|
Економічна енциклопедія [6]
|
Активність ділова - реальні, ініціативні,
ефективні дії підприємців, підприємницьких структур, ділових людей,
спрямовані на одержання позитивних результатів підприємницької діяльності,
внаслідок якої реалізовуються задані програми й заплановані заходи.
|
|
Коваленко Л.О., Ремньова Л.М. [7]
|
Ділова активність - це комплексна характеристика,
яка втілює різні аспекти діяльності підприємства, а тому визначається
системою таких критеріїв, як місце підприємства на ринку конкретних товарів,
географія ділових відносин, репутація підприємства як партнера, активність
інноваційно-інвестиційної діяльності, конкурентоспроможність.
|
|
Коробов М.Я [8]
|
Ділова активність відображає рівень
ефективності використання матеріальних, трудових, фінансових та інших
ресурсів і в той же час характеризує якість управління, а також можливості
потенційного розвитку підприємства.
|
|
Кухарєва О.О, Корнєєв М.В. [10]
|
Ділова активність - багатогранна і
багаторівнева категорія, яка в ринкових умовах стає інтегральною
характеристикою господарюючого суб’єкта щодо його відповідності об’єктивним
(зовнішнім відносно нього) економічним умовам..
|
|
Ансофф И. [1]
|
Ділова активність підприємства може бути
визначена як комплексна характеристика підприємства, яка відображує ступінь
переваги сукупності оціночних показників його діяльності, що визначають успіх
підприємства на певному ринку за певний проміжок часу, по відношенню до
сукупності показників конкурентів.
|
Ділова активність
проявляється в динамічності розвитку підприємства та швидкості обороту його
засобів. Критеріями ділової активності є рівень ефективності використання ресурсів
підприємства, стійкість економічного зростання, ступінь виконання завдання за
основними показниками господарської діяльності тощо [2].
Ділова активність у
фінансовому аспекті проявляється насамперед у швидкості обороту його коштів.
Від того, як швидко кошти, спрямовані на оборотні кошти, перетворюються на
реальні гроші багато чому визначається стійкість фінансового стану
підприємства, його ліквідність і платоспроможність [24].
Основний вплив на
ділову активність підприємств здійснюють макроекономічні чинники, під впливом
яких може формуватися або сприятливе підприємницьке середовище, стимулююче
умови для активної поведінки господарюючого суб'єкта, або навпаки - передумови
до згортання і загасання ділової активності в результаті збурень зовнішніх чинників
[21].
Головні завдання
аналізу ділової активності є:
ü дослідження
тривалості виробничо-комерційного циклу підприємства, його складових;
ü виявлення
основних причин зміни тривалості виробничо-комерційного циклу;
ü визначення
співвідношення тривалості виробничо-комерційного циклу і періоду погашення
кредиторської заборгованості;
ü виявлення
причин розбіжності фінансового результату зміни коштів;
ü виявлення
основних чинників відпливу коштів;
ü проведення
аналізу швидкості обороту дебіторської заборгованості й обґрунтованості
сформованого терміну зберігання товарно-матеріальних цінностей.
Результати
проведеного аналізу є джерелом інформації виявлення резервів прискорення
оборотності обігових коштів та розробки конкретних заходів, вкладених у
підвищення ефективність використання оборотних засобів.
Якісна оцінка
ділової активності підприємств характеризує широту збуту товарів, репутацію
підприємства, тощо, а кількісна - показує ступінь виконання плану за основними
показниками, забезпечення заданих темпів їх зростання, а також рівень
ефективності використання наявних ресурсів підприємства [21]. Оцінка ділової
активності на якісному рівні може бути отримана в результаті порівняння
діяльності даного підприємства з діяльністю аналогічних підприємств.
Раціональним для характеристики
ділової активності підприємства вважається положення, коли темпи нарощування
балансового прибутку вищі темпів зростання обсягів виручки, а темпи зростання
виручки - вище темпів росту основного капіталу.
Така інтерпретація означає: економічний
потенціал підприємства в цілому зростає, при цьому обсяг реалізації продукції
росте швидше, ніж економічний |потенціал. В
той же час прибуток має зростати ще швидшими темпами при відносному зниженні
витрат у виробництві та обертанні товарів [21].
Отже, ділова
активність підприємства це його комплексна характеристика, яка відображує
ступінь переваги сукупності оціночних показників його діяльності, що визначають
успіх підприємства на певному ринку за певний проміжок часу, по відношенню до
сукупності показників конкурентів. У фінансовому аспекті ділова активність
проявляється насамперед у швидкості обороту коштів підприємства, від чого
залежить стійкість фінансового стану підприємства, його ліквідність і
платоспроможність.
.2 Методика аналізу
ділової активності підприємства
Розрахунок
інтегральних агрегованих індексів ділової активності доволі складний, тому вони
використовуються, здебільшого, для оцінки ринкової кон’юнктури в цілому.
На рівні ж окремого
підприємства ступінь його ділової активності визначається за допомогою цілої
системи показників економічної ефективності господарювання та вимірюється одним
з двох способів, які відображають результативність роботи підприємства відносно
або розміру авансованих ресурсів, або розміру їх споживання (витрат) у процесі
виробництва, а саме:
. Забезпечення
запланованих темпів росту та динаміки основних показників діяльності
підприємства.
. Розрахунку
системи показників, які характеризують ефективність використання ресурсів
підприємства.
Показники ділової активності
- це, перш за все, показники ефективності використання фінансових ресурсів
підприємства, що автоматично відносить їх до системи показників економічної
ефективності.
Аналіз ділової активності полягає у
дослідженні рівнів і динаміки різноманітних фінансових коефіцієнтів -
показників оборотності [2].
Головним джерелом
аналізу джерел формування та використання оборотних засобів є бухгалтерський
баланс. Крім балансу, обов'язково використовують і інших форм бухгалтерської
звітності, і навіть оперативні даних про вступі і витраті матеріальних й
коштів. Необхідну інформацію про фінансові результати діяльності підприємства
отримують зі звіту про фінансові результати та його використанні. Для
узгодженості інформації, отриманою з звітних документів, використовують
бухгалтерські тогочасні книги й документи, насамперед Головну книжку або
оборотні відомості та відомості інвентаризацій.
До коефіцієнтів
ділової активності належать:
). Коефіцієнт
оборотності капіталу відображає швидкість обороту капіталу підприємства в
цілому. Зростання показника свідчить про прискорення оборотності засобів
підприємства або інфляційне зростання цін.
). Коефіцієнт
оборотності дебіторської заборгованості визначає швидкість обороту дебіторської
заборгованості. Його зростання може відображати скорочення обсягів продажу в
кредит, а зниження, навпаки, - збільшення суми комерційного кредиту, що
підприємство надає замовникам:

,
де: 
- коефіцієнт оборотності
дебіторської заборгованості,
ЧД - чистий дохід,

- середньорічна сума дебіторської
заборгованості.
Тривалість обороту дебіторської
заборгованості характеризує середній термін інкасації (погашення) дебіторської
заборгованості, тому позитивно оцінюється його скорочення:

). Коефіцієнт оборотності
запасів відображає число оборотів товарно-матеріальних запасів підприємства за
аналізований період. Зниження даного показника свідчить про відносне збільшення
виробничих запасів і незавершеного виробництва або про зниження попиту на
готову продукцію. У цілому, чим вище показник оборотності матеріальних запасів,
тим менше коштів зав’язано в цій найменш ліквідній статті оборотних активів,
тим більш ліквідну структуру мають оборотні активи й тим стійкіше фінансове
становище підприємства:

,
де:
К -
коефіцієнт оборотності запасів,
с/в - собівартість продукції,
З -
середньорічна сума продукції.
Тривалість обороту запасів
характеризується кількістю днів, протягом яких запаси проходять усі стадії
одного кругообігу; розраховується як відношення кількості календарних днів
періоду та коефіцієнта оборотності виробничих запасів.
). Коефіцієнт оборотності
кредиторської заборгованості відображає розширення або, навпаки, зниження
обсягів комерційного кредиту, що надається підприємству. Зростання значення
коефіцієнта засвідчує прискорення сплати підприємством власної поточної
заборгованості, а його зниження - додаткове залучення комерційного кредиту:

,
де: - коефіцієнт оборотності
кредиторської заборгованості,
ЧД - чистий дохід

- середньорічна сума кредиторської
заборгованості.
