Расчет параметров выгорания жидкостей и газов
СОДЕРЖАНИЕ
Введение
1.
Теоретические вопросы
1.1 Тепловая теория прекращения
горения
.2 Твердотопливные
аэрозолиобразующие составы
2. Методика
расчетов
2.1 Методика расчета теоретического
расхода воды, требуемого для прекращения горения газового фонтана
.2 Методика расчета теоретического
расхода воды, требуемой для прекращения горения жидкости в резервуаре
3.
Расчетная часть
3.1 Теоретический расчет расхода
воды, требуемого для прекращения горения газового фонтана и безопасного
расстояния для личного состава при тушении газового фонтана
.2 Теоретический расчет расхода
воды, требуемого для прекращения горения жидкости в резервуаре
Заключение
Список литературы
Введение
Увеличивающаяся с каждым годом добыча нефти и
газа, ежегодный объем которой в настоящее время в стране составляет сотни млрд.
м3, повышает вероятность аварийных ситуаций, которые могут сопровождаться
крупными пожарами, большими материальными потерями, ухудшением экологической
обстановки в зоне пожара и прилегающих районах, а нередко и человеческими
жертвами. Это обусловливается отказом механизмов, нарушением технологии добычи,
природными катастрофами и приводит к серьёзным авариям.
Борьба с пожарами на нефтяных и газовых
месторождениях, часто находящихся в труднодоступных районах, требует привлечения
огромных материально-технических ресурсов и может длиться неделями. Затраты на
тушение нередко составляют миллионы рублей. Вред, нанесённый окружающей среде в
зоне пожара и прилегающих районах, точно оценить практически невозможно.
Пожары на открыто фонтанирующих газонефтяных
скважинах являются одними из наиболее сложных видов промышленных аварий.
Некоторое представление о пожаре на
фонтанирующей скважине можно получить по следующим данным: дебит мощных газовых
фонтанов может достигать 10 - 20 миллионов кубометров в сутки, высота горящего
факела - 80 - 100 м, а интенсивность тепловыделения в факеле - несколько
миллионов киловатт.
Целью курсовой работы «Теоретические основы и
расчет параметров тушения газов и жидкостей» является выработка навыков использования
теоретических знаний, полученных при изучении дисциплины «Физико-химические
основы развития и тушения пожаров» при проведении расчетов параметров пожаров и
расхода огнетушащих веществ.
1. ТЕОРЕТИЧЕСКИЕ ВОПРОСЫ
.1 Тепловая теория прекращения горения
Согласно тепловой теории потухания прекращение
горения наступает в результате понижения температуры пламени до некоторой
критической величины, называемой температурой потухания Тпот. Это достигается
путем увеличения интенсивности теплоотвода из зоны горения и (или) уменьшением
интенсивности тепловыделения за счет снижения скорости реакции горения.
В результате введения воды в зону горения часть
тепла химической реакции начинает затрачиваться на нагрев, испарение воды и
нагрев образующегося пара. Учитывая высокие теплоёмкости воды и водяного пара,
а также теплоту парообразования, всё это приводит к снижению температуры зоны
горения. В то же время появление водяного пара уменьшает концентрацию молекул
горючего и окислителя в зоне горения, т.е. приводит к ее разбавлению и снижению
скорости реакции горения, а значит и тепловыделения. Согласно тепловой теории,
адиабатическая температура потухания кинетического пламени может быть легко
найдена, если известна адиабатическая температура пламени. Для углеводородных
горючих Тпот, как правило, составляет около 1000 оС.
Все способы прекращения горения по принципу, на
котором основано условие прекращения горения, можно разделить на четыре группы:
способы охлаждения зоны горения или горящего
вещества;
способы разбавления реагирующих веществ;
способы изоляции реагирующих веществ от зоны
горения;
способы химического торможения реакции горения.
Вид огнетушащего средства, применяемого для
прекращения горения, зависит от обстановки на пожаре и, в основном,
определяется:
свойствами и состоянием горящего материала;
наличием на пожаре огнетушащих средств и их
количества;
группой пожара (в открытом пространстве, в
ограждениях);
условиями газообмена в помещении;
параметрами пожара, определяющими способ
прекращения горения (объемом помещения);
трудоемкостью и безопасностью работ
подразделений по прекращению горения;
эффективностью огнетушащего средства.
Следует отметить, что огнетушащие средства,
поступая в зону горения, действуют комплексно, а не избирательно, т. е.
одновременно производят, например, охлаждение горящего материала и разбавление
его паров или газов. Однако в зависимости от свойств огнетушащего средства, его
физического состояния и свойств горящего материала к прекращению горения может
привести только один из этих процессов, другой же только способствует
прекращению горения.
