Расчет шпиндельного узла
Введение
Шпиндельный узел является одним из наиболее
ответственных узлов станка, оказывающих определяющие внешние на качество
обработки по шероховатости и форме.
Шпинделя современных станков имеют сложную форму
и общем случае подвержены воздействию изгибающих моментов, сжимающих и
растягивающих сил.
Для обеспечения работоспособности и необходимой
точности станка в пределах требуемого срока службы шпиндели должны обладать
необходимой прочностью, виброустойчивостью и достаточной жесткостью. Поэтому
расчёт шпиндельного узла металорежущего станка включает в себя следующие этапы:
· силовой расчёт шпиндельного узла
· прочностной расчёт
· расчёт шпиндельного узла на
жёсткость
· расчёт шпиндельного узла на
виброустойчивость
1. Силовой расчёт заключается в определении
величины внешних сил и моментов действующих на шпиндель. Внешними силами
являются: составляющие сил резания, силы, возникающие в приводном элементе и
реакции опор.
2. Прочностной расчёт заключается в
определении из условия прочности диаметра шпинделя в опасном сечении и
определении коэффициента запаса прочности по касательным и нормальным
напряжениям в опасных сечениях. В этом же разделе составляется конструктивная
схема шпиндельного узла с выбором подшипников или опор.
. Расчёт шпиндельного узла на жёсткость.
Суть этого расчёта заключается в определении перемещения и угла поворота
переднего конца шпинделя и сравнения их с допустимыми значениями.
. Расчёт шпиндельного узла на
виброустойчевость. Суть этого расчёта заключается в определении частоты
собственных изгибающих колебаний шпиндельного узла и сравнении их с частотой
возмущающих сил
Исходные данные
Исходные данные для расчёта шпинделя токарного
станка схема которого показана на рисунке 1 приведены в табл. 1
|
Номер
зачётной книжки
|
l,
мм
|
а,
мм
|
b,
мм
|
d,
мм
|
D,
мм
|
n,
об/мин
|
S,
мм/об
|
t,
мм
|
Мате-риал
|
Gn,
Н
|
Точно-сть
|
|
41095
|
1400
|
300
|
550
|
270
|
500
|
1500
|
0,6
|
5
|
Сталь
45
|
250
|
Н
|
Методика расчёта шпинделя на прочность
Расчёт шпинделя на прочность включает в себя
следующие этапы: силовой расчёт, расчёт на статическую прочность расчёт на
сопротивление усталости.
Силовой расчёт сводится к определению внешних
сил реакций и моментов, действующих на шпиндель, а так же внутрених сил и
моментов возникающих в его поперечных сечениях. Расчёт производится в следующей
последовательности:
Рассчитываются составляющие сил резания.
При точении на шпиндель действуют три
составляющие силы резания: тангенциальная
,
радиальная
, осевая
.
Приближённое значение этих сил с учётом обрабатываемого материала, глубины
резания t, мм и величины подачи S, мм/об определяется по методике изложенной в
теории резания материалов
или по
эмперическим формулам
= 5 мм, S =0,6
мм/об, Сталь 45.
Принимаем для обработки резец проходной упорный.
