Расчет основных параметров горения и тушения пожара газового фонтана
МИНИСТЕРСТВО
РОССИЙСКОЙ ФЕДЕРАЦИИ
ПО
ДЕЛАМ ГРАЖДАНСКОЙ ОБОРОНЫ, ЧРЕЗВЫЧАЙНЫМ СИТУАЦИЯМ И ЛИКВИДАЦИИ ПОСЛЕДСТВИЙ
СТИХИЙНЫХ БЕДСТВИЙ
Академия
Государственной противопожарной службы
Курсовая
работа по дисциплине
«Физико-химические
основы развития и тушения пожаров»
Тема:
«Расчет основных параметров горения и тушения пожара газового фонтана»
Выполнил: слушатель
4 курса ИЗ и ДО
группы 52126С ст.
сержант Гагилев А.В.
Москва
Задание на курсовой проект
Состав газового фонтана
φ(метан)
= 80%
Диаметр устьевого оборудования 200мм
Высота факела пламени 18м
Химический недожог ηх = 0,15
Другие известные параметры
Введение
Особенности тушения пожаров.
Нефтяная и газовая промышленность
играет важную роль в ускорении технического прогресса. Большой прирост добычи
газа обеспечивается значительным увеличением работ по бурению эксплуатационных
и разведочных скважин. Знание технологии бурения и эксплуатации скважин
необходимы для правильной организации тушения пожаров на нефтяных и газовых
промыслах. Причин аварийного фонтанирования встречается много, которые требуют
специального изучения, в целом можно сказать, что характер фонтанирования
зависит от состояния устья скважины и ее конструкции, а также от вида
проводимых работ на скважине.
Пожары на открыто фонтанирующих
газонефтяных скважинах являются одними из наиболее сложных видов промышленных
аварий. Борьба с пожарами на нефтяных и газовых месторождениях, часто
находящихся в труднодоступных районах, требует привлечения огромных
материально-технических ресурсов и может длиться неделями, а иногда и месяцами.
Вред, нанесенный окружающей среде в зоне пожара и прилегающих районах, точно
оценить практически невозможно. Некоторое представление о пожаре на
фонтанирующей скважине можно получить по следующим данным: дебит мощных газовых
фонтанов может достигать 10 - 20 млн. кубометров в сутки, высота горящего
факела - 80 - 100 м, а интенсивность тепловыделения в факеле - несколько млн.
кВт.
Пожары фонтанов (скважин)
характеризуются в основном по следующим признакам:
По составу: нефтяные, где нефти >
50 %; газонефтяные 10-50 % нефти; газовые > 90 % газа.
По внешним признакам можно различать
их по виду пламени и выпадению нефти на площадь, окружающую скважину.
По конфигурации пламени: компактная
(фонтанирование происходит через открытую обсадную или горизонтальную трубу или
эксплуатационную колонну, тройник, крестовину); распыленная (истечение
происходит через неплотности или устье загромождено буровым оборудованием);
комбинированная (имеется распыленный и компактный факел).
По количеству скважин: одиночные и
групповые.
По дебиту: (расходу) фонтанирующие
скважины можно разделить на слабые, средние и мощные.
Одним из основных параметров
фонтана, определяющих условия и способ тушения пожара, является дебит скважины.
Дебит скважины определяет служба
соответствующей организации добычи нефти или газа и выдает данные в штаб
организации и борьбы с фонтанами.
Существует несколько способов
определения дебита, основными из которых являются: геологическая характеристика
скважин, геометрические размеры пламени, газодинамические параметры,
фотометрический, акустический, т. е. по уровню шума.
Плотность тепловых потоков зависит
от ряда факторов, т. е. дебита, температуры пламени и его площади и др. g =
f(Q,,tпл, Sф).
Плотность тепловых потоков можно
снизить за счет подачи воды в струю фонтана, создания экрана и применения
средств индивидуальной защиты.
Особенности обстановки пожара.
