Расчет радиопередатчика
1.Техническое задание
Разработать радиопередатчик на частоту 68,7 МГц
с выходной мощностью 100 Вт. Нагрузка симметричная,100 Ом. Частотная модуляция.
Передаваемый сигнал лежит в звуковом диапазоне и занимает полосу 50 - 15 000
Гц.
Расширенное техническое задание:
. назначение радиопередающего устройства
- радиовещание;
. несущая частота fс
=
68,7 МГц;
. модуляция: частотная;
. мощность в антенне (нагрузке)
=
100 Вт;
. диапазон частот модулирующего сигнала ∆F:
50 ÷ 15 000 Гц;
. нагрузка - симметричный фидер с входным
сопротивлением 100 Ом;
. коэффициент бегущей волны в фидере КБВф
=0.95;
. коэффициент полезного действия фидера ηф
=0.95;
. девиация частоты ЧМ сигнала fдев
= 50кГц;
. коэффициент гармоник 1,5% .
2.Радиопередающие устройства и
функциональная схема передатчика
радиопередающий сигнал
модуляция
Радиопередающее устройство - устройство,
служащее для преобразования энергии источника питания в энергию
электромагнитных колебаний и модуляции этих колебаний передаваемым сигналом.
Является важнейшей составной частью систем и устройств передачи информации
(станции) посредством радиоволн: систем и устройств, применяемых в радиосвязи,
телевидении, радиовещании, радиолокации, радионавигации и других отраслях
техники. В состав станции, помимо радиопередатчика входят источник питания,
антенна, преобразователь информации в электрическую форму и ряд других
вспомогательных устройств. К радиопередающему устройству предъявляются
требования, которые определяются назначением радиосистемы и ее характеристиками
- дальность связи, габаритно-массовые характеристики, объем передаваемой
информации. Данных характеристики определяются рабочей частотой и диапазоном
рабочих частот, уровнем искажений сигнала, выходной мощностью, видом модуляции,
диапазоном рабочих температур, допустимыми массой и габаритами передатчика.
Функциональная схема радиопередатчика приведена
на рисунке 1.
Рис.1 Функциональная схема передатчика
радиопередающий сигнал
модуляция
Под информационным сигналом понимается уже
преобразованный в электрическую форму сигнал, занимающий полосу частот 50 - 15
000 Гц.
Из информационного сигнала и сигнала с несущей
частотой в формирователе радиосигнала генерируется ЧМ сигнал.
Это означает, что частота излучаемых
антенной радиопередающей станции электромагнитных колебаний во времени
изменяется по закону изменения информационного сигнала во времени. Занимаемую
полосу частот
можно
оценить по формуле:
где
- верхняя частота информационного
сигнала, равная 15 000 Гц,
- девиация частоты при модуляции.
Таким образом, получим рабочую полосу частот 130 кГц. Для того, чтобы иметь
некоторый запас, примем
Таким образом, обрабатываемый сигнал
на оси частот занимает полосу, представленную на рисунке, и является
узкополосным:
3.Оконечный каскад, выбор активного
элемента
Оконечный каскад включает в себя
входную согласующую цепь, выходную согласующую цепь, активный элемент и
осуществляет усиление по мощности. Входная согласующая цепь оконечного каскада
служит для согласования с предварительным усилителем, выходная согласующая цепь
оконечного каскада, в свою очередь, обеспечивает согласование с нагрузкой.
Активный элемент - усилитель, который работает на сопротивление, пересчитанное
от нагрузки (на то сопротивление, которое он чувствует). Выходная мощность в
нагрузке равна 110 Вт. Это говорит о том, что в качестве активного элемента
будем использовать транзистор. Был выбран биполярный транзистор КТ9116В.
Параметры БТ КТ9116В:
структура транзистора: p-n-p
максимальная мощность Pк.мах = 75
Вт;
максимально допустимое напряжение
Uкэ.доп. = 60 В;
максимальный ток коллектора Iк.мах =
10 А;
емкость Ск = 150 пФ;
сопротивление базы rб = 2 Ом;т = 400
МГц;
емкость Сэ = 1500 пФ;
сопротивление эмиттера Rэ = 0.3
Ом;=20.
