Функциональные устройства телекоммуникаций

  • Вид работы:
    Контрольная работа
  • Предмет:
    Информатика, ВТ, телекоммуникации
  • Язык:
    Русский
    ,
    Формат файла:
    MS Word
    187,63 Кб
  • Опубликовано:
    2015-06-17
Вы можете узнать стоимость помощи в написании студенческой работы.
Помощь в написании работы, которую точно примут!

Функциональные устройства телекоммуникаций

Министерство образования Республики Беларусь

Учреждение образования

"Белорусский государственный университет информатики и радиоэлектроники"

Кафедра защиты информации








Контрольная работа

Функциональные устройства телекоммуникаций













Задание №1

Исходные данные (Вариант №2):

Напряжение источника питания: Еп=12 В;

Ток коллектора в рабочей точке: I0K=6 мА;

Напряжение коллектор-эмиттер в рабочей точке: U0КЭ=4 В;

ЭДС: EГ=250 мВ;

Внутреннее сопротивление источника сигнала: RГ=0,8 кОм;

Нижняя рабочая частота: fН=50 Гц;

Верхняя рабочая частота: fВ=15 кГц;

Частотные искажения: M=MН=МВ=2 дБ;

Граничные значения температур окружающей среды: tСМИН= 10оC;

tСМАКС= 55оC.

Определим тип требуемого транзистора.

Транзисторы классифицируются по мощности и частоте, исходя из Еп=12 В, I0K=6 мА и fВ=15 кГц нам потребуется низкочастотный транзистор малой мощности (до 0,3 Вт). Заданным условиям отвечает транзистор типа МП25 [3]. Это германиевый сплавной транзистор p-n-p типа, приведем его параметры:

Минимальное и максимальное значение коэффициента передачи тока:

h21ЭМИН=10ЭМАКС=25

(Режим измерений: UКБ=-20В; IЭ=2,5 мА; tС=20оC)

Емкость коллекторного перехода СК=70 пФ

(Режим измерений: UКБ=-20В; f=500 кГц)

Объемное сопротивление области базы rБ=160 Ом

(Режим измерений: UКБ=-20В; IЭ=2,5 мА; f=500 кГц)

Предельная частота усиления транзистора по току в схеме с ОЭ: fh21Э=200 кГц

(Режим измерений: UКБ=-20В; IЭ=2,5 мА)

Обратный ток коллектора IКБО=75 мкА

(Режим измерений: UКБ =UКБМАКС)

Рассчитаем параметры малосигнальной модели биполярного транзистора [1].

Среднее значение коэффициента передачи тока равно:

==15,8. (1.1)

Выходная проводимость определяется как

=6*10-5 См. (1.2)

Здесь UA- напряжение Эрли, равное 70... 150 В у транзисторов типа р-n-р.

Объемное сопротивление области базы rБ можно определить из постоянного времени τК коллекторного перехода:

=160 Ом (1.3)

Дифференциальное сопротивление эмиттерного перехода определяется по формуле:

 (1.4)Б’Э=70 Ом

где  - дифференциальное сопротивление эмиттера;

 26 мВ - температурный потенциал при Т = 300 К;

m=1 - поправочный коэффициент, принимаемый примерно равным 1 для германиевых транзисторов.

Входное сопротивление транзистора:

=160+70=230 Ом (1.5)

Емкость эмиттерного перехода равна:

 =11 нФ (1.6)

Проводимость прямой передачи:

=0,07 См (1.7)

Рассчитаем параметры эквивалентной схемы биполярного транзистора по дрейфу [1].

Минимальная температура перехода транзистора

(1.8)

где PK - мощность, рассеиваемая на коллекторе транзистора;

(1.9)

PK=4·6·10-3=24 мВт,

tПМИН = 10+0,2·103·0,024= 15°С.

Максимальная рабочая температура перехода:

ПМАКС= tСМАКС+ RПС PK (1.10)ПМАКС=55+0,2·103·0,024=60°С

Значение параметра h/21Э транзистора при минимальной температуре перехода:

(1.11)

h/21Э =13.

Значение параметра h//21Э транзистора при максимальной рабочей температуре перехода:

(1.12)

h//21Э =25.

Изменение параметра Δh21Э в диапазоне температур:

(1.13)

Δh21Э =25-13=12.

Изменение обратного тока коллектора в диапазоне температур:

(1.14)


где α - коэффициент, принимаемый для германиевых транзисторов в интервале 0,03- 0,035

Эквивалентное изменение тока в цепи базы в диапазоне температур:

 (1.15)

ΔI0==0,9 мА.

Эквивалентное изменение напряжения в цепи базы, вызванное изменением температуры окружающей среды:

(1.16)

ΔU0=(2,2·10-3·50-5)+0,04)=0,14 В.

