Контактная сеть постоянного тока

  • Вид работы:
    Курсовая работа (т)
  • Предмет:
    Физика
  • Язык:
    Русский
    ,
    Формат файла:
    MS Word
    2,29 Мб
  • Опубликовано:
    2016-02-21
Вы можете узнать стоимость помощи в написании студенческой работы.
Помощь в написании работы, которую точно примут!

Контактная сеть постоянного тока














Контактная сеть постоянного тока

Пояснительная записка к курсовому проекту

Иcходные данные

Характеристика цепной контактной подвески:

несущий трос

М-95

контактный провод

2МФО-100

система тока

постоянный

конструктивная высота

2

тип консоли

изолированная

число изоляторов

нет


Метеорологические условия; трассировка контактной сети на станции:

марки стрелок примыкающих и главных путей

1/18

расстояние до тяговой подстанции от оси 1-го пути

90

высота переходного мостика

7.4

ветровой район

3

гололедный район

2

Примечание:

Остальные стрелки станции имеют марку крестовины 1/9.

Ширина пешеходного моста 4 м.

Пассажирские платформы расположены симметрично оси ПЗ длинна 300 м.

Гололёд цилиндрической формы с удельным весом 0,9  .

Данные для трассировки контактной сети перегона:

Входной сигнал заданной станции

10 км 1+60

Ось переезда шириной 6 м

3+05

Начало кривой R1, центр слева по ходу километров

6+10

Конец кривой  Начало выемки, глубиной до 7 метров Конец выемки   Ось оврага небольшой ширины   Начало насыпи, высотой более 5 метров Мост через реку  Конец насыпи  Начало участка, где возможны автоколебания  Начало кривой R2, центр справа по ходу километров  Ось воздушной ЛЭП-110кВ, пересекающей пути угол 900 Конец кривой  Последняя анкерная опора трёхпролётного неизолирующего сопряжения

 11км 1+80 12 км 1+30 9+85  9 км 6+35 9+35   14 км 5+38 9+35 15 км 5+38 8+18 16км 4+05  8+88 17км 1+9




Введение

Контактная сеть - это часть электротяговой сети, состоящая из контактных подвесок с проводами или жестких рельсов вместе расположенными вдоль электрифицированных путей опорно-поддерживающими, изолирующими, защитными, секционируемыми и диагностическими устройствами и служат для провода электроэнергии к подвижному составу через непосредственные контакты с его токоприёмниками. Контактные сети не имеют резерва, от них в значительной степени зависит безопасность движения поездов и требуется очень высокая надёжность.

При проектировании контактной сети ставятся различные задачи, учитывающие конкретные условия эксплуатации электрифицируемой дороги. Однако во всех случаях проектировщики разных стран решают ряд общих задач, которые сводятся к выполнению следующих требований:

оборудование контактной сети должно быть простым и не усложняющим строительные и монтажные работы, а также техническое обслуживание и ремонт;

детали должны обладать продолжительном сроком службы, высокой надёжностью, технологичностью и иметь низкую себестоимость;

возможность повреждений должна быть минимальной;

оборудование контактной сети не должно препятствовать повышению скоростей и веса поездов;

контактная сеть должна в минимальной степени усложнять обслуживание других железнодорожных устройств и не препятствовать движению пассажиров.

Приведенные требования, которые разработаны и обобщены специалистами разных стран, в известной мере противоречивы. Поэтому и создание любых устройств контактной сети, которые в наибольшей степени удовлетворяли бы всем этим требованиям, связано с большими трудностями. Не в последнею очередь сказанное относится к контактной подвеске.

1. Механический расчет цепной контактной подвески

контактный сеть подвеска

Из всего многообразия сочетания метеорологических условий действующих на провода контактной сети, можно выделить три расчетных режима, при которых усилия (натяжения) в несущем тросе может оказаться наибольшим опасным для прочности троса:

режим минимальной температуры - сжатие троса;

режим максимального ветра - растяжение троса;

режим гололеда - растяжение троса;

Для этих расчетных режимов и определяем нагрузки на несущий трос.

