Разработка функциональных узлов цифровой системы передачи
Разработка функциональных узлов
цифровой системы передачи
ЗАДАНИЕ
Тема проекта: «Разработка функциональных узлов цифровой системы передачи»
Исходные данные к проекту.
Цифровая система передачи (ЦСП) входит в состав оборудования оконечной станции
РРЛ. Расстояние до ближайшей промежуточной станции составляет R=21 км. Скорость цифрового потока
двоичных символов на входе ЦСП - С=151 Мбит/с. Средняя частота спектра на
выходе радиопередающего устройства (РПдУ) численно равна 6 ГГц. Средняя частота
спектра на выходе цифрового передатчика (модулятора) и цифрового приемника
(демодулятора) выбирается обоснованно из ряда дискретных значений: 70; (МГц).
Диапазон перестройки рабочих частот ЦСП составляет ±2% от средней частоты
спектра СВЧ сигнала с шагом сетки частот 1МГц для 3≤10. Ослабление
внеполосных излучений РПдУ и сигнала зеркального канала РПрУ не менее 40 дБ.
Вероятность ошибки приема двоичного символа сообщения не должна превышать 6×10-7.
ВВЕДЕНИЕ
цифровой модулятор частота
Рост потребности в услугах электросвязи для различных сфер деятельности
людей обусловил бурное развитие средств телекоммуникаций в стране. Организация
новых цифровых трактов - задача, стоящая перед каждым оператором. Она
обусловлена повсеместным строительством цифровых АТС, внедрением услуг передачи
данных, развитием цифровых сетей с интеграцией служб, модернизацией сетей
технологической связи. Решить ее можно тремя способами: путем строительства
волоконно-оптических линий связи (ВОЛС), использования радиорелейных систем или
с помощью цифровизации медных линий связи.
Использование цифровых систем передачи объясняется существенными
достоинствами передачи: высокой помехоустойчивостью, слабой зависимостью
качества передачи от длины линии связи, стабильностью электрических параметров
каналов связи, эффективностью использования пропускной способности при передаче
дискретных сообщений и др.
Научно-технический прогресс во многом определяется скоростью передачи
информации и ее объемом. Возможность резкого увеличения объемов передаваемой
информации реализуется в результате использование СВЧ диапазона в радиорелейных
системах.
Целью работы является изучение возможностей, достоинств и недостатков
цифровых систем связи и разработка основных функциональных узлов СВЧ-тракта.
В данной работе будет приведено обоснование требований к основным узлам
приемопередающего устройства, разработаны отдельные узлы приемопередающего
устройства (синтезатор частоты, модулятор. Уделено внимание усилительным
устройствам систем телекоммуникаций (малошумящий усилитель и усилитель
выходного каскада). Рассмотрены основные проблемы и методы их решения для
систем передач в СВЧ диапазоне.
В соответствии с ТЗ в данном курсовом проекте необходимо разработать
цифровую систему передач (ЦСП) на базе оборудования РРЛ. Передача информации
должна осуществляться на расстояние 21 км. Скорость цифрового потока двоичных
символов на входе ЦСП - С=151 Мбит/с. Передача информции должна вестись на
частот 6 ГГц с промежуточной частотой 70 МГц. Диапазон перестройки рабочих
частот ЦСП составляет ±2% от средней частоты спектра СВЧ сигнала с шагом сетки
частот 1МГц. Ослабление внеполосных излучений РПдУ и сигнала зеркального канала
РПрУ не менее 40 дБ. Вероятность ошибки приема двоичного символа сообщения не
должна превышать 6×10-7.
Одним из наиболее важных вопросов при построении систем передачи является
вопрос выбора типа используемой модуляции. В данном курсовом проекте будет
рассмотрена цифровая система передачи с видом модуляции - 64-КАМ.
1. ВИДЫ МОДУЛЯЦИИ В ЦИФРОВЫХ СИСТЕМАХ ПЕРЕДАЧИ
1.1 Сравнительный анализ видов модуляции, применяемых в ЦСП
При цифровой передаче сигналов исходные данные g(t), которые могут
быть как аналоговыми, так и цифровыми, кодируются цифровым сигналом x(t). Конкретная форма этого сигнала зависит от метода кодировки
и выбирается с целью оптимизации использования передающей среды. Например,
может быть выбрана кодировка, максимально экономно использующая полосу или
сводящая к минимуму вероятность возникновения ошибок.
Рисунок 1.1. Методы кодирования и модуляции.
Основу аналоговой передачи сигналов составляет непрерывный сигнал с
постоянной частотой, называемый несущим сигналом. Частота несущего сигнала
выбирается совместимой с используемой передающей средой. Передавать данные с
помощью несущего сигнала позволяет модуляция - процесс кодирования исходных
данных несущим сигналом с частотой fc. Все методы модуляции включают операции с одним (или более)
из трех фундаментальных параметров частотного представления сигнала, которыми
являются амплитуда, частота и фаза.
Запишем модулированный сигнал:
e(t)=Accos[wct + y(t)]
(1.1)
где y(t) - мгновенная фаза, Ac - амплитуда сигнала,wc -частота.
Соответственно, существуют три основные технологии модуляции, выполняющие
преобразование цифровых данных в аналоговый сигнал (см. рисунок 1.1):
амплитудная манипуляция (amplitude-shift keying - ASK),
частотная манипуляция (frequency-shift keying - FSK) и
фазовая манипуляция (phase-shift keying - PSK).
Отметим, что во всех перечисленных случаях результирующий сигнал центрирован на
несущей частоте.
Рисунок 1.1. Модуляция цифровых данных аналоговыми сигналами.
.1.1
Амплитудная манипуляция
При амплитудной манипуляции два двоичных значения представляются
сигналами несущей частоты с двумя различными амплитудами. Одна из амплитуд, как
правило, выбирается равной нулю т.е. одно двоичное число представляется
наличием несущей частоты при постоянной амплитуде, а другое - ее отсутствием
(рисунок 1.1.а). Результирующий сигнал равен
(1.2)
Здесь
A×cos(2pfct) - несущий сигнал. Метод амплитудной манипуляции
чувствителен к внезапным скачкам напряжения и неэффективен.
Метод
амплитудной манипуляции используется для передачи цифровых данных по
оптоволокну.
Зная
требуемую скорость передачи данных (151 Мбит/с) определим ширину полосы
пропускания:
ВТ=(1+r) ∙R=(1+0)∙151∙106=151
МГц.
где R - скорость передачи битов, а r связано с методом фильтрации сигнала для создания полосы
пропускания; как правило, 0<г<1. Следовательно, ширина полосы
непосредственно связана со скоростью передачи битов.
.1.2 Частотная манипуляция
Наиболее распространенной формой частотной манипуляции является бинарная,
в которой два двоичных числа представляются сигналами двух различных частот,
расположенных около несущей. Результирующий сигнал равен
(1.3)
где f1 и f2 - частоты, смещенные от несущей
частоты на величины, равные по модулю, но противоположные по знаку.
Бинарная частотная манипуляция менее восприимчива к ошибкам, чем
амплитудная манипуляция.
При использовании схемы FSK
ширину полосы можно выразить следующим образом:
BТ=2ΔF+(1+r) ∙R
где
- смещение модулируемой частоты относительно несущей. При
использовании очень высоких частот доминирует член с DF, и наоборот, при высокой скорости
передач и маленькой DF
будет доминировать член
.
BТ =(1+0)∙151∙106=151
МГц;
.1.3 Фазовая манипуляция
При фазовой манипуляции для представления данных выполняется смещение
несущего сигнала.
Двухуровневая фазовая манипуляция.
