Разработка станочного приспособления для обработки детали 'Звездочка' на фрезерную операцию

  • Вид работы:
    Курсовая работа (т)
  • Предмет:
    Другое
  • Язык:
    Русский
    ,
    Формат файла:
    MS Word
    422,36 Кб
  • Опубликовано:
    2015-06-27
Вы можете узнать стоимость помощи в написании студенческой работы.
Помощь в написании работы, которую точно примут!

Разработка станочного приспособления для обработки детали 'Звездочка' на фрезерную операцию

Содержание

Введение

Техническое задание

Назначение, устройство, принцип работы приспособления

3 Назначение режимов резания, определение сил резания

4 Расчет нормы штучного времени

5 Расчет усилия закрепления детали

6 Расчет исходного усилия зажимного устройства

7 Расчет пневматического привода

8 Расчет приспособления на точность

9 Расчет экономической эффективности приспособления

9.1 Годовая технологичность себестоимость

9.2 Стоимость приспособления

9.3 Годовая экономия при применении приспособления

9.4 Срок окупаемости приспособления

Заключение

Литература

Введение

Станочное приспособление - приспособление предназначенное для установки и закрепления детали на станке в процессе обработки (они являются неотъемлемой частью станка).

Без применения технологической оснастки в производстве обойтись практически невозможно. Так при выполнении абсолютно любой технологической операции требуется использовать различную оснастку, например: приспособления, вспомогательные инструменты, транспортную и загрузочную оснастку и др. . Причем это относится как единичному, так и к серийному производству. Наиболее широко используемая разновидность оснастки - станочные приспособления. Их назначение состоит в базировании и закреплении заготовок на станках.

При изготовлении деталей в машиностроении большое значение имеет технологическая подготовка производства, основную долю затрат по стоимости и трудоемкости в которой вносит проектирование и изготовление технологической оснастки, в частности, затраты на создание станочных приспособлений. Одним из возможных решений этой задачи является применение унифицированных, стандартизированных функциональных элементов, позволяющие сократить комплект станочных приспособлений и увеличить срок их эксплуатации.

Несмотря на большие различия в конструктивном оформлении, обусловленные многообразием технологических процессов, конструктивных форм и размеров изготавливаемых деталей, типов станков и других факторов, приспособления имеют практически одинаковую структуру, куда входят различные элементы, механизмы и детали.

Приспособления применяют при выполнении различных производственных процессов (при транспортировке, контроле, сборке к г. п.), но наибольшее значение в процессе изготовления деталей машин имеют станочные приспособления. Их число, характер, степень сложности зависят от объекта изготовления и программы выпуска. Чем больше программа выпуска изготовляемых машин, тем труднее применять приспособления (часто даже весьма сложные). Наоборот, чем меньше программа выпуска, тем менее вы-|и'(по применение приспособлений, в особенности специальных. Последние изготовляют единицами и они обычно дороже нормальных, изготовляемых серийно.

Темой данного курсового проекта является: разработка станочного приспособления для обработки детали «Звёздочка» на фрезерную операцию.

станочный приспособление деталь обработка

1 Техническое задание

Таблица 1 - Техническое задание

БПОУ УР «ГПК»

Техническое задание № 1 на проектирование ТО

Обозначение чертежа

Изделие

Наименование ТО приспособление с механизированным приводом для нарезания зубьев звёздочки


Узел

Операция фрезерная


Деталь звёздочка

Оборудование (тип) 53А30П

Количество одновременно обрабатываемых деталей 1

Инструмент фреза червячная диаметром 112 мм, длиной 112 мм.

Годовая программа, шт.1000

Вид закрепления ТО пневматический привод

Технолог

Начальник тех. бюро

Главный технолог

Ф.И.О.

Подпись

Дата

Ф.И.О.

Подпись

Дата

Ф.И.О.

Подпись

Дата

Золотарёв Н.Н.









Конструктор

Начальник БПО

Обозначение ТО

Ф.И.О.

Подпись

Дата

Ф.И.О.

Подпись

Дата










2 Назначение, устройство, принцип работы приспособления


Движение поршня происходит под действием сжатого воздуха. Подавая воздух через отверстие корпуса (позиция А) крышки, для чего в это резьбовое отверстие ввинчивается наконечник шланга компрессора, шток с поршнем движется вверх, тем самым разжимается заготовка, и снимается быстросъёмная шайба.

Кольца поршня имеют прорезь под углом 450 . .Поршень 3 закреплен на шток гайкой , шайбой и шплинтом. .В корпусе 1 в месте выхода штока расположено уплотняющее устройство (сальник), предупреждающее просачивание воздуха через зазор между штоком и отверстием в крышке сальника . крепление крышки сальника к корпусу осуществляется шпильками. крышка крепится к корпусу шпильками . Выпуская воздух из камеры, за счёт пружины поршень опускается вниз, вставляется быстросъёмная шайба, заготовка зажимается.

