Кинематика и динамика материальной точки и твердого тела
Реферат
по физике на тему:
«Кинематика
и динамика материальной точки и твердого тела»
1. Кинематика
Вывод формулы для нормального и
тангенциального ускорения
При любом движении
точки, кроме равномерного прямолинейного движения, скорость точки изменяется.
Для характеристики быстроты изменения скорости
точки в механике
вводится векторная физическая величина, называемая ускорением.
Ускорением называется
вектор а, равный первой производной по времени t от скорости
этой
точки;
Ускорение точки равно
также второй производной по времени от радиус-вектора r этой точки:
Поскольку вектор ускорения при
криволинейном движении сориентирован по отношению к скорости под произвольным
углом, то разложим его на нормальную и тангенциальную составляющие:
Определим величину, направление и
роль в изменении скорости нормального ускорения. Предположим, что:
= an.
Тогда:
= a·dt = an·dt.
Таким образом, вектор приращения скорости параллелен вектору
нормального ускорения. Поскольку нормаль n перпендикулярна , а,
следовательно, и вектору скорости, то всегда вектор приращения скорости также
перпендикулярен v. В данном случае годограф представляет из себя окружность, и
скорость изменяется только по направлению, сохраняясь неизменной по величине.
Следовательно, направление вектора приращения скорости совпадает с вектором n.
Величину вектора an можно рассчитать из простых
геометрических соображений.
Следовательно, в данном случае вектор приращения скорости
параллелен вектору тангенциального ускорения. Вектора приращения скорости и
тангенциального ускорения также направлены вдоль
Тангенциальное ускорение характеризует изменение скорости по
величине. Вектор тангенциального ускорения равен
В общем случае, когда скорость изменяется по величине и
направлению значение модуля вектора ускорения равно:
.
Сам вектор полного
ускорения состоит из суммы двух слагаемых:
Нормальное ускорение точки
характеризует быстроту изменения направления вектора скорости точки. Нормальное
ускорение направлено всегда к центру кривизны траектории, так что его проекция
на главную нормаль n не может быть отрицательной:
По этой причине нормальное ускорение
точки часто называют также центростремительным ускорением. Нормальное ускорение
точки равно нулю только в том случае, если точка движется прямолинейно.
Движение по окружности. Угловой
путь, угловая скорость, угловое ускорение
При вращении твердого тела вокруг
неподвижной оси все его точки движутся по окружностям, центры которых лежат на
оси вращения, а плоскости окружностей перпендикулярны к ней. Точки тела,
находящиеся на разных расстояниях от оси вращения, движутся по разным
окружностям и в связи с этим все кинематические характеристики разных точек
тела будут разными:
Но положение тела
полностью определяется заданием угла поворота
из некоторого
начального положения. В этом случае говорят, что тело имеет одну степень
свободы.
Рассмотрим движение
точки, вращающейся вокруг оси, более подробно (рис 1).Передвигаясь по
траектории, точка проходит путь
и поворачивается на
определенный угол
.
По аналогии пути
вводят
понятие углового пути
,
который равен углу поворота тела за время и направленный вдоль оси вращения
так, что если смотреть вдоль него, то поворот тела наблюдается происходящим по
часовой стрелке.
При рассмотрении
движения материальной точки, использовался вектор перемещения
,
который является основой математического описания движения. По аналогии, для
описания вращательного движения вводят понятие углового перемещения или вектора
углового перемещения
,
являющейся аксиальным вектором (всегда направлены вдоль оси вращения).
Рис. 1
Следующей кинематической
характеристикой вращательного движения есть угловая скорость - скорость
изменения угла поворота, которая равна первой производной угла поворота по
времени:
Это, конечно, мгновенная
угловая скорость. Она направлена по оси вращения в соответствии с правилом
буравчика или правого винта.
Если угловая скорость
постоянна, то для характеристики движения часто вводят понятие периода вращения
Т, т.е. времени, за которое тело совершает полный оборот,
.
Период связан с угловой скоростью формулой:
Число оборотов n,
совершенное телом за единицу времени - частота. Это величина, обратная периоду:
Угловое ускорение -
быстрота изменения угловой скорости с течением времени, равно первой
производной угловой скорости и направлено вдоль оси вращения или равно второй
производной по углу поворота:
Угловое ускорение
-
вектор, направленный по оси вращения. Он совпадает по направлению с вектором
угловой скорости при ускоренном вращении и противоположен ему при замедленном.
. Динамика
Следствия из преобразования Галилея.