Простейшая схема, в которой для представления двух двоичных цифр
используются две фазы, называется бинарной фазовой манипуляцией (рисунок
1.1.в). Получающийся сигнал имеет следующий вид (для одного периода передачи
бита):
(1.5)
Поскольку сдвиг фазы на 180° (p) эквивалентен умножению синусоиды на -1, может
использоваться правая часть выражения (1.5). Это позволяет использовать удобную
формулировку. Если имеется поток битов и d(t) определяется
как дискретная функция, значение которой равно +1 при передаче 1 и -1 при
передаче 0, то переданный сигнал можно определить следующим образом:
(1.6)
Ширина
полосы пропускания:
ВТ=(1+r)∙R
=(1+0) ∙151∙106=151 МГц.
Альтернативной формой двухуровневой PSK является дифференциальная PSK
(DPSK).
В данной системе двоичный 0 представляется сигнальным пакетом, фаза
которого совпадает с фазой предыдущего посланного пакета, а двоичная 1
представляется сигнальным пакетом с фазой, противоположной фазе предыдущего
пакета. Такая схема называется дифференциальной, поскольку сдвиг фаз
выполняется относительно предыдущего переданного бита, а не относительно
какого-то эталонного сигнала. При дифференциальном кодировании передаваемая
информация представляется не сигнальными посылками, а изменениями между
последовательными сигнальными посылками. Схема DPSK делает излишним строгое
согласование фазы местного гетеродина приемника и передатчика. До тех пор пока
предыдущая полученная фаза точна, точен и фазовый эталон.
Ширина спектра при дифференциальной PSK является той же что и при обычной
двухуровневой фазовой анипуляции.
.1.4 Квадратурная фазовая манипуляция
Если каждой сигнальной посылкой представить более одного бита, то это
позволит эффективнее использовать полосу сигнала. Например, в распространенной
кодировке, известной как квадратурная фазовая манипуляция (quadrature phase-shift keying - QPSK), вместо сдвига фазы на 180°,
используются сдвиги фаз, кратные p/2 (90°).
(1.7)
Таким образом, каждая сигнальная посылка представляет не один бит, а два.
На рисунке 1.2 в общих чертах представлена схема модуляции
четырехпозиционной фазовой модуляции. Вход - поток двоичных цифр со скоростью R = 1/tВ, где tB - ширина бита. Поток конвертируется в два отдельных потока битов со
скоростью R/2 каждый. Полученные два потока
называются синфазным (I) и квадратурным (Q). На диаграмме верхний поток модулируется на несущей fc путем умножения потока битов на
несущую. Для удобства двоичная единица отображается в 1/Ö2 , а нуль - в -1/Ö2 . Таким образом, двоичная единица
представляется несущей с измененным масштабом, а двоичный нуль - отрицательной
версией несущей с измененным масштабом; амплитуда в обоих случаях постоянна.
Для модуляции нижнего потока используется та же несущая, смещенная на 90°.
После этого два полученных сигнала складываются и передаются.
Результирующий сигнал можно записать следующим образом:
при квадратурной фазовой манипуляции
Рисунок 1.2. Схема модулятора четырехпозиционной фазовой модуляции.
На рисунке 1.3 приведен пример кодирования QPSK. Оба модулированных
потока являются сигналами двухуровневой фазовой манипуляции со скоростью
передачи, равной половине скорости передачи исходного потока. Таким образом,
скорость передачи символов в полученных сигналах равна половине скорости
передачи битов на входе. Отметим, что при переходе от одного символа к другому
возможно изменение фазы на 180° (p).
Рисунок 1.3. Примеры сигналов четырехуровневой и ортогональной
четырехуровневой фазовой модуляции.
Поскольку четырехуровневой и ортогональной четырехуровневой фазовой
модуляции отличаются только задержкой в квадратурном потоке, спектральные
характеристики и вероятности ошибок обеих схем совпадают. Из рисунка 1.8 можно
видеть, что в каждый момент времени изменить знак может только один из двух
битов в паре сигналов следовательно, суммарное изменение фазы никогда не
превысит 90° (p/2). Эта особенность
может оказаться выгодной, поскольку физические ограничения модуляторов фазы не
позволяют легко выполнять значительные изменения фазы при больших скоростях
передачи. Кроме того, схема ортогональной четырехуровневой фазовой модуляции
обеспечивает лучшую достоверность передачи в канале (в который входят и
приемник с передатчиком), имеющем существенно нелинейные компоненты.
Нелинейность приводит к расширению полосы передачи, что может вызвать
интерференцию сигналов данного канала с сигналами соседних каналов. Поскольку
контролировать расширение полосы намного легче при незначительных изменениях
фазы, схема ортогональной четырехуровневой фазовой модуляции имеет преимущество
перед схемой четырехуровневой фазовой модуляции.
Особенностью фазомодулированных сигналов является то, что их спектр ничем
не ограничен. При применении фазовой модуляции в реальных радиоканалах спектр
сигнала приходится ограничивать тем или иным способом. Первоначально
ограничение спектра сигнала производилось при помощи полосового фильтра,
включенного на выходе модулятора, однако это приводит к возникновению
межсимвольной интерференции.
Фильтры, обладающие такой переходной характеристикой, получили название
фильтров Найквиста.
При использовании многофазной передачи сигналов можно добиться
значительно более эффективного использования полосы:
где L - число битов, закодированных в одной сигнальной посылке, а M - количество различных сигнальных
посылок. Ширина полосы, к примеру, для четырехуровневой фазовой манимуляции (M=4, L=2) :т=151/2=75,5 МГц.
.1.5 Квадратурная амплитудная модуляция
Квадратурная амплитудная модуляция (quadrature amplitude modulation - QAM) является популярным методом аналоговой передачи
сигналов, используемым в некоторых беспроводных стандартах. Данная схема
модуляции совмещает в себе амплитудную и фазовую модуляции. В методе КАМ
использованы преимущества одновременной передачи двух различных сигналов на
одной несущей частоте, но при этом задействованы две копии несущей частоты,
сдвинутые относительно друг друга на 90°. При квадратурной амплитудной
модуляции обе несущие являются амплитудно-модулированными. Итак, два
независимых сигнала одновременно передаются через одну среду. В приемнике эти
сигналы демодулируются, а результаты объединяются с целью восстановления
исходного двоичного сигнала.
В общих чертах модуляционная схема КАМ показана на рисунке 1.4. Со скоростью
R бит/с на вход поступает поток
двоичных цифр. Этот поток разбивается на два потока (биты попеременно
распределяются по двум отдельным потокам), передаваемых со скоростью R/2 бит/с каждый. Обратимся к рисунку:
верхний поток модулируется на несущей частоте fc с использованием схемы амплитудной
манипуляции, для чего двоичный поток умножается на несущую. Таким образом,
двоичный нуль представляется отсутствием несущей волны, а двоичная единица -
наличием несущей волны постоянной амплитуды. Для модулирования нижнего потока
та же несущая волна смещается на 90°, после чего вновь используется схема
амплитудной манипуляции. Затем два модулированных сигнала складываются и
передаются вместе. Суммарный переданный сигнал можно записать следующим
образом:
КАМ
s(t) = d1(t)×cos(2pfct) + d2(t)×sin(2pfct).
(1.8)
Рисунок 1.4 - Модулятор КАМ.
При использовании двухуровневой амплитудной манипуляции каждый из двух
потоков может находиться в одном из двух состояний, а объединенный поток - в
одном из 2х2=4 состояний. При использовании четырехуровневой манипуляции (т.е.