материал режущей части Т15К6
Скорость резания определяется по формуле
коэффициент,
учитывающий предел прочности обрабатываемого материала., x, y - коэффициент,
характеризующий вид обработки материала
глубина резания
стойкость
инструмента Т = 60мин
величина подачи
обобщенный
коэффициент поправки на скорость резания
коэффициент,
учитывающий влияние материала заготовки
коэффициент
учитывающий материал инструмента
показатель степени
коэффициент
учитывающий состояние поверхности
коэффициент
учитывающий материал инструмента
Определим составляющие силы резания

глубина резания
величина подачи
поправочный
коэффициент, учитывающий влияниекачества обрабатываемого материала на силовые
зависимости
поправочные
коэффициенты учитывающие влияние геометрических параметров режущей части
инструмента на составляющие сил резания при обработке стали и чугуна
Все данные, необходимые для вычисления
составляющих сил резания для удобства вычислений заносим в таблицу
|
Cp
|
x
|
y
|
n
|
|
|
|
|
|
|
|
|
339
|
1.0
|
0.5
|
-0.4
|
0.87
|
1.17
|
0.85
|
1
|
1
|
0.865
|
|
|
243
|
0.9
|
0.6
|
-0.3
|
0.82
|
0.5
|
1.85
|
1
|
1
|
0.5125
|
|
|
300
|
1.0
|
0.75
|
-0.15
|
0.898
|
0.89
|
1
|
1
|
1
|
0.799
|
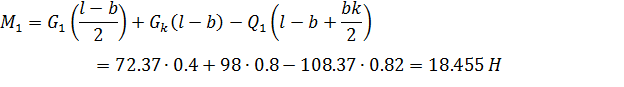
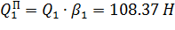
Вычисляется крутящий момент на шпинделе Мк,
обусловленный тангенциальной составляющей силой резания
.
диаметр заготовки
Определяются силы, действующие на шпиндель со
стороны зубчатого колеса.
В установившемся режиме работы станка при
равномерном вращении шпинделя крутящий момент от сил резания Мк и сил трения в
кинематических парах уравновешивается моментом сил Мк1 приложенных к
зубчатому колесу шпинделя. Пренебрегая моментом сил трения в опорах шпинделя,
можно приравнять моменты Мк и Мк1, а затем, предложив что зубчастая
пара( приводная шестерня - зубчатое колесо шпинделя) - цилиндрическая и
прямозубая. Определяются тангенциальная (окружная)
и
радиальная
составляющие сил,
возникающих в зубчатом зацеплении.
момент на приводном
колесе
делительний диаметр
приводного колеса
Выбирается рациональная схема расположения
приводной шестерни шпинделя.
На величину упругих деформаций шпинделя и
реакции в опорах оказывает влияние положения оси вращения приводной шестерни
щеплённой с зубчатым колесом шпинделя.
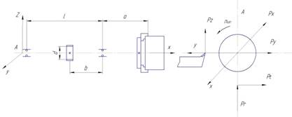
Конструктивная схема шпиндельного узла
Составляется расчётная схема шпинделя в виде
балки на двух опорах, причём типы опор выбираются в зависимости от типов
подшипников. Для обеспечения высокой осевой жёсткости при минимальной осевой
тепловой деформации передняя опора шпинделя выполняется подвижной, а заняя
опора выполненная плавающей и в ней устанавливается подшипник, воспринимающий
только радиальную нагрузку. в этом случае переднюю опору рассматривают как шарнирно
неподвижную, а заднюю - шарнирно-подвижную. Учитывая что в общем случае силы,
действующие на шпиндель лежат в радиальных плоскостях, их следует привести к
двум взаимно перпендикулярным плоскостям горизонтальной и вертикальной
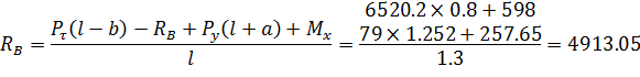
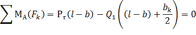
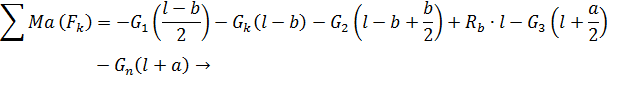
Определяются опорные реакции подшипников в
вертикальной и горизонтальной плоскостях. Для этого составим уравнение
равновесия шпинделя в вертикальной горизонтальной плоскостях

Конструктивная схема шпиндельного узла
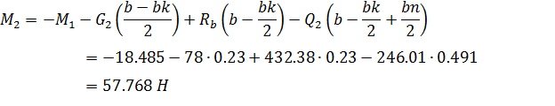
Строятся эпюры изгибающих моментов в
вертикальной и горизонтальной плоскостях. Для вычисления этих моментов
пользуются методом сечений из курса сопротивления материалов.