Инварианты преобразований (инвариантность длины, времени, ускорении, уравнений
Ньютона)
Как известно, описывать
движение можно только в том случае, если задана система отсчета. Но систем
отсчета существует множество, и в каждой из них характеристики одного и того же
самого движения могут принимать разные значения. Поэтому, необходимо уметь
переходить с одной системы отсчета в другую. При этом будем считать, что при
рассмотрении небольших скоростей (
«c) справедливы законы
классической механики. Когда речь идет о скоростях приближающихся к скорости
света, справедливы законы специальной теории относительности (релятивистской
механики).
Покажем, что законы
механики Ньютона имеют одинаковый вид в двух инерциальных системах К и К’,
движущихся относительно друг друга со скоростью U (рис. 2) Положение движущейся
точки массой m относительно первой системы зададим радиус-вектором
,
относительно второй -
.
Рис, 2
Из рисунка видно, что
связь между
и
следующая:
(1)
(1)
Запишем ее для каждой координаты в
отдельности: (2)
Эти формулы позволяют
определить координаты материальной точки в системе К, если известны ее
координаты в системе
.
Обратный переход: (3)
Такие уравнения
называются преобразованиями координат Галилея. Они дают возможность вычислить
координаты движущейся точки по отношению к системе К, если известны координаты
ее в системе
,
и наоборот.
Связь скоростей точки
и
в
разных системах получим, продифференцировав по времени формулу (1),
или (4)
Если в одной из
инерциальных систем отсчета тело двигалось с постоянной скоростью
,
то и в другой оно также будет иметь постоянную скорость
.
Значит первый закон динамики будет выполняться в обеих системах отсчета.
Поскольку система К
движется относительно системы К’ с постоянной скоростью,
,
то
т.е. ускорения в обеих
системах одинаковы, а так как масса движущейся точки m не изменилась при
переходе в другую систему, то второй закон динамики будет иметь такой же вид,
как и в первой системе: (5)
Таким образом, законы
классической механики инвариантны по отношению к преобразованиям Галилея.
В рассматриваемом случае
длина отрезка и интервал времени не зависит от системы отсчета, т.е. если мы
измерим в системе К длину какого-то предмета, то она будет точно такой в
системе
Аналогичное
заключение можно сделать и относительно интервала времени между событиями, т.e.
длина и время тоже инвариантны по отношению к преобразованиям Галилея.
. Закон сохранения импульса и
момента импульса
Центр инерции. Аддитивность массы.
Центр масс системы материальных
точек - точка, положение которой характеризует распределение массы системы в
пространстве. Центр масс - это точка приложения внешних сил, действующих на
систему, движущуюся таким образом, как будто суммарная масса системы тел
сосредоточена в этой точке.
Аддитивность - свойства физических,
геометрических и других величин, состоящее в том, что значение величины,
соответствующее целому объекту, равно сумме значений величин, соответствующих
его частям при любом разделении объекта на части: аддитивность массы тела
означает, что масса тела равна сумме масс составляющих его частей.
Координаты центра масс системы тел
определяются следующим образом: (1)
где
и
-
массы и соответствующие координаты тел, входящих в систему.
Положение центра масс
тела зависит от того, как распределяется по объему тела его масса. Центр масс
не обязательно должен находиться в самом теле. Если тело движется поступательно
под действием нескольких сил, значит, точка приложения равнодействующей этих
сил находится в центре масс этого тела. Если направление прямой, вдоль которой
действует сила, не проходит через центр масс тела, эта сила вызывает поворот
тела.
Скорость центра масс
механической системы равна отношению импульса этой системы к ее массе: (2)
Соответственно импульс
системы равен произведению ее массы на скорость центра масс:
.
Подставив это выражение для р в уравнение
получим закон движении
центра масс: (3)
Теорема о движении центра масс
системы. Закон сохранения центра массы
Произведение массы системы на
ускорение ее центра масс равно геометрической сумме всех действующих на систему
внешних сил (центр масс механической системы движется как материальная точка,
масса которой равна массе всей системы и на которую действует сила, равная
главному вектору приложенных к системе внешних сил).
Этот закон показывает, что для
изменения скорости центра масс системы необходимо, чтобы на систему действовала
внешняя сила. Внутренние силы взаимодействия частей системы могут вызывать
изменения скоростей этих частей (например, при разрыве снаряда на несколько
осколков), но они не могут повлиять на суммарный импульс системы и скорость ее
центра масс.
Из закона движения
центра масс следует, что скорость
центра масс замкнутой
механической системы не изменяется с течением времени. Иными словами, центр
масс замкнутой системы либо покоится, либо движется с постоянной скоростью
относительно неинерциальной системы отсчета.
