Динамические системы
Содержание
Введение
Глава
1. Теоретическая часть
.1
Общие сведения о динамических системах
.2
Динамическая система Чуа
Глава
2. Практическая часть
.1
Математическая модель динамической системы Чуа
.2
Реализация диода Чуа с использованием двух управляемых напряжением ПОС на ОУ
Заключение
Список
литературы
Приложение
Введение
Система Чуа - это простая электронная схема,
демонстрирующая целый ряд бифуркационных явлений и аттракторов. Система состоит
из двух конденсаторов, катушки индуктивности, линейного резистора и нелинейного
резистора (обычно называемого диодом Чуа). В курсовой работе экспериментально
исследуется хаотическое поведение системы Чуа, ставшей одной из канонических
схем, используемых для исследования нелинейных явлений. По утверждению автора
схемы, профессора Леона Чуа, широко известная теперь схема Чуа была придумана в
1983 г. После неудачного эксперимента с электронной моделью системы Лоренца.
Автору схемы пришла в голову мысль, что поскольку основной механизм, приводящий
к появлению хаоса в системах Лоренца и Ресслера - это наличие более чем одного
неустойчивого положения равновесия (три для Лоренца и два для Ресслера), то
можно придумать более простую систему, обладающую этими свойствами.
В результате получилась схема, изображенная на
рис.1 - это простая колебательная система, демонстрирующая ряд бифуркаций и
переход к хаосу.
Она содержит три линейных реактивных элемента
(катушка индуктивности и два конденсатора), один линейный резистор R и один
нелинейный резистор NR. Уравнение системы имеет вид:
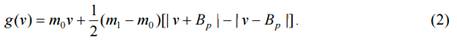
где G=1/R, а g(v) - это кусочно-линейная
функция, определенная как
Это соотношение представлено графически на
рис.2; наклоны внутреннего и внешнего участков есть m0 и m1, соответственно;
±Bp обозначают точки излома. Сопротивление резистора NR, называемого диодом
Чуа, нелинейным образом зависит от напряжения на его выводах.
Глава 1. Теоретическая часть
.1 Общие сведения о динамических
системах
Первоначально термин динамическая система стал
использоваться в механике. Под динамической системой понималась механическая
система с конечным числом степеней свободы, описываемая системой обыкновенных
дифференциальных уравнений.
Со временем круг управляемых объектов расширился
и стал включать не только процессы с механическим движением, но также
электрические, электромагнитные, тепловые, химические - словом, любые
физические системы произвольной природы, состояния которых изменяются во
времени. Но термин сохранился, поскольку сохранилась форма уравнений. При этом
расширились понятия сопутствующих терминов - координатами стали называть не
только геометрические координаты, но и значения всех физических показателей
состояния, движением - не только геометрическое перемещение, но любой процесс
изменения этих показателей.
В настоящее время, говоря о динамической системе,
подразумевают:
систему обыкновенных дифференциальных уравнений
= f(x), x
M
Rn(3)
относительно неизвестной вектор функции времени
x=x(t), предполагая, что каждое решение данной системы определено при всех t≥0
- динамическая система с непрерывным временем (поток);
систему разностных уравнений
+1= f(xk), xk
M
⊂
Rn,(4)
где (k=0,1,2,...) - динамическая система с
дискретным временем (каскад).
При этом пространство Rn называют пространством
состояний или фазовым пространством системы. Фазовое пространство системы - это
совокупность всех допустимых состояний динамической системы. Аргументами
входных и выходных сигналов системы могут служить время, пространственные
координаты, а также некоторые переменные, используемые в преобразованиях Фурье,
Лапласа и других. Таким образом, динамическая система характеризуется своим
начальным состоянием и законом, по которому система переходит из начального
состояния в другое.
Для задания динамической системы необходимо
описать её фазовое пространство Rn, множество моментов времени T и некоторое
правило, описывающее движение точек фазового пространства со временем.
Множество моментов времени T может быть как интервалом вещественной прямой
(тогда говорят, что время непрерывно), так и множеством целых или натуральных
чисел (дискретное время). Во втором случае «движение» точки фазового
пространства больше напоминает мгновенные «скачки» из одной точки в другую:
траектория такой системы является не гладкой кривой, а просто множеством точек,
и называется обычно орбитой. Тем не менее, несмотря на внешнее различие, между
системами с непрерывным и дискретным временем имеется тесная связь: многие
свойства являются общими для этих классов систем или легко переносятся с одного
на другой.