Строится эпюра полного изгибающего момента.
Для этого определ. величина данного момента в
характерных сечениях шпинделя.
Строим эпюру крутящего так же, как при чистом
кручении.
Расчёт шпинделя на статическую прочность
Этот расчёт заключается в предварительном
определении диаметра шпинделя из условия прочности на кручение и последующего
основного расчёта на прочность по эквивалентному напряжении в соответсвии с
гипотезой небольших касательных напряжений.
Выбирается материал шпинделя в зависимости от
его назначения и характера работы. Малонагруженые шпиндели токарных станков
небольшого сечения и простотой конструкции, работающие в подшипниках качения.
изготавливаются из стали 45 с термообработкой до НВ 180
240.
Предварительно определяется диаметр шпинделя из
условия прочности на кручение в сечении. где действует наибольший крутящий
момент.
максимальный
крутящий момент, Н
м
отношениевнутренего
диаметра шпинделя
к наружному
;С
= 0,8
допускаемое
напряжение на кручение, МПа
Определяется диаметр шпинделя из условия
прочности на совместное действие изгиба и кручения.
допускаемое
напряжение на изгиб
Принимаем
Принимаем
Принимаем
Расчёт шпинделя на сопротивление усталости
Этот расчёт выполняется как проверочный для
определения расчётного коэффициента запаса прочности в опасном сечении с учётом
характера изменения напряжений типа напряженного состояние абсолютных размеров
конструктивной формы, состояния поверхности и др. факторов. влияющих на
прочность шпинделя. Опасным считается сечения шпинделя, для которого
коэффициент запаса прочности имеет наименьшее значение в общем случае оно может
не совпадать с сечением где действует наибольший эквивалентный момент.
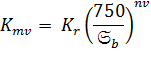
рекомендуется принимать
. При определении
расчётного коэффициента по нормальным напряжениям растяжения сжатия
пренебрегают. В этом случае характер изменения напряжений соответствует
симметричному циклу, среднее напряжение цикла при изгибе 𝔖м=0,
а при амплитуде цикла при изгибе
,
узгибающий
момент и момент сопротивлении про изгибе в рассматриваемом сечении шпинделя.
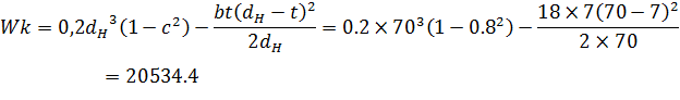
Значение момента сопротивления:
при расчёте полого
шпинделя
При расчёте полого шпинделя по сечению, где
имеется шпоночная канавка
наружный диаметр
шпинделя;
в, t -ширина и глубина шпоночной канавки;
Определим коэффициенты запаса прочности
предел
выносливости про изгибе и кручении при симметричном цикле напряжений.
амплитуды циклов
при изгибе и кручении;
эфективные
коэффициенты концентрации напряжений;
коэффициент
влияния абсолютных размеров поперечного сечения
,
,
опасное сечение
В процессе эксплуатации станка шпиндель
сравнительно резко подвергается реверсивной нагрузке. Поэтому при определении
коэффициента запаса прости по касательным напряжениям при кручении изменяются
по отнулевому циклу, а амплитуда
крутящий момент и
момент сопротивления при кручении в рассматриваемом сечении шпинделя. Значения
(момента
сопротивления) вычисляется при расчёте полого шпинделя:
При расчёте шпинделя полого по сечению, где
имеется шпоночная канавка:
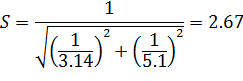
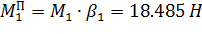
Определим коэффициент запаса прочности:
коэффициент
чувствительности к ассиметрии цикла напряжений
опасное сечение
Определим запас прочности в опасном сечении
2.67
2.5
- условие выполняется
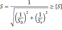
Расчёт шпинделя на жёсткость
Суть расчёта шпиндельного узла на жёсткость
заключается в определении перемещения и угла поворота переднего конца шпинделя
и сравнении их с допускаемыми.