Режим минимальной температуры

Несущий трос испытывает только вертикальную нагрузку от собственного веса и нагрузку от веса контактного провода, струн и зажимов.

Вертикальная нагрузка от собственного веса 1-го погонного метра определяется по формуле


где ,  - нагрузка от собственного веса одного метра несущего и контактного проводов даН/м; Значение ,  следует взять[1]

стр26,33,  и ;

- число контактных проводов;

 - нагрузка от собственного веса струн и зажимов, равномерно распределяется по длине пролёта принимается равной 0,05даН/м,для каждого контактного провода.

Для главных путей станции и перегона


Для второстепенных путей станции: несущий трос - ПБСМ-70, контактный провод - МФ-85


.2 Режим максимального ветра

Вертикальная нагрузка от веса проводов контактной подвески определена выше по формуле (1).

Горизонтальная ветровая нагрузка на несущий трос в даН/м определяется по формуле:


где  - аэродинамический коэффициент лобового сопротивления провода ветру, ;

 - коэффициент, учитывающий влияние местных условий

расположения подвески на скорость ветра, ;

- нормативная скорость ветра наибольшей интенсивности, м/с с повторяемостью 1раз в 10 лет, ;- диаметр несущего троса, мм (стр. 33) [1], второстепенные пути мм, на главных мм.

Горизонтальная ветровая нагрузка на контактный провод определяется по формуле:


где Н - высота контактного провода.

Второстепенные пути станции


Главные пути станции и выемки глубиной 7 метров и более


Прямой участок перегона и кривые различного радиуса


Выемка


Насыпь высотой более 5 м


Результирующая (суммарная) нагрузка на несущий трос в даН/м определяется по формуле:


Второстепенные пути станции

;

Главные пути станции и выемки глубиной 7 метров и более

.

Прямой участок перегона и кривые различного радиуса

.

Выемка

.

Насыпь высотой более 5 м

.

При определение результирующей нагрузки на контактный провод она учитываться не будет, т.к. в основном воспринимается фиксаторами.

.3 Режим гололеда с ветром

На провода контактной подвески в этом режиме действует вертикальная нагрузка от веса проводов контактной подвески, вес гололеда и горизонтальная нагрузка от давления ветра на провода контактной подвески, скорость ветра при гололеде -5 С, вертикальная нагрузка от собственного веса проводов контактной подвески определяется выше.

Вертикальная нагрузка от веса гололеда на несущем тросе даН/м определяется по формуле:


где nг - коэффициент перегрузки принимаю;г=1 для нормальных условий контактной сети(станция, кривая);т - толщина стенки гололеда на несущем тросе, мм;- диаметр несущего троса, мм;

- 3,14.

Толщина стенки гололеда на несущем тросе, мм определяется по формуле:


где bн- нормативная толщина стенки гололеда, мм;

 - коэффициент, учитывающий влияние диаметра провода на

отложения гололеда, (стр100[1]);

- коэффициент, учитывающий влияние высоты расположения

контактной подвески, (стр100[1]).

Второстепенные пути станции, для несущего троса ПБСМ-70 принимаем .

Для главных путей станции и перегона для несущего троса М-95 принимаем .

Для выемки глубиной более 5м ; для второстепенных и главных путей станций .

Для прямого участка перегона и кривых различного радиуса .

Для насыпи .

Вертикальная нагрузка от веса гололёда на контактном проводе в даН/м определяется по формуле:


где bк - толщина стенки гололёда на контактном проводе, мм; на контактных

проводах толщину стенки гололёда принимают равной 50% от

толщены гололёда на несущем тросе;  ;к - средний диаметр контактного провода, мм.


где Н и А - соответственно высота и ширина сечения контактного провода, мм;

Второстепенные пути станции

;

;


Главные пути станции и выемки глубиной 7 метров и более


Прямой участок перегона и кривые различного радиуса

;

;


Выемка

;

;


Насыпь высотой более 5 м

;

;


Полная вертикальная нагрузка от веса гололеда на проводах контактной подвески в даН/м определяется по формуле:


где  - равномерно распределённая по длине пролёта вертикальная

нагрузка от веса гололёда на струнах и зажимах при одном контактном проводе, даН/м, которая в зависимости от толщены стенки гололёда составляет .