В качестве системы
отсчета в механике часто пользуются системой центра масс поступательно
движущейся системы отсчета, относительно которой центр масс рассматриваемой
механической системы неподвижен. Из сказанного выше ясно, что система центра
масс замкнутой механической системы инерциальная.
Закон сохранения
движения центра масс.
Если главный вектор
(векторная сумма) внешних сил остается все время равным нулю, то центр масс
механической системы находится в покое или движется прямолинейно и равномерно.
Работа и кинетическая энергия
вращающегося тела.
Кинетическая энергия твердого тела
складывается из кинетических энергий его частей Ei. Рассчитаем значение Ei для
элементов твердого тела.
i = mi·vi2/2 = mi·w2·ri2/2.
Кинетическая энергия твердого тела
будет равна:
к = w2/2·mi·ri2 = I·w2/2.
(8.13)
Заметим, что формула для
расчета Eк похожа на выражение для определения кинетической энергии
поступательного движения тела, только роль меры инертности в этом случае играет
момент инерции, а не масса и характеристикой движения является угловая, а не
линейная скорость твердого тела. Можно показать, что при произвольном движении
твердого тела его кинетическая энергия Wt равна сумме кинетической энергии
поступательного движения тела со скоростью vc его центра масс и
кинетической энергии вращения тела с угловой скоростью
вокруг
мгновенной оси, проходящей через центр масс
Рассчитаем работу силы,
вызывающей вращательное движение тела вокруг некоторой оси и приложенной к
произвольной точке этого тела.
При вращательном
движении твердого тела под действием силы F работа равняется произведению
момента этой силы на угол поворота.
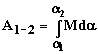
Работа переменной силы
при повороте тела на конечный угол равняется определенному интегралу от момента
сил:
.
кинематический
динамический точка тело
Движение в центральном
поле
Центральная сила - сила,
которая всегда направлена по радиус-вектору, соединяющему материальную точку с
некоторой точкой в пространстве, и зависит только от расстояния до этой точки
(pис.
<#"804774.files/image044.gif">
Рис. 3. Точка 0 - силовой центр.
Силы F1(r10) и F2(r20) зависят только от расстояния до центра.
Примером таких сил также могут
служить силы гравитационного притяжения Земли к Солнцу (или Луны к Земле).
Покажем, что работа центральных сил
также не зависит от формы пути и определяется только начальным и конечным
положениями материальной точки. Для этого произведем бесконечно малое
перемещение dr.
При этом |dr|cosα = dr, где dr -
приращение расстояния до центра. Таким образом, dA = Fdr и
(15)
Значение определенного интеграла
зависит только от нижнего и верхнего пределов r1 и r2 и,
таким образом, не зависит от формы пути.
Материальная точка, движущаяся в
поле центральных сил, представляет собой консервативную систему. Поэтому при
движении материальной точки сохраняется и полная механическая энергия точки,
т.е.
.
Для центрального
гравитационного поля большой массы М имеем
.
Законы Кеплера
В мире атомов и элементарных частиц
гравитационные силы пренебрежимо малы по сравнению с другими видами силового
взаимодействия между частицами. Очень непросто наблюдать гравитационное
взаимодействие и между различными окружающими нас телами, даже если их массы
составляют многие тысячи килограмм. Однако именно гравитация определяет
поведение «больших» объектов, таких, как планеты, кометы и звезды, именно
гравитация удерживает всех нас на Земле.
Гравитация управляет движением
планет Солнечной системы. Без нее планеты, составляющие Солнечную систему,
разбежались бы в разные стороны и потерялись в безбрежных просторах мирового
пространства.
Закономерности движения планет с
давних пор привлекали внимание людей. Изучение движения планет и строения
Солнечной системы и привело к созданию теории гравитации - открытию закона
всемирного тяготения.
Первый закон Кеплера:
Все планеты движутся по
эллиптическим орбитам, в одном из фокусов которых находится Солнце.
На рис. 4 показана эллиптическая
орбита планеты, масса которой много меньше массы Солнца. Солнце находится в
одном из фокусов эллипса. Ближайшая к Солнцу точка P траектории называется
перигелием, точка A, наиболее удаленная от Солнца, называется афелием или
апогеем. Расстояние между афелием и перигелием - большая ось эллипса.
Рисунок 4
Эллиптическая орбита
планеты массой m << M. а - длина большой полуоси, F и F' - фокусы орбиты.
Второй закон Кеплера:
Радиус-вектор планеты
описывает в равные промежутки времени равные площади.
Рисунок 5
Закон площадей - второй
закон Кеплера.