Тривалість обороту
кредиторської заборгованості визначає середній термін повернення підприємством
власних боргів (за виключенням зобов’язань перед банком та за іншими позиками):

). Коефіцієнт стійкості
економічного зростання показує якими темпами в середньому зростав власний
капітал підприємства за рахунок реінвестованого прибутку звітного року.
). Операційний цикл
підприємства представляє собою період повного обороту суми оборотних активів, у
ході якого відбувається зміна окремих її форм, тобто, період часу від моменту
витрачання підприємством грошових коштів на придбання матеріальних оборотних
активів до надходження грошей від дебіторів за реалізовану їм продукцію:

). Фінансовий цикл
підприємства - це період повного обороту грошових коштів, інвестованих в
оборотні активи, починаючи з моменту погашення кредиторської заборгованості за
отриману сировину, матеріали та напівфабрикати і закінчуючи повною інкасацією
дебіторської заборгованості за поставлену готову продукцію:

Нормативного значення ці
показники не мають, але чим швидше обертаються ресурси підприємства, тим краще.
Підвищення обертання ресурсів є, поряд з високою прибутковістю другим важелем підвищення
фінансового благополуччя підприємства. Низький рівень коефіцієнтів обертання
активів може свідчити про недостатню завантаженість та низьку ефективність
експлуатації виробничих потужностей, зростання дебіторської заборгованості та
запасів.
Від оптимального розміру та
структури оборотних активів підприємства, ступеня забезпечення їх власними
джерелами формування та ефективності використання залежить і рівень ділової
активності суб’єкта господарювання, ефективність та кінцевий результат його
діяльності, що є особливо актуальним саме зараз, коли в Україні на більшості
підприємств досі остаточно не вирішена проблема оптимізації розміру оборотних
активів [17].
Отже, зважаючи на
багатоаспектність категорії ділової активності деякі економісти стверджують, що
дещо застарілим є підхід до її оцінки з позицій лише аналізу ефективності
використання ресурсів підприємства. Основними аспектами та критеріями оцінки
ділової активності, окрім ефективності, слід вважати також цілеспрямованість,
раціональність, результативність, інтенсивність та динамічність. До якісних
показників слід включити: розмір ринку збуту продукції (як внутрішнього, такі
зовнішнього); наявність продукції, яка йде на експорт; репутацію підприємства
та його клієнтів; конкурентоспроможність продукції та підприємства тощо.
1.3 Аналіз існуючих
підходів до визначення комплексної оцінки ділової активності підприємства
Найбільш ефективна
оцінка рівня ділової активності підприємства можлива при врахуванні більшості
якісних показників по кожному з критеріїв. Задача полягає у виборі низки
коефіцієнтів, які найбільшою мірою відображають сутнісну характеристику
категорії ділової активності за визначеними критеріями.
Такий всебічний
розгляд впливу факторів на ділову активність дає змогу приймати обґрунтовані
управлінські рішення щодо планування та прогнозування темпів розвитку
господарської діяльності підприємства.
Світова практика
господарювання пов’язує поняття ділової активності з поняттям інвестиційної
привабливості підприємства. В усіх економічно розвинутих країнах, де
знаходяться світові фінансові центри, рівень ділової активності визначається за
допомогою спеціальних агрегованих статистичних показників - так званих індексів
ділової активності. В їх основу покладені варіювання курсів акцій компаній, рівень
яких і є кінцевим виразником її інвестиційної привабливості на ринку. Це
пояснюється тим, що більшість наймогутніших світових корпорацій створені на
основі акціонерного капіталу, швидкість руху якого і відбивається на курсах
акцій таких компаній. Показники курсу акцій і є свідченням ділової активності,
стабільності економіки [17].
Російський
науковець Кремеров О.М. [28] запропонував модель багаторівневого опису ділової
активності у вигляді індексів росту і розвитку, а також розрахунку кожного з
них, що дозволяє деталізувати методику планування ділової активності.
Згідно Кремеров
О.М. ділова активність представляється комплементарною групою, що складається з
двох індексів: індексу зростання і індексом розвитку, в просторі росту і
розвитку, відповідно (G, D). Зростання полягає в прояві стандартних функцій,
тобто характеризується, головним чином, зростанням виручки. Розвиток
відноситься до нестандартних функцій компанії, тобто пов'язано з довготривалими
процесами (розвитком забезпечується зростання вартості компанії). Дані індекси
приймаються визначальними для модуля ділової активності та її спрямованості в
просторі росту і розвитку (рис. 1.1) [28].
Рис. 1.1. Принцип
побудови моделі ділової активності [28]
Для оцінки індексів
росту і розвитку автор пропонує наступну декомпозицію:
Рис. 1.2.
Узагальнений метод декомпозиції результуючого вектора ділової активності[28]
Літерами a і b позначені
індекси специфічних видів активності, а Іросту та Ірозвитку
являють комплементарні індекси росту і розвитку, відповідно. Векторна величина 
, в свою чергу, характеризує
результуючу ділову активність.
Також автором запропоновано
метод оцінки індексів росту і розвитку ділової активності, а також модуля і
спрямованості результуючого вектора ділової активності. Цей процес здійснюється
трикроковим алгоритмом:
1. Обчислення
індексів активностей - компонент, тобто обчислення індексів 8-ми описаних вище
видів активностей.
. Обчислення
комплементарних індексів росту і розвитку. Виходячи з індексів відповідних
компонент нижнього рівня деталізації, необхідно розрахувати значення
комплементарних індексів росту і розвитку:
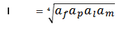
f
-фінансова активність, p - виробнича активність, l -
трудова активність, m - маркетингова активність росту.
Обчислення параметрів
результуючого вектора ділової активності. Нехай точка відліку для координатної
площині збігається з початковим станом фірми в фіксований момент часу t0.
У цьому випадку вектор ділової активності має початок в точці O(0, 0).
Вважається, що
простір росту і розвитку є не що інше, як простір прояви фірмою активності,
тобто площина росту і розвитку може бути визначена в координатах (зростання;
розвиток).
Значення
комплементарних індексів будемо відкладати по осях OG і OD, де G (англ. Growth)
- вісь росту, D (англ. Development) - вісь розвитку, а O(0;0) - початок
координат.
Рис. 1.3.
Компоненти комплементарної групи на площині (G; D) [28]
Як зазначено раніше, при
визначенні величини ділової активності компанії розглядається комплементарна
група (Іросту, Ірозвитку). Оскільки нестандартність веде
до необхідності змін, адаптації і являє собою «стресовий» фактор, вважається,
що діяльність компанії спрямована на підвищення кількості стандартних функцій,
тобто на підвищення індексу зростання. У разі підвищення стандартності може
бути отриманий вектор 
, спрямований у бік спрощення
обмінних процесів між фірмою і економічним середовищем (вісь G).
Рис. 1.4. Графічне
представлення вектора ділової активності [28]
Таким способом визначається
модуль вектора ділової активності 
, а також його спрямованість, шляхом
оцінки компонент ділової активності на верхньому рівні деталізації з
урахуванням комплементарності. В результаті отримується наочне представлення
діяльності фірми в розрізі зростання/розвиток (індекс росту/ індекс розвитку).
Оскільки ділова активність в
моделі Кремерова О.М. являє собою лінійну комбінацію показників темпів зміни
(що, в загальному вигляді, відповідає моделі сталого розвитку), то, як приклад,
автор використовує наступне співвідношення:

Таким чином, якщо положення
вектора ділової активності відрізняється від лінії оптимуму, існує два варіанта
первинного виводу:
). Якщо 
, фірма знаходиться в стані
активного економічного зростання на основі поточної діяльності (фінансова
стійкість зростає на шкоду довгостроковому розвитку компанії).
). Якщо 
, фінансова стійкість компанії в
перехідний період розвитку знижується при підвищенні стратегічного потенціалу
(за рахунок додаткових інвестиційних зобов'язань, при підвищенні вартості компанії)
[28].