Второстепенные пути станции

.

Главные пути станции и выемки глубиной 7 метров и более

.

Прямой участок перегона и кривые различного радиуса

.

Выемка

 даН/м

Насыпь высотой более 5 м

.

Горизонтальная ветровая нагрузка на несущий трос, покрытый гололёдом в даН/м, определяется по формуле:


где  - нормативная скорость ветра при гололёде, м/с;

Горизонтальная ветровая нагрузка на контактный провод, покрытый гололедом в даН/м, определяется по формуле:


Второстепенные пути станции


Главные пути станции и выемки глубиной 7 метров и более



Прямой участок перегона и кривые различного радиуса


Выемка


Насыпь высотой более 5 м


Результирующая (суммарная) нагрузка на несущий трос в даН/м, определяется по формуле:


Второстепенные пути станции


Главные пути станции и выемки глубиной 7 метров и более


Прямой участок перегона и кривые различного радиуса


Выемка


Насыпь высотой более 5 м



2. Выбор исходного расчетного режима

В сравнении с режимом максимального ветра, минимальной температуры и режима гололеда с ветром, опираясь на расчеты, был выбран режим максимального ветра. Все данные приведены в таблице 1.

Участок местности

Нагрузки, действующие на контактную подвеску

gc

g0

Ртг

Ркг

 тv

Ртv

Ркv

gтг

gкг


даН/м

даН/м

даН/м

даН/м

даН/м

даН/м

даН/м

даН/м

даН/м

даН/м

даН/м

даН/м

Главные пути

0,83

0,89

0,05

1,56

0,30

0,35

2,72

0,2

0,18

0,45

0,17

1,3

Боковые пути

0,598

0,75

0,05

1,27

0.26

0,26

1,42

0,2

0,14

0,42

0,17

1,03

Выемка

0,83

0,89

0,05

2,71

0,55

0,64

2,8

0,33

0,3

0,23

0,09

0,8

Насыпь

0,83

0.89

0,05

2,71

1,30

2,93

1,06

0,86

1,13

0,41

3,2

П.у.(кривая)

0,83

0,89

0,05

2,71

0,96

1,12

2,87

0,76

0,64

0,62

0,2

0,83

Главные пути и выемки глубиной 7 метров и более

 - режим максимального ветра.

Второстепенные пути станции

 - режим максимального ветра.

Прямой участок и кривые различного радиуса

 - режим максимального ветра.

Насыпь высотой более 5м

 - режим максимального ветра.


3. Определение длин пролетов на прямом и кривом участках пути

Правилами устройства и технической эксплуатации контактной сети электрифицированных железных дорог (ЦЭ-868) рекомендуется выполнять длины пролетов по условиям токосъема не более 70метров.

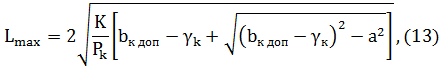
Длина пролета для прямого участка пути определяется по формуле:


на кривых:


где К - номинальное натяжение контактных проводов, даН/м;

 - наибольшее допустимое горизонтальное отклонение контактных проводов; от оси токоприемника в пролете;  - на прямых и  - на кривых;

а - зигзаг контактного провода,  - на прямых и - на кривых;  - ветровая на контактный провод, даН/м;

 - упругий прогиб опоры, м, взять из таблицы при соответствующей скорости ветра ;- радиус кривой, м.

Далее определяем среднею длину струны по формуле:


где h - конструктивная высота подвески;- нагрузка на несущий трос от веса всех проводов цепной подвески;

Т0 - натяжение несущего троса при беспровесном положении контактного провода.

Удельная эквивалентная нагрузка, учитывающая взаимодействие несущего троса и контактного провода при ветровом их отклонении, даН/м, определяется по формуле:


где Т - натяжение несущего троса контактной подвески в расчетном режиме, даН/м;

Рт - ветровая нагрузка на несущий трос, даН/м;

 - результирующая нагрузка на несущий трос, даН/м;

 - длина подвесной гирлянды изоляторов, м, длину гирлянды изоляторов можно принять: 0,16 м (длина серьги и седла) при изолированных консолях; 0,56 м при двух подвесных изоляторах в гирлянде, 0,73 м при трёх, 0,90 м при четырёх изоляторах;

 - длина пролёта, м.