Второй закон Кеплера
эквивалентен закону сохранения момента импульса
<#"804774.files/image050.gif">и его составляющие
и
Площадь,
заметенная радиус-вектором за малое время Δt, приближенно
равна площади треугольника с основанием rΔθ и
высотой r:
Здесь
-
угловая скорость
Момент импульса L по
абсолютной величине равен произведению модулей векторов
и
Из этих отношений следует:
Поэтому, если по второму
закону Кеплера
то
и момент импульса L при движении остается неизменным.
В частности, поскольку
скорости планеты в перигелии
и афелии
направлены
перпендикулярно радиус-векторам
и
из
закона сохранения момента импульса следует:
rPυP = rAυA.
Третий закон Кеплера:
Квадраты периодов
обращения планет относятся как кубы больших полуосей их орбит:
4. Закон сохранения энергии
Границы движения
Закон сохранения энергии разрешает
анализировать характер движения.
Рассмотрим одномерное движение.
Запишем Закон сохранения энергии:
Кинетическая энергия
всегда позитивна, поэтому потенциальная энергия никогда не может быть больше
полной:
Следовательно, частичка
может находиться только в тех точках пространства, где ее потенциальная энергия
не превышает полную.
Т.е. существуют границы
движения.
Пример 1. Пусть
потенциальная энергия зависит от координаты по закону квадратичной параболы
(рис. 6):
Если En -
полная энергия, а частица не может владеть потенциальной энергией больше
полной, то это значит, что она может двигаться в границах от -х1 до
+х2. заштрихованные на рисунке области запрещены для движения
частиц. В этих областях потенциальная энергия больше полной. Для проникновения
в запрещенные зоны частица должна получить дополнительную полную энергию.
Пример 2. Рассмотрим
более сложный вид потенциальной кривой (рис. 7). Помимо потенциальной ямы тут
присутствует потенциальный барьер (от х3 до х5).
Выберем полную энергию
таковой, чтоб она была меньше максимума потенциального барьера, но большей
минимума потенциальной ямы.
Как и раньше, области,
где потенциальная энергия больше полной, недоступны для движения частицы.
Первая область: от 0 до х1, вторая:х3 до х5. В
области от х1 до х3
В области от х5
до бесконечности потенциальная энергия меньше полной и движение здесь
дозволено. Такое движение называется инфинитным или неограниченным.
Шарик в таком желобе
может выполнять колебания в потенциальной яме, либо покатиться в бесконечность,
если уже находится правее потенциального барьера. Для того чтобы преодолеть
барьер, шарик должен обладать полной энергией, большей потенциального барьера.
В противном случае говорят, что частица не может преодолеть потенциальный
барьер.
Удар абсолютно упругих и неупругих
тел
Ударом (столкновением) принято
называть кратковременное взаимодействие тел, в результате которого их скорости
испытывают значительные изменения. Во время столкновения тел между ними
действуют кратковременные ударные силы, величина которых, как правило,
неизвестна. Поэтому нельзя рассматривать ударное взаимодействие непосредственно
с помощью законов Ньютона. Применение законов сохранения энергии и импульса во
многих случаях позволяет исключить из рассмотрения сам процесс столкновения и
получить связь между скоростями тел до и после столкновения, минуя все
промежуточные значения этих величин. В процессе удара возникают кратковременные
ударные силы взаимодействия между сталкивающимися телами, причем эти силы во
много раз превосходят все внешние силы, действующие на тела. Поэтому в процессе
удара систему соударяющихся тел можно приближенно считать замкнутой и применять
к ней закон сохранения импульса.
В механике часто используются две
модели ударного взаимодействия - абсолютно упругий и абсолютно неупругий удары.
Абсолютно неупругим ударом называют
такое ударное взаимодействие, при котором тела соединяются (слипаются) друг с
другом и движутся дальше как одно тело.
При абсолютно неупругом ударе
механическая энергия не сохраняется. Она частично или полностью переходит во
внутреннюю энергию тел (нагревание).
При абсолютно неупругом ударе,
нижеприведенная формула позволяет найти скорость центра масс соединившихся при
ударе тел. Однако в результате такого удара может также возникнуть вращение системы
вокруг ее центра масс, согласующееся с законом сохранения момента импульса.
При неупругом ударе происходят
различного рода процессы в соударяющихся телах (их пластические деформации,
трение и др.), в результате которых кинетическая энергия системы частично
преобразуется в ее внутреннюю энергию, т. е. происходит диссипация механической
энергии системы.
Изменение кинетической энергии
системы двух сталкивающихся тел при абсолютно неупругом прямом ударе равно:
Абсолютно упругим ударом называется
столкновение, при котором сохраняется механическая энергия системы тел
механическая энергия соударяющихся тел не преобразуется в другие виды энергии.