Для того, щоб оцінити
допустимі межі відхилення вектора від оптимального кута 
, автор користується другим
параметром вектора ділової активності в просторі (G; D). Оскільки приймається,
що визначальним параметром для модуля ділової активності є темп зростання
індексів, модуль вектора ділової активності має обмеження 
. Автор представляє взаємозв'язок
між кутом відхилення вектора і його модуля в наступному вигляді:



- модуль вектора ділової активності,
відповідно.
Дана формула задовольняє
наступним вимогам:
1. оптимальний
кут нахилу включений у формулу розрахунку відхилення;
2. при 
діапазон допустимого відхилення
фактичного кута від оптимума повинен бути максимальним;
. при 
та 
і діапазон допустимого відхилення
фактичного кута повинен спадати, причому зменшення допустимого відхилення на
інтервалі 
має йти значно швидше [28].
Відповідно, для відображення
на графіку досить позначити межі діапазону допустимих значень, складові 
(рис. 1.5). При цьому зону між
лінією оптимуму і 
визначимо як зону активного
розвитку, в той час, як зону між лінією оптимуму і 
- зоною активного росту.
Рис. 1.5. Діапазон допустимих
значень кута нахилу і модуля вектора ділової активності [28]
Також у роботі Кремеров О.М.
запропоновано методику організаційного супроводу планування ділової активності
компанії на підставі описаного комплексного механізму.
Достовірність результатів,
пропонованих дослідженням, підтверджується сукупністю численних джерел, на
підставі аналізу яких базуються висновки, а також на апробації математичної
моделі та успішне отримання практичних результатів моделювання, що узгоджуються
з теоретичними висновками (маються акти про впровадженні).
Кухарєва О.О та Корнєєв М.В.
[10] визначають ділову активність вітчизняного промислового підприємства як
комплексну порівняльну характеристику підприємства, яка відображує ступінь
переваги сукупності оціночних показників його діяльності, що визначають успіх
підприємства на певному ринку за певний проміжок часу, по відношенню до
сукупності показників конкурентів. Такий підхід полягає у оцінці ефективності
діяльності всіх підрозділів підприємства. В основі методу лежить оцінка
критеріїв ділової активності та конкурентоспроможності.
Критерії ділової активності
промислового підприємства включають: ефективність менеджменту підприємства,
ефективність маркетингової діяльності, ефективність фінансової діяльності
підприємства та конкурентоспроможність товару. Кожний критерій має власну
вагомість(питому вагу - Aj (j=1,2,3,4)). В свою чергу, кожна складова
(критерій) характеризується групою показників, які також характеризуються різними
ступенями вагомості aji, розрахованими експертним шляхом.
Також автори пропонують
орієнтовані показники запропонованих вище критеріїв ділової активності
промислового підприємства та пропоновану вагомість(питому вагу) кожного
показника.
Недоліком такого підходу
оцінки ділової активності є важкість отримання інформації по показникам кожної
групи; також даний метод не враховує абсолютно всі можливі показники
(наприклад, соціально-психологічні тощо).
Отже, питання комплексного
аналізу ділової активності саме українських підприємств дедалі набуває
важливого та актуального значення, оскільки система показників, які її
характеризують, відрізняється від методики інших країн. Які в свою чергу, не
можуть застосовуватись для вітчизняних підприємств через значну різницю їх
територіальних особливостей та особливостей розвитку економіки в цілому.
Таким чином, питання
дослідження ділової активності підприємства потребує подальшого розширення та
розробки такої ефективної комплексної моделі оцінки ділової активності підприємства,
яка врахувала б максимально можливі кількісні і якісні критерії та точно
відобразила б діяльність підприємства.
Розділ 2. Економіко-математичне
моделювання ділової активності підприємств науково-технічної сфери в Україні
.1 Аналіз ділової активності
підприємств науково-технічної сфери в Україні
Зважаючий на сучасний стан розвитку
науково-технологічної сфери у світі, більшість розвинутих країн, де наука є
головним економіко-відтворювальним фактором, забезпечують свій економічний
розвиток за рахунок вдосконалення технологій, техніки та використанням
принципово нових наукових досягнень. Тому конкуренція між розвиненими країнами
поступово перетворилась у конкуренція сфери науки і технологій. Зважаючи на це,
можна стверджувати, що Україна стане процвітаючою державою тільки тоді, коли
вона зможе комплексно і ефективно освоїти в своїх інтересах території та
ресурси, якими володіє. Місце України у світовому господарстві дедалі більше
визначатиметься якістю людського капіталу, станом освіти та рівнем використання
досягнень науки і техніки, тому, на нашу думку, дослідження підприємств саме
науково-технологічної галузі є досить актуальним та доцільним питанням
сьогодення.
Крім того, за оцінками експертів
Україна впевнено посідає перше місце у світі за густиною кадрового
науково-технічного потенціалу‚ значно випереджаючи Японію‚ Ізраїль і США. В той
же час за рівнем продуктивності національної економіки Україна займає тільки
82-ге місце у світі‚ програючи Японії у 10,8 рази; Ізраїлю - у 7,8; США - у 13,2
рази.
Кількість
організацій, які здійснювали науково-технічну діяльність у 2012 р., становила
1208, з яких найбільша частка (52,8%) - організації галузевого профілю:
найбільші - технічні (42,1%) і природничі науки (35%), найменші - на суспільні
(12,6 %) і гуманітарні науки (3,7 %). Крім цього, найбільша кількість
організацій, що виконують наукові та науково-дослідні роботи, розташована у м.
Києві і Харківській області.
Оскільки оцінка ділової активності
підприємства здійснюється шляхом вивчення рівня ефективності використання його
ресурсів. Ефективне використання фінансових ресурсів визначається їх
оборотністю. Для обґрунтованої оцінки стану оборотних коштів аналізують
передусім їхню динаміку, бо балансові залишки оборотних коштів на кінець року,
як правило, є нижчими, ніж на певні поточні дати, оскільки перед складанням
кінцевого балансу перевіряється його реальність за допомогою проведення
інвентаризації. Методика аналізу оборотності оборотних коштів полягає в
порівнянні показників оборотності оборотних коштів підприємства за звітний
період з аналогічними показниками за минулий звітний період. У такий спосіб
виявляються тенденції зміни ефективності використання оборотних коштів.
Для моделювання
ділової активності було вибрано вибірковим чином 100 підприємств
науково-технологічної сфери України та проведену оцінку їх ділової активності
протягом 2008-2012 рр.. На рис. 2.1, 2.2 та 2.3 відображено динаміку основних
показників ділової активності для вибраних підприємств.
Протягом всього
аналізованого періоду 2008-2012 рр. капітал підприємств науково-технологічної
сфери України встиг обернутись приблизно по 1 разу за рік. Разом з цим
зменшується ресурсовіддача у динаміці, що оцінюється негативно.
Коефіцієнт
оборотності запасів підприємств науково-технологічної сфери України протягом
2008-2012р. мав тенденцію до збільшення лише у 2011 р. У 2012 його значення
свідчило, що підприємства 80 разів в середньому продавали свої запаси протягом
року. Уповільнення швидкості обороту оборотних засобів стало наслідком різкого збільшення
дебіторської заборгованість і неефективного управління обіговими коштами
загалом.
Коефіцієнт
дебіторської заборгованості підприємств мав тенденцію до зменшення від 10 разів
у 2008р. до приблизно 7 у 2012р. Відповідно тривалість обороту дебіторської
заборгованості підприємства збільшилась від 201 дн. у 2009р. до 581 дн. у
2011р. та 938 дн. у 2012р. Такі значні зміни стали основним фактором
негативного зростання операційного циклу. Це свідчить про збільшення продажу з
відстрочкою платежу і зростання тривалості погашення боргу покупців, що в свою
чергу призвело до зростання тривалості кредиторської заборгованості
підприємства. Тобто, оскільки підприємствам вчасно не повертали гроші за їх
продукцію, то для подальшого функціонування вони були вимушені брати кредити та
аналогічно не мали змоги повертати їх вчасно та протягом 2008-2012 рр.
зменшували кількість разів погашення своєї заборгованості від 11 до 7-8 разів
відповідно. Різке зниження коефіцієнта оборотності кредиторської заборгованості
свідчить про зниження платоспроможності підприємств.