Например, ВМП средней кратности при тушении
бензина охлаждает верхний слой его и одновременно изолирует от зоны горения.
Основным процессом, приводящим к прекращению горения бензина, является изоляция,
так как пена, имеющая температуру 5-15°С, не может охладить бензин ниже его
температуры вспышки минус 35°С.
В зависимости от основного процесса, приводящего
к прекращению горения, все наиболее распространенные способы можно отнести к
группам.
Способы охлаждения - охлаждение сплошными
струями воды; охлаждение распыленными струями воды; охлаждение перемешиванием
горючих материалов.
Способы разбавления - разбавление струями
тонкораспыленной воды; разбавление горючих жидкостей водой; разбавление негорючими
парами и газами.
Способы изоляции - изоляция слоем пены; изоляция
слоем продуктов взрыва ВВ; изоляция созданием разрыва в горючем веществе;
изоляция слоем огнетушащего порошка; изоляция огнезащитными полосами.
Способы химического торможения реакции горения -
торможение реакций огнетушащими порошками; торможение реакций
галоидопроизводными углеводородами.
.2 Твердотопливные аэрозолиобразующие составы
АЭРОЗОЛЕОБРАЗУЮЩИЙ ОГНЕТУШАЩИЙ СОСТАВ (АОС) -
твердотопливная композиция, способная к самостоятельному горению с образованием
огнетушащего аэрозоля, применяемого для объёмного пожаротушения. АОС
представляет собой химическую систему, основой которой является
конденсированная смесь окислителей и горючих компонентов с целевыми и
технологическими добавками. Окислителями в типовых АОС являются в осн.
кислородосодержащие соли калия: нитрат (селитра) KNO3 и (или) перхлорат KClO4,
реже - нитраты натрия NaN03, бария Ba(N03), и некоторые др.Горючей основой
большинства АОС являются практически нерастворимые в воде органические
вещества: сажа, смола, каучук, нитроцеллюлоза и др. Для обеспечения требуемых
характеристик в качестве целевых компонентов широко применяются: азотсодержащие
органические соединения (для повышения газопроизводительности, огнетушащей
способности АОС и снижения температуры аэрозоля); металлический магний (для
интенсификации процесса получения аэрозоля); карбонаты калия, магния, кальция,
хлориды калия, натрия и т. п. (для снижения температуры выделяемого аэрозоля);
хроматы калия и аммония (для интенсификации процесса аэрозолеобразования) и др.
На базе компонентов такого типа созданы и применяются модификации
твердотопливных АОС разл. назначения. В нормальных условиях АОС обладает
химической стабильностью, однако при нагреве (от элекгроспирали, пиропатронов,
очага пожара и др.) он способен гореть и обеспечивать получение огнетушащего
аэрозоля, являющегося самым эффективным средством тушения пожара.
Эффективность и механизм объёмного аэрозольного
тушения определяется такими основными явлениями как: ингибирование химических
реакций в пламени свежеобразовавшимися высоко дисперсными твёрдыми частицами
аэрозоля; разбавление горючей среды двуокисью (диоксидом) углерода, азотом,
парами воды и выжигание кислорода; охлаждение зоны горения аэрозолем.
Твердотопливные аэрозолеобразующие составы (АОС) по своей огнетушащей
способности значительно превосходят по показателям все огнетушащие средства,
используемые при объемном способе тушения пожара. А именно:
а) при горении АОС выделяется большое количество
инертных газов, что вызывает снижение содержания кислорода и замедляет реакцию,
в которую вступают горючие смеси в объеме;
б) образовавшиеся в процессе горения АОС
высокодисперсные твердые частицы, например, соединения калия, эффективно
ингибируют газовые пламенна (т.е. резко снижают скорости реакции окисления);
в) твердые частицы, имеющие размеры в 10÷100
раз меньше, чем порошки, обладают более высоким теплопоглощением (при попадании
в зону горения), что существенно влияет на температуру пламени;
г) аэрозольные смеси имеют более высокие, чем
порошки, показатели стабильности создаваемых концентраций (низкая скорость
оседания частиц) и проникающей способности (при распределении в
труднодоступные, «теневые» зоны защищаемого объема).
Однако при всех своих положительных качествах
аэрозольные составы обладают многими из недостатков, присущих огнетушащим
порошкам. Кроме того, в устройствах во время их применения развивается высокая
температура, а в некоторых конструкциях имеет место наличие открытого пламени,
поэтому они могут сами явиться источником воспламенения (например, при ложном
срабатывании). Конструкторам приходится применять специальные устройства для
того, чтобы убрать открытое пламя и снизить температуру образующегося аэрозоля.
2. МЕТОДИКА РАСЧЕТА
горение вода пожар
2.1 Методика расчета теоретического расхода
воды, требуемого для прекращения горения газового фонтана
Теоретический расход воды g, требуемый для
прекращения горения,
рассчитывается по формуле:

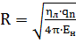
; л/сек; (1)
где: Q- количество теплоты, которое
необходимо отвести для прекращения пламенного горения, кДж/сек.

- теоретическое количество теплоты,
отводимое 1 кг воды, кДж/кг. Для расчетов будем принимать начальную температуру
воды 20оС, а

;

находиться по формуле:

; кДж/сек (2)
Где 
- доля теплоты, рассеиваемая в
окружающее пространство

; (3)
где: М - молярная масса, кг/кмоль.
- доля всей выделившейся теплоты,
которую необходимо отвести для прекращения пламенного горения

; (4)
где:

- температура пламени,

- температура потухания, за 
будем принимать 1000 оС
β - коэффициент полноты
сгорания, для наших расчетов примем β=0,9.
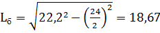
Безопасное расстояние от факела
пламени, на котором личный состав может работать без специальных средств защиты

определяется как катет
прямоугольного треугольника (рис. 1):

; (5)
где:

- длина факела газового
фонтана, м; - расстояние от центра факела до безопасной точки на земле, м.
Длину факела газового фонтана можно
рассчитать по формуле:
Рис. 1. Схема для расчёта
облучённости от факела пламени газового фонтана

; (6)
где: Vг-дебит газа, млн. м3/сут
Расстояние от центра факела до точки
измерения на земле находят по формуле:

; (7)
где: 
- доля теплоты газового фонтана,
рассеиваемая в окружаемое пространство излучением. 
- интенсивность тепловыделения
Интенсивность тепловыделения 
может быть рассчитана по формуле:

; кДж/сек (8)
.2 Методика расчета теоретического
расхода воды, требуемой для прекращения горения жидкости в резервуаре
Теоретический расход воды g,
требуемый для прекращения горения, жидкости в резервуаре рассчитывается по
формуле (1):

; л/сек
где: Q- количество теплоты, которое
необходимо отвести для прекращения пламенного горения, кДж/сек.

- теоретическое количество теплоты,
отводимое 1 кг воды, кДж/кг.
Для расчетов будем принимать начальную
температуру воды 20оС,а 
;
Количество теплоты, которое
необходимо отвести для прекращения пламенного горения жидкости, может быть
рассчитано по уравнению:

; (9)
где:0,6 - коэффициент,
характеризующий долю теплоты, затрачиваемую на повышение температуры зоны
горения, за вычетом потерь на излучение в окружающую среду; 
- коэффициент полноты сгорания (β=0,9); 
-низшая теплота сгорания горючего
вещества, кДж/кг (табл. 3); 
-температура пламени, оС ; 
- температура потухания, оС; 
- площадь пожара; 
- массовая скорость выгорания,
кг/(м2·сек), находится по формуле:

; (10)
где: 
- безразмерная скорость выгорания
жидкости; 
- динамическая вязкость паров при
температуре поверхности жидкости, Hс/м2 ,d - диаметр резервуара, м.
В зависимости от режима горения
безразмерная скорость выгорания жидкости рассчитывается следующим образом.
Для турбулентного режима горения,
если 

;
где A, В - параметры переноса (табл.
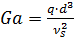
3);- Критерий Галилея
Критерий Галилея рассчитывается по
уравнению:

; (11)
где:

- ускорение свободного падения,
м/с2- диаметр резервуара, м;

- кинематическая вязкость паров
жидкости при температуре кипения (табл. 3), м2/сек.
3.
РАСЧЕТНАЯ ЧАСТЬ
.1
Теоретический расчет расхода воды, требуемого для прекращения горения газового
фонтана и безопасного расстояния для личного состава при тушении газового
фонтана
Определить
теоретический расход воды q, требуемый для прекращения горения газового фонтана
и безопасное расстояние для личного состава 
при тушении газового фонтана смеси
составом метан СН4 90%, окись углерода СО 10%, дебит фонтана 
= 1,5 млн. м3/сут, коэффициент
полноты сгорания β=0,9.
Для
нахождения теоретического расхода воды q, требуемого для прекращения горения,
используем формулу (1).

; л/сек;

;

; кДж/сек

;
Т.к.
горит смесь газов, то

=0,9М(СН4)+0,1М(СО);
М(СН4)=
12+1·4=16 кг/кмоль
М(СО)=12+16=28
кг/кмоль;

=0,75·16+0,25·28=19
кг/кмоль;

=0,21

;
За

газов будем принимать 1000
Рассчитаем 
смеси, используя данные табл. 1 (
(СН4)=1654 
; 
(СО)=1727 
).