четырех различных уровней амплитуды) объединенный поток будет находиться в
одном из 4х4 = 16 состояний. Чем больше число состояний, тем выше скорость
передачи данных, возможная при определенной ширине полосы. Разумеется, как
указывалось ранее, чем больше число состояний, тем выше потенциальная частота
возникновения ошибок вследствие помех или поглощения. Зависимость вероятности
ошибок от отношения сигнал/шум для различных форматов КАМ показана на рисунке
1.9
Ширина полосы пропускания для КАМ16 (Q=4):
Bт =2∙1.25∙V/log2Q=2.5∙151/4=94,4
МГц.
Ширина полосы пропускания для КАМ64 (Q=6):
Bт =2∙1.25∙V/log2Q=2.5∙151/6=62,9
МГц.
Ширина полосы пропускания для КАМ256 (Q=8):
Bт =2∙1.25∙V/log2Q=2.5∙151/8=47,2
МГц.
.25 - коэффициент увеличения полосы пропускания реального тракта по
сравнению с шириной полосы частот по Найквисту.
.2 Обоснование и выбор вида модуляции в проектируемой ЦСП
При рассмотрении производительности различных методов модулирования
цифровых данных с помощью аналоговых сигналов первым параметром, представляющим
интерес, является ширина полосы модулированного сигнала. Зависит данный
параметр от многих факторов, в том числе от используемого определения ширины
полосы и методов фильтрации, применяемых для создания полосового сигнала.
Ширина полосы для различных методов модуляции была найдена в предыдущем
разделе.
В таблице 1 показано отношение скорости передачи данных R к ширине полосы пропускания
различных схем. Отметим, что данное отношение также называется эффективностью
использования полосы и является мерой эффективности, с которой полосу можно
использовать для передачи данных.
Таблица 1. Отношение скорости передачи данных к ширине полосы пропускания
различных схем кодирования цифровых данных аналоговыми сигналами.
|
Bт, МГц
|
эффективность
|
|
Амплитудная манипуляция
|
153
|
1.0
|
|
Бинарная частотная манипуляция
|
|
|
|
Широкополосная (DF>>R)
|
DF>>R
|
~0
|
|
Узкополосная (DF»fc)
|
153
|
1.0
|
|
Фазовая манипуляция
|
153
|
1.0
|
|
Многофазная передача сигналов
|
|
|
|
L = 4, b =
2
|
76,5
|
2.00
|
|
L = 8, b =
3
|
51,0
|
3.00
|
|
L = 16, b =
4
|
38,25
|
4.00
|
|
Квадратурная амплитудная модуляция
|
|
|
|
КАМ-16 КАМ-64
|
95,6 63,75
|
1,6 2,4
|
|
КАМ-256
|
47,8
|
3,2
|
Из таблицы видны преимущества многоуровневых методов передачи сигналов.
Однако в данных расчетах не учитывалось присутствие помех в канале связи. При
выборе метода модуляции нужно учитывать не только его эффективность, но и
способность обеспечивать заданное отношение сигнал-шум.
Итак, выбор вида модуляции направлен на достижение следующих основных
целей:
- минимизации вероятности ошибки на бит;
минимизацию требуемого энергетического потенциала;
максимизацию спектральной эффективности;
- минимизацию сложности аппаратуры формирования и обработки сигналов.
Правильный выбор вида модуляции одна из важнейших задач при
проектировании систем связи. Более сложные модуляции весьма эффективны с точки
зрения использования спектра, но они требуют высокого отношения несущая-шум для
работы при данной вероятности ошибок (рис. 1.9).
Когда целью является высокая эффективность использования спектра,
наиболее часто пользуют схемы модуляции КАМ с различным количеством позиций в
совокупности. Эти типы модуляции обеспечивают максимальную гибкость в
применении: путем изменения только числа битов/символов, приходящихся на один
символ (или другими словами, числа позиций совокупности), можно добиться
соответствия данному частотному плану.
Рисунок.1.9 - Коэффициент ошибок в зависимости от
отношения сигнал- шум с числом уровней КАМ в качестве параметра
Модуляция высокого порядка эффективна с точки зрения использования
спектра, но требует реализации высокого отношения сигнал/шум для обеспечения
заданной величины
рисунок 1.9
В соответствии с требованием задания на КП расстояние до ближайшей
промежуточной станции составляет 21 км.
На основании приведённых в разделе показателей оценив
потенциальные возможности по использованию полосы частот и требуемым
энергетическим затратам для обеспечения заданной скорости передачи и качества
приёма для проектируемой ЦСП выбираем модуляцию КАМ-64.
Определим необходимое значение отношения сигнал/шум для обеспечения
заданного качества приема символов сообщения с учетом оценки не идеальности
характеристик и параметров типовых функциональных узлов ЦСП.
На радиооборудование обычно влияет ряд недостатков. Некоторые из них
относятся непосредственно к процессу модуляции. Другие обычно, но не по
существу, возникают вне самого модема в других формирующих систему радиоблоках.
Ниже приводится анализ основных ухудшений качества, при котором особое внимание
уделяется форматам модуляции КАМ. Это объясняется широким использованием таких
форматов модуляции в цифровых системах радиосвязи и их известной
чувствительностью к различным недостаткам
) Ухудшения качества при модуляции и демодуляции:
а). Ошибки модуляции
К ошибкам модуляции относят:
квадратурные фазовые ошибки между синусоидальным и
косинусоидальным сигналами несущей;
ошибки амплитуды между синфазным и квадратурным
модулирующими сигналами;
относительная погрешность амплитуды в случае
многоуровневых сигналов из-за различных уровней сигнала;
различные электрические задержки между синфазным и
квадратурным модулирующими сигналами.
К ошибкам демодуляции относят:
квадратурные фазовые ошибки между синусоидальным и
косинусоидальным восстанавливаемыми сигналами несущей,
конечная точность решающих схем,
фазовая ошибка восстанавливаемой несущей,
фазовая ошибка восстанавливаемых тактовых импульсов.
Под недостатками несущей частоты и устройств тактовой
синхронизации подразумеваются, как правило, и статические и динамические
(фазовое дрожание) ошибки. Чтобы учесть влияния фазового дрожания, необходимо
знать его статистическое распределение.
Таблица показывающая ухудшение отношения S/N из-за статических фазе ошибок
несущей для различных форматов модуляции приведена в [4] на странице 11
) Влияние линейных искажений.
Рассмотрим искажения, являющиеся результатом несовершенной передаточной
функции канала, которая может быть порождена несовершенной схемой и/или настройкой
любого из фильтров приемопередатчика. Эти искажения могут также быть вызваны
температурными изменениями и эффектами старения. Указанные недостатки
проявляются в различных формах. Однако благодаря свойству линейности они могут
быть смоделированы как комбинация (каскад) некоторых основных линейных
искажений.
Что касается линейных искажений, можно идентифицировать линейные
наклонные и параболические (амплитуда и групповая задержка) искажения. Они
могут быть традиционно определены в полосе (полосе пропускания) Найквиста
(±1/27) путем оценки изменения усиления при полном размахе в дБ или групповой
задержки, приведенной к длительности символа. В таблице 1.3 представлено
ухудшение отношения S/N (Ре = КИ) из-за линейного наклонного искажения
амплитуды.
Таблицы ухудшение отношения S/N из-за линейных искажений приведены в [4]
на страницах 12-13.
Рассмотрим влияние нелинейных искажений.
) Нелинейные искажения
Помимо линейных искажений, все форматы модуляции КАМ высокого уровня
чувствительны к нелинейным искажениям. Их основным источником являются СВЧ
усилители мощности.