Рис. 2.1. Динаміка
коефіцієнтів оборотності запасів, капіталу, дебіторської та кредиторської
заборгованостей підприємств науково-технологічної сфери України протягом
2008-2012 рр.
Операційний цикл
дорівнює часу між закупівлею сировини й матеріалів чи товарів і отриманням
виручки від продукції. У 2009р. порівняно з 2008р. операційний цикл збільшився
на 96 дн. Зростання цього показника є негативною характеристикою виробництва.
Бо при збільшенні тривалості операційного циклу, за інших рівних умов,
збільшується час між закупівлею сировини й отриманням виручки, унаслідок чого
знижується рентабельність. Проте у наступні роки операційний цикл зменшувався,
досягши свого мінімального значення у 2012р. - 260 дн. Значні зміни відбувались
у фінансових циклах підприємств, маючи від’ємне значення у 2010 та 2011 роках,
що свідчить про значне користування кредиторськими коштами в цей період, проте
уже у 2012р. підприємства змогли погасити свої борги, стабілізуючи стан свого
функціонування (рис. 2.2)
Рис. 2.2. Динаміка
операційного та фінансового циклів підприємств науково-технічної сфери України
протягом 2008-2012 рр.
Зміни коефіцієнта
стійкості економічного зростання підприємств науково-технологічної сфери в
Україні показали, що у 2008р. прибуток у розмірі 16 % власного капіталу за рік
направлено на розвиток і створення резервів підприємства, у 2009р. та 2010р. -
лише 2% та 4% відповідно, а у 2011 та 2012 рр. річні збитки підприємств
зменшили власний капітал на 7 та 1% відповідно. Такі зміни коефіцієнта
стійкості економічного зростання характеризуються негативними явищами (рис.
2.3).
Рис. 2.3. Динаміка
коефіцієнтами стійкості економічного зростання підприємств науково-технічної
сфери України протягом 2008-2012 рр.
В загальному ділова
активність підприємств науково-технічної сфери України погіршилась у динаміці.
Підприємствам слід застосувати заходів спрямованих на покращення їх
дебіторської політики політику та політики реалізації їх товарів оскільки їх
збитки призводять до втрати підприємствами власних капіталів.
.2 Інтегральний
показник ділової активності підприємств науково-технічної сфери України
Таким чином, оцінка
ділової активності підприємств - складний процес, що включає в себе ряд
аспектів, які потрібно врахувати при аналізі. Крім того, в результаті такого
аналізу ми отримаємо на виході сукупність різноманітної інформації, яка не дає
нам чіткої рекомендації щодо точної оцінки ділової активності підприємств.
Тому для отримання
обґрунтованої і значною мірою достовірної оцінки ділової активності
підприємства доцільно застосовувати сукупність методів з врахуванням різних
показниках. В дослідженні ми розробили інтегральний показник оцінки ділової
активності підприємства, що базується на показниках, які є характеристиками
аналізу ділової активності у економічному аналізі: коефіцієнти оборотності
певних активів підприємства та коефіцієнт стійкості економічного зростання.
Оскільки всі ці показники мають однакову розмірність, то їх можна зіставляти.
Слід відмітити, що
показники відображають різний характер взаємозв’язку між значенням показника й
діловою активністю: прямий - чим більше значення показника, тим вища активність
та зворотній - чим більше значення показника, тим активність нижча, що, в свою
чергу, визначає напрямок оптимізації показника.
Також кожний показник може по
різному визначати ділову активність підприємств, мати різну вагомість та силу
впливу на інтегральний показник. Для врахування даного фактору доцільно ввести
вагові оцінки для кожного показника.
З аналізу наукових праць
встановлено, що вчені-економісти вирішують проблему низкою методів: експертний,
методом на основі використання показника варіації, методом використання
нормативних значень. За неспроможністю встановлення нормативних значень
статистичних ознак, дослідники найчастіше схиляються до використання перших
двох. Експертний метод залишимо за межами нашої уваги у зв’язку з
багатоваріантністю та суб’єктивністю його реалізації. Проникаючи у сутність
коефіцієнта варіації, у багатьох економістів виникають сумніви щодо
адекватності його використання при розрахунках вагових коефіцієнтів [23].
Тому, як
альтернативний розглянутому вище методу, пропонується метод аналізу темпів
зростання показників. У теоретико-методологічному аспекті метод базується на
закономірності випереджувального розвитку елементів системи, сутність якої
полягає у тому, що певні елементи системи мають розвиватися більш швидкими
темпами ніж інші. Для врахування зазначеної закономірності необхідно порівняти
між собою темпи зростання показників у нормативному аспекті, а саме встановити
між ними відносини переваг. Результати аналізу темпів зростання статистичних
показників в рамках закономірності випереджувального розвитку дозволяють цілком
логічно з економічної точки зору зважити статистичні показники [23].
Використовуваний підхід передбачає
використання відносних показників. Тому, оскільки наші вибрані показники
ділової активності є відносними, то ми формуємо матрицю переваг цих показників
(рис. 2.4).
|
Кзр
|
КоЗ
|
КоДЗ
|
КоКЗ
|
КоК
|
|
Кзр
|
|
|
|
|
|
|
КоЗ
|
1
|
|
1
|
|
|
|
КоДЗ
|
1
|
|
|
|
|
|
КоКЗ
|
1
|
1
|
1
|
|
|
|
КоК
|
1
|
1
|
1
|
1
|
|
Рис. 2.4. Матриця переваг показників
ділової активності підприємств науково-технологічної сфери України
Враховуючи доцільність використання
відносних показників, етапи розрахунку їх коефіцієнтів вагомості на основі
наведеної вище матриці переваг темпів зростання показників:
Розрахунок
кількості відносин домінування показників, що є складовими відносного показника
у матриці:
де 
- сума відносин домінування
показника у і-му рядку відносно інших показників у j- ій колонці;
Таким чином,
використовуючи дану методику, ми отримали такі результати відображені у табл.
2.2. Звідси слідує, що найзначніший вплив на значення інтегрального показника
ділової активності підприємств науково-технологічної сфери мають: коефіцієнти
оборотності капіталу та кредиторської заборгованості підприємств.
Таблиця 2.1.
Вагові коефіцієнти інтегрального показника ділової активності
|
Показник
|
Ваговий коефіцієнт (Wk)
|
|
Кзр
|
0
|
|
КоЗ
|
0,2
|
|
КоДЗ
|
0,1
|
|
КоКЗ
|
0,3
|
|
КоК
|
0,4
|
Проте, за
результати такого підходу показали на те, що у розробленому інтегральному
показникові не слід включати коефіцієнт стійкості економічного зростання,
оскільки його темп росту був найменший та незначним у порівнянні з іншими
показниками. Тобто, інтегральний показник ділової активності підприємств
науково-технологічної сфери України матиме вигляд:
ДA=0,2 КоЗ + 0,1 КоДЗ
+ 0,3 КоКЗ + 0,4 КоК
Отже, цей
інтегральний показник ділової активності враховує тільки кількісні фактори.
Його значення буде оцінюватись позитивно коли показник ростиме в динаміці,
оскільки всі коефіцієнти, що входять до інтегрального показника ділової
активності свідчать про позитивні наслідки коли вони збільшуються у динаміці.
Результати
розрахунку розробленого показника ділової активності підприємств
науково-технологічної сфери в Україні графічно зображені на рис. 2.6. Таким
чином, рівень ділової активності підприємств науково-технологічної сфери
погіршився у динаміці протягом 2008-2012 рр. Причинами такого різкого спаду
стало те, що майже усі показники, що характеризують ділову активність
підприємств значно погіршились у динаміці протягом досліджуваного періоду.
Головним фактором, що вплинув на позитивну зміну рівня ділової активності стало
значне зростання числа оборотів запасів підприємств.
Рис. 2.5. Динаміка інтегрального
показника ділової активності підприємств науково-технологічної сфери України
протягом 2008-2012 рр.
Отже, виходячи з
результатів проведення інтегральної оцінки ділової активності підприємств
науково-технічної сфери України протягом періоду 2008-2012 рр. спостерігається
значне зниження її рівня. Лише у 2011р. ділова активність покращилась у
динаміці. Причиною різкого спаду рівня ділової активності підприємств у 2009р.
