|
0,08 Вт
Рисунок 4 - УГО транзистора KT201A
Таблица 3 - Характеристики
электрические транзистора KT201A[3]
|
ПараметрЗначение
|
|
|
Напряжение питания макс.
|
20 В
|
|
Потребляемый ток макс.
|
0,02 А
|
|
Потребляемая мощность
|
0,15 Вт
|
Реле Т73 двухпозиционное.
Используется для переключения из одного состояния в другое. Коммутация
происходит при протекании тока через базу транзистора.
Рисунок 5 - УГО реле Т73
Таблица 4 - Характеристики
электрические реле Т73[4]
|
ПараметрЗначение
|
|
|
Напряжение питания
|
5 - 48 В
|
|
Потребляемая мощность
|
0,36 - 0,8 Вт
|
.4 Расчет основных узлов и блоков
Для обеспечения охранной системы с
цифровой индикацией напряжением питания и током требуемого уровня необходимо
произвести расчет источника питания. Сначала нужно рассчитать трансформатор,
для этого необходимо задаться основными параметрами источника питанияIн
и Uн. [5]н = 12 (В);н = 0,1 (А);
Определим переменное напряжение на
вторичной обмотке трансформатора.
U2 = B Uн (1)
где B-коэффициент, зависящий от тока
нагрузки,Uн- напряжение на нагрузке, В;
Для Iн = 0,1 А значение
коэффициента B = 0,8.
U2 = 0,8 12 = 9,6 (В);
Произведем расчет тока,
протекающего через каждый диод выпрямительного моста.
Iд = 0,5 С Iн (2)
где C-коэффициент, зависящий от тока
нагрузки, Iн - ток нагрузки, А;
Для Iн = 0,1 А значение
коэффициента C = 2,4.
Iд = 0,5 2,4 0,1 = 0,12 (А);
Рассчитаем обратное
напряжение, которое будет приложено к каждому диоду.
Uобр = 1,5 Uн (3)
где Uн - напряжение на
нагрузке, В;
Uобр = 1,5 12 = 18 (В);
Исходя из рассчитанных
значений Iд и Uобр, выбираем тип диодов выпрямительного
моста.
Выпрямительный диод Д7А.
Таблица 5 - Характеристики
электрические диода Д7А [6]
|
ПараметрЗначение
|
|
|
Прямой ток
|
0,3 А
|
|
Обратное напряжение
|
50 В
|
|
Пороговый ток
|
1 А
|
|
Температура нормальной работы
|
50 C
|
|
Рабочая частота
|
2 кГц
|
Определяем емкость
конденсатора-фильтра.
Cф = 3200 Iн / Uн Kп (4)
где Iн - ток нагрузки,
А;Uн - напряжение нагрузки, В;Kп - коэффициент пульсаций
выпрямленного напряжения.
Коэффициент пульсаций выпрямленного
напряжения Kп = 100.
Cф = 3200 0,1 / 12 100 = 0,26 (мкФ);
Исходя из рассчитанного
значения Cф, выбираем тип конденсатора-фильтра.
Конденсатор К10-17Б.
Таблица 6 -
Характеристики электрические конденсатора К10-17Б[6]
|
ПараметрЗначение
|
|
|
Емкость
|
0,33 мкФ
|
|
Допустимые отклонения
|
+80-20%
|
|
Напряжение питания
|
50 В
|
Рассчитаем максимальное значение
тока, протекающего через вторичную обмотку трансформатора.
I2 = 1,5 Iн (5)
где Iн - ток нагрузки, А;
I2 = 1,5 0,1 = 0,15 (А);
Определим мощность,
потребляемую выпрямителем от вторичной обмотки трансформатора.
P2 = U2 I2 (6)
P2 = 9,6 0,15 = 1,44 (Вт);
Исходя из расчетов P2,
определяем мощность трансформатора.
Pтр = 1,25 P2 (7)
Где P2-
максимальнаямощность, потребляемая от вторичной обмотки, Вт;
Pтр = 1,25 1,44 = 1,8 (Вт);
Определим ток,
протекающий через первичную обмотку трансформатора.
1 = Pтр / U1 (8)
где Pтр - мощность
трансформатора, Вт;U1-напряжение на первичной обмотке
трансформатора, В;
За значение напряжения на первичной
обмотке трансформатора принимается рабочее напряжение электросети U1
= 220 В.1 = 1,8 / 220 = 0,0081 (А);
Рассчитаем необходимую площадь
сечения сердечника магнитопровода.