Номинальная мощность на выходе преобразователя ПЧ/ РЧ
составляет порядка нескольких милливатт, и, следовательно, требуется усиление
для получения необходимого выходного уровня. Точка передаточной функции
выбирается вблизи участка насыщения, когда устройство начинает терять
линейность. Начиная с этой точки, быстро возрастающее искажение амплитуды
ухудшение BER для сигнала, содержащего значительную величину амплитудной
модуляции, подобно формату модуляции КАМ. Наличие нелинейных искажений приводит
к тому, что увеличение мощности выходного сигнала передатчика, приводит не к
уменьшению вероятности ошибки при приеме цифрового сигнала, а к ее увеличению
Чтобы гарантировать линейность комплексной амплитудной характеристики
усилителя даже в присутствии пиков амплитуды модулированного сигнала,
необходимо, чтобы максимальное значение мощности усилителя было больше пикового
значения мощности сигнала при КАМ. Однако это приводит к увеличению стоимости
усилителя и не всегда приемлемо в диапазоне СВЧ, где мощность твердотельных
усилителей ограничена. Поэтому для компенсации нелинейных искажений,
возникающих в усилителе, в сигнал передатчика вводят нелинейный корректор.
Комплексная амплитудная характеристика корректора выбирается таким образом,
чтобы значение произведения коэффициента передачи корректора на коэффициент
передачи нелинейного усилителя было постоянно во всем диапазоне изменения
амплитуд входного сигнала. Графики амплитудных и нелинейных характеристик усилителя
и таблицы потери мощности для различных схем модуляции приведены в [4] на
страницах 13-18.
В ЦРРС малой пропускной способности доминирующим фактором является
тепловой шум, поэтому адекватный уровень выходной мощности может повысить
качество системы. Наоборот, в ЦРРС высокого уровня искажения становятся
основным источником ухудшений, и повышение выходной мощности может оказаться
неэффективным. Для снижения выходной мощности при нормальных условиях
распространения могут использоваться методы адаптивной регулировки мощности
передатчика.
Неидеальность параметров приемопередающей аппаратуры системы связи
приводит к необходимости увеличения полученного значения отношения сигнал/шум.
Для обеспечения вероятности ошибки 6∙10-7 необходимо выбрать
отношение сигнал/шум, используя рис. 1.9. Для 64-КАМ отношение сигнал/шум равно
27,3 дБ.
Зададим требования к статической фазовой ошибке и линейным искажениям
сигнала в канале с вязи и определим необходимое отношение сигнал/шум для
системы связи с реальными характеристиками указанными выше. Воспользовавшись
методическим пособием по курсовому проектированию Кореневского С.А. [2] для
формата модуляции 64 КАМ зададим требования, предъявляемые к разрабатываемой
системе, и внесём их в таблицу 1.2:
Таблица 1.2
|
Отношение сигнал/шум при вероятности ошибки 6∙10-7
(дБ)
|
27,3
|
|
Ухудшение отношения S/N из-за статистической фазовой ошибки
(дБ)
|
1.4
|
|
Ухудшение отношения S/N из-за линейного наклонного
искажения амплитуды (дБ)
|
2.5
|
|
Ухудшение отношения S/N из-за параболического искажения
амплитуды (дБ)
|
0.75
|
|
Ухудшение отношения S/N из-за искаженй групповой задержки
(дБ)
|
1.2
|
|
Результирующее значение отношения сигнал/шум (дБ)
|
33.15
|
Для 64-КАМ и заданной вероятности ошибки 6∙10-7 отношение
сигнал/шум составит 33,15 дБ.
2. РАЗРАБОТКА ФУНКЦИОНАЛЬНЫХ УЗЛОВ ПРИЕМОПЕРЕДАТЧИКА ЦСП
.1 Функциональная схема цифрового передатчика
На рис. 2.1 приведена упрощенная структурная схема
передающего оконечного оборудования (цифрового передатчика). Согласно
Рекомендации F.59б МСЭ-Р цифровые системы радиосвязи
могут соединяться с другим оборудованием только на вполне определенных
иерархических цифровых скоростях.
Рисунок 2.1. Цифровой передатчик
Предположим, что на вход устройства формирования
синфазного и квадратурного потоков цифрового передатчика поступает 4 цифровых
потока Е и служебная информация. Эти потоки объединяются и кодируются
самоортогональным сверточным кодом со скоростью 18/19 для обеспечения
возможности исправления ошибок. В результате скорость цифрового потока имеет
эффективную скорость передачи 151 Мбит/с. Этот процесс группообразования
является внутренним делом для радиосистемы и не стандартизован МСЭ-Т, что не
имеет никаких негативных последствий для заказчика, потому что входы и выходы
цифровых систем имеют стандартизованные иерархические скорости. Информационные
биты далее скремблируются в синхронизированном скремблере, что позволяет
обеспечивает гладкий излучаемый спектр, свободный от спектральных линий,
которые могли бы вызвать значительные помехи в аналоговых радиоканалах, а также
гарантирует эффективную синхронизацию и восстановление несущей. Далее
сформированный цифровой поток разбивается на два потока, имеющих в два раза
меньшую скорость - 75,5 Мбит/c. Эти
потоки используются для формирования синфазного цифрового потока (J) и квадратурного цифрового потока (Q). Затем в цифроаналоговых
преобразователях (ЦАП) из трех импульсов каждого потока формируются 8-уровневый
импульсно - амплитудный формат как в синфазном (J), так и в квадратурном (Q) каналах. Синфазный (J) и квадратурный (Q) каналы, перемножаются с синфазной (cos(
) и квадратурной (sin(
) составляющими сигнала промежуточной
частоты, например 70 МГц. Это позволяет формировать 64 (8х8=64) различных
значения комплексного выходного сигнала цифрового передатчика, каждый символ
сигнала несет в себе информацию о 6 битах исходного цифрового потока, что
приводит к скорости выходного сигнала 25.2 Мбод.
Рассмотрим формирования сигнала КАМ-64:
Зададим случайный входной цифровой поток, рисунок 2.2 а). Случайный
цифровой поток (uwx(t)), поступает на 2-битовый преобразователь
последовательного кода в параллельный. На выходах преобразователя формируются
четный и нечетный цифровые потоки (рисунок 2.2 б) и в)), которые формируют
квадратурные составляющие сигналов I(t) и Q(t), рисунок 2.2 г) и д).
Поток Q(t) задержан относительно I(t) на 2 такта,
поэтому в I(t) перед модуляцией тоже вносят задержку.
Для формата КАМ-64 необходимо сформировать 64 различных вектора, каждый
из которых будет содержать информацию о шести (log2(M) = log2(64)=6)
символах входного цифрового потока. Для формирования на комплексной плоскости
64 векторов, необходимо сформировать 8 значений вектора I и восемь значений
вектора Q. Восемь значений вектора I смогут передать информацию о трех символах
входного (нечетного ) цифрового потока (23 = 8).
На рисунке 2.2 е) и ж) показаны временные зависимости квадратурных
сигналов на выходах перемножителей. Видно, что огибающие сигналов соответствуют
значениям векторов I(t) и Q(t). При изменении полярности векторов I(t) и Q(t),
фазы сигналов на выходах перемножителей изменяются на 180 градусов.
Из рисунка 2.2 з). видно, что при КАМ имеет место
изменение амплитуды и фазы выходного сигнала, что требует высокой линейности
амплитудных характеристик усилителей цифровой РРЛ и малых амплитудно-фазовых
преобразований (зависимости фазы выходного сигнала усилителя от амплитуды
входного сигнала).
