|
Величина
|
t<0
|
t=0
|
t®∞
|
|
|
По законам Кирхгофа
|
По уравнениям
|
По законам Кирхгофа
|
По уравнениям
|
|
I1 (t) [A]
|
|
|
0.30
|
|
0.15
|
|
I2 (t) [A]
|
0
|
|
0.20
|
0
|
0
|
|
I3(t) [A]
|
|
0.10.1 0.15
|
|
|
|
|
uR1(t)
[B]
|
|
|
90
|
|
45
|
|
uR2(t)
[B]
|
|
|
30
|
|
45
|
|
|
90
|
|
135
|
|
UL
[B]
|
0
|
000
|
|
|
|
11. Операторный метод
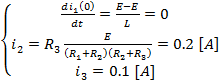
Составим систему уравнений в операторной форме:
(69)
Подставим
начальные условия:
и
преобразуем систему (69) относительно
:
(70)
(71)
(71)
(72)
(73)
(74)

(75)
Перейти
от изображения к оригиналу с помощью теоремы разложения (76):

(76)
Найдём
производную полинома F2:
(77)
Подставляем
корни:

(78)

(79)

(80)
Т.
о.
(81)
Формула (81), полученная операторным методом, совпадает с формулой (61),
полученной с помощью классического метода.
. Расчёт методом переменных состояния
Из
(84) получим:
(86)
Подставим
(86) в (83):
(87)
Оставим
в системе (82)…(85) переменные состояния цепи (iL, uc) ==> исключим токи i2 и i3 ==>,
подставляя в (82) уравнения (85) и (86), получим:
(88)
Выделим
из уравнения (87) и (88) производные:
(89)

(90)

Составим
матрицы коэффициентов, входных воздействий и начальных условий:
Используем
полученные матрицы для построения графиков iL и uC , с помощью метода Рунге-Кутта в программе «MathCAD»
Т.к.
корни вещественные, то
:
[c]
[c]
Используем
для вычисления t наибольшее
:
[c]
Обращение
к программе «MathCAD»
Расчет
переходного процесса на ЦВМ совпадает с расчетом, выполненном классическим
методом: значения тока i1(t) и
напряжения uC(t) были проверены при
13. Графики токов и напряжений
А) Графики токов
Проверим
выполнение 1-ого закона Кирхгофа при
[с]:
i1(0.001)=0.224 [A](0.001)=0.091 [A](0.001)=0.133 [A]
Верно.
Проверим
выполнение 2-ого закона Кирхгофа для первого контура при
[с]:
ul(0.001)=
-6.9(0.001)=119.7(0.001)=67.2(0.001)=39.86(0.001)=79.73
Верно.
Список литературы
1. Нейман
Л.Р., Демирчян К.С. Теоретические основы электротехники: В 2-х т. Учебник для
вузов. Том 1. - 3-е изд.,перераб. и доп. - Л.: Энергоиздат. Ленинг. отд-ние,
1981. - 536 с.
2. Бессонов Л.А. Теоретические основы электротехники: Учебник для студентов
электротехнических, энергетических и приборостроительных специальностей вузов.
- 7-е изд., перераб. и доп. - М.: Высш. школа, 1978. - 528 с.
3. Касаткин А.С., Немцов М.В. Электротехника: Учеб. пособие для ву-зов. -
4-е изд., перераб. - М.: Энергоатомиздат, 1983. - 440 с.
4. Методические указания к домашним заданиям по расчету электрических цепей
/Под ред. Лысенко А.П. - Л.: ЛМИ, 1984. - 58 с.