S = 1,3 Pтр (9)
где Pтр - мощность
трансформатора, Вт;
S = 1,3 1,8 = 2,34 (см2);
Определим число витков
первичной обмотки трансформатора.
W1 = 50 U1 / S (10)
где U1-напряжение на
первичной обмотке трансформатора, В;S-площадь сечения сердечника
магнитопровода, см2;
W1 = 50 220 / 2,34 = 4700
(витков);
Определим число витков
вторичной обмотки трансформатора.
W2 = 55 U2 / S (11)
где U2-напряжение на
вторичной обмотке трансформатора, В; S-площадь сечения сердечника
магнитопровода, см2;
W2 = 55 9,6 / 2,34 = 225
(витков);
Выбираем диаметр провода обмоток d.=0,1 (мм).
охранная система цифровая индикация
Выбираем тип трансформатора
Трансформатор сетевого напряжения ТПП224
Таблица 7 - Характеристики электрические трансформатора ТПП224[6]
|
ПараметрЗначение
|
|
|
Ток нагрузки
|
0,1 А
|
|
Напряжение на нагрузке
|
12 В
|
|
Напряжение перв. обмотки
|
220 В
|
|
Напряжение втор.обмотки
|
9,6 В
|
|
Ток перв. обмотки
|
0,0081 А
|
|
Ток втор.обмотки
|
0,15 А
|
|
Мощность
|
1,8 Вт
|
|
Число витков перв. обмотки
|
4700 витков
|
|
Число витков втор.обмотки
|
225 витков
|
|
Площадь сеч.серд. магнитопровода
|
2,34 см2
|
|
Диаметр провода обмоток
|
0,1 мм
|
Трансформатор не может идеально
понизить напряжение до заданного значения, поэтому необходимо выбрать
стабилизатор напряжения. Выбор производится, исходя из значений напряжения на
нагрузке и тока нагрузки.
Стабилизатор напряжения К142ЕН1Б
Таблица 8 - Характеристики
электрические стабилизатора напряжения К142ЕН1Б [5]
|
ПараметрЗначение
|
|
|
Напряжение стабилизации
|
3 - 12 В
|
|
Допустимые отклонения
|
±0,1 В
|
|
Ток нагрузки макс.
|
0,15 А
|
|
Рассеиваемая мощность макс.
|
0,8 Вт
|
|
Потребляемый ток
|
0,004 А
|
Для обеспечения микросхемы DD1
напряжением питания необходимого уровня рассчитаем необходимое значение
сопротивления и, исходя из расчетов, выберем тип резистора.
DD1 = Uп DD1 / Iн,
(12)
где RDD1 - значение
сопротивления резистора R2, Uп DD1-напряжения питания цифровой
микросхемы DD1, Iн - ток нагрузки.= 5 / 0,1 = 50 (Ом);
Выбираем конкретный тип резистора R2
[2]- МЛТ-0,125-50Ом±5%;
Для обеспечения индикатора HG1
напряжением питания необходимого уровня рассчитаем необходимое значение
сопротивления и, исходя из расчетов, выберем тип резисторов.
HG1 = UпHG1 / Iп, (13)
где RHG1 - значение
сопротивления резисторов R1и R3, Uп HG1-напряжение питания
индикатора HG1, Iп - ток, потребляемый индикатором HG1.HG1
= 2,5 / 0,15 = 16,6 (Ом);
Рассчитаем значение сопротивления
резистораR4датчика, подключенного к базе транзистора и выберем тип резистора.
[6]
RVT1 = UпVT1 /
Iн,
(14)
гдеRVT1 - сопротивление
резистора, подключенного к базе транзистора VT1, Uп VT1-напряжение
питания транзистора VT1, Iн - ток нагрузки.VT1 = 12 / 0,1
= 120 (Ом);
Выбираем конкретный тип резистора
R4. [6]- МЛТ-0,5-120Ом±10%;
Выбираем конденсаторыC1, C2, C3, C4в
соответствии со значением напряжения на нагрузке.
Выбираем конкретный тип конденсатора
C1, C2, C3, C4. [6], C2, C3, C4 - К10-23-16В-330пФ±10%;
Выбираем катушки L1 и L2 для
колебательного контура радиопередатчика и радиоприемника.
Выбираем конкретный тип катушки L1,
L2 [6], L2 - RCH855-5мГн+15%;
Антенны WA1 и WA2 изготавливаются в
виде дорожек на печатной плате. Антенны-дорожки располагаются на расстоянии не
менее 5 мм от остальных цепей устройства и имеют одинаковую длину.