могли бути наслідки фінансової кризи 2008-2009 рр. Таким чином, підприємствам
науково-технічної сфери в Україні необхідно прийняти заходи на покращення своєї
ділової активності, зокрема змінити свою дебіторську та кредиторську політики,
які значно гальмують рівень ділової активності.
Проте, розроблений інтегральний
показник визначення ділової активності підприємств має ряд недоліків, які
потребують подальшого вдосконалення є:
· інтегральний
показник оцінює ділову активність в цілому на даний момент;
· показник
характеризуватиме динаміку ділової активності підприємств лише певної галузі,
по результатам яких розраховувались вагові коефіцієнти;
· неврахування
якісних показників оцінки ділової активності підприємства;
· необхідність
врахування зовнішніх факторів впливу на рівень ділової активності та динаміки
змін на ринку;
· відсутність точних
меж допустимого значення показник
Отже, запропонований у роботі
інтегральний показник дозволяє оцінити динаміку ділової активності підприємств
із врахуванням значень коефіцієнтів, які згідно з теорією економічного аналізу
визначають стан та рівень ділової активності підприємств. Результати його розрахунку
для певних підприємств дозволяють цілком логічно з економічної точки зору
оцінити динаміку ділової активності, оскільки ваги інтегрального показника
побудовані з врахуванням закономірності випереджувального розвитку показників.
Проте цей інтегральний показник має ряд недоліків, тому він потребує значного
вдосконалення, що зможе забезпечити більш точну оцінку рівня ділової
активності.
Розділ 3. Оцінка
ділової активності підприємств науково-технічної сфери в України та шляхи її
активізації
.2 Способи
оптимізації ділової активності підприємств науково-технічної сфери в Україні
Проведені
дослідження ділової активності підприємств науково-технічної сфери в Україні
показали що її рівень негативно змінюється в динаміці протягом досліджуваного
періоду. Можна стверджувати, що на діяльність підприємств мала значний вплив
фінансова криза 2008-2009 рр., що наслідки якої характеризувались спадом
обсягів виробництва, виникненням ознак нестабільності у банківському секторі.
Тому наразі
діяльність цих підприємств має чимало проблем, які потребують вирішення та
застосування ряд заходів для підвищення їх фінансово стану та рівня ділової
активності в тому числі.
Проте діяльність
науково-технічних підприємств має ряд позитивних характеристик:
· У
2012 р. продовжилося збільшення кількості виїзду наукових працівників за межі
України з метою здійснення міжнародної співпраці [3];
· Вітчизняна
наука за деякими напрямами (математика, теоретична фізика, хімія,
біотехнологія, матеріалознавство, технології зварювання та отримання захисних і
зміцнювальних покриттів, космонавтика) мають визнані позиції серед науковців
світу. Про достатньо високий попит на дослідження і розробки науковців України
свідчить щорічне надходження від іноземних замовників в обсязі понад 20 %
загального фінансування НДДКР;
· Рівень
успішності наукових колективів України (частка прийнятих до фінансування
проектів від кількості поданих проектів) становить 20,22 %, що відповідає
середньому рівню РП7 (22,58 %), але є вищим, ніж у нових членів ЄС (18,70 %)
[3].
Проте, поробленими
сторонами підприємств науково-технічної сфери в Україні перш за все є те, що:
· Показники
фінансового забезпечення сфери науки в Україні є значно нижчими за світові
стандарти, що зумовлює подальше посилення технологічного відставання української
економіки від провідних економік світу;
· Низький
рівень оплати праці у науковій сфері спричиняє відтік кваліфікованих
спеціалістів до інших, зокрема фінансових структур [3];
· Недосконала
політика дебіторської заборгованості;
· Неефективність
політики реалізації їх товарів;
· Збитковість
діяльності підприємств.
Тобто підприємства
науково-технічної сфери в Україні для підвищення рівня своєї ділової активності
потребує застосування ряд важливих заходів.
Ефективність
діяльності підприємства в значній мірі залежить від розробленої системи шляхів
і напрямів їх реалізації щодо раціоналізації рівня ділової активності та
своєчасності прийняття оперативних управлінських рішень. Зростання ділової
активності підприємства полягає насамперед у підвищенні ефективності
використання ресурсів підприємства за рахунок прискорення оборотності ресурсів
і скорочення періоду їх обороту [1].
Отже, для
покращення загального стану діяльності підприємств науково-технологічної сфери
в Україні, та для рівня їх ділової активності, ми пропонуємо ряд напрямків
спрямованих на покращення їх позицій:
ü Визначити
оптимальне співвідношення власного і залученого капіталів та ефективність їх
використання. Це зможе привести до покращення кредитоспроможності та
конкурентоспроможності науково-технологічних підприємств та зміцнити їх
фінансову стійкість на незалежність.
ü Підприємства
мають бути зацікавленим у скороченні термінів погашення платежів своїх
дебіторів шляхом удосконалення розрахунків, своєчасного оформлення
розрахункових документів, передоплати, впровадження вексельної форми
розрахунків. Разом з цим вчасне повернення коштів дебіторів підприємств
зумовить вчасне погашення своїх боргів по кредитах підприємствами. У критичних
випадках підприємства можуть залучати установи, які стягують борги їх
дебіторів, за наявністю документальних підтверджень або здійснювати продаж
рахунків дебіторів факторинговій компанії чи банку; формувати системи штрафних
санкцій за прострочене виконання зобов’язань.
ü Одним
із способів може стати страхування кредитів для захисту від значних збитків з
безнадійних боргів.
ü Як
альтернативу прискорення операційного циклу ми пропонуємо здійснення
факторингових операцій, розвиток яких сприяє вирішенню проблем скорочення
дебіторської заборгованості та істотному зниженню ризиків, зменшення грошових
потоків.
ü Досягнення
адекватного рівня оплати праці у сфері досліджень і розробок має бути одночасно
і фактором, і результатом підвищення ефективності науки, що потребує
розроблення і запровадження у практику організацій державного сектору науки
більш гнучких систем оплати з урахуванням віддачі конкретного науковця [22].
ü Створення
ефективної організації виробничих запасів, що є важливою умовою підвищення
ефективності використання оборотних коштів. Основні шляхи скорочення виробничих
запасів підприємства можна звести до їх раціонального використання, ліквідації
наднормативних запасів матеріалів, вдосконаленню нормування, поліпшення
організації постачання та ін.
ü керівництвам
підприємств потрібно ставити перед собою завдання щодо максимізації прибутку,
оскільки він є основним фактором, який забезпечує стійке економічне зростання
підприємств. Основні шляхи максимізації фінансових результатів підприємства
полягають у нарощенні випуску продукції з одночасним підвищення її якості,
оптимізації виробничих процесів, зниженні собiвартостi виробництва,
диверсифікації ринків збуту продукції та проведенні виваженої дивідендної
політики підприємства.
ü Також
потрібно вжити заходів для збільшення гнучкості та швидкості реакції на зміни
кон’юнктури ринку, підвищення конкурентоспроможності виробництва та продукції,
висока інвестиційна активність, ліквідність та фінансова стабільність
ü Розширювати
ринок збуту продукції власного виробництва через застосування реклами, що
збільшить кількість споживачів, підвищить рівень доходу підприємства, а отже і
рівень рентабельності.
ü В
процесі підвищення ділової активності підприємства важливим моментом є
створення корпоративної культури і мотивації персоналу; вдосконалення
керівництва всім тим, що спрямоване на досягнення цілей [24].
ü Підприємствам
науково-технологічної сфери потрібно розробити прогнозний рух грошових коштів,
спрямований в основному на підвищення рівня фінансової стійкості і підвищення
рівня рентабельності, для чого необхідно збільшити частку довгострокових
кредитів у пасиві балансу при одночасному зменшенні поточних зобов’язань, що
дасть можливість більш широкої фінансової маневреності протягом найближчого
часу.
Застосування
запропонованих заходів підприємствами науково-технологічної сфери в Україні
зможе забезпечити, перш за все зміцнення їх на ринку, підвищити фінансову
незалежність та стійкість, і тоді вже збільшити рівень їх ділової активності.
Таке всебічне зміцнення ділової активності дасть змогу українським
підприємствам приймати обґрунтовані управлінські рішення щодо планування та
прогнозування темпів розвитку господарської діяльності підприємства.