В общем случае на шпиндель действуют следующие
внешние силы:
. Составляющие силы резания
. Силы, возникающие в приводном элементе
. Силы тяжести самого шпинделя
Эти силы вызывают деформацию самого шпинделя и
его опор и в конечном итоге перемещения и поворот переднего конца шпинделя что
сказывается на качестве обработки.
Перемещения и поворот переднего конца шпинделя
обусловлено деформацией самого шпинделя как упругого тела и деформацией его
опор и внешними силами действующими на шпиндель.
В свою очередь деформация опор обусловлена
деформацией тел качения, деформацией беговых дорожек и деформацией мест посадок
колец на шпиндель и в корпус.
Для определения собственных упругих деформаций
шпинделя, учитывая, что он представляет балку ступенчато-переменного сечения,
необходимо привести его к эквивалентной балке постоянного сечения, а затем
применить метод начальных параметров из сопромата.
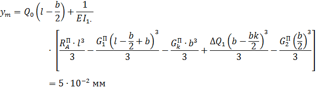
Порядок расчёта шпиндельного узла на жёсткость
. Составим конструктивную схему шпинделя, на
которой указывается расположение опор приводных элементов.
. На основании конструктивной схемы и внешних
сил, действующих на шпиндель, составим расчётную схему узла. При расчёте на
жёсткость перемещения и угол поворота переднего конца шпинделя осуществляется в
горизонтальной плоскости.
. Шпиндель ступенчато-переменного сечения
приводим к эквивалентной балке постоянного сечения.
Для этого шпиндель ступенчато-переменного
сечения рассекаем по участке, границами кот.является перепады сечения, а к
отсечённым участкам прикладывают внешние силы действующие на них.
Определим внутренние силовые факторы
Составим уравнение равновесия участка к которому
приложены внешние силы и внутренние силовые факторы
Участок 1
Проверка:
Участок 2
Определим моменты инерции сечения каждого
участка:
наружный диаметр
шпинделя
Выбираем один из участков в качестве основного и
определим коэффициент приведения:
Определим приведенные нагрузки, приложенные к
каждому участку, для чего все силы и моменты приложенные к участку умножаем на
коэффициент приведение каждого участка:
Изображаем все участки равные диаметру основного
участка и прикладываем к ним приведенные нагрузки.
Определим избыточные нагрузки, возникающие в
местах перепада сечений:
Соединим участки шпинделя в одну эквивалентную
балку. К балке прикладываем все приведенные внешние силы и избыточные нагрузки
и
в
соответствующих сечениях.
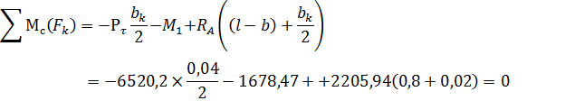
Производится проверка правильности подсчётов
загрузки эквивалентной балки. Для этого составляется одно из трёх уравнений
равновесия данной балки и проверяется соблюдение условия равновесия.
Полученная эквивалентная балка является
окончательной расчётной схемой шпинделя при расчёте его на жёсткость.
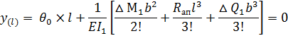
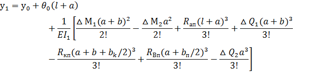
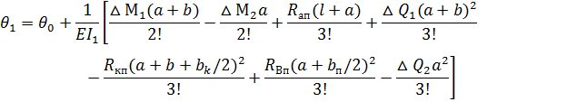
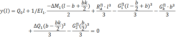
Для полученной эквивалентной балки составим
уравнение методом начальных параметров, из которого определим угол поворота и
перемещения переднего конца шпинделя обусловленные упругой деформацией
шпинделя.