Аварийное фонтанирование до воспламенения может продолжаться несколько суток, в
результате вблизи фонтана (скважины) образуется зона загазованности и
растекания нефти (загазованность на несколько километров, а разлив на сотни
метров), а если фонтанирование происходит на море, то значительная площадь
поверхности водыпокрывается нефтью.
Через 15-30 мин после воспламенения
фонтана металлоконструкции в зоне пламени теряют несущую способность,
деформируются и загромождают устья. С течением времени от воздействия пламени,
воды, нефти или газа может происходить ослабление крепления устьевого
оборудования, повреждение скважины может привести к изменению вида
фонтанирования, состава струи или дебита.
Все организационные и технические
мероприятия по тушению и ликвидации фонтана осуществляются под руководством
штаба, в соответствии с Инструкцией по безопасному ведению работ при ликвидации
открытых газовых и нефтяных фонтанов.
Для ликвидации пожара (аварии)
приказом по объединению (управлению, министерству) создается штаб, который
несет ответственность за состояние и результаты проведения работ.
Ответственным руководителем этих
работ (штаба) назначают представителя этого ведомства.
Действия пожарных подразделений
проводят с учетом решений штаба, в состав которых входит один из руководителей
пожарной охраны УПО, ОПО.
Кроме пожарной службы создаются
другие: транспортная, водоснабжения, строительная, медицинская, КПП, связи,
подготовки, оборудования, снабжения и питания.
Задачами пожарной службы являются:
обеспечение водяной защиты людей, работающих на устье скважины, орошение
фонтана и металлоконструкций, организация и тушение пожара.
При организации тушения фонтанов
большое значение придается проведению подготовительных работ:
создание расчетных запасов воды;
расчистка места пожара от оборудования и металлоконструкций; развертывание
средств тушения и подготовка площадок для боевых позиций сил и средств;
осуществление мероприятий, связанных с отводом и сбором нефти после тушения,
защита ближайших объектов, населенных пунктов и т. д.
Если нет естественных или специальных
водоисточников, создают искусственные водоемы, запас воды, которых должен
обеспечивать бесперебойную работу подразделений в течение светлого времени
суток с пополнением запаса воды. Поэтому для хранения данного запаса воды
сооружаются специальные водоемы. Они должны располагаться в безопасных местах,
с двух противоположных сторон относительно устья скважины, перпендикулярно
направлению господствующего ветра на расстоянии 150-200 м от устья, водоемы
должны иметь площадку на 10-15 автомобилей.
Расчет основных параметров горения
газового фонтана
Дебит газового фонтана (D, млн.
м3/сутки) рассчитывается из высоты пламени:
Секундный расход газа
составит
Рассчитаем теплоту
сгорания (−
= Qн) исходных веществ, опираясь на первое следствие из закона Гесса. Запишем
уравнения реакции их окисления
+2(O2+3,76N2)
CO2+2H2O+2
3,76N2H10+6,5(O2+3,76N2)
4CO2+5H2O+6,5
3,76N2S+3/2(O2+3,76N2)
H2O+SO2+3/2
3,76N2
Найдем теплоты сгорания
веществ:
Рассчитаем теплоту
горения:
Молекулярная масса
горючего газа равна:
Коэффициент теплопотерь
за счет излучения пламени фонтана составит
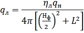
Задаваясь произвольно L,
определяем qл
Для примера произведем
расчет при L= 10 м, остальные значения и расчеты сведем в таблицу 1
Таблица 1
|
№ п/п
|
Расстояние до скважины L,м
|
Мощность излучения пламени, q,кВт/м2
|
|
5
|
50,0
|
|
10
|
29,3
|
|
20
|
11,0
|
|
30
|
5,4
|
|
40
|
3,2
|
|
50
|
2,1
|
|
60
|
1,4
|
|
70
|
1,1
|
|
80
|
0,8
|
|
90
|
0,6
|
|
100
|
0,5
|
|
110
|
0,4
|
Рис. 1. Зависимость мощности
теплового потока от расстояния до устья скважины
Построенный график можно
использовать для определения границ локальных зон теплового воздействия факела
горящего фонтана, на которых уровень облученности составляет 4,2, 8,4, 10,5,
14,0 кВт/м2, путем нахождения расстояния от точки, имеющей величины теплового
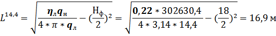
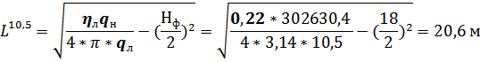
потока, до устья скважины. Также границы зон можно определить из формулы,
подставив в нее известные значения, считая неизвестной величиной расстояние L.