Основное содержание теории динамических систем -
это исследование кривых, определяемых дифференциальными уравнениями. Сюда
входит разбиение фазового пространства на траектории и исследование предельного
поведения этих траекторий: поиск и классификация положений равновесия,
выделение притягивающих (аттракторы) и отталкивающих (репеллеры) множеств
(многообразий).
Важнейшие понятия теории динамических систем -
это устойчивость (способность системы сколь угодно долго оставаться около
положения равновесия или на заданном многообразии) и грубость (сохранение
свойств при малых изменениях структуры динамической системы).
Основные свойства динамических систем:
Целостность и членимость - указывает на то, что
система должна быть делима на составные части (элементы, подсистемы), которые
образуют, взаимодействуя друг с другом, единое целостное множество. При этом
данное множество элементов должно быть совместимо, в смысле устойчивого
функционирования всех элементов, образующих систему, на заданном интервале
времени.
Второе свойство - наличие достаточно сильных и
длительно действующих (устойчивых, стабильных) взаимных связей (отношений)
между элементами или их свойствами. Причём сила этих внутренних связей должна
быть заведомо больше, чем сила внешних связей этих же элементов с другими
элементами, не входящими в данную систему и относящимся к её окружающей среде,
что позволяет отличать систему от простой суммы (набора) элементов.
Упорядоченность (организация) системы указывает
на объективное существование в ней упорядоченного (по определённым правилам и
законам) распределения элементов и связей между ними в пространстве и времени.
Наличие интегративных качеств подразумевает, что
в системе достигается такое качество (свойство), которое присуще системе в
целом и не имеется ни у одного из её элементов в отдельности: свойство системы
не определяется простой суммой свойств её отдельных элементов и связей между
ними.
Любая система имеет цель функционирования. Под
целью здесь понимается либо желаемое конечное состояние, либо желаемый конечный
результат функционирования (движения, управления) системы, достижимый в
пределах некоторого интервала времени.
Последнее свойство - достижение цели наилучшим
образом с точки зрения экономии ресурсов, быстродействия или качества.
Динамические системы, также как и другие
объекты, модели и т.д., можно классифицировать по различным признакам. В данном
случае классификация динамических систем будет осуществляться в зависимости от
идеализации, принятой при их математическом описании. Динамические системы по
этому признаку подразделяются на следующие классы.
Линейные и нелинейные системы. Предположим, что
при воздействии на вход системы каждого из сигналов
отдельно,
выходные сигналы системы соответственно равны
Пусть
=F{
},
F{...}-
некоторый оператор преобразования.
Линейной системой называется система, для
которой выполняется принцип суперпозиции:
при воздействии на вход суммы сигналов, выходной
сигнал является суммой реакций системы на каждый из входных сигналов отдельно;
изменение амплитуды входного сигнала в несколько
раз приводит к такому же изменению амплитуды выходного сигнала.
Аналитически эти условия можно выразить
следующим образом:
=
=
(5)
где
-
произвольные константы, F - некоторый оператор преобразования.
Динамическая система называется нелинейной
динамической системой (или просто нелинейной системой), если векторное
дифференциальное уравнение для состояний системы x(t) есть нелинейное
дифференциальное уравнение или если выходная реакция y(t) есть нелинейная
функция от переменных величин x(t) и u(t), то есть принцип суперпозиции не
выполняется.
Реальные системы практически всегда нелинейны.
Это связано с обилием факторов, которые влияют на них; и среди них всегда
найдутся те, при влиянии которых не будет выполняться принцип суперпозиции. В
определенных условиях (учет небольшого числа выбранных факторов, рассмотрение
процессов в некоторой малой окрестности выбранных точек и ряд других) реальные
системы могут рассматриваться как линейные системы. В этих случаях линейная
модель будет описывать все наиболее существенные качественные и количественные
характеристики рассматриваемой системы, и модель будет существенно более
простой и удобной для исследований.
Стационарные и нестационарные системы
Стационарной системой называется система,
параметры которой неизменны во времени.