Во многих случаях столкновения
атомов, молекул и элементарных частиц подчиняются законам абсолютно упругого
удара.
При абсолютно упругом ударе наряду с
законом сохранения импульса выполняется закон сохранения механической энергии.
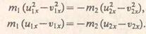
Пусть два абсолютно
упругих шара массами m1 и m2 движутся до удара
поступательно со скоростями
; и
направленными
вдоль оси ОХ, проходящей через центры шаров. Нужно найти скорости и,U1
и U2; шаров после соударения
В процессе удара систему
соударяющихся упругих тел можно считать замкнутой и консервативной.
Следовательно, для решения этой задачи можно воспользоваться законами
сохранения механической энергии и импульса. Перед ударом и после его завершения
соударяющиеся тела не деформированы, так что потенциальную энергию системы в этих
двух состояниях можно считать одинаковой и равной нулю. Тогда из закона
сохранения механической энергии имеем:
По закону сохранения импульса:
Так как все скорости
направлены
по оси ОХ, то:
где
-проекции
векторов
на
линию удара - ось ОХ. Так как
, то мы имеем:
Совместное решение
уравнений дает:
Окончательно получаем:
Условия равновесия тела:
1. Закон сохранения
механической энергии позволяет указать условия равновесия консервативных
систем. Состоянием механического равновесия называется такое состояние системы,
из которого она может быть выведена только в результате внешнего силового
воздействия. В этом состоянии все материальные точки системы находятся в покое,
так что кинетическая энергия системы равна нулю. Состояние механического
равновесия системы называется устойчивым, если малое внешнее воздействие на
систему вызывает малое изменение ее состояния. При этом в системе возникают
силы, стремящиеся возвратить ее в состояние равновесия. Состояние механического
равновесия называется неустойчивым, если система при сколь угодно малом внешнем
воздействии выходит из этого состояния и больше не возвращается в него. При
этом возникают силы, вызывающие дальнейшее отклонение системы от состояния
равновесия. Согласно закону сохранения механической энергии, в состояниях
устойчивого равновесия потенциальная энергия системы имеет минимумы, а в
состояниях неустойчивого равновесия - максимумы.
2. Из второго
закона Ньютона следует, что если геометрическая сумма всех внешних сил,
приложенных к телу, равна нулю, то тело находится в состоянии покоя или
совершает равномерное прямолинейное движение. В этом случае принято говорить,
что силы, приложенные к телу, уравновешивают друг друга. При вычислении
равнодействующей все силы, действующие на тело, можно прикладывать к центру
масс
<#"804774.files/image083.gif"> с
которой тела притягиваются к Земле, нужно отличать от веса тела. Понятие веса
широко используется в повседневной жизни.
Весом тела называют
силу, с которой тело вследствие его притяжения к Земле действует на опору или
подвес. При этом предполагается, что тело неподвижно относительно опоры или
подвеса. Пусть тело лежит на неподвижном относительно Земли горизонтальном столе
(рис. 8). Систему отсчета, связанную с Землей, будем считать инерциальной. На
тело действуют сила тяжести
направленная вертикально
вниз, и сила упругости
с
которой опора действует на тело. Силу
называют силой
нормального давления или силой реакции опоры. Силы, действующие на тело,
уравновешивают друг друга:
В соответствии с третьим
законом Ньютона тело действует на опору с некоторой силой
равной
по модулю силе реакции опоры и направленной в противоположную сторону:
По
определению, сила
и
называется весом тела. Из приведенных выше соотношений видно, что
т.
е. вес тела
равен
силе тяжести
,
но эти силы приложены к разным телам!
Рисунок 8
Вес тела и сила тяжести.
-
сила тяжести,
-
сила реакции опоры,
-
сила давления тела на опору (вес тела).
Если тело неподвижно
висит на пружине, то роль силы реакции опоры (подвеса) играет упругая сила
пружины. По растяжению пружины можно определить вес тела и равную ему силу
притяжения тела Землей.
Рассмотрим теперь случай,
когда тело лежит на опоре (или подвешено на пружине) в кабине лифта, движущейся
с некоторым ускорением
относительно
Земли. Система отсчета, связанная с лифтом, не является инерциальной. На тело
по-прежнему действуют сила тяжести
и сила реакции опоры
но
теперь эти силы не уравновешивают друг друга. По второму закону Ньютона
Сила
действующая
на опору со стороны тела, которую и называют весом тела, по третьему закону
Ньютона равна
Следовательно,
вес тела в ускоренно движущемся лифте есть
Пусть вектор ускорения
направлен
по вертикали (вниз или вверх). Если координатную ось OY направить вертикально
вниз, то векторное уравнение для
можно переписать в
скалярной форме:
= m(g - a).
