Конструирование двутавровой балки коробчатого сечения
Содержание
Введение
Определение
расчетных значений изгибающих моментов и поперечных
Определение
высоты балки из условия прочности и экономичности
Расчет
поперечного сечения балки
Обеспечение
общей устойчивости балки
Расчет
сварных соединений
Расчет
опор
Заключение
Литература
Введение
Общие сведения о балках. В сопротивлении
материалов под балкой принято понимать элемент конструкции (брус), работающий
на поперечный изгиб. В реальных сооружениях балки могут испытывать также косой
изгиб и кручение. Благодаря простой конструктивной форме, малой строительной
высоте и небольшой стоимости изготовления стальные балки применяют в
междуэтажных перекрытиях зданий, на рабочих площадках промышленных цехов, в
подкрановых конструкциях и т. д. Наиболее рациональны балки пролетом, до 15-20
м. В ряде случаев (например, у подкрановых балок) пролет может быть больше.
Наиболее часто применяют сварные балки двутаврового и коробчатого профилей.
Двутавровые балки хорошо сопротивляются изгибу в
плоскости своей наибольшей жесткости, коробчатые - изгибу в разных плоскостях и
кручению.
Поперечные сечения балок иногда изменяются по
длине. В некоторых случаях изменяют толщину или ширину горизонтальных листов.
Это более целесообразно, нежели изменять толщину вертикальных листов. Применяют
балки с переменной высотой вертикальных листов. Иногда горизонтальные пояса
делают составными по толщине, если толщина пояса s=30-35 мм; при этом в менее
нагруженных участках число листов уменьшают. Балки переменного сечения
позволяют лучше использовать несущую способность металла по всей их длине. Они
дают экономию металла в сравнении с балками постоянного профиля, значительная
часть которых работает при напряжениях, значительно меньших допускаемых. В
технологическом отношении балки переменного профиля несколько сложнее. Вопрос
выбора конструкций решается с экономических позиций, а иногда и с учетом общей
компоновки и эстетики. Большинство типовых балок имеют профиль, постоянный по
длине.
Определение расчетных значений
изгибающих моментов и поперечных сил
Конструирование балки начинаем с определения
расчетных усилий изгибающих моментов M
и поперечных сил Q.
Строим линии влияния изгибающих моментов, чтобы
знать их значение в разных сечениях балки.
В сечении
х=0,1l
x=0,2l
x=0,3l
x=0,4l
x=0,5l
Ордината линий влияния
y=0, 09l=0, 09*18=1, 62=0, 16l=0,
16*18=2, 88=0, 21l=0, 21*18=3, 78=0, 24l=0, 24*18=4, 32=0, 25l=0, 25*18=4, 9
Определим моменты веса тележки в каждом из сечений
x=0,1l,
x=0,2l
и т.д., принимая, что один из сосредоточенных грузов располагается над вершиной
линии влияния. Величина изгибающего момента от сосредоточения сил.
где
-
ордината линий влияния,
P- величина
сосредоточения груза.
В сечениях при l=18м
и d=2м.
Определим изгибающие моменты и равномерно
распределенной нагрузки. Он будет равен:
где
величина
распределенной нагрузки,
площадь,
ограниченная линией влияния под распределенной нагрузкой.
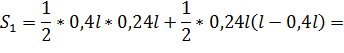
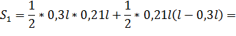
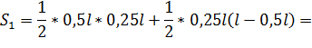
В сечении x=0,1l
=
В сечении x=0,2l.
В сечении x=0,3l
В сечении x=04l
В сечении x=0,5l.
Вычислим суммарные величины моментов в сечениях
сосредоточенных сил и равномерно распределенной нагрузки:
где
-
момент от сосредоточенной нагрузки;
Расчетной величиной момента для балки является
.
Производим построение линий влияния поперечной
силы:
в сечении
x=0l
x=0,1l
x=0,2l
x=0,3l
x=0,4l
x=0,5l
ордината линий влияния
y=0=0,9l=0,9*18=16,2=0,8l=0,8*18=14,4=0,7l=0,7*18=12,6=0,6l=0,6*18=10,8=0,5l=0,5*18=9
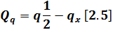
Определим расчетные усилия от сосредоточенных
сил в каждом из сечений
где p
- значение сосредоточенной силы,
y - ордината
линий влияния.