Для стационарных систем характерно то, что сдвиг
во времени входного сигнала приводит к такому же сдвигу во времени выходного
сигнала.
{u (t - t0)} = y(t - t0) (6)
Форма выходного сигнала при этом не изменяется.
Иначе говоря, система инвариантна к сдвигу во времени входного сигнала.
Нестационарной системой называется система,
параметры которой зависят от времени. В нестационарных системах вышеприведенное
условие (6) не выполняется.
Примером стационарной системы является,
космический аппарат, находящийся на круговой орбите вокруг Земли, или
космическая ракета на этапе взлета, когда интенсивно расходуется топливо.
Аналоговые дискретные системы
Аналоговой (непрерывной) системой называется
система, в которой циркулируют непрерывные во времени информационные сигналы.
Дискретной системой называется система, в
которой на всех или на некоторых участках системы используются дискретные во
времени информационные сигналы.
Аналоговый сигнал является непрерывной функцией
времени. Цифровой сигнал может принимать лишь определенное число дискретных
значений в дискретные моменты времени.
Примером аналоговой системы является автомобиль,
движущийся по дороге, если учитывать только координаты его местоположения.
Примером дискретной системы является любой компьютер.
Скалярные и векторные системы
Скалярной динамической системой называется
линейная стационарная модель конечномерной динамической системы с одним входом
и одним выходом.
Векторной (матричной) динамической системой
называется система, в которой входной и (или) выходной сигналы - векторные
величины, т.е. в векторной системе возможно несколько входов и (или) несколько
выходов.
Примерами скалярных систем являются утюг (одно
входное воздействие - электрическое напряжение, одна выходная величина -
температура рабочей поверхности утюга), электронный усилитель (одно входное
усиливаемое напряжение, одно выходное усиленное напряжение).
Примерами матричных систем являются, например, автопилот
самолета (несколько входных и выходных сигналов), робот (несколько входных
сигналов, три пространственные координаты руки робота).
Динамическая система Чуа - простейшая
электрическая цепь, демонстрирующая режимы хаотических колебаний. Была
предложена профессором Калифорнийского университета L.Chua, T.Matsumoto и др. в
1984г. Эта система была исследована и использована в качестве модели в
множестве работ различных авторов. Система Чуа описывает динамику типичных
радиотехнических устройств с динамическим хаосом, которые нашли уже настолько
широкое применение, что начат их выпуск в виде специализированных микросхем.
Рис. 3.
Бифуркационная диаграмма режимов при m0=-8/7,m1=-5/7.
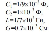
Рис. 4 - Система Чуа. L,G,C1,C2-пассивные
элементы, g-диод Чуа. В классическом варианте предлагаются следующие значения
элементов: L=1/7Гн;G=0.7См;C1=1/9Ф;C2=1Ф
Динамическая система состоит из двух
конденсаторов, катушки индуктивности, линейного резистора и нелинейного
резистора (обычно называемого диодом Чуа).
Глава 2. Практическая часть
.1 Математическая модель
динамической системы Чуа
Мацумото с соавторами с помощью компьютерного
моделирования соотношений (1) показал, что аттрактор типа “double scroll”
появляется в цепи Чуа при следующих значениях параметров:
(7)
В этих и более ранних примерах моделирования
единицы измерения не приводились (не были необходимы) для переменных состояния
,
поскольку Мацумото просто моделировал набор дифференциальных уравнений. Если мы
перепишем уравнение в единицах СИ, то напряжения будут измеряться в вольтах
(В), токи в амперах (А), емкость в фарадах (Ф), индуктивность в генри (Г),
сопротивление в омах (Ом); величина, обратная сопротивлению и называемая
проводимостью, измеряется в сименсах (См). Поскольку в электронных цепях легче
реализовать токи порядка миллиампер, чем ампер, то первым шагом является
уменьшение всех токов в 1000 раз, что ведет к уменьшению всех емкостей в 1000
раз и увеличению сопротивлений и индуктивностей во столько же раз. Таким
образом, при
, измеряемых в
вольтах и
, измеряемом в миллиамперах,
набор параметров Мацумото принимает вид:
(8)
Наклоны кусочно-линейной характеристики
резистора составляют теперь -0.8 мСм (мА/В) и -0.5 мСм; точки излома остаются
неизменными при
.