Для принятой расчётной схемы шпинделя с
использованием метода нормальных параметров уравнения для определения
перемещений и угла поворота сечения крайнего правого конца шпинделя запишем в
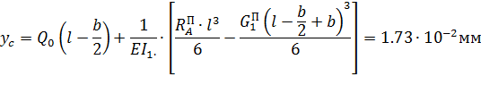
виде:
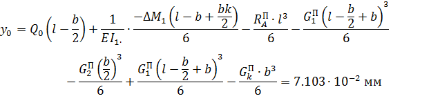
для перемещения
для угла поворота сечения
,
-
начальные параметры: l, b, a - расстояния между сечениями, в которых приложены
соответствующие силы и моменты; E= 2×105МПа-модуль
упругости первого рода материала шпинделя.
Начальные параметры находятся из опорных
условий: при х=0, у(0)=0, следовательно у0=0 при х=0. Последнее
условие используется для определения второго начального параметра
:
Значение нормальных параметров
,
подставим
в уравнение, из которых определяются перемещения и угол поворота сечения
крайнего правого конца шпинделя.
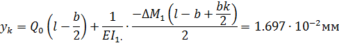
для угла поворота сечения
Определим перемещения и угол поворота переднего
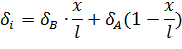
конца шпинделя обусловленные упругими деформациями опор.
При расчёте на жёсткость перемещения и угол
поворота перед. Конца шпинделя осуществляется только в горизонтальной плоскости.
Расчетные схемы шпинделя для определения упругих
деформаций опор
шпиндель прочность усталость сечение
Радиальные нагрузки на подшипнике передней и
задней опор шпинделя численно равны реакции
этих
опор. Осевую нагрузку от составляющей сил резания
воспринимает
только подшипник передней опоры, так как задняя выполнена плавающей. Упругое
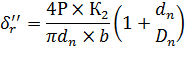
деформации опор определяются по формуле
- упругая
деформация тел качения и колец подшипника;
- контактная
деформация на поверхностях посадок колец подшипника на шейку шпинделя и в корпус.
Р-нагрузка, кг
α-2/3
ширина подшипника
- диаметр
внутреннего кольца подшипника
-диаметр наружного
кольца
,
-
упругие деформации передней и задней опор шпинделя
-отношение консоли
шпинделя к длине пролёта
Сравнения упругих деформаций шпиндельного узла с
допустимыми деформациями.
Определяем результирующие перемещения и угол
поворота переднего конца шпинделя для этого алгебраически складываем
перемещение шпинделя обусловленные деформацией самого шпинделя и деформацией
его опор.

Условие жёсткости шпиндельного узла выполняется,
так как соблюдается данное условие.
Расчет шпинделя на виброустоичивость
Шпиндели металлорежущих станков должны обладать
виброустоичивость так как вибрация шпинделя непосредственно влияет на качество
обработки. Шпиндель токарных станков испытает изгибные и крутильные колебания.
Набольшее влияние на качество обрабатываемой детали а также на долговечность
подшипников оказывает изгибные колебания шпинделя.
Суть расчета шпиндельного узла на
виброустоичивость заключаться в определении частоты собственных изгибных
колебаний шпиндельного узла и сравнении их с частотой возникающих сил.
В общем случае шпиндельный узел представляет
собой сложную динамическую систему. Динамика, которой описывается диф.
уравнениями. Так как шпиндель представляет собой тело с ступенчато определенной
массой решение диф уравнений сможет найти бесчисленное количество возможных
амплитуды форм колебаний. Решение этой задачи представит значительные трудности
с практической точки зрения.
Возникающие силы обусловлены переменными силами
резания, дисбалансом деталей посаженых на шпиндель, переменной жесткостью опор
и колебаниями фундамента на который установлен станок.
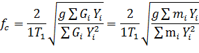
Низкая частота собственных колебаний узла
определяется по формуле Гелея:
= 9,810 мм/
- ускорение свободного падения
- вес элемента или
участка шпинделя
-перемещение
участка шпинделя под центром тяжести участка или тела
- масса участка,
закреплённого на шпинделе
Из анализа формулы Релея, следует, что для
определения частоты собственных изгибных колебаний шпинделя необходимо
определить перемещение центров тяжести участков и тел, закреплённых на
шпинделе. Эти перемещения также как и при расчете шпиндельного узла на жёсткость
обусловлены деформацией самого шпинделя как упругого тела и деформацией его
опор.