Схема ОК:
Из-за симметричности нагрузки и для
обеспечения необходимой мощности используем двухтактную схему оконечного
каскада на биполярных транзисторах:
Рис. 2 Схема оконечного каскада
4.Расчет оконечного каскада
Рис 3
) Амплитуда переменного напряжения
) Eк
max=Eк+(1,2..1,3)*Uк1
≤ Eк
доп
Максимальное напряжение на коллекторе не должно
превышать допустимое, следовательно, расчеты сделаны правильно.
3) Амплитуда первой гармоники коллекторного
тока
) Постоянная составляющая тока

) Максимальный коллекторный ток
)Максимальная мощность, потребляемая от
источника коллекторного питания:
) КПД коллекторной цепи при номинальной нагрузке
) Максимальная рассеиваемая мощность
) Номинальное сопротивление коллекторной
нагрузки:
Rэ к ном=Uк12/2P1
ном=(25)2/2*55= 381,42/240= 5,7 Ом
Рис. 4 Динамическая характеристика транзистора
Расчет входной согласующей цепи:
) Сопротивление:
Сопротивление:
) Коэффициент:
) Амплитуда тока базы:
) Максимальное обратное напряжение на
эмиттерном переходе:
) Постоянная составляющая базового и
эмиттерного токов:
) Напряжение смещения на эмиттерном переходе:
) Значения Lвх
оэ , rвх
оэ
, Rвх оэ и
Свх оэ :
1)
2)
0,3Ом
3)
) Свх оэ=h21
/
fm*Rвх
оэ=20/
2,8*108*4=0,018 мкФ
) Резистивная и реактивная составляющие
сопротивления транзистора:
xвх=2
f
*Lвх оэ -
;
) Входная мощность (мощность, потребляемая во
входной цепи от источника возбуждения) :
Pвх=0,5*Iб2*rвх=0,5*
*0,5=2,7
Вт
) Коэффициент усиления по мощности:
) Мощность, рассеиваемая на транзисторе:
Расчет выходной согласующей цепи
Выходная согласующая цепь представляет собой
П-цепочку:
Рис. 5 Выходная цепь
R2 = Rн
=
50 Ом, Rн гр=R1
= 5,7 Ом, R0=
=5,11
Ом
=
=
XL=R0(
+
)=
17
C1=С2
=
L=
Проверим на какую
резонансную частоту настроен контур:
fрез=
, где C=
fрез
= 70 МГц.
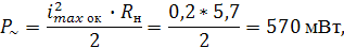
5.Расчет
предварительного усилителя
Рис.6. Схема предварительного усилителя
Транзистор выбирается из условия обеспечения
заданной мощности:
где
Значит, предварительный усилитель должен
выдавать мощность 570 Вт.