Пневматические зажимные устройства используют сжатый воздух давлением 0,4 … 0,5 МПа от цеховых сетей. Такие приводы не нуждаются в специальных источниках энергии , не требуют возвратных трубопроводов, т.к. отработанный воздух выпускается в окружающую среду.

3 Назначение режимов резания, определение сил резания

Требуется нарезать зубья звёздочки с шагом 25,4, числом зубьев 20.

Выбор фрезы

Выбираем фрезу червячную для нарезания зубьев звёздочки :

t = 25,4 ; d = 15.88 ; обозначение : 2523 - 0043 ; 2523 - 0143 ;

ГОСТ 15127 - 83 ; материал фрезы - быстрорежущая сталь марки Р6М5;

диаметр посадочного отверстия = 40мм, наружный диаметр фрезы

D= 112мм, общая длина L = 112мм, вес = 4,9кг, производители :

«ЛИЗ», «СИЗ», «Фрезер»

Определяем глубину резания

t = 5

(где 5 - это слой материала, срезаемый за один проход )

Определяем подачу на зуб (величина перемещения)

Величину технологически допустимой подачи выбирают с учетом следующих факторов:

заданного качества поверхности и требуемой точности;

мощности станка;

размеров нарезаемого зуба;

количества зубьев колеса.табл = 0,12 - 0,18 мм/зуб= 0,15 мм/зуб (среднее значение подачи)

Sтабл.- табличное значение подачи, мм/об ;  

Расчитываем скорость резания по формуле


где :- поправочный коэффициент

D - диаметр инструмента = 112мм- стойкость инструмента = 180 мин (выбирается по справочнику Кассиловой

Ср = 101

показатели степени:

х = 0,88= 0,75= 1,0

р = 0,1= 0,87= 0,33

являются табличными значениями и находятся по справочнику Кассиловой.

= Kmv x Kпv х Kuv

где Kmv = 0,6 - коэффициент учитывающий обрабатываемый материал;пv = 1,0 - коэффициент учитывающий инструментальный материал;

Kuv = 0,65 - коэффициент учитывающий условия обработки

где Qв - коэффициент текучести или вязкости обрабатываемого материала

Кr - (по таблице)= 0,6 X 1,0 x 0,65 = 0,39

Расчитываем частоту вращения шпинделя по формуле


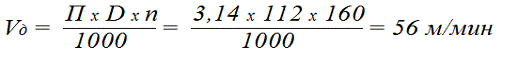
Корректируем по паспортным данным станка (ПДС)д = 160 об/мин

Расчитываем действительную скорость резания по формуле


где П = 3,14

D - диаметр фрезы = 112мм

n - действительная частота вращения шпинделя

Расчитываем минутную подачу по формуле

м = Sz x z x n = 0,15 х 20 х 160 = 480 мм/мин

Корректируем по паспортным данным станка (ПДС)м = 400 мм/мин

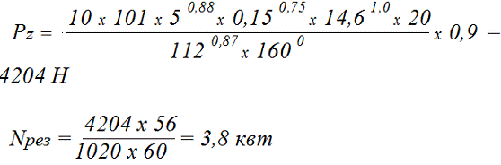
Расчитываем мощность затрачиваемую на резание по формуле


где : Рz - сила резания

V - скорость резания




где Qв - коэффициент твёрдости обрабатываемого материала


Проверяем достаточность мощности привода станка


Расчитываем основное время по формуле- врезание и перебег фрезы, мм;- ширина зубчатого венца колеса, мм (при одновременной

обработке нескольких зубчатых колес умножается на их

количество);- число зубьев нарезаемого колеса;- частота вращения фрезы, мин-1о - подача, мм/об;

К - число заходов червячной фрезы.

4 Расчёт нормы штучного времени

Рассчитываем норму штучного времени по формуле

Тшт = То + Тв + Тобс + Тотд (мин)

Тшт = 49 + 2,1 + 2,3 + 2,04 = 55,4 мин

где То - основное время = 49 мин

Тв - вспомогательное время = 2,1 мин

Тобс - время на обслуживание рабочего места = 2,04 мин

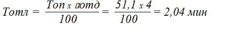
Тотд - время на отдых = 2,04 мин

Рассчитываем вспомогательное время по формуле

Вспомогательное время на зубофрезерную операцию устанавливают в зависимости от способа установки детали, типа станка, вида подачи, числа проходов, длины обработки и массы детали.

При установке на оправке нескольких деталей на каждую последующую добавляется 0,18 мин.