Розділ 4. Охорона праці в галузі
4.1 Визначення
поняття «охорона праці», оптимальний режим праці та відпочинку
Відповідно до Закону
України,,Про охорону праці” від 14.10.1992 р. (у редакції від 18.11.2012 р.),
охорона праці - це система правових, соціально-економічних,
організаційно-технічних, санітарно-гігієнічних і лікувально-профілактичних
заходів та засобів, спрямованих на збереження життя, здоров’я і працездатності
людини у процесі трудової діяльності. Нормативно-правовими актами, які
регулюють охорону праці в галузі освіти, є наступні: ,,Положення про
організацію роботи з охорони праці учасників навчально-виховного процесу в установах
і закладах освіти” (1.08.2001 р.); ,,Положення про порядок трудового і
професійного навчання неповнолітніх професіям, пов’язаним з роботами із
шкідливими та важкими умовами праці, а також з роботами підвищеної небезпеки”
(15.12.2003 р.); ,,Положення про порядок розслідування нещасних випадків, що
сталися під час навчально-виховного процесу в навчальних закладах” (31.08.2001
р.); ,,Типове положення про кабінет охорони праці” (18.07.1997 р.);,,Правила
проведення туристських подорожей з учнівською і студентською молоддю України”
(6.04.1999 р.) та інші документи.
Однією з головних
характеристик трудового процесу є напруженість праці. Вона відображає
навантаження переважно на центральну нервову систему, органи чуттів, емоційну
сферу працівника. Факторами напруженості праці є: інтелектуальні, сенсорні,
емоційні навантаження, ступінь монотонності праці, режим роботи. Розумова праця
поєднує роботи, пов’язані з прийомом і переробкою інформації, що вимагають
переважно напруженості сенсорного апарату, уваги, пам’яті, а також активізації
процесів мислення та емоційної сфери. Фізіологічною особливістю розумової праці
є мала рухливість і вимушена одноманітна поза. При цьому послаблюються обмінні
процеси, що обумовлюють застійні явища в м’язах ніг, органах черевної порожнини
і малого тазу, погіршується постачання кисню до головного мозку. При значній
розумовій напруженості спостерігається тахікардія (частішання пульсу),
підвищення кров’яного тиску, зміни в електрокардіограмі, електроенцефалограмі,
які характеризують біоелектричну активність мозку, збільшення легеневої
вентиляції і споживання кисню. На відміну від фізичної, розумова праця
супроводжується меншими витратами енергетичних запасів. Основним працюючим
органом виступає мозок. Під час розумової праці значно активізуються аналітичні
та синтетичні функції центральної нервової системи, прийом і переробка
інформації, виникають функціональні зв’язки, нові комплекси умовних рефлексів,
зростає роль функцій уваги, пам’яті, навантаження на зоровий та слуховий
аналізатори.
Розумовій праці
властивий найбільший ступінь зосередження уваги - в середньому у 5-10 разів
вище ніж при фізичній праці. Завершення робочого дня зовсім не перериває
процесу розумової діяльності. Розвивається особливий стан організму - втома, що
з часом може перетворитися на перевтому. Все це призводить до порушення
нормального фізіологічного функціонування організму. Стомлення - загальний
фізіологічний процес, яким супроводжуються усі види активної діяльності людини.
З біологічної точки зору це тимчасове погіршення функціонального стану
організму людини, що виявляється в змінах фізіологічних функцій і є захисною
реакцією організму. Воно спрямоване проти виснаження функціонального потенціалу
центральної нервової системи і характеризується розвитком гальмових процесів у
корі головного мозку. Внаслідок невідповідності між витратами організму в
процесі роботи і темпом протікання відновлювальних процесів виникає перевтома.
Позамежні форми психічної напруги викликають дезінтеграцію психічної
діяльності. При цьому втрачається жвавість і координація рухів, знижується
швидкість відповідних реакцій, з’являються непродуктивні форми поводження -
гіперактивність, тремтіння рук, запальність, невластива різкість (збудливий
тип). До суб’єктивних ознак перевтоми відноситься почуття втоми, бажання
знизити ритм роботи чи припинити її, почуття слабості в кінцівках. Важке
стомлення - крайній варіант фізіологічного стану, що граничить з патологічними
формами реакції.
Після закінчення
розумової праці втома залишається довше, ніж після фізичної праці, однак навіть
у стані перевтоми працівники здатні довгий час виконувати свої обов’язки без
особливого зниження рівня працездатності і продуктивності. Під час розумової
праці важко вимкнути механізм переробки інформації навіть під час відпочинку;
люди працюють не лише 8-12 годин на добу, а майже постійно з короткими
переключеннями.
До факторів
підвищення ефективності праці належить раціональний режим праці і відпочинку.
Це встановлені для кожного виду робіт порядок чергування та тривалості періодів
роботи й відпочинку, які підтримують високу працездатність, зберігають здоров’я
працівників. Він передбачає правильне чергування часу роботи з мікропаузами та
перервами на відпочинок. Режим праці включає характеристики трудового процесу -
інтенсивність чи екстенсивність, а також допустиму тривалість дії шкідливих
факторів. З фізіологічної точки зору режим праці і відпочинку являє собою
процес управління функціональним станом працівника з метою оптимізації
діяльності.
Тижневий режим праці і відпочинку
характеризується встановленою кількістю робочих днів і годин, порядком
чергування днів роботи і відпочинку. Річний режим праці і відпочинку
визначається загальною кількістю днів і годин роботи, періодичністю і
тривалістю відпусток.
Численними дослідженнями науковців
було встановлено певні фізіологічні закономірності, які покладені в основу
розробки режимів праці і відпочинку.
· Час роботи залежить
від її інтенсивності: чим важча робота, чим вищий її темп, тим менша допустима
щільність робочого часу. Збільшення енергозатрат у 2 рази скорочує робочий час
у 4 рази.
· Допустимий час
роботи обернено пропорційний допустимій частоті пульсу. При робочій частоті
пульсу 100 ударів/хв.. тривалість робочого часу становить 8 год, а при частоті
пульсу 150 ударів/хв.. - лише 2 год.
· Чим вища фізична
працездатність людини, тим вищі допустимі величини темпу роботи, щільності
робочого часу і приросту робочого пульсу.
· Відносний час
відпочинку на одиницю часу роботи тим більший, чим вищий темп роботи і чим
менший невикористаний резерв підвищення темпу роботи.
· Відпочинок
працюючим м’язам і нервовим центрам в окремі мікроперіоди роботи забезпечується
за рахунок мікропауз, які мимовільно виникають між операціями і рухами в
зв’язку з необхідністю переключення процесів збудження і гальмування в нервовій
системі. Тривалість їх становить всього декілька секунд, але залежно від темпу
роботи вони можуть становити до 10% робочого часу.
· Сумарне відновлення
функцій тим більше, чим більша кількість періодів відпочинку (при незмінній
тривалості відпочинку).
· Різні умови і різні
види праці викликають приблизно однакові зміни працездатності.
Тривалість відпочинку повинна
задовольняти двом вимогам: бути достатньою для відновлення працездатності і
можливості повторної роботи; зберігати робочу установку.
Вибір раціонального режиму праці та
відпочинку є запорукою успішного виконання роботи.
.2 Вимого до робочого місця та
дотримання правил безпеки при користуванні персональними комп’ютерами
Площа приміщень, в яких розташовують
персональні комп’ютери має складати не менше 6 м2. Робочі місця
повинні бути розташовані не менше ніж 1 м від стіни з вікном, відстань між
бічними поверхнями комп’ютерів має бути не меншою за 1,2 м, відстань між
тильною поверхнею одного комп’ютера та екраном іншого не повинна бути меншою
2,5 м, прохід між рядами робочих місць має бути не меншим 1 м.
У приміщеннях з персональними
комп’ютерами слід щоденно проводити вологе прибирання. У них також повинні бути
медичні аптечки першої допомоги та система автоматичної пожежної сигналізації з
димовими пожежними сповіщувачами та переносними вуглекислотними вогнегасниками
з розрахунку 2 шт. на кожні 20 м2 площі приміщення. Підходи до
засобів пожежогасіння мають бути вільними.