Окончательно определяем длину пролёта с учетом удельной эквивалентной нагрузки по формулам:

на прямых


на кривых


Второстепенные пути станции


Так как длина пролёта на второстепенных путях выше нормативной, то принимаем её за 70 м.

Главные пути станции и выемки глубиной 7 метров и более


Так как длина пролёта на главных путях получилась выше нормативной, то принимаем её за 70 м.

Прямой участок


Так как длина пролёта на прямом участке перегона выше нормативной, то принимаем её за 65 м.

Выемка

Так как длина пролёта на выемке выше нормативной, то принимаем её за 70 м.

Насыпь высотой более 5м


Так как длина пролёта на насыпи выше нормативной, то принимаем её за 60 м.

В кривом участке пути при R=1300м


Принимаем длину пролета равную 56 м.

В кривом участке пути при R=2000м


Принимаем длину пролета равную 60 м.

4. Составление схемы питания и секционирования контактной сети

.1 Составление схемы питания и секционирования контактной сети

Контактная сеть электрифицируемого участка для обеспечения надежной работы и удобства её обслуживания делится на отдельные секции, электрически независимые друг от друга. Секционирование осуществляется изолирующими сопряжениями анкерных участков, секционными изоляторами, секционными разъединителями и врезными секционирующими изоляторами.

Продольное секционирование предусматривает отделение контактной сети станций от контактной сети перегонов по каждому главному пути, разделение контактной сети у постов секционирования и выделение крупных искусственных сооружений(мосты, тоннели) в отдельные секции.

Продольное секционирование осуществляется трёхпролётными изолирующими сопряжениями, которые располагаются между входным сигналом или знаком «Граница станции» и крайним стрелочным переводом.

На изолирующих сопряжениях устанавливаются шунтирующие их продольные секционные разъединители, обозначающееся заглавными буквами русского алфавита: А, Б, В …

Секции контактной сети переменного тока, питающиеся от разных фаз, разделяют изолирующими сопряжениями с нейтральной вставкой, исключающей одновременное перекрытие токоприёмником этих сопряжений. Нейтральные вставки представляют собой два последовательно расположенных изолирующих сопряжения и располагаются за входным сигналом на расстоянии, позволяющем электроподвижному составу проследовать её по инерции, не препятствуя остановке поезда перед закрытым входным сигналом.

Поперечное секционирование между путями осуществляется секционными изоляторами, поперечными разъединителями и врезными изоляторами в фиксирующих тросах поперечных и в нерабочих ветвях контактных подвесок. При поперечном секционировании учитывается следующее:

Контактная сеть главных путей перегона и станции выделяется в отдельные секции.

К контактной подвески главных путей допускается присоединять две-три подвески боковых путей. Остальные, как правило, выделяют в отдельную секцию.

Вне зависимости от числа электрифицированных путей в отдельные секции выделяют пути для производства погрузочно-разгрузочных работ, осмотра крышевого оборудования, отстоя и экипировки электроподвижного состава, снабжения водой пассажирских вагонов и наливки цистерн, путей электродепо.

Чтобы выполнить это условие, нужно предусмотреть установку секционных изоляторов в контактные подвески станционных путей. Тип секционного изолятора выбирают в зависимости от максимальной скорости движения поездов и номинального напряжения в контактной сети.

Поперечные разъединители, соединяющие контактные подвески разных секций станций, обозначаются буквой «П», они могут иметь как ручные, так и двигательные приводы.

Присоединения контактных подвесок путей, где производятся работы вблизи контактной сети, выполняют секционными разъединителями с заземляющими ножами; обозначают их буквой «З».

При выборе типа приводов разъединителей контактной сети учитывают назначение путей частоту переключений разъединителей, особиности секционирования данного участка контактной сети и т. п.