Проще использовать емкости в нанофарадах и
индуктивности в миллигенри, чем фарады и генри. Эффект перемасштабирования
времени в k раз проявляется в умножении каждой индуктивности и емкости на тот
же множитель k; на величины резисторов изменение масштаба времени не влияет. В
частности, замедление времени в
раз уменьшает
во
столько же раз. Измененные параметры принимают следующий вид:
(9)
При перемасштабировании времени точки излома и
наклона кусочно-линейного резистора
не
изменяются. Выберем номиналы реальных элементов равными 18 мГн, 10 нФ, 100 нФ и
1800 Ом, близких к расчетным. Проведя масштабирование тока и времени, мы
конструируем диод Чуа: нелинейный резистор с вольт-амперной характеристикой.
Его важным свойством является то, что он обладает двумя отрицательными
наклонами
.
2.2 Реализация диода Чуа с
использованием двух управляемых напряжением ПОС на ОУ
Операционные усилители (ОУ)
В реальных устройствах имеется некоторый рабочий
диапазон, в котором можно говорить о соответствии поведения модели и реального
прибора. Операционный усилитель - это электронный прибор, который в некотором
диапазоне входных напряжений дает аппроксимацию источника напряжения,
управляемого напряжением.
Рассмотрим цепь, показанную на Рис. 5а. Она
состоит из операционного усилителя и связанных с ним источников питания
.
Напряжение, приложенное между неинвертирующим и инвертирующим входами
(обозначенными “+” и “-”), вырабатывает разность потенциалов между выходом и
опорным выводом (обычно общая точка источников питания). Этот реальный схемный
модуль с ОУ имеет небольшой входной ток
;
будем считать
. Когда
дифференциальное входное напряжение
реального
ОУ достаточно велико по модулю и отрицательно, на выходе мы имеем практически
постоянное напряжение
; эта область
называется областью отрицательного насыщения. Когда на входе небольшое
напряжение, то выходное напряжение изменяется почти линейно в зависимости от
входного; эта область называется линейной. Коэффициент усиления в линейной
области обычно превышает
. Кроме того,
характеристика отстоит от начала координат на входное напряжение смещения
(оно
может быть отрицательным или положительным, присущим одному конкретному
устройству), которое обычно составляет несколько милливольт. Когда входное
напряжение велико и положительно, напряжение на выходе принимает максимальное
значение
;
эта область называется областью положительного насыщения. Таким образом,
функция преобразования постоянного напряжения для реального ОУ хорошо
аппроксимируется трехсегментной кусочно-линейной характеристикой, как показано
на Рис. 5б.
чуа диод преобразователь усилитель
Поскольку реальный ОУ содержит компенсирующие и
паразитные емкости, полная модель устройства будет включать реактивные
элементы. Однако, мы предположим, что ОУ ведет себя как резистор в диапазоне
частот, в котором будет работать схема Чуа. Это всегда можно обеспечить
соответствующим масштабированием времени, как это было показано ранее. Таким
образом, мы пренебрегаем всеми частотно-зависимыми эффектами в ОУ и работаем с
ним как с чисто активным устройством.
Можно предположить также, что выходной импеданс
ОУ достаточно мал, так что им можно пренебречь.
Таким образом, в наших целях выход ОУ выглядит
как идеальный источник напряжения, а вход - как разрыв цепи. Поэтому мы можем
моделировать ОУ как УНИН:
, где
имеет
вид, представленный на Рис. 5б.
Преимуществом данной кусочно-линейной модели
является то, что мы теперь можем определить поведение цепи, содержащей ОУ и
другие компоненты, анализируя каждый линейный участок работы (отрицательное
насыщение, линейная область и положительное насыщение) отдельно.
Преобразователь отрицательного сопротивления
(ПОС)
Существует множество путей для синтеза
отрицательного сопротивления, один из которых состоит в подсоединении трех
положительных линейных резисторов к управляемому напряжением источнику
напряжения для формирования преобразователя отрицательного сопротивления. Это
устройство привлекательно с экспериментальной точки зрения, поскольку легко
осуществимо при помощи операционного усилителя (ОУ).