а)
б)
в)
г)
д)
е)
ж)
з)
Рисунок 2.2 - Процесс формирования сигнала КАМ-64
а) Случайный входной цифровой поток
б) Четный цифровой поток
в) Нечетный цифровой поток
г) Синфазная составляющая сигнала I(t)
д) Квадратурная составляющая сигнала Q(t)
е) Временная зависимость синфазного сигнала на выходе перемножителя I(t)
ж) Временная зависимость квадратурного сигнала на выходе перемножителя Q(t)
з) Сигнал КАМ-64
.2 Функциональная схема цифрового приемника
Упрощенная структурная схема цифрового приемника,
показана на рис.2.3.

Где АЦП - аналогово-цифровой преобразователь;
БМ - балансный модулятор;
СК - схема Костаса.
Фильтр Найквиста - фильтр, в котором импульсная характеристика должна
принимать нулевые значения строго через определенные интервалы, равные
длительности передаваемого символа. Главным преимуществом использования фильтра
Найквиста является возможность сужения полосы сигнала вплоть до теоретического
предела 1 бит/c на 1 Гц полосы с полным подавлением боковых лепестков. Главным
недостатком использования фильтра Найквиста является повышенные требования к
устройству временной синхронизации при декодировании информации, поскольку МСИ
отсутствует только в заданные моменты времени соответствующие импульсам
тактового генератора.
Устройство восстановления несущей частоты формирует
квадратурные составляющие промежуточной частоты 70 МГц, что позволяет
обеспечить когерентную демодуляцию принимаемого сигнала 64-КАМ и выделить на
выходе аналоговых перемножителей (преобразователей частоты) импульсы с
амплитудами J и Q.
Аналого-цифровой преобразователь - устройство,
преобразующее входной аналоговый сигнал в дискретный код (цифровой сигнал).
На выходах трехразрядных АЦП формируются синфазный и
квадратурный цифровые потоки, имеющие скорость 75,5 Мбит/c. В схеме выделения цифровых потоков,
цифровые потоки J и Q объединяются, разуплотняются и
дескремблируются. После разуплотнения происходит исправление ошибок и
формирование выходных потоков (4 потока формата E3 и цифровой поток служебного канала).
2.3 Функциональная схема системы синхронизации на стороне приема
Одним из недостатков КАМ является трудность восстановления спектральной
составляющей на несущей частоте. Однако существуют специальные схемы построения
выделителя несущей частоты, которые позволяют с определённой погрешностью
получить желаемый параметр.
Восстановление несущей может производиться двумя различными методами:
. Применить быстро осуществляемое восстановление несущей в схеме с
ФАПЧ или узкополосный фильтр. Одно такое устройство может выделять пакеты от
всех земных станций. Однако, шумовая полоса устройства восстановления несущей
должна быть относительно широкой, чтобы обеспечить быстрый отклик за время
преамбулы.
. Применить несколько стробируемых во времени устройств
восстановления несущей или одно устройство ФАПЧ с временным уплотнением и
запоминанием фазы от цикла к циклу. Этот метод позволяет применять сравнительно
узкополосные устройства восстановления несущей, которые работают по основной
спектральной компоненте, стробируемой во времени несущей.
Рассмотрим одну из самых распространённых схем выделителя несущей частоты
- схему Костоса, или синфазно-квадратурную схему, показанную на рисунке 2.4.
Устройство выделения несущей частоты[2,стр28]. Схема Костаса.Эта схема
восстановления использует одновременно две параллельные схемы отслеживания
сигнала (I и Q) для одновременного выделения составляющих I и Q сигнала, который управляет ГУН . Синфазная схема Q использует сигнал ГУН, сдвинутый на
90º.
Если частота ГУН равна
частоте подавленной несущей, то произведение сигналов I и Q
создаёт напряжение рассогласования, пропорциональное рассогласованию фазы в
ГУН. Напряжение рассогласования контролирует фазу и, таким образом, частоту
ГУН.
Рисунок 2.4 - Схема Костаса
Рисунок 2.5 - Функция ошибок
2.4 Функциональная схема СВЧ-тракта (СВЧ-Т) передачи/ приема ЦСП
Функциональная схема передающего тракта представлена на рисунке 2.6:
Рисунок 2.6 - функциональная схема РПдУ СВЧ тракта, УС - усилитель, СМ-
смеситель, ПФ - полосовой фильтр, Атт.- аттенюатр, ФВ - ферритовый вентиль.
Сигнал с модулятора на промежуточной частоте 70 МГц поступает на
предварительный усилитель (точка 1, рисунок 2.7), после чего поступает на
смеситель. В смесители он умножается на сигнал с синтезатора частота (точка 4,
рисунок 2.8), в результате чего происходит перенос с ПЧ на СВЧ (точка 2,
рисунок 2.9), фильтр ПФ1 пропускает сигнал на несущей частоте, отфильтровывая
побочные составляющие (точка 3, рисунок 2.10), далее сигнал усиливается
усилителями УС2 и УС3, так как УС2 и УС3 усиливают на фиксированное значение,
необходимое значение мощности сигнала настраивается с помощью аттенюатора.
Полосовой фильтр ПФ2 необходим для фильтрации побочных частот, образовавшихся в
результате нелинейных искажений в УС2 и УС3. Ферритовый вентиль ФВ не
пропускает отраженный сигнал обратно в тракт передатчика.
Рисунок 2.7 - Усиленный сигнал с модулятора на входе смесителя (точка 1)
Рисунок 2.8 - Сигнал на выходе синтезатора частот (точка 4)
Рисунок 2.9 - Сигнал на выходе смесителя (точка 2)
Рисунок 2.10 - Сигнал на выходе полосового фильтра (точка 3)
Функциональная схема приемного тракта представлена на рисунке 2.11:
Рисунок 2.11 - функциональная схема РПрУ СВЧ тракта, МШУ - малошумящий,
ПУПЧ промежуточный усилитель промежуточной частоты, УПЧ - усилитель
промежуточной частоты, СМ- смеситель, ПФ - полосовой фильтр, ФВ - ферритовый
вентиль.
На приемной стороне сигнал (fс = 6 ГГц)
через полосовой фильтр поступает на вход малошумящего усилителя (МШУ),
усиливается на 15 - 20 дБ и поступает на смеситель. Кроме полезного сигнала на
входе смесителя всегда присутствуют некоторая мощность шума (шумы атмосферы,
индустриальные помехи, шумы приемника и др.). На второй вход смесителя
поступает сигнал гетеродина, формируемый синтезатором частот. На выходе
смесителя выделяется сигнал промежуточной частоты, равный разности частот
принимаемого сигнала и сигнала гетеродина (fпр = 70 МГц), далее этот сигнал усиливается до необходимого
уровня.
3. РАЗРАБОТКА
И РАСЧЕТ ЭЛЕМЕНТОВ ФУНКЦИОНАЛЬНОЙ СХЕМЫ СВЧ-Т
.1 Выбор МШУ
и расчет коэффициента шума РПрУ
Перед тем, как рассчитать коэффициент шума РПрУ, подберем микросхемы для
МШУ и широкополосного усилителя.
На данное время производится и поступает в продажу множество различных
микросхем усилителей. Известными поставщиками этой продукция являются такие
фирмы как Hittite Мicrowave, Мini-circuits, RADIS.
Пускай РПрУ будет строится на микросхемах фирмы Hittite.
Из широкого спектра предлагаемых малошумящих усилителей выберем следующую
микросхему: HMC516 (см приложение А).
Для МШУ имеет следующие параметры:
значение коэффициента шума Ks =
1,8 дБ;
значение коэффициента усиления K = 21 дБ.