Современные требования предусматривают применение дистанционного и телеуправления секционными разъединителями, поэтому линейные, продольные и поперечные разъединители следует проектировать с двигательными приводами (См рисунок 1).

Питание контактной сети от тяговых подстанций осуществляется питающими линиями (фидерами), обычно воздушными.

На двухпутных участках переменного тока питающие линии, отходящие от тяговой подстанции к контактной сети перегонов, проектируют отдельно на каждый путь. Фидерная линия, питающая станционные пути, выделяется отдельно. В питающих линиях контактной сети переменного тока линейные разъединители устанавливают в местах присоединения их к контактной сети.

В контактной сети постоянного тока линейные разъединители устанавливают в начале и конце питающих линий. Если длина фидера меньше 150 метров, линейные разъединители можно не проектировать.

Разъединители питающих линий обозначаются «Ф» с цифровыми индексами, соответствующими номерами путей.

На схему питания и секционные участки наносятся тяговые подстанции: питающие и отсасывающие линии, секционные разъединители в нормальном положении с присвоенными им литерами или номерами, секционные изоляторы с присвоенными им номерами, изолирующие сопряжения анкерных участков и их названия, номера воздушных стрелок, которые должны соответствовать номерам стрелочных переводов, пересечение контактной сети воздушными линиями электропередач, искусственные сооружения, перерывающие контактную сеть (мосты, путепроводы, и др.), станции с указанием километража и остановочные пункты, границы дистанции контактной сети и участка электроснабжения.

Схема секционирования вычерчивается на листе белой бумаги форматом А4 и подшивается в пояснительную записку.

5. Трассировки контактной сети станции и перегона

.1 Трассировка контактной сети станции

Планы контактной сети станции составляют в увязке с существующими планами путевого развития станции, учитывая её развитие на перспективу, и расположение всех сооружений: пассажирские здания, переходные мостики, путепроводы и т. Д.

Планы контактной сети станции вычерчивают в масштабе 1:1000, как правило, на миллиметровой бумаге. Ширина листа равна 297 мм, длина листа должна быть кратной 210 мм, и определяется согласно заданной длине станции. Например: на схеме указаны расстояния от оси пассажирского здания до крайних точек схемы (светофоров или тупика), не учитывая знак, нужно сложить эти отметки и прибавить 600-800 мм для размещения на чертеже спецификаций и нейтральных вставок на переменном токе.

Положение опор контактной сети на плане определяется расстоянием от оси ближайшего пути (габаритом) и расстоянием от оси пассажирского здания, измеренным по оси главного пути.

Планы контактной сети станции составляют в следующим порядке: намечают места фиксации контактных проводов в горловинах станций; выбирают наилучший вариант расстановки несущих и фиксирующих опор, опор изолирующих сопряжений, опор средней части станции, у пассажирского здания и искусственных сооружений; выполняют трассировку (разводку) анкерных участков; намечают места для анкерных опор; производят трассировку питающих и отсасывающих линий, ВЛ и других проводов, увязывая их между собой; подбирают типы опор, фундаментов, консолей и пр.

5.2 Трассировка контактной сети перегона

Планы контактной сети перегона вычерчивают в масштабе 1:2000 на миллиметровой бумаге (ширина листа 297 мм). Необходимую длину листа определяют исходя из заданной длины перегона с учетом масштаба и необходимого запаса (800 мм) в правой части чертежа на размещение общих данных и основной надписи и принимают кратной стандартному размеру 210 мм.

План контактной сети перегона вычерчивают в следующей последовательности:

предварительная разбивка перегона на анкерные участки.