Иногда возникает необходимость использования
отрицательного сопротивления или источника напряжения с отрицательным
сопротивлением. По определению сопротивление R=+U/I, где направление тока и напряжения
совпадают. Если же в двухполюснике направления протекающего тока и приложенного
напряжения не совпадают, отношение U/I будет отрицательным. Говорят, что такой
двухполюсник обладает отрицательным сопротивлением. Отрицательные сопротивления
могут быть получены только с применением активных схем, которые называют
преобразователями отрицательного сопротивления (ПОС). Выходное напряжение
идеального ОУ определяется как
.(10)
Входной ток усилителя равен
.(11)
На входах идеального операционного усилителя
напряжения равны, т.е.
, поэтому
.
Отсюда следует, что
.(12)
При выводе этих соотношений предполагалось, что
схема находится в устойчивом состоянии. Однако, поскольку операционный
усилитель охвачен одновременно положительной и отрицательной обратными связями,
следует принять меры, чтобы выполнялись условия устойчивости. Физический смысл
условий устойчивости для схемы ПОС с идеальным ОУ при резистивных обратных
связях заключается в том, что глубина положительной обратной связи должна быть
меньше, чем отрицательной. Для схемы это означает, что сопротивление источника
входного сигнала
должно быть меньше
.
Рис. 6 - Схема преобразователя отрицательного
сопротивления
Реализация диода Чуа с использованием двух
управляемых напряжением ПОС на ОУ
На Рис. 7 изображена реализация цепи Чуа на ОУ.
Нужная для диода Чуа ВАХ задается двумя управляемыми напряжением
преобразователями отрицательного сопротивления
,
соединенными параллельно.
Нелинейный резистор
имеет
трехсегментную кусочно-линейную характеристику с наклонами
,
и точками излома
. Точно так же у
имеются
наклоны
,
и точки излома
. Составная
пятисегментная характеристика имеет наклоны
и
точки излома
и
.
При обсуждении преобразователя отрицательного
сопротивления на ОУ мы увидели, что если положить
,
то будут наклоны
, с точками излома
.
Таким образом, при
,
.(13)
Пологая
,
получаем следующее:
.(14)
Из графического рассмотрения составной
характеристики мы имеем:
,(15)
С помощью данных наблюдений мы можем вывести
стратегию для определения подходящих значений компонентов
из
Заключение
Система считается относительно устойчивой в
определенных пределах, если при достаточно малых изменениях условий
функционирования его поведение существенно не меняется. В курсовой работе
исследована структурная устойчивость и устойчивость траектории поведения
системы Чуа. Устойчивость данной системы обеспечивается такими аспектами
самоорганизации, как дифференциация и лабильность (чувствительность).
Дифференциация - это стремление системы к структурной и функциональной
разнообразия элементов, которая обеспечивает не только условия возникновения и
разрешения противоречий, но и определяет способность системы быстро
приспосабливаться к имеющимся условиям существования. Больше разнообразия -
больше устойчивости, и наоборот. Лабильность означает подвижность функций
элементов при сохранении устойчивости структуры системы в целом.
Таким образом в ходе выполнения курсовой работы
доказана что устойчивость системы связана с ее стремлением к состоянию
равновесия, которое предполагает такое функционирование элементов системы, при
котором обеспечивается повышенная эффективность движения к целям развития. В
реальных условиях система не может полностью достичь состояния равновесия, хотя
и стремится к нему. Элементы системы функционируют по-разному в разных
условиях, и их динамическое взаимодействие постоянно влияет на движение
системы.
Список литературы
1. Афанасьев
В.В., Логинов С.С., Польский Ю.Е. Восстановление параметров нелинейной
динамической системы Чуа. Электронное приборостроение. Научно-практический
сборник., Вып. 3 (41). Казань: КГТУ (КАИ). 2005 . С. 108-113.
2. Капранов
М.В. Элементы теории систем фазовой синхронизации: учебное пособие по курсу
«Теория колебаний». М.: Издательство МЭИ, 2006.-2008 с.
. Афанасьев
В.В., Логинов С.С., Польский Ю.Е. Нелинейные системы с динамическим хаосом и
порождаемые ими сигналы. Учебное пособие. Казань: Издательство Казань, ГТУ,
2005,123 с.