Конструкція робочого місця
користувача ПК має забезпечувати підтримання оптимальної робочої пози з такими
ергономічними характеристиками: ступні ніг - на підлозі або на підставці для
ніг; стегна - в горизонтальній площині; передпліччя - вертикально; лікті - під
кутом 70 - 90 град. до вертикальної площини; зап’ястя зігнуті під кутом не
більше 20 град. відносно горизонтальної площини, нахил голови - 15 - 20 град.
відносно вертикальної площини. Якщо користування ПК є основним видом
діяльності, то ПК і його периферійні пристрої (принтер, сканер тощо)
розміщуються на основному робочому столі з лівого боку. Якщо використання ПК є
періодичним, то він розміщується на приставному столі, переважно з лівого боку
від основного робочого столу. Рекомендовані розміри столу: висота - 725 мм,
ширина - 600 - 1400 мм, глибина - 800 - 1000 мм. Робочий стіл для ПК повинен
мати простір для ніг висотою не менше 600 мм, шириною не менше 500 мм, глибиною
на рівні колін не менше 450 мм, на рівні витягнутої ноги - не менше 650 мм.
Робоче сидіння (сидіння, стілець, крісло) користувача ПК повинно мати такі
основні елементи: сидіння, спинку, стаціонарні або знімні підлокітники.
Монітор і клавіатура мають
розташовуватися на оптимальній відстані від очей користувача, але не ближче 600
мм, з урахуванням розміру алфавітно-цифрових знаків та символів. Розташування
монітору має забезпечувати зручність зорового спостереження у вертикальній
площині під кутом 30 град. від лінії зору працівника. Клавіатуру слід
розміщувати на поверхні столу або на спеціальній, регульованій за висотою,
робочій поверхні окремо від столу на відстані 100 - 300 мм від краю, ближчого
до працівника. Кут нахилу клавіатури має бути в межах 5 - 15 град.
Відносно вікон робоче місце повинно
бути розміщено так, щоб природне світло було збоку, переважно з лівого та
забезпечувати коефіцієнт природної освітленості не нижче 1,5 %. Робоче місце,
обладнане ПК повинно бути розташоване так, щоб уникнути попадання в очі прямого
світла. Джерела штучного світла рекомендується розташувати з обох сторін від
екрану паралельно напрямку зору. Щоб уникнути світових блисків від екрану,
клавіатури, освітлювальних пристроїв, сонця в напрямку очей необхідно
застосовувати антиблискові сітки, спеціальні фільтри для екрану, захисні
козирки, жалюзі на вікнах. Вікна приміщень повинні мати регулювальні пристрої
для відкривання.
Персональні комп’ютери, периферійні
пристрої повинні підключатися до електромережі тільки з допомогою справних
штепсельних з’єднань і електророзеток заводського виготовлення. Неприпустимим є
підключення комп’ютерів, периферійних пристроїв до звичайної двопровідної
електромережі, в тому числі - з використанням перехідних пристроїв.
Електромережі штепсельних з’єднань та електророзеток для живлення персональних
комп’ютерів, периферійних пристроїв слід виконувати за магістральною схемою, по
3 - 6 з’єднань або електророзеток в одному колі.
Перед початком роботи на ПК
необхідно виконати наступні умови. Увімкнути систему кондиціювання повітря в приміщенні.
Оглянути робоче місце і привести його в порядок; впевнитись, що на ньому
відсутні сторонні предмети; все обладнання і блоки ПК з’єднані з системним
блоком за допомогою з’єднувальних шнурів. Перевірити надійність встановлення
апаратури на робочому столі. ПК має стояти не на краю стола. Повернути ПК так,
щоб було зручно дивитися на екран - під прямим кутом (а не збоку) і трохи
зверху вниз; при цьому екран має бути трохи нахиленим - нижній його край ближче
до користувача. Відрегулювати освітленість робочого місця. Відрегулювати та
зафіксувати висоту крісла, зручний для користувача нахил його спинки. Усі
кабелі, що з’єднують системний блок (процесор) з іншими пристроями, слід
вмикати та вимикати тільки при вимкненому комп’ютері. Відрегулювати яскравість
свічення екрана ПК, мінімальний розмір світної точки, фокусування,
контрастність. Не слід робити зображення занадто яскравим, щоб не втомлювати
очей. Яскравість свічення екрана має становити не менше 100 кд/м; відношення
яскравості екрана ПК до яскравості оточуючих його поверхонь в робочій зоні - не
більше 3:1; мінімальний розмір точки свічення - не менше 0,4 мм для
монохромного ПК і не менше 0,6 мм для кольорового; контрастність зображення
знаку - не менше 0,8.
Під час виконання роботи необхідно
стійко розташувати клавіатуру на робочому столі, не допускаючи її хитання. Під
час роботи на клавіатурі сидіти прямо, не напружуватись. Для зменшення
несприятливого впливу на користувача пристроїв типу,,миша” належить забезпечити
вільну велику поверхню столу для переміщення,,миші” і зручного упору ліктьового
суглоба. Не дозволяються сторонні розмови, подразнюючі шуми. Періодично при
вимкненому комп’ютері прибирати ледь змоченою мильним розчином бавовняною
ганчіркою пил з поверхонь апаратури. Екран ПК та захисний екран протирають
ватою, змоченою у спирті. Не дозволяється використовувати рідину або аерозольні
засоби для чищення поверхонь комп’ютера. З метою зменшення негативного впливу
монотонії доцільно застосувати чергування операцій введення тексту та числових
даних (зміна змісту робіт), чергування редагування текстів та введення даних
(зміна змісту та темпу роботи). Для зменшення негативного виливу на здоров’я
працівників виробничих факторів необхідно застосовувати регламентовані перерви
для груп робіт: група А - читання інформації з попереднім запитом (діалоговий
режим роботи); група Б - введення інформації; група В - творча робота у режимі
діалогу ПК (налагодження програм, переклад та редагування текстів).
Навантаження за робочу зміну будь-якої тривалості має не перевищувати для групи
робіт А - 60000 знаків, для групи робіт Б - 45000 знаків, для групи робіт В - 6
годин. Тривалість безперервної роботи за ПК без регламентованої перерви має не
перевищувати 2 години. Під час роботи за ПК у нічну зміну, незалежно від групи
та категорії робіт, тривалість регламентованих перерв збільшується на 60 хв.
Під час регламентованих перерв з метою зниження нервово-емоційного напруження
та втоми зорового аналізатора, що розвиваються у користувачів, усунення
негативного впливу гіподинамії та гіпокінезії, запобігання розвитку
позотонічної втоми рекомендується виконувати комплекс вправ виробничої
гімнастики, а також в спеціально обладнаних приміщеннях проводити сеанси
психофізіологічного розвантаження. У випадку виникнення у працюючих за ПК
зорового дискомфорту та інших несприятливих суб’єктивних відчуттів, що
настають, незважаючи на дотримання санітарно-гігієнічних і ергономічних вимог,
режимів праці та відпочинку, слід застосовувати індивідуальний підхід у
обмеженні часу робіт за ПК та корекцію тривалості перерв для відпочинку або
проводити заміну іншими видами робіт (не пов’язаних з використанням ПК).
Розташувати принтер необхідно поруч
з процесором таким чином, щоб з’єднувальний шнур не був натягнутий.
Забороняється ставити принтер на процесор. Перед тим, як програмувати роботу
принтера, переконатися, що він знаходиться в режимі зв’язку з комп’ютером. Для
досягнення найбільш чистих, з високою роздільною здатністю зображень і щоб не
зіпсувати апарат, має використовуватися папір, вказаний в інструкції до
принтера (звичайно вагою 60-135 г/м типу Canon, HP або Xerox 4024). Під час
зминання паперу відкрити кришку і обережно витягнути лоток з папером.
Дотримуватися правил зберігання картриджа згідно з інструкцією фірми-виробника.
Забороняється: зберігати картридж без упаковки; перевертати картридж етикеткою
донизу; відкривати кришку валика і доторкатися до нього; самому заповнювати
використаний картридж. При погіршенні якості друку (сліди тонера на папері)
почистити принтер зсередини від видимих слідів тонера. Перед чищенням принтер
треба вимкнути.