При бесконечно большом значении коэффициента усиления МШУ, коэффициент
шума РПрУ определяется коэффициентом шума первого каскада. Наш усилитель имеет
относительно небольшое значение коэффициента усиления (18 дБ), что сравнимо с
потерями коэффициента передачи в следующем каскаде смесителе. Поэтому
необходимо рассмотреть влияние следующих каскадов (смесителя) на шумы РПрУ.
Для расчета коэффициента шума РПрУ рассмотрим упрощенную структурную
схему РПрУ, рис. 3.2. Для упрощения схемы синтезатора частот РПрУ, используем
субгармонический смеситель (работающий на второй гармонике частоты гетеродина).
Коэффициент передачи такого смесителя составляет около минус 13 дБ. Рассмотрим
упрощенную структурную схему РПрУ для двух вариантов.
. МШУ выполнен на двух одинаковых усилителях. В этом случае приемное
устройство может быть представлено в виде трех каскадов имеющих следующие
значения коэффициентов усиления:
K1=21 дБ; K2=21 дБ; K3=-13 дБ;
W1=1,8 дБ; W2=1,8 дБ; W4=1,8 дБ,
где k1, k2 - коэффициенты усиления СВЧ
смесителя;
k3 - коэффициент передачи смесителя;
W1, W2 - коэффициенты шума усилителя;
W4 - коэффициент шума ПУПЧ.
Рис. 3.2 Структурная схема РПрУ
Тогда значение коэффициента шума РПрУ равно:
s =1,52 (раз)
или Ks=1,8 дБ.
2. В МШУ использован один каскад усиления. Тогда
ks =1,60
или Кs=2,0 дБ.
Учитывая, что
шумовая температура атмосферы равна Тш=300 К, то изменением
коэффициента шума от 1.52 до 1.60 можно пренебречь и использовать один каскад
усиления. Тогда значение коэффициента шума РПрУ Ks = 1.6 (KsдБ = 2 дБ).
3.2
Определение энергетических и спектрально-временных соотношений на входах и
выходах функциональных элементов СВЧ-Т, расчет их коэффициентов передачи,
частотных характеристик и параметров
Определим необходимое значение мощности РПдУ для формата 64КАМ для
дальности связи равной 21 км в следующей последовательности:
) По формуле определим чувствительность приемного устройства СВЧ модуля
Мощность тепловых шумов приведенная к входу приемного устройства равна
(формула 3.1):
где Ks - коэффициент шума РПрУ в разах (Ks =1,6 - см. пункт 3.1); -
постоянная Больцмана;- температура РПрУ в градусах Кельвина.
∆f- полоса частот системы связи для заданного формата (∆f=62,9
МГц);
) Определим мощность принимаемого сигнала для обеспечения заданного
значения вероятности ошибки по формуле (3.2) Отношение сигнал/шум определено в
первом разделе (С/Ш =33,15 дБ):
) Для обеспечения полученного значения мощности сигнала на входе
приемного устройства на расстоянии R=21 км мощность передатчика рассчитывается
по формуле (3.3):
(3.3)
где
- выходная мощность передатчика;
- коэффициенты усиления передающей и приемной антенн;
- длина волны;
- расстояние между передатчиком и приемником.
В соответствии с заданием диаметр антенного устройства равен 0.4 м .
Определим значение коэффициента усиления антенны по формуле (3.5)По
формуле (3.3) определим значение коэффициента усиления антенны:
(3.5)
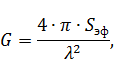
где Sэф - эффективная площадь антенны (параметр приемной антенны),
которая рассчитывается по формуле (3.6):
(3.6)
(м2).
Значит, усилитель должен иметь значение выходной мощности в линейном режиме
работы P1дБ = 124 мВт или 20,9 дБм
.3 Выбор фильтров обеспечивающих требуемое подавление внеполосных
излучений РПдУ и зеркального канала РПрУ
На вход передатчика СВЧ поступает модулированный сигнал промежуточной
частоты с выхода цифрового передатчика. Управляемый аттенюатор устанавливает
необходимый уровень сигнала на входе смесителя. Предположим, что выходная
частота передатчика равна 6 ГГц. Тогда на второй вход смесителя необходимо
подать такую частоту колебания синтезатора частот передатчика (fСПД), чтобы суммарная или разностная
частота выходного сигнала была равна 6 ГГц (fСПД = 6070 МГц или fСПД = 5930
МГц). Выберем частоту синтезатора равной 6070 МГц. Спектры входных сигналов
смесителя показаны на рис. 3.4. Спектр выходного сигнала реального смесителя
содержит спектральные составляющие входных сигналов смесителя (f = 70 МГц), синтезатора (fCПД = 6070 МГц), суммарную (fСПД + fПЧ = 6140 МГц) и разностную (fСПД - fПЧ = 6000 МГц) частоты, рис. 3.5. На
выходе смесителя включен полосовой фильтр, который выделяет спектр выходного
сигнала на рабочей частоте передатчика 6000 МГц, рис. 3.6.
Для определения уровня ослабления побочного канала РПдУ при значении
частоты цифрового передатчика fцп,
выражение (1) имеет вид
A = 10*n*log|fc/(Q(fc - fцп))| (дБ)
Рис.3.4. Спектры входного сигнала и синтезатора частот на входах
смесителя.
Рис. 3.5. Спектр выходного сигнала смесителя
Рис. 3.6. Выделение нижней боковой полосы спектра выходного сигнала
смесителя
Рис. 3.7. Спектр сигнала на выходе полосового фильтра второго порядка
Рис. 3.8. Спектр сигнала на выходе фильтра с прямоугольной АЧХ
Рис. 3.9. Спектр сигнала на выходе полосового фильтра второго порядка при
частоте входного сигнала 150 МГц.
На приемной стороне сигнал (fс = 6 ГГц)
через полосовой фильтр поступает на вход малошумящего усилителя (МШУ),
усиливается на 15 - 20 дБ и поступает на смеситель. Кроме полезного сигнала на
входе смесителя всегда присутствуют некоторая мощность шума (шумы атмосферы,
индустриальные помехи, шумы приемника и др.). На второй вход смесителя
поступает сигнал гетеродина, формируемый синтезатором частот приемника (частота
гетеродина fг = 6070 МГц, или 5930 МГц). Спектры входных сигналов
смесителя показаны на рис.3.10. На выходе смесителя выделяется сигнал
промежуточной частоты, равный разности частот принимаемого сигнала и сигнала
гетеродина (fпр = 70 МГц). Однако при частоте
сигнала гетеродина fг = 6070 МГц и поступлении на вход
смесителя сигнала помехи с частотой fп = 6140 МГц
(рис.3.15), на выходе смесителя также выделится сигнал промежуточной частоты 70
МГц (fп - fг = 6140 - 6070 = 70 МГц). Такой канал приема называется
зеркальным каналом.
fЗК = fC + 2fПР
Подавление (ослабление) зеркального канала может быть обеспечено
полосовым фильтром, установленным в тракте антенна - смеситель и настроенным на
частоту принимаемого сигнала, рис.3.11. В приемопередающих устройствах этот
фильтр одновременно обеспечивает подавление сигнала передатчика (частота
излучение собственного РПдУ всегда отличается от частоты принимаемого сигнала),
поступающего на вход приемного устройства в результате работы на общее антенное
устройства и неидеальной развязки передатчик - приемник. Из рис.3.11 видно, что
при выбранном значении промежуточной частоты приемника 70 МГц, применение
одноконтурного входного фильтра обеспечивает малое ослабление сигнала
зеркального канала. Величина ослабления может быть увеличена как увеличением
промежуточной частоты приемника, рис. 3.12, так и применением фильтров,
обеспечивающих более значительное ослабление сигналов вне полосы рабочих частот
приемного устройства.рис.3.13.