Рассчитаем элементы эммитерной стабилизации тока покоя транзистора:

Зададимся падением напряжением на сопротивлении RЭ в цепи эмиттера транзистора равным

э=0,3Eп=0,3·12=3,6 В. (1.17)

Определим сопротивление этого резистора:

 (1.18)

RЭ==600 Ом

а также сопротивление резистора в цепи коллектора:

 (1.19)

RК==730 Ом

Округлим их значения до ближайших стандартных, они будут равны соответственно 620 Ом и 750 Ом

Зададимся допустимым изменением тока коллектора в диапазоне температур из условия

(1.20)

ΔI0К=0,5I0K=0,5·6·10-3 =3 мА

При этом необходимо учитывать, что меньшее значение изменения этого тока приводит к увеличению тока, потребляемого резистивным делителем в цепи базы, к снижению входного сопротивления и ухудшению КПД каскада.

Исходя из требуемой стабилизации тока покоя каскада, определяют эквивалентное сопротивление в цепи базы транзистора:


 (1.21)

==1,2кОм

Рассчитаем ток базы в рабочей точке:

==380 мкА (1.22)

Пусть U0БЭ=0,3 В

Напряжение на нижнем плече резистивного делителя в цепи базы:

(1.23)

URБ2=3,6+0,3=3,9 В

Сопротивление верхнего плеча резистивного делителя в цепи базы:

 (1.24)

RБ1=3,3 кОм

Сопротивление нижнего плеча делителя в цепи базы:

 (1.25)

RБ2=2,5 кОм

Входные сопротивления рассчитываемого RВХ и последующегоВХ2= RН каскадов:

 (1.26)ВХ1==190 Ом

Выходное сопротивление каскада:

 (1.27)


Определим емкости разделительных (СР1 и СР2) и блокировочного (СЭ) конденсаторов.

Эти конденсаторы вносят частотные искажения в области нижних частот примерно в равной степени. В связи с этим заданные на каскад частотные искажения МН(дБ) в децибелах целесообразно распределить поровну между данными элементами:

МНСР1=МНСР2=МНСЭ=0,67 дБ =1,08

Емкость первого разделительного конденсатора:

 (1.28)

СР1==7,8 мкФ

(стандартная величина - 10 мкФ)

Емкость второго разделительного конденсатора:

 (1.29)

СР2==8,7 мкФ

(стандартная величина - 10 мкФ)

Емкость блокировочного конденсатора в цепи эмиттера:

 (1.30)

Где  (1.31)

М0==11;

СЭ==15 мкФ

(стандартная величина - 20 мкФ);

Сопротивление нагрузки каскада по переменному току:

 (1.32)

==150 Ом

Коэффициент передачи каскада по напряжению:

 (1.33)

КU=0,07·150=10,5.

Сквозной коэффициент передачи по напряжению:

 (1.34)

КЕ==2.

Выходное напряжение каскада:

(1.35)


Коэффициент передачи тока:

 (1.36)

Ki==10,5.

Коэффициент передачи мощности:

 (1.37)=10,5·10,5=110.

Верхняя граничная частота каскада определяется по формуле:

 (1.38)

где  - эквивалентная постоянная времени каскада в области верхних частот.

Постоянную времени  можно определить из выражения

 (1.39)

Где

 и  - постоянные времени входной и выходной цепей соответственно.

Эти постоянные времени определяются по формулам

(1.40)

(1.41)

где С0 - эквивалентная входная емкость каскада,

Сн - емкость нагрузки.

Эквивалентная входная емкость каскада включает емкость перехода база - эмиттер и пересчитанную на вход емкость перехода база - коллектор Ск:

(1.42)

С0=1,1·10-8 +7·10-11·(1+10,5)= 12 нФ;

==1,8 мкс; ==1,8 мкс;

= =2,5 мкс.В==62 кГц.

Определим частотные искажения в области верхних частот

 (1.40)

МВ==0,24

и сравним их с заданным значением М. Т.к. МВ(дБ)<М(дБ), то транзистор соответствует поставленным условиям.

Задание №2

транзистор ток конденсатор эмиттер


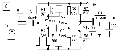
тип схемы: 8;

тип транзистора: n-p-n - КТ3102А, p-n-p - КТ3107А

Выпишем основные параметры транзисторов:

КТ3102А

КТ3107А

h21Эmin=100

h21Эmin=70

h21Эmax=250

h21Эmax=140

|h21Э|=1,5

|h21Э|=2

fизм=100 МГц

fизм=100 МГц

τK=500 пс

τK=500 пс

CK=6 пФ

CK=7 пФ



Определим потенциалы баз транзисторов:

 (2.2)

 (2.3)

Найдем потенциалы эмиттеров транзисторов:

 (2.4)

 (2.5)

Напряжение U0БЭ выбирается в интервале 0.5-0,7 В для кремниевых транзисторов, выберем U0БЭ=0,6В.