Расстановку опор на перегоне начинают с переноса на план перегона опор изолирующего сопряжения или нейтральной вставки станции. Расположение этих опор на плане перегона должно быть увязано с их расположением на плане станции. Увязку осуществляют по входному сигналу, который обозначен и на плане станции;

следующий этап - наметка анкерных участков контактной сети, примерное расположение мест их сопряжений. В середине анкерных участков намечают места средних анкеровок, где впоследствии необходимо сокращать длины пролетов; Намечая анкерные участки подвески, необходимо исходить из следующих соображений:

количество анкерных участков на перегоне должно быть минимальным;

максимальная длина анкерного участка контактного провода на прямой принимается не более 1600 м;

на участках с кривыми длину анкерного участка уменьшают в зависимости от радиуса и расположения кривых;

сопряжения анкерных участков рекомендуется выполнять на прямых. В конце перегона должно находиться трёхпролетное изолирующее сопряжение, разделяющее перегон и следующею станцию;

далее расстановка опор на перегоне. Расстановка опор производится пролётами, по возможности равными допустимым для соответствующего участка местности, полученными в результате расчетов длин пролетов. При разбивки опор разница в длине двух смежных пролётов полукомпенсированной подвески не должна превышать 25% длины большого пролета. Пролеты со средними анкеровками должны быть сокращены: при полукомпенсированной - один пролет на10%, а при компенсированной - два пролета на 5% максимальной расчетной длины для соответствующего участка местности. Длину пролетов на мосту принимают не более 40-45 м, считая, что конструкция моста симметричная.

обработка плана перегона. Выполнив расстановку опор и зигзагов контактного провода, производят окончательную разбивку контактной сети перегона на анкерные участки и вычерчивают их сопряжения;

составляют спецификации анкерных участков, опор и т.д. по аналогии с планом станции.

6. Проход контактной подвески в искусственных сооружениях



7. Расчет стоимости оборудования контактной сети перегона

В курсовом проекте следует произвести оценку стоимости оборудования контактной сети перегона.

Таблица 2 -Стоимость оборудования контактной сети перегона

Наименование работ или затрат

Единицы измерения

Сметная стоимость, у.е.

Итого

1

2

3

4

Материалы Провод: М-95 МФО-100 Проволоки: ПБСМ-70 МФ-85 Оборудование

Разрядник:

Роговый с двумя разрывами

Изолятор:

Фиксирующий ФСФ 70-3/0,5

Подвесной ПСФ 70-3/0,5-0,6

СС-108,7-III

СС-108,6-I

Консоль:

Итого

кг

кг

т

т

шт.

шт.

шт.

шт.

шт.

шт.

,98

,17




,285

,4

,4

,72

,72








,99

,8

,6

,12

.76

15955777,27







Заключение

В курсовом проекте выполнен механический расчет цепной контактной подвески, расчет нагрузки на провода в режиме максимального ветра, режим минимальной температуры и в режиме гололеда. Выбран исходный расчетный режим- режим максимального ветра. Для этого режима были определены максимальные длины пролета на прямом и кривом участках пути. Также произведено определение максимально допустимых длин пролетов. Составлена схема питания и секционирования контактной сети станции и прилежащего перегона.

Расчеты велись для следующих характеристик местности:

Второстепенные пути станции;

Главные пути станции и перегона;

Прямой участок перегона и кривые различного радиуса;

Выемка глубиной до 7 метров;

Насыпь высотой более 5 метров.

Произведена оценка стоимости оборудования контактной сети перегона.

При проектировании курсового проекта были выбраны:

Провода марки: М-95 и МФО-100.

Проволки: ПБСМ-70 и МФ-85.

Оборудование:

Разрядники;

Изоляторы: фиксирующий и подвесной;

Опоры марки СС-108,7-III и СС-108,6-I.

Выполнены: трассировка контактной сети перегона, трассировка контактной сети станции, схема питания и секционирования.


Список литературы

. Горошков Ю.И., Бондарев Н.А. Контактная сеть. - М. Транспорт, 2011 - 400с.

. Воронин А.В., Электроснабжение электрифицированных железных дорог. - М.. Транспорт, 2010 - 296 с.

. Мамошин Р.Р., Зимакова А.Н. Электроснабжение электрифицированных железных дорог. Учебник для техникумов железнодорожного транспорта - М. Транспорт, 2011 - 296 с.

. Фрайфельд А.В. Проектирование контактной сети. - М.. Транспорт, 2014 - 328 с.

Похожие работы на - Контактная сеть постоянного тока

 

Не нашли материал для своей работы?
Поможем написать уникальную работу
Без плагиата!
Без нейросетей!