Рис. 3.10. Спектры сигналов на входах смесителя приемника при fпр = 70 МГц
Рис. 3.11. Прием зеркального канала при fпр = 70 МГц
Рис. 3.12. Спектры входных и выходного сигналов смесителя приемника при fпр = 150 МГц
Увеличение промежуточной частоты позволяет значительно ослабить вторую
боковую полосу частот смесителя, но может привести к усложнению схемы РРЛ.
Выражение для вычисления уровня побочных излучений на выходе радиопередающего
устройства имеет вид:
Где
Q -
добротность контура;
fc -
центральная частота выходного сигнала передающего устройства;
f -
частота побочного канала;
n -
порядок полосового фильтра.
При Q(f - fc)
>> 1, A = 10*n*log|fc/(Q*(fc-f))| (дБ) (2.1)
Для определения уровня ослабления побочного канала РПдУ при значении
частоты цифрового передатчика fцп,
выражение (2.1) имеет вид
A = 10*n*log|fc/(Q(fc - fцп))| (дБ)
Выполним расчёт фильтров для подавления побочных излучений и зеркального
канала. Ослабление сигнала верхней боковой полосы частот смесителя на выходе
радиопередающего устройства, более 40 Дб. Для того чтобы диапазоны частот
выходного сигнала передатчика fпрд =
(5880-6120) МГц (диапазон рабочих частот системы связи +-2% от несущей ) и
побочных излучений не перекрывались необходимо выбрать частоту цифрового
передатчика более fцп = 120 МГц, .
Порядок полосового фильтра ослабления побочного канала РПдУ при значении
частоты цифрового передатчика fцп,
можно найти из выражения
A = 10*n*log|fc/(Q(fc - fцп))| (дБ).
Добротность контура Q =
300.
Следовательно
.
Выбираем порядок фильтра равным 2.
Ослабление зеркального канала может быть рассчитано используя выражение
A =
10*n*log|fС/(Q(fС-fЗК))| (дБ) или A =
10*n*log|fС/2QfЦП| (дБ).
Добротность контура Q =
300.
Следовательно
Выбираем порядок фильтра равным 4.
3.4 Выбор полосового фильтра промежуточной частоты в УПЧ РПрУ
Диапазон рабочих частот РПдУ равен ±2% от центральной частоты. Для
центральной частоты рабочего диапазона РПдУ f=6 ГГц диапазон рабочих частот составит:
fпрд = 5880-6120 МГц
При неизменной частоте сигнала цифрового передатчика перестройка РПдУ
обеспечивается изменением частоты его синтезатора частот. Диапазон перестройки
частоты синтезатора составит fcч = fпрд + fцп.
При fцп = 70 МГц, диапазон перестройки
синтезатора частот равен 5950-6190 МГц, для fцп = 150 МГц , диапазон перестройки синтезатора частот равен
6030-6270 МГц. При этом диапазон частот побочного канала излучений на выходе
смесителя сдвига составит f пи =
6020-6260 МГц, при fцп = 70 МГц, и
6180-6420 МГц, при fцп = 150 МГц .
Видно, что диапазоны частот выходного сигнала передатчика fпрд = (5880-6120) МГц и побочных
излучений f пи = 6020-6260, при fцп = 70 МГц перекрываются, поэтому
целесообразно использовать fцп =
150 МГц
радиопередающего устройства (красный цвет, 5.88-6.12 ГГц);
синтезатора частот (синий цвет, 6.03 - 6.27 ГГц);
побочных излучений (зеленый цвет. 6.18-6.42 ГГц);
- АЧХ полосового фильтра (розовый цвет).
Рисунок 3.14 - Диапазоны частот
Для обеспечения высокой крутизна АЧХ вне полосы пропускания фильтра при
большой полосе пропускания и достаточно плоской вершине полосовой фильтр
состоит из двух фильтров второго порядка (два колебательных контура, рисунок
3.15), имеющих достаточно высокую добротность и расстроенных относительно
центральной частоты полосы пропускания. Суммарная АЧХ имеет форму,
приближающуюся к прямоугольной.
K1(f) - АЧХ одноконтурного фильтра с центральной частотой f=5.88 ГГц;
K2(f) - АЧХ одноконтурного фильтра с центральной частотой f=6.12 ГГц;
K3(f) - АЧХ двухконтурного фильтра (суммарная АЧХ).
Рисунок 3.15 - АЧХ двухконтурного фильтра
ФЧХ двухконтурного фильтра имеет большой линейный участок (рисунок 3.16).
Это обеспечивает малую неравномерность времени групповой задержки сигнала в
полосе частот двухконтурного фильтра, рисунок 3.15, и малый уровень линейных
искажений цифрового сигнала на выходе полосового фильтра.
arg(K1(f))
ФЧХ одноконтурного фильтра с центральной частотой f=5.88 ГГц;
arg(K2(f))
ФЧХ одноконтурного фильтра с центральной частотой f=6.12 ГГц;
arg(K3(f)) -
ФЧХ двухконтурного фильтра.
Рисунок 3.16- ФЧХ двухконтурного фильтра
ts1(f) - ГВЗ одноконтурного фильтра с центральной частотой f=5.88 ГГц;
ts2(f) - ГВЗ одноконтурного фильтра с центральной частотой f=6.12 ГГц;
ts3(f) - ГВЗ двухконтурного фильтра.
Рисунок 3.17 - Время групповой задержки сигнала (ГВЗ) в двухконтурном
фильтре
4. РАЗРАБОТКА ФУНКЦИОНАЛЬНОЙ СХЕМЫ ЦИФРОВОГО СИНТЕЗАТОРА ЧАСТОТ
.1 Составление функциональной схемы синтезатора частот
Цифровой синтезатор частоты представляет собой систему фазовой
автоподстройки частоты (ФАПЧ), (рис. 4.1).
Рисунок 4.1. Функциональная схема цифрового синтезатора частоты
.2 Расчет коэффициентов деления для синтезатора частот
Делитель частоты (ДЧ) уменьшает частоту опорного кварцевого генератора
(ОКГ) fокг =10 МГц до частоты сравнения FСР=1 МГц . В этом случае
коэффициент деления делителя частоты равен
Kдч=fокг/Fср=10 МГц/1МГц=10
Частота сравнения ОКГ поступает на один из входов фазового детектора,
который выполняет математическую операцию перемножения входных сигналов. На
второй вход фазового детектора через делитель с переменным коэффициентом
деления (ДПКД) поступает сигнал от генератора, управляемого напряжением (ГУН).
Коэффициента деления делителя с переменным коэффициентом деления
определяется по формуле:
Kдпкд=fгун/Fср=6 ГГц/1 МГц=6000.
Предположим, что частота ГУН отличается от заданного значения fгун на величину ошибки Δ
fгун. Частота на выходе ДНКД будет
равна:
fдпкд=(
fгун+Δ fгун)/ Kдпкд = Fср+ Δ
fгун/ Kдпкд=1МГц + Δ fгун/6000
В этом случае на входы фазового детектора поступают колебания двух
различных частот: Fср - с делителя
частоты и Fср+ Δ fгун/ Kдпкд - с ДПКД.
- сигнал с делителя частоты;
- сигнал с ДПКД.