В этой формуле величины
P, g и a следует рассматривать как проекции векторов
,
и
на
ось OY. Так как эта ось направлена вертикально вниз, g = const > 0, а
величины P и a могут быть как положительными, так и отрицательными. Пусть, для
определенности, вектор ускорения
направлен вертикально
вниз, тогда a > 0 (рис. 9).
Рисунок 9
Вес тела в ускоренно
движущемся лифте. Вектор ускорения
направлен вертикально
вниз. 1) a < g, P < mg; 2) a = g, P = 0 (невесомость); 3) a > g, P
< 0.
Из формулы (*) видно,
что если a < g, то вес тела P в ускоренно движущемся лифте меньше силы
тяжести. Если a > g, то вес тела изменяет знак. Это означает, что тело
прижимается не к полу, а к потолку кабины лифта («отрицательный» вес). Наконец,
если a = g, то P = 0. Тело свободно падает на Землю вместе с кабиной. Такое
состояние называется невесомостью. Оно возникает, например, в кабине
космического корабля при его движении по орбите при выключенных реактивных
двигателях.
Если вектор ускорения
направлен
вертикально вверх, то a < 0 и, следовательно, вес тела всегда будет
превышать по модулю силу тяжести. Увеличение веса тела, вызванное ускоренным
движением опоры или подвеса, называют перегрузкой. Действие перегрузки
испытывают космонавты, как при взлете космической ракеты, так и на участке
торможения при входе корабля в плотные слои атмосферы.
Проявление сил инерции и
силы Кориолиса на Земле
Среди сил инерции выделяют
следующие:
· простую
силу инерции
· центробежную силу
<#"804774.files/image103.gif"> относительно
инерциальной системы К, то правило сложения скоростей будет выглядеть:
Тогда для ускорения одержим:
Где:
- ускорение
материальной точки в системе К,
- ускорение
материальной точки в системе К
- ускорение системы
,
относительно системы К
Умножим все члены
формулы на массу материальной точки m:
Или
И сразу видим, что сила,
которая действует на материальную точку в системе
,
не равна силе, действующей на эту же материальную точку в системе К, как это
было, когда обе системы были инерциальными.
Они отличаются на
величину -, которая называется силой инерции:
Таким образом, в
неинерциальной системе отсчета появилась дополнительная сила - сила инерции, и
именно в этом значении следует понимать заявление о том, что в неинерциальных
системах отсчета законы механики не действуют.
Особенности сил инерции
1. В отличие от других сил, силы
инерции не являются силами взаимодействия. Нельзя указать тело, которое
является источником сил инерции. Поэтому силы инерции иногда называют
«фиктивными силами», или «псевдосилами».
2. Но силы инерции вполне
реальны, их можно измерить. По появлению сил инерции можно судить об ускорении
системы отсчета.
. Силы инерции
пропорциональны массе, как и силы тяготения. Если наперед неизвестно, движется
ли система отсчета с ускорением, или тело находится в гравитационном поле, то
отличить силы инерции и гравитации невозможно. Это утверждение составляет
содержание знаменитого принципа Эквивалентности:
Движение тела по отношению к
неинерциальной системе отсчета эквивалентно его движению относительно
инерциальной системы, под воздействием всех тел, которые реально
взаимодействуют с ним, а также дополнительного поля тяготения.
Силы инерции во вращающейся системе
отсчета
Выбреем как
неинерциальную систему отсчета диск радиуса R, которая вращается вокруг
собственной оси с постоянной угловой скоростью
(рис 10). Система
неинерциальная, несмотря на равномерность вращения, поскольку каждая точка
диска имеет нормальное ускорение, которое не равно нулю.
Пускай материальная
точка массой m по отношению к диску движется с постоянной скоростью
.
Наблюдатель в этой системе зафиксирует нормальное ускорение материальной точки:
Наблюдатель, который
находится в неподвижной инерциальной системе отсчета, тоже констатирует, что
материальная точка движется равномерно по кругу, но с другой линейной
скоростью:
И с другим нормальным
ускорением:
Выразим из этой формулы
нормальное ускорение в неинерциальной системе отсчета:
Умножив уравнение на
массу, получим силы:
Из полученного уравнения
видно, что сила в неинерциальной системе отсчета равна силе в инерциальной
системе отсчета плюс еще две силы инерции
- центробежная сила
инерции и сила инерции Кориолиса.