Переключатель K1 - является кнопкой
включения питания.- контакт на размыкание, являющийся охранным шлейфом.
Расчет потребляемой мощности можно
произвести путем сложения мощности каждого отдельного элемента схемы, не считая
индуктивности и емкости.
Таблица 9 - Расчет потребляемой
мощности
|
Элемент
|
Потребляемая мощность, Вт
|
|
Одного элемента
|
Всего
|
|
Микросхема К155ЛИ1 [табл. 1]
|
0,0354
|
0,1416
|
|
Индикатор BS-A402RDG [табл. 2]
|
0,08
|
|
Диод Д7А [табл. 5]
|
0,25 - 1,2
|
3,9
|
|
Транзистор КТ201А [табл. 3]
|
0,15
|
|
Мощность, потребляемая схемой
|
4,2716
|
Рассчитаем ток, потребляемый схемой.
[5]
=P/U, (15)
Где I - ток, потребляемый схемой,
P-мощность, потребляемая схемой, U-напряжение питания.= 4,2716/ 12 = 0,35 А.
.5 Разработка электрической
принципиальной схемы
В соответствии с электрической
структурной схемой охранной системы с цифровой индикацией, а также с учетом
выбранной элементной базы, разрабатываем принципиальную схему цифрового
устройства.
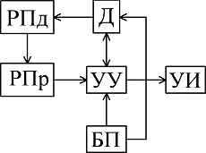
Датчик (Д)
Датчик, реагирующий на взлом,
построен на транзисторе VT1, реле K1, резисторе R2 и охранном шлейфе K2. В роли
охранного шлейфа может выступать тонкий провод либо контакт на размыкание.
Рисунок 6 - Электрическая
принципиальная схема датчика
Устройство управления (УУ)
Устройство управления построено на
микросхеме К155ЛИ1 и переключателе K1, служащим для подачи питания.
Рисунок 7 - Электрическая
принципиальная схема устройства управления (а - кнопка включения питания, б -
микросхема К155ЛИ1)
Устройство индикации (УИ)
Устройство индикации построено на
семисегментном индикаторе HG1. Также в схеме устройства индикации используются
диоды VD4-VD9, которые нужны для обеспечения одностороннего направления течения
тока.
Рисунок 8 - Электрическая
принципиальная схема устройства индикации
Радиоприемник (РПр)
Построен на конденсаторе C2, диоде
VD1,антенне W1,конденсаторе и катушке C1 и L1 соответственно, образующих
колебательный контур.
Рисунок 9 - Электрическая
принципиальная схема радиоприемника
Радиопередатчик (РПд)
Построен на тех же элементах
(конденсаторы C3, C4, диод VD14, катушка L2, антенна W2), что и радиоприемник,
но имеет обратную схему включения.
Рисунок 10 - Электрическая
принципиальная схема радиопередатчика
Блок питания (БП)
Построен на трансформаторе сетевого
напряжения T1, диодном мостеVD10-VD13, емкостном фильтре Cф и
линейном стабилизаторе напряженияDA1.
Рисунок 11 - Электрическая
принципиальная схема блока питания
.6 Принцип действия
При включении охранной системы
тумблером SB1 на табло индикатора HG1 отображается цифра 0. Цифра 0 означает,
что охранная система находится в рабочем состоянии ожидания взлома.
При размыкании охранного шлейфа K2,
база транзистора VT1 оказывается подключенной к источнику питания через
резистор R2. Транзистор открывается, и между коллектором и эмиттером начинает
протекать ток, в результате чего срабатывает реле K1. Электрический сигнал от
датчика поступит на входы Cи Dмикросхемы DD1. На выходе CD микросхемы DD1
установится уровень напряжения логической единицы. Сигнал от микросхемы
поступит на входы A, B, C, D, E, F, G индикатора HL1 и на его табло отобразится
цифра 8, сигнализирующая о взломе.
Когда связь между датчиком и
устройством управления отсутствует, сигнал передается посредством радиосвязи.
Сигнал поступает на радиопередатчик, в колебательном контуре, состоящем из
емкости C4 и индуктивности L2 модулируется в радиоволны и излучается антенной
А2. Радиоволна антенной А1 радиоприемника, в колебательном контуре, состоящем
из емкости C1 и индуктивности L1 преобразуется в электрический сигнал. Сигнал
поступает на микросхему D1 и затем на индикатор HG1.