Рассчитаем токи в резисторах, подключенном к эмиттерам транзисторов VT1 и VT2:

 (2.6)


Рассчитаем ток коллектора в рабочей точке, для этого найдем сначала среднее значение коэффициента передачи тока:

 (2.7)

 (2.8)


Определим напряжение на коллекторах в рабочей точке:


 (2.9)

 (2.11)

Напряжение коллектор-эмиттер транзисторов:

 (2.12)

 (2.13)

Для обоих транзисторов выполняется условие UКЭ> UБЭ, следовательно, транзисторы работают в активном режиме.

Выходная проводимость определяется как

 (2.14)


Здесь UA- напряжение Эрли, равное 70-200 В Примем UA=100В.

Предельная частота усиления транзистора по току определяется по единичной частоте усиления fТ:

 (2.15)


Объемное сопротивление области базы rБ можно определить из постоянной времени τК коллекторного перехода транзистора и его емкости СК:

 (2.17)


Дифференциальное сопротивление эмиттерных переходов определяется по формуле:


Емкости эмиттерных переходов равны:

 (2.19)


Определим коэффициент передачи по напряжению, входное и выходное сопротивление оконечного каскада.

Входное сопротивление транзистора VT2:

(2.20)

Входное сопротивление каскада:

 (2.21)

- сопротивление базового делителя оконечного каскада.

Выходное сопротивление каскада:

 (2.22)

Сопротивление нагрузки каскада по переменному току:

 (2.23)

Коэффициент передачи каскада по напряжению:

 (2.24)

Определим коэффициент передачи по напряжению, сквозной коэффициент передачи по напряжению, входное и выходное сопротивления входного каскада. При этом необходимо учитывать, что нагрузкой входного каскада является входное сопротивление оконечного каскада. Входной каскад построен по схеме с ОЭ.

Входное сопротивление транзистора VT1:


Входное сопротивление каскада:

 (2.21)

- сопротивление базового делителя входного каскада.

Выходное сопротивление каскада:

 (2.22)

Сопротивление нагрузки каскада по переменному току:

 (2.23)

Коэффициент передачи каскада по напряжению:

 (2.24)

Сквозной коэффициент передачи по напряжению:

 (2.31)

Коэффициент передачи по напряжению всего усилителя определяется по формуле

= KU1· KU2=6,5·3,4=22 (2.32)

Сквозной коэффициент передачи по напряжению KE всего усилителя определяется аналогично:

Е= KЕ1· KU2=2,9·3,4=9,9 (2.33)

Входное сопротивление усилителя определяется входным сопротивлением входного каскада, а выходное - выходным сопротивлением оконечного каскада.

Постоянные времени в области нижних частот, связанные с разделительными конденсаторами С1, С 3 и С4 определяются по формулам:

τН1=С1·(Rг+ RВХ1)=5·10-6·(1·103+830)=9,5 мс (2.34)

τН3=С3·(RВЫХ1+ RВХ2)= 5·10-6·(200+490)=3,4 мс (2.35)

τН4=С4·(RВЫХ2+ RН)= 10·10-6·(596+1000)=16 мс

Постоянная времени в области нижних частот, связанная с блокировочным конденсатором С2 определяется по формулам:

 (2.36)

где  Ом - выходное сопротивление первого каскада по цепи эмиттера,

а  - эквивалентное сопротивление источника сигнала.

Эквивалентная постоянная времени каскада в области нижних частот определяется по формуле


Нижняя граничная частота равна

. (2.39)

В усилителе имеются три постоянных времени, связанных с входом первого каскада, с входом и выходом второго каскада и определяющих значение верхней граничной частоты.

Эти постоянные времени равны:

,

где - входная емкость первого каскада,

 - эквивалентное сопротивление источника сигнала;

,

где

.

Эквивалентная постоянная времени каскада в области верхних частот


а верхняя частота среза

.

Литература

1. Войшвилло Г.В. Усилительные устройства / Г.В. Войшвилло. - М.: Радио и связь, 1983.

. Титце У. Полупроводниковая схемотехника / У. Титце, К. Шенк. - М.: Мир, 1982.

. Галкин В.И. Полупроводниковые приборы: справочник / В.И. Галкин, А.Л. Булычев, В.А. Прохоров. - 2-е изд. - Минск: Беларусь, 1987.

Похожие работы на - Функциональные устройства телекоммуникаций

 

Не нашли материал для своей работы?
Поможем написать уникальную работу
Без плагиата!
Без нейросетей!