Время на обслуживание рабочего места


где Топ - оперативное время = 51,1 мин

аобс - коэффициент времени на обслуживание = 4,5

где То - основное время = 49 мин

Тв - вспомогательное время = 2,1 мин

Время перерывов на отдых и личные надобности


где аотд - коэффициент времени на отдых = 4

Топ - оперативное время = 51,1 мин

Определяем подготовительно-заключительное время

Подготовительно-заключительное время Тпз рассчитывают с учетом группы станка по соответствующим таблицам нормативов и включает время:

на наладку станка, инструмента и приспособлений;

на настройку станка для обработки колеса с косым зубом;

на пробную обработку деталей;

на получение инструмента и приспособлений до начала и сдачу их после окончания обработки партии деталей.

Тпз = 20 + 8,5 + 4,5 + 7 = 40 мин

Рассчитываем штучно - калькуляционное время

Штучно - калькуляционное время рассчитывается для планирования

и подетальной калькуляции производственных затрат, когда Тп.з

не включено в норму Тшт:


где Тшт - штучное время = 55,4 мин

Тпз - подготовительно-заключительное время = 40 мин

Определяем норму выработки

Норма выработки, т.е. количество единиц продукции, которое

должно быть изготовлено за расчетный период времени.


Где Тсм - продолжительность смены в минутах = 180 мин.

Тпз - подготовительно-заключительное время = 40 мин.

Тшт - штучное время = 55,4 мин.

5 Расчёт усилия закрепления детали

При вычислении силы зажима W для обеспечения надёжного закрепления вводится коэффициент запаса К, который учитывает нестабильность силовых воздействий на заготовку.

Расчет зажимного усилия


Где К - коэффициент запаса, учитывающий нестабильность силовых воздействий на заготовку

f - коэффициент трения (выбирается по таблице) = 0,16

К = К0 х К1 х К2 х К3 х К4

где К0 = 1,5 - гарантированный коэффициент запаса

К1 - коэффициент, учитывающий увеличение сил резания из-за случайных неровностей на обрабатываемой поверхности заготовки = 1,2 (при черновой обработке)

К2 - коэффициент, учитывающий увеличение сил резания вследствие затупления режущего инструмента (по таблице) = 1

К3 - коэффициент, учитывающий непостоянство зажимного усилия = 1 (при пневмозажиме)

К4 - коэффициент учитывающий увеличение силы резания при прерывистом резании = 1,2

К = 1,5 х 1,2 х 1 х 1 х 1,2 = 2,16

6       Расчет приспособления на точность


где К = 1,2 - коэффициент зависящий от случайных погрешностей,

 с = 0 - погрешность станка в ненагруженном состоянии вызываемая погрешностями изготовления и сборки, мм;

пр = 0,05- погрешность расположения на станке посадочных поверхностей, мм;

 оп = 0 - погрешность расположения опорных точек поверхностейотносительно посадочных поверхностей приспособления, мм;

 биб - погрешность базирования заготовки в приспособление, мм;

 з = 0 - погрешность вызываемая закреплением заготовки, мм;

 и = 0 - погрешность изготовлении инструмента, мм;

 ри = 0 - погрешность расположения инструмента в станке, мм;

 д = 0 - погрешность вызываемая деформацией при обработке, под действием сил резания, мм;

 = 0 - погрешность вызываемая износом инструмента, мм;

Погрешность базирования

Определяем наибольший зазор в соединении отверстия, диаметром равным 50H8, с втулкой диаметром равным 50е8 :

Smax = ES - ei = 39 - (-89) = 128 мкм = 0,128 мм

7 Расчет исходного усилия зажимного устройства

Расчёт исходного усилия Q

 


где W - зажимное усилие, Н;

µ - К.П.Д. силового привода.

Проверка диаметра штока на прочность и устойчивость

 , (24)

где [σ]= 340 - допустимое напряжение материала штока на растяжение (смятие), МПа;



где D - диаметр цилиндра, мм;

d - диаметр штока, мм;

p = 6,3 - давление масла в гидросистеме, МПа;

µ = 0,95 - КПД силового привода.

 Н

 ,

 ,

Диаметр штока d удовлетворяет условию прочности и устойчивости, так как диаметр штока больше минимального возможного диаметра штока

8 Расчёт приспособления на точность

При установке приспособление выверяется и устанавливается на стол станка по техническим требованиям: отклонение от перпендикулярности осей установочных пальцев относительно основной поверхности не более 0,05 мм на длине 100 мм.


где К = 1,2 - коэффициент зависящий от случайных погрешностей,

 с = 0 - погрешность станка в ненагруженном состоянии вызываемая погрешностями изготовления и сборки, мм;

пр = 0,05- погрешность расположения на станке посадочных поверхностей, мм;

 оп = 0 - погрешность расположения опорных точек поверхностей относительно посадочных поверхностей приспособления, мм;

 биб - погрешность базирования заготовки в приспособление, мм;

 з = 0 - погрешность вызываемая закреплением заготовки, мм;

 и = 0 - погрешность изготовлении инструмента, мм;

 ри = 0 - погрешность расположения инструмента в станке, мм;

 д = 0 - погрешность вызываемая деформацией при обработке, под действием сил резания, мм;

 = 0 - погрешность вызываемая износом инструмента, мм;

Погрешность базирования

Определяем наибольший зазор в соединении отверстия, диаметром равным 8H8, с пальцем диаметром равным 8g6:

 мм.