Центробежная сила
инерции
В общем случае при
произвольном относительном размещении векторов угловой скорости и
радиус-вектора материальной точки формула для центробежной силы инерции будет
иметь такой вид:
Несмотря на сложные
векторные произведения, центробежная сила всегда перпендикулярна оси вращения и
направлена по радиусу от центра круга.
Особенности центробежной
силы:
1. действует как на
неподвижное тело, так и на движущееся;
2. пропорциональна массе тела;
. зависит от угловой
скорости неинерциальной системы;
. возрастает с отдалением от
оси вращения
Земля вращается относительно своей
оси, поэтому она неинерциальная система.
Центробежная сила также проявляется
в изменении силы веса Р в зависимости от широты местности (Рис.11). Вес тела -
векторная сумма силы тяготения, направленной к центру Земли и центробежной силы
инерции, направленной перпендикулярно оси вращения:
По теореме синусов:
И
Угол
небольшой,
поскольку центробежная сила мала по сравнению с весом.
На полюсе центробежная
сила равна нулю, а на экваторе она максимальна:
Таким образом, из-за
центробежной силы вес тела на полюсе больше веса на экваторе на 0,35%.
Разница невелика для
обычного обитателя Земли. Но она имеет большое значение во время запуска
космических ракет на орбиту Земли. Поэтому космодромы располагают как можно ближе
к Экватору, где вес ракеты меньше.
Если же не учитывать
влияние сплюснутости Земли (≈0,2%), то ускорение силы тяготения на
полюсе:
А на экваторе:
Для обычных расчетов
обычно принимается определенное стандартное ускорение:
Действие центробежной
силы инерции широко используют в технике: в центробежных насосах, сепараторах,
центробежном регуляторе и т. д. При проектировании быстро вращающихся деталей
машин - роторов турбин, компрессоров, электрических двигателей, двигателей
внутреннего сгорания, винтов самолетов и вертолетов принимаются специальные
меры для уравновешивания центробежных сил инерции. Например, в случае деталей,
симметричных относительно оси вращения, производят их тщательную статическую и
динамическую балансировку, так как малейшее смещение центра масс в сторону от
оси вызывает при быстром вращении детали столь большие дополнительные нагрузки
на ее подшипники, что они быстро разрушаются. В случае несимметричных деталей,
например коленчатых валов, применяют специальные противовесы. При расчете на
прочность быстро вращающихся деталей машин учет центробежных сил инерции совершенно
необходим, так как эти силы но многих случаях играют определяющую роль.
Кориолисова сила инерции
Эта сила действует на
материальную точку только тогда, когда неинерциальная система отсчета
вращается, а материальная точка движется относительно нее. Кориолисова сила
инерции не совершает работы в относительном движении материальной точки, так
как эта сила направлена перпендикулярно скорости относительного движения точки.
Следовательно, Кориолисова сила инерции служит примером гироскопических сил
Силы инерции реально
действуют на материальную точку в неинерциальной системе отсчета и могут быть в
ней измерены, например с помощью пружинного динамометра.
Сила Кориолиса одна из
сил инерции
<#"804774.files/image132.gif">
где m - точечная масса
<#"804774.files/image133.gif">-
вектор <#"804774.files/image134.gif">-
вектор скорости движения точечной массы.
Причина появления силы Кориолиса
- в Кориолисовом ускорении
<#"804774.files/image135.gif">
Где m0 -
масса покоя;
-
скорость частицы в системе К.
Масса частицы m называют
релятивистской массой. В отличии от этой массы, масса покоя m0 -
величина инвариантная, т.е. одинаковая во всех инерциальных системах отсчета.
Именно поэтому массу m0 принимают как характеристику частицы.
Учитывая предыдущее
уравнение, импульс частицы в релятивистской динамике имеет вид: (2)
При
<<с
уравнение превращается в ньютоновское определение импульса
,
где m0 не зависит от скорости (в классической механике m= m0)
Основное уравнение
релятивистской динамики.
Согласно принципа
относительности Эйнштейна все законы природы должны быть инвариантными
относительно инерциальных систем отсчета. Другими словами, математическая
запись законов должна иметь один и тот же вид во всех этих системах.
Оказывается, что в общем случае основное уравнение динамики Ньютона
не
соответствует этому принципу. Вместе с этим в теории относительности доказано,
что этому соответствует уравнение: (3)
Где
-
сила, которая действует на частицу. Приведенное уравнение полностью совпадает
видом с основным уравнением ньютоновской динамики, но его физическое содержание
отлично.
В этом уравнении слева
стоит производная не от классического, а от релятивистского импульса. Совместим
последние два уравнения и получим: (4)

Из основного уравнения
релятивистской динамики следует: вектор ускорения
частицы
в общем случае не совпадает с направлением вектора силы
.