Будем использовать транзистор КТ640В2, имеющий
параметры:
P1 ном =
0,6 Вт
rнас=0,1
Ом,
rб=1
Ом
Eотс =
0,7 В,
Eбэ доп =
4 В,
Eк =10
В,
Cк=1,3
пФ,
Сэ=3 пФ,
Lэ=1
нГн,
Lб=0,5
нГн
fт=3800
МГц=38
Uкэ
= 25 В
Iк0 доп =
55 мА
Iк мах=
0,2 А
Расчёт коллекторной цепи:
) Амплитуда переменного напряжения:
Uк1
= 10*(0,5+0,5
=9
В
) Максимальное напряжение на коллекторе
не должно превышать допустимое:
Eк max=Eк+1,2Uк1=10+1,2*9
В=22 В< Uкэ доп (25
В)
) Амплитуда первой гармоники тока
) Постоянная составляющая тока
Iк0=(
)*Iк1≤Iк0
доп
Iк0=(0,319/0,5)*0,08
А= 0,05 А
) Максимальный коллекторный ток
Ik max=
=>Iк0max=0,16
А
6) Максимальная мощность, потребляемая от
источника питания:
P0 max=
Ek*Ik0=22*0,05
= 1,1 Вт
) КПД коллекторной цепи
Ƞ=P1ном/P0ном=
0,6/1,1 = 0,68
) Максимальная рассеиваемая мощность
Pк max=P0
мах - P1
ном = 1,1 - 0,6 = 0,5 Вт
) Номинальное сопротивление коллекторной
нагрузки
Rэ к ном=Uк12/2P1
ном = 187 Ом
Расчёт входной цепи:
) Сопротивление Rдоп=h21
эо/
(2
fm
Cэ) =
280 Ом
Сопротивление Rб
к=
h21 эо /
(2
fm
Cк)=640
Ом
) Коэффициент 𝛘=1+
(Q)*2*
*Ck*fm*Rэ
к ном=3,9
) Амплитуда тока базы
Iб=
4) Максимальное обратное напряжение на
эмиттерном переходе
Eбэ
max=
5) Постоянная составляющая базового и
эмиттерного токов
Iб0=Iк0/
=0,05/20=0,0025
Aэо=
Iко
+ I бо=0,05+0,0025=0,0525
А
6) Напряжение смещения на эмиттерном переходе
Eбэ=-Iб*
+Eсм+Iб0*
1(Q)=
)Значения Lвх
оэ , rвх
оэ
, Rвх оэ и
Свх оэ :
Lвх оэ=Lб+Lэ/
𝛘 =0,8 нГн
rвхоэ=
2,1Ом
Rвх оэ =
=138
Ом
Свх оэ=h21
эо/
fm*Rвх
оз=20/
2*108*4=38 пФ
Резистивная и реактивная составляющие
сопротивления транзистора
rвх=2,1+138/(1+
=127Ом
xвх=2
f
*Lвх оэ -
Входная мощность:
Pвх=0,5*Iб2*rвх=0,5*
*127=0,1
Вт
Коэффициент усиления по мощности:
Максимальная мощность, рассеиваемая на
транзисторе: Pрас=0,51
Вт
Рис. 7 Динамическая характеристика транзистора
Расчёт П-цепочки:
Рис. 8 Выходная цепь
R1=187
Ом, R2=5,7
Ом
R0=
Ом
=
=
29
XL=R0(
+
)=32,45
C1=С2
=
L=
Заключение
в ходе проектирования радиовещательного ЧМ
передатчик, была разработана схема передатчика и произведены соответствующие
расчеты оконечного каскада (расчет входной, выходной согласующих цепей
(П-контур), коллекторной цепи) и предварительного усилителя. Для обеспечения
необходимой мощности (100 Вт) и учитывая симметричность нагрузки, была
использована двухтактная схема оконечного каскада на биполярных транзисторах. В
двухтактных схемах расчёт производится на половинную мощность ( т.е. на 55 Вт).
При проектировании передатчика удалось выполнить техническое задание,
передатчик имеет выходную мощность
не
менее 100 Вт. Значение промышленного кпд: 0,68. Для радиовещательных
передатчиков нижняя граница промышленного кпд установлена равной 0.6. Таким
образом, разработанный передатчик удовлетворяет стандарту по промышленному кпд.
Список литературы
1. Радиопередающие
устройства. Учебник для вузов/ В. В. Шахгильдян, В. Б. Козырев А. А. Луховкин и
др.; Под ред. В.В. Шахгильдяна. - 2-е изд., перераб. и доп. - М.: - Радио и
связь, 1990. - 432 с.
. Проектирование
радиопередатчиков: Учеб. постобие для вузов/ В. В. Шахгильдян, М. С. Шумилин,
В. Б. Козырев и др.; Под ред. В.В. Шахгильдяна. - 4-е изд., перераб. и доп. -
М.: - Радио и связь, 2003. - 656 с.