 

где Smax - наибольший зазор, мм;

L - межцентровое расстояние между отверстиями, мм.


 

где a =38, b =132,5 - расстояния между центрами отверстий, мм.

 мм

 ,

Возможный перекос 0,03 мм на длине 100 мм.

Необходимо соблюдение условия на точность

σs ≤ а

где а = 0,1 - допуск на размер по 10 квалитету

,092 ≤ 0,1

Условие выполняется.

9 Расчет экономической эффективности

.1 Годовая технологичность себестоимость


где С - годовая технологическая себестоимость, у.е.;

Сс - себестоимость одного станкочаса или часовая ставка рабочего, у.е./час;

Тшт - штучное время, мин;- размер годовой программы, шт;

Н - накладные расходы цеха, %;

Спр - стоимость приспособления, у.е.;

А - срок амортизации приспособления, год;- годовые расходы, связанные с эксплуатацией приспособления, %;

9.2 Стоимость приспособления

 ,

где k - стоимость одной детали приспособления, у.е.;- количество деталей в приспособлении, шт.

Таблица 2 - Данные по вариантам

Варианты

Разряд работы

Сс, у.е

Тшт, мин

N, шт.

Н, %

К, у.е.

q , шт

Спр, у.е

А, год

q, %

Проектируемое приспособление

 3

 1,61

 5,144

 4000

 4

 51

 204

 5

 20

Существующее приспособление

 4

 1,78

 7,154

 4000

 200

 2,5

 7

 17,5

 1

 20


По проектируемому приспособлению

По существующему приспособлению


9.3 Годовая экономия при применении приспособления


где С1 - годовая технологическая себестоимость по проектируемому приспособлению, у.е.;

С2- годовая технологическая себестоимость по существующему приспособлению, у.е.;

Э = 2565 -1737,3 = 827,7 у.е.

.4 Срок окупаемости приспособления.

. Применения приспособления к станку считается экономичным, если ,

0,225г 3 г - приспособление считается экономичным

Заключение

В данном курсовом проекте разработано приспособление для сверления отверстия. Выполнен расчёт на точность в зависимости от конструкции приспособления, применяемого инструмента и оборудования. Приведён расчёт усилия закрепления обрабатываемой детали в приспособлении, расчёт гидропривода и его штока на прочность, расчёт режимов резания для сверления отверстия детали «Корпус». Разработаны технические требования на приспособление, устройство и принцип его работы.

Приспособление удовлетворяет требованиям точности базирования и закрепления.

Литература

. Н. П. Косов. Станочные приспособления. «Машиностроение» , 1977г.

.М. А. Ансеров. Приспособления для металлорежущих станков. «Машиностроение» ,1975 г.

. Ю. И. Кузнецов. Справочник. Оснастка для станков с ЧПУ. Москва. «Машиностроение» ,1990 г..

. А. К. Горошкин. Справочник. Приспособления для металлорежущих станков. Москва. «Машиностроение» , 1979 г.

. В.С. Корсаков. Основы конструирования приспособлений в машино-

строении .М., «Машиностроение», 1983 г.

. А.П. Белоусов. Проектирование станочных приспособлений. М.,

В.ш. 1980 г.

. Справочник технолога-машиностроителя в 2х томах. Под ред.

А.Г. Косиловой и Р.К. Мещерякова, М., Машиностроение,1985.

. Б. Н. Вардашкин , В. В. Данилевский. Справочник. Станочные приспособления. 1; 2 том. Москва . «Машиностроение» 1984 г.

. Б. И. Черпаков . Технологическая оснастка. Москва. ACADEMA 2005г.

. В. А. Ванин, А. Н. Преображенский. Приспособления для металлорежущих станков.

. С. М. Зонненберг, А.С. Лебедев. Пневматические зажимные приспособления ,1953 г.

. Г. Г. Овумян ,Я. И. Адам. Справочник зубореза. Москва. «Машиностроение», 1983 г.

. Общемашиностроительные нормативы времени вспомогательного, на обслуживание рабочего места и подготовительно-заключительного для технического нормирования станочных работ. Серийное производство. Москва. «Машиностроение», 1984 г.

Похожие работы на - Разработка станочного приспособления для обработки детали 'Звездочка' на фрезерную операцию

 

Не нашли материал для своей работы?
Поможем написать уникальную работу
Без плагиата!
Без нейросетей!