Действительно: (5)
Где m - релятивистская
масса.
После дифференцирования
этого выражения по времени получаем: (6)
Это выражение графически
изображается на рис.12, где мы видим, что вектор ускорения
не
коллинеарен вектору
.
Заметим, что вектор
ускорения
сбегается
с вектором силы
только
в двух случаях: вектор силы
перпендикулярный
вектору скорости
(поперечная
сила); вектор силы
параллельный
вектору скорости
(продольная
сила). Поскольку в первом случае сила, которая
Для случая продольной
силы (
параллельно
)
уравнение (7) имеем право просто переписать в скалярном виде. Взяв производные
в левой части этого уравнения, получим: (8)
откуда: (9)
или в векторном виде
С этих выражений
следует, что при одинаковых в обоих случаях значениях силы и скорости
поперечная сила придает частице большее ускорение, чем продольная.
Кинетическая энергия
релятивистской частицы
Определим кинетическую
энергию так же как и в классической механике, а именно как величину, прирост
которой равен работе силы, которая действует на частицу: (10)
В соответствии с
уравнением (3)
где m- релятивистская
масса
Итак, принимая во
внимание, что
, а
,
где
- проекция вектора
на
направление вектора
,
имеем (11)
Возведем формулу(1) в
квадрат и приведем ее к виду: (12)
Теперь найдем
дифференциал этого выражения, имея в виду, что m0 и с - постоянные
величины(13)
Разделив предыдущее
выражение на 2m, получим (14)
Правая часть выражения
совпадает с правой частью выражения для кинетической энергии (11), то есть:
(15)
Таким образом, прирост
кинетической энергии частицы пропорционален приросту ее релятивистской массы.
Кинетическая энергия неподвижной частицы равна нулю, а ее масса равна m0.
Итак, проинтегрировав полученное выражение, получим (16)
или (16)
Это и есть выражение для
релятивистской кинетической энергии. Если
<<с мы должны
получить выражение для классической кинетической энергии
.
Воспользуемся формулой бинома Ньютона, согласно которой
При условии
<<с
можно ограничиться только двумя членами ряда, и тогда выражение (16)
превратится в (17)
Таким образом, при
<<с
выражение для релятивистской кинетической энергии преобразуется в классическое
выражение для кинетической энергии. Отметим, что аналогично классической
механике релятивистскую кинетическую энергию нельзя представить в виде
,
где m - релятивистская масса частицы.
Частица с нулевой массой
покоя
Фотоны- наименьшие
частицы света. Их также называют квантами света. Корпускулярные (квантовые)
свойства света проявляются, например, в явлениях фотоэффекта или при
исследовании давления света. Фотон, так же как и любая другая материальная
частица, имеет массу, импульс и энергию.
И все-таки фотон
отличается от других частиц тем, что всегда движется с постоянной скоростью,
которую нельзя изменить. Скорость фотона равна скорости света и одинакова во
всех инерциальных системах отсчета.
Но тогда образуются
определенные осложнения с массой. При
релятивистская масса
стремится к бесконечности в соответствии с формулой:
Но этого не может быть.
Можно предположить, что масса покоя равна нулю.
Эксперимент
подтверждает, что масса покоя фотона во много раз меньше массы электрона.
Вывод: частица с нулевой массой покоя всегда движется со скоростью света.
Но масса движения, т.е.
инертная масса, фотону присуща.
Для начала определим
другие характеристики фотона: энергию и импульс.
Энергия фотона, как известно,
зависит от частоты электромагнитной волны
:
где h=6,63.10-34Дж.с
- постоянная Планка.
Импульс фотона найдем,
воспользовавшись связью энергии и импульса.
Поскольку m0=0,
тогда импульс фотона равен:
А теперь можно найти и
массу фотона, поскольку его импульс равен: p=mc. Масса фотона:
Список литературы
1. Бовтук А.Г, Герасименко Ю.Т, Лахин Б.Ф та ін. Фізика. Модуль
1. Механіка: Навч. Посібник (за заг. ред. проф. А. Поліщука. - К.: Книжкове
вид-во НАУ, 2008. - 176 с.
2. Детлаф А.А, Яворский Б.М Курс физики. - К.: Высшая школа,
1999.-688 с.
. Малов Б.А Физические основы механики: Учебное пособие. -
К.: КНИГА, 1993. - 68 с.
. Соловйов А.М. Лекції професора Соловйова з фізики.
Фізичні основі механіки. - К.: КМУЦА, 1999.- 92 с.