Після закінчення роботи закінчити та
записати у пам’ять комп’ютера файл, що знаходиться в роботі. Вийти з програмної
оболонки і повернутися в середовище операційної системи. Вимкнути принтер, інші
периферійні пристрої. Вимкнути стабілізатор, якщо комп’ютер підключений до
мережі через нього. Штепсельні вилки витягнути з розеток. Накрити клавіатуру
кришкою для запобігання попаданню в неї пилу. Прибрати робоче місце. Оригінали
та інші документи покласти в ящик стола. Ретельно вимити руки теплою водою з
милом. Вимкнути кондиціонер, освітлення і загальне електроживлення підрозділу.
Рекомендується в спеціально обладнаному приміщенні провести сеанс
психофізіологічного розвантаження і зняття втоми з виконанням спеціальних вправ
аутотренінгу.
У разі раптового
припинення подавання електроенергії вимкнути комп’ютер. При виявленні ознак
горіння (дим, запах гару) вимкнути апаратуру, знайти джерело займання і вжити
заходів щодо його ліквідації, повідомити керівника робіт, не допускати в
небезпечну зону сторонніх осіб. При ураженні електричним струмом необхідно
негайно звільнити потерпілого від дії електричного струму, відключивши
електроустановку від джерела живлення, а при неможливості відключення -
відтягнути його від струмоведучих частин за одяг або застосувавши підручний
ізоляційний матеріал. При відсутності у потерпілого дихання і пульсу необхідно
зробити йому штучне дихання і непрямий (зовнішній) масаж серця, звернувши увагу
на зіниці. Розширені зіниці свідчать про різке погіршення кровообігу мозку. При
такому стані оживлення починати необхідно негайно, після чого викликати швидку
медичну допомогу. Для надання першої допомоги при пораненні необхідно розкрити
індивідуальний пакет, накласти стерильний перев’язочний матеріал, що міститься
у ньому на рану і зав’язати її бинтом. Якщо індивідуального пакету не має, то
для перев’язки необхідно використати чисту носову хустинку або чисту тканину та
ін. На частину тканини, яка безпосередньо торкається рани, бажано накапати
декілька капель настойки йоду, щоб одержати пляму розміром більше рани, а після
цього накласти тканину на рану.
Таким чином,
дотримання вимог безпеки при користуванні персональними комп’ютерами сприятиме
уникненню серйозних ризиків для здоров’я, зокрема психоемоційного напруження,
хронічній втомленості, погіршенню зору.
Висновки
Отже, ділова активність - це
комплексна характеристика, яка втілює різні аспекти діяльності підприємстві
може характеризуватись динамікою показників ефективності виробничо-господарської
діяльності в цілому. Головною метою аналізу ділової активності підприємства є
виявлення потенційних можливостей підвищення ділової активності на основі
оцінки динаміки основних показників діяльності підприємств в порівнянні з
галузевими показниками; впливу бізнес-середовища на діяльність підприємств в
цілому за конкретний період, ефективності використання виробничих, трудових і
фінансових ресурсів. Проведення аналітичних досліджень ділової активності
підприємств дає змогу оцінити, наскільки ефективно сформована структура їх
капіталу, як складаються їх взаємовідносини з постачальниками та замовниками, а
також з комерційними банками.
Актуальним аспектом в українській
економічній літературі є дослідження та вивчення ділової активності підприємств
науково-технологічної сфери, яка все ширше охоплює ринок та має перспективи
стати однією з провідних галузей економіки України. Перспективи цієї галузі
оцінюються досить позитивно, проте їх досягнення можливе лише покращення
загального фінансового стану підприємств та їх ділової активності як індикатора
розвитку підприємств.
В загальному ділова
активність підприємств науково-технічної сфери України погіршилась у динаміці.
Підприємства мають недостатньо надійну дебіторську політики та політику
реалізації їх товарів оскільки їх збитки призводять до втрати підприємствами
власних капіталів. В результаті цього появляється необхідність у кардинальній
модернізації та переміні політики підприємств в цілому.
Оцінка ділової
активності підприємств - складний процес, що включає в себе ряд аспектів, які
потрібно врахувати при аналізі. Крім того, в результаті такого аналізу ми
отримаємо на виході сукупність різноманітної інформації, яка не дає нам чіткої
рекомендації щодо чіткої оцінки ділової активності підприємств.
Ділова активність підприємства може
формуватися як інтегральний показник сукупності критеріїв (кількісних та
якісних) діяльності підприємства і є одним з вагомих показників стану
підприємства як виробничої системи, який визначає перспективи його подальшого
розвитку, можливість досягнення стратегічних цілей та завдань.
В роботі запропонований інтегральний
показник ділової активності для підприємств науково-технологічної сфери
України, вагові коефіцієнти якого визначались методом аналізу темпів зростання
показників. Результати аналізу темпів зростання статистичних показників в
рамках закономірності випереджувального розвитку дозволяють цілком логічно з
економічної точки зору зважити статистичні показники.
Отже, цей
інтегральний показник ділової активності враховує тільки кількісні фактори.
Його значення буде оцінюватись позитивно коли показник ростиме в динаміці,
проте не за рахунок коефіцієнта витрат на одиницю продукції. Тобто всі
коефіцієнти, що входять до інтегрального показника ділової активності свідчать
про позитивні наслідки коли вони збільшуються у динаміці, крім показника витрат
на одиницю продукції.
Найзначніший вплив
на значення інтегрального показника ділової активності науково-технологічних
підприємств мають: коефіцієнт оборотності запасів, коефіцієнт стійкості
економічного зростання та коефіцієнт швидкої ліквідності.
Рівень ділової
активності підприємств науково-технічної сфери, за розробленим інтегральним
показником, значно погіршився у динаміці протягом 2008-2012 рр. Причинами
такого різкого спаду стало те, що майже усі показники, що характеризують ділову
активність підприємств негативно змінювались протягом досліджуваного періоду.
Головним фактором, що вплинув на позитивну зміну рівня ділової активності у
2011р. стало значне зростання числа оборотів запасів підприємств.
Виходячи з
результатів проведення інтегральної оцінки ділової активності підприємств
науково-технічної сфери України протягом періоду 2008-2012 рр. спостерігається
значне зниження її рівня. Причиною різкого спаду рівня ділової активності
підприємств у 2009 р. могли бути наслідки фінансової кризи 2008-2009 рр. Таким
чином, підприємствам науково-технічної сфери в Україні необхідно прийняти
заходи на покращення своєї ділової активності, зокрема змінити свою дебіторську
та кредиторську політики, які значно гальмують рівень ділової активності.
Розроблений інтегральний показник
має ряд недоліків: неврахування якісних показників оцінки ділової активності
підприємства; інтегральний показник оцінює ділову активність в цілому на даний
момент; необхідність врахування зовнішніх факторів впливу на рівень ділової
активності та динаміки змін на ринку. Тому цей показник ділової активності
потребує значного вдосконалення, що зможе забезпечити більш точну оцінку рівня
ділової активності.
Основними напрямами
зростання ділової активності підприємств науково-технологічної сфери в Україні,
запропонованих у досліджені, є застосування заходів для зменшення періоду
операційного та фінансового циклів, підвищення ефективності використання майна,
максимізація прибутку, підвищення конкурентоспроможності продукції, пошук нових
ринків збуту.
Література
1. О.Є.
Кузьмін, “Сучасний менеджмент”, навчально-прикладний посібник, Львів, “Центр
Європи” 2010;
2. Є.Дж.
Долан, Д.Е. Ліндсей “Ринок”, переклад з англійської 1992;
3. М.Х.
Мескон, Альберт М., Хедоурі Ф. “Основи менеджменту”: переклад з англійської -
М.Дело, 2009.
4. О.Г.
Білорус, С.Г. Панченко. Менеджмент: конкурентоздатність і ефективність.- К.:
Знання, 2009. - 40 с.
5. Закон
України “Про господарські товариства”.
6. Закон
України “Про підприємництво”.
7. Закон
України “Про підприємства в Україні”.
8. Закон
України “Про власність”.
9. Андрушків
Б.М. Основи теорії та практики управління. - Львів: Світ,2011.
10.Економічна
теорія: Менеджмент (тексти лекцій), А.В. Шегеда, І.С. Каленюк, В.В. Фещенко. -
К.:УМКВО, 2009.
11.Терещенко
В.І. Організація і управління. - К.: - Знання 2008.