Поперечные силы от распределенной нагрузки
где q
- значение распределенной нагрузки
Суммарная величина поперечных сил
где
-
значение поперечной силы от сосредоточенных сил;
- значение
поперечной силы от распределенной нагрузки.
Определение наименьшей высоты балки
Определив расчетные усилия, переходим к
нахождению наименьшей высоты балки из условия нормы жесткости
при
сосредоточенных нагрузках Р. При определении требуемой высоты следует учесть,
что прогиб ограничен лишь в отношении нагрузки Р. Так как напряжение от
суммарного момента
и достигает
то
напряжение от суммарного момента, вызванного сосредоточенными грузами
.
Прогиб балки от 2-х сосредоточенных сил P,
расположенных симметрично
где
-
величина обратная норме жесткости,
- допускаемое
напряжение при растяжении,
E - модуль
упругости.
Чтобы определить требуемую высоту балки из
условия ее наименьшего сечения, надо добиться толщиной вертикального листа: примем
.
Высота балки будет равна
где
-
максимальное значение момента
Так как требуемая высота, найденная по формуле
больше,
чем высота, найденная по формуле
,
то ее следует принять в расчет при подборе сечения.
балка сечение сварной опора
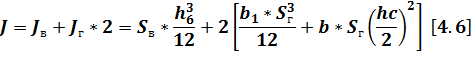
Определение геометрических
характеристик поперечного сечения балки
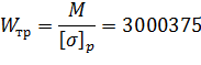
Требуемый момент сопротивления балки
Требуемый момент инерции сечения
Принимаем толщину горизонтального листа
,
тогда высота вертикального листа
Момент инерции вертикального листа
Тогда требуемый момент инерции горизонтальных
листов
Требуемое сечение одного пояса балки
где
Принимаем сечение горизонтальных листов 2х25х2,
сечение вертикальных листов 0,8х133 см.
где
и
-
размеры сечения горизонтального листа,
и
-
размеры сечения вертикального листа.
Проверка по использованию материала
Наибольшее нормальное напряжение в крайнем
волокне балки:
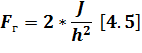
Наибольшее касательное напряжение балки
где Q
- расчетное усилие
S - статический
момент половины площади сечения.
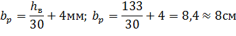
Обеспечение общей устойчивости балки
Если балку не закрепить в горизонтальной
плоскости, то требуется значительное уменьшение допускаемых напряжений, поэтому
установим горизонтальные связи на расстоянии
,
принимаем
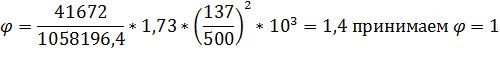
Вычисляем коэффициент
Тогда значение Ψ при
d=0,1 равно 1,73.
Момент инерции балки относительно вертикальной оси
Коэффициент продольного изгиба
где J,
-
момент инерции сечения относительно горизонтальной и вертикальной оси;
h - высота
балки.
Для устойчивости балки необходимо вычисление
неравенства
Устойчивость балки обеспечена.
При наличии сосредоточенных сил, перемещающихся
по балке, должны выполняться условия
где
-
предел текучести материала
Устанавливаем ребра жесткости, ширина ребра
жесткости
Толщина ребра
При подвижных сосредоточенных нагрузках
промежуточные ребра ставят на достаточно близких расстояниях a
друг от друга
у опор
в пролете
Найдем следующие величины:
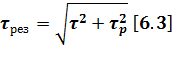
. Нормальное напряжение в верхнем волокне
вертикального листа
. Среднее касательное напряжение τ
от
поперечной силы в середине пролета 26,67 тс, среднее напряжение будет равно
. Местное напряжение
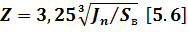
под
сосредоточенной силой
где m=1;
Z - условная длина,
на которой груз уравновешивается противодействием вертикального листа
где
-
момент инерции верхнего пояса с приваренным рельсом 50х50 мм.
