Кинематика движения материальной точки
Федеральное
государственное бюджетное образовательное учреждение
высшего
профессионального образования
«Нижегородский
государственный архитектурно-строительный университет»
(ННГАСУ)
Кафедра
общей физики и теоретической механики
Расчетно-графическая
работа №1
Кинематика
Часть
1
Вариант
18
Студент гр.1304
Осинина Ю.А.
Преподаватель
Маковкин Г.А.
Н.Новгород
Задача 1
Координатным способом задан закон движения
материальной точки
траектория точка
скорость
Построить траекторию движения, отметив на ней
положение точки М в начальный и заданный момент времени. Для заданного момента
времени t=2с определить скорость, полное, нормальное и касательное ускорения
точки, определить радиус кривизны траектории. Определить каким является
движение: ускоренным, равномерным или замедленным.
Решение
. Определяем траекторию.
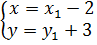
Исключаем время из закона движения точки.
Введем новые переменные
с
обратным переходом
Получим уравнение квадратной параболы :
с
ветвями, направленными вправо
Строим параболу.
Траектория незамкнута.
Определяем границы траектории, исходя из неравенства
.
Получим:
,
. Определяем положение точки М.
t
;
Показываем точку М на рисунке.
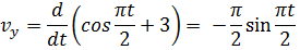
. Определяем скорость точки.
Для этого определяем проекции вектора скорости
на координатные оси:
Изображаем вектор скорости на рисунке.
Вычисляем модуль вектора скорости:
м/с
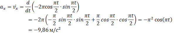
4. Определяем ускорение точки.
Для этого определяем проекции вектора ускорения
на координатные оси:
м/с2
Вычисляем модуль вектора ускорения:
м/c2
Проектируем вектор ускорения на направление
вектора скорости:
м/с2
Проекция положительная, то есть движение при
t=2с, является ускоренным. Найденная проекция по модулю равна касательному
ускорению
.
Вычисляем нормальное ускорение:
м/с2
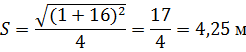
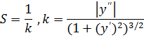
. Определяем радиус кривизны траектории в данной
точке:

Задача решена.
Задача 2
На схеме изображен механизм, передающий движение
от тела №1 к телу №6. Тело №1, которое совершает поступательное движение, имеет
скорость равную v1. Заданы радиусы колес данного механизма - с, R3, R4, R5,
r3=k3*R3, r4=k4*R4.
Определить угловые скорости всех колес
механизма, линейные скорости точек соприкосновения колес, а также скорость тела
№6. Определить скорость и ускорение в точке М. Считать, что нити нерастяжимы, а
проскальзывание колес и нитей при движении механизма отсутствует.
Дано: Стержень №1 движется вниз со скоростью
v1=90см/с.
Размеры деталей: R2=30см, R3=40см, R4=45см,
R5=40см, r3=26,67см, r4=22,5см.
Решение:
Тело 1 - движение поступательное вниз;
Тело 5 - движение вращательное по часовой
стрелке;
Тело 4 - движение вращательное по часовой
стрелке;
Тело 3 - движение вращательное по часовой
стрелке;
Тело 2 - движение вращательное против часовой
стрелки;
Тело 6 - движение поступательное вверх.
. Определяем скорости точек соприкосновения
деталей передачи, используя два положения:
Две соприкасающиеся точки вращающихся колес
имеют равные по величине и направлению скорости;
Все точки ременной передачи имеют равные по величине
скорости.
Получим следующие результаты:
см/с
рад/с
см/с
рад/с
см/с
рад/с
см/с
рад/с
см/с
. Рассмотрим точку М.
Скорость точки М перпендикулярна к радиусу R4 и
направлена в сторону вращения, т. е. вправо. По модулю она равна
cм/с.
Вращения тела №4 происходит равномерно. Точка движется по окружности тоже
равномерно. По этой причине ускорение точки М по модулю равно:
см/с2.
Полное ускорение совпадает с нормальным.
Задача решена.