____________

Жеков О.П.                            _____________

Одеса 2014

Задание к работе

Схема электрической цепи для расчета переходного процесса приведена на рис. 1, параметры элементов - в таблице 1.


Рис.1

Таблица 1 - Параметры элементов цепи

R1, Ω

R2, Ω

R3, Ω

R4, Ω

L1, mH

L3, mH

Действие ключаОпре-делить









f, Hz

Um, V

,



8

10

6

10

32

48

50

120

-45

зам.



Расчет переходного процесса

Напряжение изменяется по закону , либо в комплексной записи: .

Неизвестное напряжение запишем в виде суммы двух составляющих: свободной  и принуждённой :

                                      (1)

Принуждённую составляющую определим, рассчитав значение напряжения  в установившемся режиме послекоммутационной схемы (рис.2), где резистор  отсутствует.







Рис.2 - Послекоммутационная схема

В данном случае амплитудное значение напряжения в катушке будет равно:

                                                (2)

Для поиска тока  воспользуемся формулой разброса:

 

для которой найдём амплитудное значение тока  по закону Ома:

 

Подставив значение тока  в формулу  получим:

 

Теперь подставим значение тока  в выражение :

 

Запишем функцию времени для :

                                  

напряжение катушка коммутация сопротивление











Рис.3

 

Приравняв правую часть к нулю, а  к , получим характеристическое уравнение второго порядка (количество реактивных элементов - катушек - 2, то есть и порядок уравнения ):

 

 

 

 

Подставляем действительные значения элементов и получим обыкновенное квадратное уравнение:

 

 

 

то есть корни будут иметь вид:

 

 

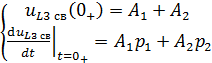
Имеем два корня, что говорит о том, что свободную составляющую  будет представлена в следующем общем виде:

 

Постоянных две -  и , поэтому составим систему уравнений, решив которую получим их численные значения:

 

 

Из выражения  получим :

 

Продифференцировав то же выражение  получим:

 

 

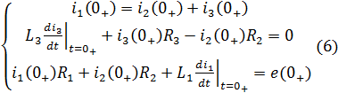
Воспользуемся первым и вторым законами Кирхгофа и составим систему уравнений для поиска нужных значений:

 

Найдём независимые начальные условия, для чего нам понадобится докоммутационная схема (рис.4).






Рис.4 - Докоммутационная схема

Как и при поиске принужденной составляющей,  найдём по закону Ома, а  - по формуле разброса:

 

Отсюда функция от времени для  будет иметь вид:

 

Получим первое начальное условие:

 

Формула разброса для :

 

Отсюда функция от времени для  будет иметь вид:

 

Получим второе начальное условие:

 

Из первого уравнения системы  выразим :

 

Обратимся ко второму уравнению системы  и получим :

 

 

 

Продифференцировав то же выражение получим:

 

Производную третьего тока получим из второго уравнения системы:

 

 

 

Производную первого тока найдём из третьего уравнения системы:

 


Значение источника напряжения в момент коммутации вычислим из начального закона изменения напряжения:

 

 

 

Производную второго тока найдём из первого уравнения системы, продифференцировав его:

 

 

Подставим найденные значение в выражение :

 

Возвращаемся к системе уравнений :

 

 

 

 

 

 

 

 

 

Итак, свободная составляющая имеет вид:

 

Можем теперь записать полный закон изменения напряжения на катушке по выражению :

 

 

 

Построим график (рис.5) с помощью Microsoft Excel на основе таблицы значений для  по формуле  во временном диапазоне от 0 до 0,03:

Рис.5 - График зависимости u_L3 (t)

Похожие работы на - Расчет переходных процессов в линейных электрических цепях

 

Не нашли материал для своей работы?
Поможем написать уникальную работу
Без плагиата!
Без нейросетей!