. Мацумото
Т. Хаос в электронных схемах.// ТИИЭР. - 2006. - Т.75, №8. - С.66-87.
Приложение
Исследование динамики системы Чуа обычно
проводится на модели с нелинейной характеристикой, включающей три линейных
сегмента с разным наклоном. Однако, при этом не учитываются свойства реальной
системы, для которой характерно наличие еще двух сегментов, что связано с
ограниченным динамическим диапазоном реальных операционных усилителей.
При математическом анализе обычно используют
систему уравнений в безразмерном виде:
Здесь переменные x,y,z пропорциональны
соответственно напряжениям vC1, vC2 и току iL, соответственно. f(x) - это
нормированная кусочно-линейная зависимость.
Управляющими параметрами являются
и
(16)
На рис.П1 приведено разбиение плоскости
управляющих параметров системы Чуа на характерные режимы. Цифрами на рисунке
обозначены области пространства параметров, в которых поведение системы
качественно различается. Когда параметр α мал,
в системе существуют два устойчивых положения равновесия P+, P- и одно
неустойчивое типа «седло», находящееся в начале координат 0. В этом случае
схема Чуа в зависимости от начальных условий может находиться в одном из двух
устойчивых положений равновесия (см. рис.П2).
Фазовый портрет на рис.П3 соответствует случаю,
когда параметры системы находятся в области 2 на рис.П1. В окрестности верхней
точки равновесия существует устойчивый предельный цикл периода 1, и
симметричный ему предельный цикл находится в окрестности нижней точки
равновесия. Кроме того, в системе существует также большой по размерам
устойчивый предельный цикл, охватывающий все пять сегментов характеристики
диода Чуа (жирная линия), и неустойчивый седловой предельный цикл (двойная
тонкая линия). Эти два цикла (устойчивый и неустойчивый) присутствуют на каждом
из приведенных фазовых портретов. В зависимости от начальных условий система
Чуа будет находиться на одном из трех устойчивых циклов.
Фазовый портрет, представленный на рис.П4,
соответствует случаю, когда значения параметров схемы находятся в области 3 на
рис.П1. Линия, разделяющая области 2 и 3, называется линией бифуркации удвоения
периода и является границей, на которой происходит качественное изменение
структуры аттрактора системы Чуа. При переходе из области 2 в область 3 в
спектре мощности появляются субгармоники, соответствующие половинной частоте
предельного цикла, изображенного на рис.П3,а аттрактор изменяется и становится
« двухвитковым».

Два симметричных странных аттрактора, имеющихся
в системе при значениях параметров, соответствующих области 5, топологически
подобны аттрактору Ресслера, впервые исследованному на совершенно другой
системе нелинейных дифференциальных уравнений (см. рис.П6). Подобную
последовательность переходов в эксперименте можно наблюдать как при изменении
параметра R, так и при изменении параметра C.
При дальнейшем изменении параметров в системе
можно наблюдать окна периодичности, подобные представленному на рис.П7. На
плоскости параметров (рис.П1) этому режиму колебаний соответствует узкая
область параметров внутри области 5.
По мере дальнейшего увеличения параметра α
в
системе развивается аттрактор Ресслера (рис.П8), который, однако, все время
остается в пределах своего цикла и не заходит в область притяжения
симметричного аттрактора (область 5 на рис.П1). Таким образом, в системе
сосуществуют два странных аттрактора, и эволюцию сигнала на каждом из них можно
проследить, изменяя начальные условия в системе.

При дальнейшем увеличении управляющего параметра
два аттрактора Ресслера сталкиваются и образуют один общий странный аттрактор
(рис.П9), называемый double scroll. При этом типе поведения система посещает
окрестность и верхнего, и нижнего положения равновесия. Строгий математический
анализ сечения Пуанкаре показывает, что оно состоит из двух слоев точек,
напоминающих спираль. С этим и связано название этого странного аттрактора.
Внутри области существования аттрактора double scroll также существуют окна
периодичности, подобные тем, которые существовали в области аттрактора
Ресслера. Отличием их является то, что периодическая орбита в этом случае
охватывает оба положения равновесия (P+ и P-).