;

;
Из
табл. 2 выберем QН (СН4)=35875 кДж/м3
QН
(СО)=12630 кДж/м3
Рассчитаем
низшую теплоту сгорания смеси:Н (смеси)=0,75·35875+0,25·12630=30063,75
кДж/м3
Пересчитаем
суточный дебит фонтана в секундный:

;
Рассчитаем
Qотв:отв =(1-0,21)0,67*0,9*30063,75*17,4=249193,55 кДж/сек
Теоретический
расход воды g, требуемый для прекращения горения газового фонтана будет равен:

;
Для
нахождения Lб используем формулу (5):

;
Найдем
высоту фонтана по формуле (2):

;
По
формуле (7) определим расстояние от центра факела до точки измерения на земле:

;
Интенсивность
тепловыделения рассчитаем по формуле (8):

;
Тогда:

м.

м.
Ответ:
q=54,5 л/сек ; 
м.
.2
Теоретический расчет расхода воды, требуемого для прекращения горения жидкости
в резервуаре
Определить
теоретический расход воды q, требуемый для прекращения горения гексана в
резервуаре диаметром 1,5 м.
Для
нахождения теоретического расхода воды q, требуемого для прекращения горения
гексана, используем формулу (1):

; л/сек

;

находиться по формуле:

;
Рассчитаем
площадь пожара:

;
Найдем
массовую скорость выгорания 
, кг/(м2·сек) по формуле:

;
Величина

представлена в табл. 3, 
=7,30
а 
зависит от режима горения, который
определяется критерием Галилея:

;

= 6,59
Поскольку

, то режим горения турбулентный и
безразмерная скорость выгорания рассчитывается по формуле:

;

;
Определим
массовую скорость выгорания гексана в резервуаре диаметром 1,5 м по формуле
(10):

;
Найдем

:

;
Теоретический
расход воды g, требуемого для прекращения горения:

;
Ответ:

= 0,37 л/сек
Заключение
В
ходе проведенной работы мною было установлено что, на внутренних пожарах
направление передачи тепла излучением может не совпадать с передачей тепла
конвекцией, поэтому в помещении могут быть участки поверхности ограждающих
конструкций, где действует только излучение (как правило, пол и часть
поверхности стен, примыкающая к нему), или только конвекция (потолок и часть
поверхности стен, примыкающая к нему), или где оба вида тепловых потоков
действуют совместно.
Так
же при выполнении работы были освещен вопрос о горении газовых фонтанов. В котором
говорится что, горение газового фонтана является диффузионным. В окружающую
атмосферу вытекает свежий газ, а горение происходит в результате взаимной
диффузии газа и кислорода воздуха.
При
решении задач мной было так же установлено, что граница локальной зоны
теплового воздействия факела пламени газового фонтана, за пределами которой
личный состав при выполнении боевых действий может находиться неопределённо
долгое время, расположена на расстоянии 
м от устья скважины. А требуемый
расход воды для прекращения горения жидкости в резервуаре составил 
=0,37 л/сек.
Список
литературы
1. Курс физической химии, т. 1, М.,
1964; Бур Я.Х., Динамический характер адсорбции, пер. с англ., М., 1962;
Трепнел Б., Хемосорбция, пер. с англ., М., 1958; Бладергрен В., Физ. химия в
медицине и биологии, ,1951.В.И. Шимулис
. Кимстач И.Ф., Девлишев П.П.,
Евтюшкин Н.М. Пожарная тактика М., 1984;Шароварников А.Ф., Молчанов В.П.,
Воевода С.С., Шароварников С.А. Тушение нефти и нефтепродуктов. Издательский
дом «Калан», 2002.
. Рекомендации по тушению пожаров
газовых и нефтяных фонтанов- М.: РИО ВИПТШ МВД СССР, 1976. 83с.
. Краткий справочник
физико-химических величин / Под ред. А.А. Ра-вделя и А.М. Пономаревой Л.:
Химия, 1983. 332 с.
. Андросов А.С., Елисеев М.А.
Примеры и задачи по курсу "Теоретические основы процессов горения".-
М.: Академия ГПС МВД России, 2000.
. Бегишев И.Р., Бобков С.А., Исаева
Л.К. Методические указания и контрольные задания по курсу "Теоретические
основы процессов горения" для ФЗО.- М.: Академия ГПС МВД России, 2001.
. Андросов А.С. Теоретический расчет
основных параметров горения и тушения пожара газового фонтана: Курсовая работа
по дисциплине «Физико-химические основы развития и тушения пожаров» М: Академия
ГПС МЧС России, 2003. - 12 с.