Заносим в таблицу расстояния
соответствующих зон теплового воздействия пламени
Таблица 2
|
Зоны теплового воздействия пламени
|
Граница зоны до устья скважины, м
|
|
I
|
34,4
|
|
II
|
24,45
|
|
III
|
20,6
|
|
IV
|
16,9
|
За адиабатическую температуру
потухания как предельный параметр процесса горения может быть принята
адиабатическая температура горения на нижнем концентрационном пределе
распространения пламени (НКПР)
Определяется НКПР для
индивидуальных компонентов смеси (СН4C4H10 и Н2S) по аппроксимационной формуле
или выбирается из таблицы 1 приложения: для метана 
= 5,3 %, для бутана
= 1,8 %, для
сероводорода 
= 4,3 %.
По формуле Ле-Шателье
рассчитывается НКПР смеси газов, для этого доля горючих компонентов приводится
к единице (т.е100 %)
Для нахождения
коэффициента избытка воздуха на НКПР для данной смеси газов рассчитаем
теоретический объём воздуха:
Отсюдакоэффициент
избытка воздуха: 
Тогда избыток воздуха: ΔVв=
*(1,921) =20,57 м3/м3
Для расчёта
адиабатической температуры потухания методом последовательных приближений - из
уравнения химической реакции горения определяется объём и состав продуктов
горения
Найдем продукты горения

Общий объём продуктов
горения с учётом избытка воздуха
рассчитывается среднее
теплосодержание продуктов горения
по таблице 2
приложения(методических указаний) определяется первая приближённая температура,
ориентируясь на азот, количество которого в продуктах горения наибольшее,
Т1 = 800оС;
рассчитывается
теплосодержание при этой температуре

- проводится сравнение 
и 
. Видно, что 
>
, следовательно, Т1
занижена, задаётся Т2 > Т1, Т2 = 900 оС.
Т2 = 900оС;
рассчитывается
теплосодержание при этой температуре

проводится сравнение 
и 
. Видно, что 
, следовательно,
истинная температура потухания находится между температурами Т1 и Т2. Методом
линейной интерполяции находится температура потухания.
Расчёт теплосодержания
теоретического объёма продуктов горения при температуре потухания проводится
методом последовательных приближений с линейной интерполяцией, для чего
используются данные табл. 2 приложения(методических указаний):
теплосодержание
продуктов горения при температуре потухания
количество тепла,
которое должно быть отведено от зоны горения огнетушащим средством
отвод тепла от зоны
пламени происходит в результате нагрева воды от начальной температуры до
температуры потухания. Охлаждающий эффект воды определяется по формуле:

= 4,2*(100-20) + 2260 +
2,52*(1112-100) = 5146 кДж/кг(л).
Минимальный секундный
расход воды
По таблице 3 приложения
находится фактический (нормативный) секундный расход воды на тушение фонтана
дебитом 0,81 млн м 3 /сутки, истекающим из скважины диаметром 200 мм.