2. Энерго- и материалосбережение
На этапе проектирования устройства
была произведена грамотная компоновка схемы с целью создания компактного
устройства, также для этого элементы объединялись в отдельные друг от друга
группы, каждая из которых несла в себе определенную функциональную значимость.
Группирование элементов позволило сделать линии связи более короткими, что
также значительно влияет на компактность устройства. При монтаже элементов на
печатную плату важно экономично расходовать припой и флюс, а также не держать
паяльник включенным, когда он не используется.
С целью обеспечения низкого энергопотребления
устройства при его непосредственной работе, предпочтение, при выборе элементной
базы, отдавалось маломощным элементам, так как в устройстве присутствуют
элементы, которые по своей природе потребляют достаточно много мощности. В
итоге получилось, что маломощные элементы компенсируют те затраты энергии,
которые расходуют высокомощные элементы. В целом устройство, благодаря такому
соотношению энергопотребления, получилось рентабельным в плане
энергопотребления.
При утилизации устройства необходимо
классифицировать его элементы на черные, цветные либо драгоценные металлы, а
уже потом их можно отправлять на дальнейшую переработку, например лом. Что же
касается печатной платы устройства, то здесь два варианта: либо отправить
печатную плату также на утилизацию, либо ее можно использовать для монтажа
элементов, при создании другого устройства, схемотехника которого не сильно
отличается по сложности от схемотехники данного устройства.
3. Охрана труда
При разработке устройства, особенно
на этапе монтажа элементов на печатную плату, необходимо соблюдать меры
предосторожности. Паяльник должен быть в исправном состоянии, его провод не
должен иметь никаких переломов, изгибов, изоляция паяльника должна быть целой.
Сам паяльник должен иметь специальную подставку, которая надежно фиксирует его
и не позволяет ему случайным образом выпасть. Чтобы случайно не получить
термических ожогов, паяльник на подставке размещается на безопасном расстоянии
от человека работающего с ним. При пайке элементов используется флюс, который
из-за высокой температуры жала паяльника частично испаряется, а для удаления
лишнего флюса с печатной платы используется растворитель, а это значит, что
помещение, в котором осуществляется монтаж элементов, должно быть оснащено
специальными вытяжками, а также должно хорошо и регулярно проветриваться, а сам
работающий должен делать перерывы в работе.
Устройство должно иметь корпус,
который надежно закрывает все токоведущие части, чтобы при его работе
пользователь данного устройства не получил электрических травм. Общий ток
потребляемый схемой является большим и представляет некоторую опасность для
здоровья человека, но токи на отдельных участках цепи очень малы и не могут
нанести здоровью человека значительного ущерба. Таким образом устройство в плане
электробезопасности не представляет никакой угрозы, за исключением его блока
питания, в котором протекают большие токи.
При утилизации устройства, в
частности, при демонтаже элементов, необходимо соблюдать те же правила
предосторожности, что и при разработке устройства. В данном случае опасность
представляет паяльное оборудование, правила работы с которым уже были
рассмотрены.
4. Охрана окружающей среды
При непосредственной работе
устройство не представляет никакой угрозы для окружающей среды, так как оно
практически безвредно, а вредное воздействие оказываемое им ничтожно мало. К
таким воздействиям можно отнести электромагнитное излучение и радиоволны.
При утилизации устройства ни в коем
случае нельзя утилизировать элементы как бытовые отходы, так как все они в
определенных условиях могут стать химически активными. Все элементы устройства
должны быть классифицированы по способу утилизации и соответственно утилизированы
по назначению. Также стоит утилизировать неизрасходованные ненужные материалы,
потому что они в первую очередь представляют угрозу окружающей среде.
Заключение
Согласно индивидуальному варианту
задания было разработано электронное устройство на базе интегральной микросхемы
- охранная система с цифровой индикацией. В процессе проектирования были
созданы электрическая структурная и принципиальная схемы, была выбрана и
рассчитана элементная база, на которой построено устройство, а также была
описана специфика проектирования, эксплуатации и утилизации данного устройства.
Для разработки устройства
использовалась специализированная литература, в которой описаны основные
принципы расчета источника питания для устройства и элементной базы. Также при
проектировании использовалось специализированное программное обеспечение, в
частности SPlan- для создания электрической структурной и принципиальной схем
устройства, а также MSOfficeWord-для оформления текста пояснительной записки.
Похожие работы на - Разработка охранной системы с цифровой индикацией
|