Фазовый детектор выполняет математическую операцию перемножения входных
сигналов. В результате перемножения на выходе фазового детектора формируется
сигнал суммарной и разностной частоты
И сигнал ошибки
Верхняя частота полосы пропускания фильтра нижних частот значительно
меньше Fср, поэтому на выходе ФНЧ выделяется
только сигнал ошибки. Этот сигнал усиливается и поступает на управляющий вход
ГУН, изменяя частоту ГУН таким образом, чтобы сигнал ошибки был равен нулю. В
этом случае частота выходного сигнала ДПКД равна Fср. В стационарном режиме частота ГУН всегда равна
fгун= Fср∙ Kдпкд =( fокг/Kдч) Kдпкд=(10МГц/10) ∙6000=6ГГц
Если значение Kдпкд увеличить на
1 Kдпкд1= Kдпкд+1, выходная частота станет
равной
fгун1=
Fср∙ Kдпкд1 = Fср∙ (Kдпкд1
+1)= fгун+Fср=6 ГГц+1 МГц
Видно, что изменение коэффициента деления ДПКД на целое число единиц
приводит к изменению частоты выходного сигнала ГУН на величину Fср. Это означает, что частота
выходного сигнала синтезатора частоты может принимать только дискретные
значения, кратные частоте сравнения (говорят, что на выходе формируется сетка
частот с шагом Fср).
Выходной сигнал цифрового синтезатора частоты имеет некоторую паразитную
частотную модуляцию, обусловленную наличием в спектре реального фазового
детектора спектральных составляющих Fср, 2 Fср и т.д. Наиболее опасной является
спектральная составляющая Fср,
так как для нее коэффициент передачи ФНЧ больше, чем для составляющих 2 Fср , 3 Fср и т.д. С выхода ФНЧ спектральная составляющая Fср поступает на управляющий вход ГУН,
что приводит к частотной модуляции выходного сигнала ГУН синусоидальным
напряжением с частотой Fср.
Наличие частотной модуляции приводит к появлению в спектре выходного
сигнала ГУН спектральных составляющих (fгун±Fср),
что недопустимо, так как частоты (fгун±Fср) отведены для работы других
радиопередающих средств. В соответствии с требованиями стандартов, уровень
побочных излучений не должен превышать -70дБ…-80дБ, т.е. составлять
от мощности ГУН частоты fгун. Для обеспечения такого малого
уровня побочных излучений в спектре выходного сигнала ГУН необходимо
использовать фазовые детекторы с малым уровнем спектральных составляющих Fср и значительное ослабление,
вносимое ФНЧ на частоте Fср.
При этом к полосе пропускания ФНЧ предъявляются противоречивые
требования: увеличение полосы пропускания приводит к уменьшению времен
перестройки частоты выходного сигнала, но при этом увеличивается значение
коэффициента передачи ФНЧ на частоте сравнения, что приводит к увеличению
уровня побочных составляющих в спектре выходного сигнала.
Уменьшение коэффициента передачи на частоте Fср может быть обеспечено применением фильтров более высокого
порядка. Однако, ФНЧ более высокого порядка, обеспечивая меньшее значение
коэффициента передачи на частоте Fср,
вносит больший фазовый сдвиг. Максимальный фазовый сдвиг ФНЧ второго порядка
составляет 180°, ФНЧ третьего порядка - 270° и т.д. Это приводит к тому, что
обратная отрицательная связь, реализуемая в схеме ФАПЧ в области нижних частот,
может превратиться в положительную обратную связь и при выполнении условия
баланса амплитуд в петле ФАПЧ возникают колебания самовозбуждения. Поэтому
применение в цепи обратной связи ФАПЧ ФНЧ второго порядка и более высоких
порядков требует анализа устойчивости схемы ФАПЧ.
5. ВЫБОР ЭЛЕМЕНТНОЙ БАЗЫ ДЛЯ РЕАЛИЗАЦИИ ФУНКЦИОНАЛЬНЫХ СХЕМ СВЧ-Т
В настоящее время существует много фирм, выпускающих микросхемы,
работающие в СВЧ диапазоне. Остановимся на микросхемах, выпускаемых фирмой «Hittite»
В соответствии с исходными данными система связи должна обеспечить
передачу цифрового сигнала 151 Мбит/с на расстоянии до 21000 м используя формат
64 КАМ.
В качестве МШУ выбран усилитель HMC-ALH444 (1-12 GHz). Выбор усилителя
представлен в пункте 3.1 Характеристики МШУ и его функциональная схема отражены
в приложении А.
В разделе 3.2 было рассчитано, что усилитель должен иметь значение выходной
мощности в линейном режиме работы не менее P1дБ =124 мВт или 20.9 Дбм. В
качестве усилителя мощности можно применить микросхему HMC451, имеющего полосу
частот равную 5-20 ГГц, и P1дБ =20дБм. Характеристики данного устройства и его
функциональная схема приведены в приложении Г.
В качестве синтезатора частот выбран синтезатор частот ADF 4154. Характеристики данного
устройства и его функциональная схема, как было указано выше, приведены в
приложении Б.
В качестве генератора, управляемого напряжение выбран ГУН HMC431LP4.
Характеристики данного устройства и его функциональная схема представлены в
приложении В.
6. СОСТАВЛЕНИЕ ПОЛНОЙ ФУНКЦИОНАЛЬНОЙ СХЕМЫ ЦСП
Полная функциональная схема будет иметь вид, представленный на рисунке
6.1
Рисунок 6.1 - Функциональная схема приемопередатчика СВЧ
ЗАКЛЮЧЕНИЕ
В ходе выполнения данной работы была построена цифровая система передач
для метода модулятора КАМ-64. При построении системы были рассчитаны отношение
сигнал-шум 33,15 дБ, при котором будет соблюдаться заданная вероятность ошибки.
На основе рассчитанного ОСШ были вычислены основные энергетические
характеристики системы, которые позволили подобрать необходимый выходной
усилитель мощности передатчика, для обеспечения передачи сигнала на расстояние
21 км. Для построения системы передачи была выбраны микросхемы фирмы Hittite
из-за широкой номенклатуры.
Была разработана функциональная схема приема передатчика и рассмотрены
спектральные характеристики на выходе различных узлов, приведены основные
трудности, возникающие при переносе сигнала в СВЧ область: наличие побочных
излучений у передатчика, и возможность приема зеркального канала у приемника.
Было рассчитано, что для ослабления зеркального канала необходим фильтр не
менее 4 порядка.
Для обеспечения несущей частоты в 6 ГГц была разработана функциональная
схема синтезатора и подобраны основные микросхемы для его реализации.
ПРИЛОЖЕНИЕ
Характеристики
малошумящего усилителя HMC-ALH444.
Функциональная схема
Функциональная схема МШУ имеет вид:

Рисунок А.2- Параметры выбранного МШУ
Характеристики синтезатора частот ADF4154 Функциональная схема.
Рисунок Б1 - функциональная схема микросхемы синтезатора частот ADF4154
Рисунок Б2 - Параметры СЧ ADF4154
Характеристики ГУН HMC431LP4. Функциональная схема
Функциональная схема микросхемы ГУН HMC431LP4 представлена на рисунке В1.
Рисунок В1 - функциональная схема микросхемы ГУН HMC431LP4
Основные характеристики ГУН представлены на рисунке В2.
Рисунок В2 - Основные характеристики ГУН
Характеристики широкополосного усилителя HMC451. Функциональная схема
Функциональная схема микросхемы умножителя частоты HMC451 представлена на
рисунке Г1.
Рисунок Г1 -
Функциональная схема усилителя
Основные характеристики УЧ на микросхеме HMC451 представлены на рисунке
Г2
Рисунок Г2 - Основные характеристики усилителя
|
Обозначение
|
Наименование
|
Дополнительные сведения
|
|
Текстовые документы
|
|
|
БГУИР КП 1-45 01 02 01 ПЗ
|
Пояснительная записка
|
49 с.
|
|
Графические документы
|
|
|
БГУИР КП 1-45 01 02 01-Э1
|
Схема электрическая функциональная
|
Формат А3
|