Рассчитаем методом линейной интерполяции
Фактический удельный
расход воды
Коэффициент
использования огнетушащего средства составит:
Заполняем итоговую
таблицу
Таблица 3
|
Дебитфонтана, млн м3/сут
|
Теплота пожара, кВт
|
Границы зон теплового воздействияпожара, м
|
Удельный расходводы, л/м3
|
Коэффициент использования
|
|
|
Мощность теплового потока, кВт/м2
|
Расчетн.
|
фактич
|
|
|
|
4,2
|
8,4
|
10,5
|
14,0
|
|
|
|
|
0,81
|
|
34,4
|
24,45
|
20,6
|
16,9
|
4,53
|
10,92
|
0,42
|
Выводы
факел газовый фонтан горение
В результате проведенных
расчетов определены основные параметры горения газового фонтана: мощность
фонтана (
млн м3/сут), теплота
горения, интенсивность лучистого теплового потока в зависимости от расстояния
до устья скважины.
Требуемый секундный
расход воды,, обеспечивающий прекращение горения газового фонтана с дебитом 
млн. м3/сут, составляет 
/с.
Следует отметить, что
граница зоны I находиться на расстоянии 34,4 м от устья скважины. Так как
дальность компактной струи меньше указанного расстояния, то участникам тушения
пожара необходимо находиться ближе указанного расстояния. В таком случае
участникам тушения пожара необходимо находиться в теплозащитных
(теплоотражающих) костюмах. Так же используются активные методы защиты
ствольщиков, таких как, например, охлаждение водой самих ствольщиков, наиболее
близко находящихся к устью. Используются защитные экраны, для ослабления
интенсивности потока.
При тушении таких
пожаров - прокладываются от водоемов к фонтану металлические трубопроводы
диаметром 100 - 150 мм, оборудованные рукавными головками и задвижками;
в зоне высоких
температур, как правило, прокладываются напорные рукава на льняной основе;
Данные принципы
позволяют располагать пожарную технику на безопасном расстоянии.
обеспечить защиту
личного состава подразделений ГПС от высокого уровня шума, используя для этого
заглушки, антифоны, противошумные наушники и т. п.;
организовать
эшелонированную защиту ствольщиков от воздействия тепловой радиации;
назначить лицо из
состава оперативного штаба пожаротушения для контроля за соблюдением правил по
охране труда;
организовать после
тушения пожара (ликвидации аварии) санитарную обработку личного состава
подразделений ГПС и дегазацию техники (при необходимости).
Список использованной
литературы
1. Абдурагимов И.М.,
Говоров В.Ю., Макаров В.Е. Физико-химические основы развития и тушения пожаров.
- М: ВИНИТИ, 1980. - 256 с.
2. Баратов А.Н.
Горение - пожар - взрыв - безопасность. М.: ФГУ ВНИИПО МЧС России, 2003. - 363
с.
. Иванников В.П.,
Клюс П.П. Справочник руководителя тушения пожара. -М.: Стройиздат, 1987. - 288
с.: ил.
. Корольченко
А.Я. Корольченко Д.Я. Пожаровзрывоопасность веществ и материалов и средства их
тушения. Справочник: в 2-х ч. М.: Асс. «Пожнаука», 2004. - Ч.1. 713 с; Ч.2. 774
с.
. Корольченко
А.Я. Процессы горения и взрыва. - М.: Пожнаука, 2007. 266 с.
. Краткий
справочник физико-химических величин / Под ред. А.А. Равделя и А.М.
Пономаревой. - С.Пб.: Изд-во «Иван Федоров», 2002. - 240 с.
. Положение о
Единой государственной системе предупреждения и ликвидации чрезвычайных
ситуаций природного и техногенного характера. Утверждено постановлением
Правительства РФ № 1113 от 5 ноября 1995 г.
. Рекомендации по
тушению пожаров газовых и нефтяных фонтанов. М.: РИО ВИПТШ МВД СССР, 1976. -
83с.
. Теребнев В.В.,
Артемьев Н.С., Подгрушный А.В., Тараканов Д.В. Пожаротушение на объектах
добычи, переработки и хранения горючих жидкостей и газов. - М.: Изд-во «Калан»,
2009. - 244 с.