Ордината центра тяжести сечения пояса
Центр тяжести расположен выше верхней кромки
пояса. Определим
Найдем
относительно
оси, проходящей через центр тяжести сечения пояса с рельсом:
тогда
Находим напряжения
:

где
Ʋ - отношение
где
-
коэффициент, равный 4,8 (данные из справочника
)
Проверим, обеспечена ли устойчивость балки
что равно 0,87. Значит, устойчивость
вертикального листа в середине пролета обеспечена. Проверим устойчивость в
опорных сечениях
Устойчивость в опорном сечении обеспечена.
Расчет сварных швов.
Катеты поясных швов принимаем равными K=8мм.
Рабочими напряжениями являются касательные. В нижних поясных швах действует
где S - статический
момент
В верхних поясных швах действуют:
где
К ним добавляются
от
сосредоточенной силы Р:
Условное результирующее напряжение:
Допускаемое напряжение в поясных швах
Швы, приваривающие ребра жесткости к поясам и
вертикальным листам принимаем r=5мм.
Эти швы рабочих напряжений не передают и расчету
на прочность не подлежат.
Учтем возможность вредного влияния швов,
приваривающих ребра жесткости на основной металл балки, считая в них допускаемые
напряжения (согласно табл. 10.11 стр. 241
).
Основной металл ребер жесткости имеет
эффективный коэффициент концентрации
.
Минимальный и максимальный моменты в этом сечении от нагрузки q
при отсутствии сил Р
Характеристика цикла
Коэффициент снижения допускаемых напряжений при
действии переменных растягивающих усилий
Коэффициент
в
соединениях поясных швов балок принимается равным 1. Принимаем γ=1,
снижение
допускаемых напряжений в основном металле не требуется.
Так как длина балки l=18м
значительна, то в ней следует предусмотреть технологические стыки. При условии
выполнения их электродами типа Э-42А, стык будет равнопрочным, т.к. допускаемое
напряжение в шве равно
, а расчетное
напряжение значительно ниже допускаемого
Расчет опор
В качестве опоры принимаем выпрямленную плитку
шириной
. Длина плиты
принимаем
42 см.
Изгибающий момент на оси пластины:
Предположим, что балка крепится к плите двумя
штырями диаметром
, при этом рабочая
ширина сечения плиты составляет:
.
Момент сопротивления плиты:
где S
- толщина плиты в опорном сечении.
Требуемый момент сопротивления плиты в указанном
сечении
тогда из
:
Радиус цилиндрической поверхности плиты R
принимаем равным 120 см. Один конец балки закрепляем неподвижно, второй должен
иметь свободное продольное перемещение. Принимаем перепады температур при
эксплуатации балки
, а средний момент
по длине балки
Тогда длина овального отверстия на подвижной
опоре
где α - коэффициент
температурного расширения (преобразованное значение ΔТ)
откуда
Заключение
В результате выполненной работы по
проектированию балки коробчатого сечения были получены результаты:
обеспечена необходимая жесткость
;
обеспечена местная устойчивость за счет
установки ребер жесткости на расстоянии у опор
,
в
пролете
.;
обеспечена общая устойчивость за счет установки
горизонтальных связей, соединяющих сжатый пояс балки с поясом соседней балки.
Расстояние между закреплениями
при
.
Из полученных результатов можно сделать вывод,
что балка является работоспособной.
Литература
1.
Николаев Г.А., Куркин С.А., Винокуров В.А. Сварные конструкции. Прочность
сварных соединений и деформаций конструкций: Учеб. пособие. - М,: Высш. школа:
1982. - 272 с.
.
Сварка в машиностроении. Справочник Т3/под ред. В. А. Винокурова. М -
Машиностроение 1979-567с.
.
Овчинников В.В. «Расчет и проектирование сварных конструкций. Практикум и
курсовое проектирование. М-2010г.
.
Николаев Г.А. Сварные конструкции. Расчет сварных соединений и прочность
сварных конструкций. М - высшая школа. 1965г. - 451 с.