Учитывая, что шпиндель представляет собой тело
ступенчатого переменного сечения, для определения этих перемещений необходимо
привести его к эквивалентной балке постоянного сечения и дальнейших расчет
вести с помощью удар-ния метода начальных параметров так же, как и при расчете
на жесткость.
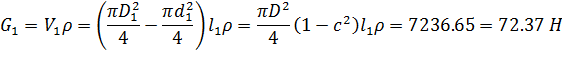
Определим силы тяжести отдельных элементов, на
которые разбит шпиндель
- длинна первого
участка
- 7.8 г/
H
H
H
H
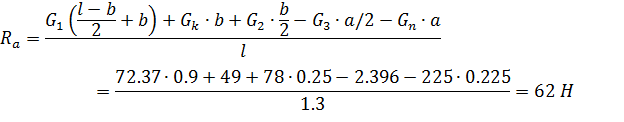
Определим реакцию шпиндельных опор из уравнения
равновесия шпинделя.
Расчленяем шпиндель на участки, границами
которых является перепад сечения. К каждому участку прикладываем в местах
рассечения внутренние силовые факторы Q и M.
Участок №-1
Определим моменты инерции сечения каждого
участка:
Выбираем один из участков в качестве основного
определяем коэф. приведения. В качестве основного участка принимаем первый
Определим приведение нагрузки и прикладываем их
к соответствующим участкам, изображая участки одинакового диаметра, равного
диаметру основного участка.
Участок 1
Участок 2
200.19 H
Участок 3
Соединим участки в одну балку постоянного
сечения и определим избыточнее нагрузки
.

К полученной балке постоянного сечения
прикладываем все приведённые нагрузки. Производим проверку правильности
расчетов загрузки балки.
Загрузка балки произведена, верно. Полученная
балка является эквивалентной.
Определяем перемещение сечения упругими
деформациями его опор под действием сил тяжести
Определим жёсткость передней и задней опор
Передней опоры:
Задней опоры:
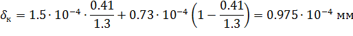
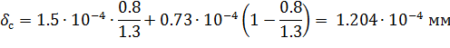
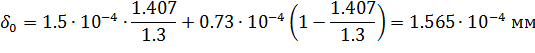
Определим деформации передней и задней опор
мм
мм
Определим перемещение сечения шпинделя,
обусловленное упругими деформациями опор А и В
Расчетная схема шпинделя для определения
перемещения его сечений, обусловлена деформацией опор
Для эквивалентной балки составляем уравнение
методом начальных параметров с помощью него определим перемещения по центрам
тяжести всех участков, которые обусловлены собственной упругой деформацией
шпинделя.
Алгебраически складываем перемещения тяжести
обусловленных деформацией самого шпинделя и его опор.
Находим низкую частоту собственных изгибных
колебаний узла по:
Определим частоту возникающей силы обусловленной
дисбалансом деталей посаженых на шпиндель
Частота обусловлена переменной жёсткостью опор
Для нормальной работы шпиндельного узла частота
его собственных колебаний должна в 3 раза и больше превышать частоту
возникающих сил. В нашем случае это условие выполняется.
Опора А:
Опора В:
Список литературы
1.
Справочник технолога машиностроителя в 2-х томах, под редакцией А.Г. Косиловой
и Р.К. Мещерякова 4-е издание, Машиностроение, 1985-496 с.
.2.
Вульф А. «Резание металлов» - Машиностроение, 1973 - 496 с.
.
Гузенко П.Г. Детали машин - Высшая школа, 1982
.
Дарков А. В. Шпиро Г. С. Сопротивление материалов - Высшая школа, 1980-500 с.
.
Колев Н. С. И др. Металлорежущие станки Машиностроение, 1980
.
Пум А. Э. Конструирование металлорежущих станков, Машиностроение, 1977 - 392 с.