Фитнес-центр (спортивный комплекс) ООО 'Energy'
БИЗНЕС-ПЛАН
Фитнес
- центр (спортивный комплекс) ООО «Energy»
Резюме
Фитнес - центр - это объект
спортивно-оздоровительного назначения, предоставляющий комплекс фитнес - услуг.
Идея - инновация фитнес - центра это то, что он открывается в городе с малым
количеством конкурентов. Особенностью работы фитнес - центра является
использование системы клубных абонементов - так называемых карт членов центра.
Членская карта дает возможность неограниченного времени пребывания в центре в
часы его работы и неограниченного количества посещений в период действия
абонемента.
Цель написания бизнес плана:
создание общества с ограниченной ответственностью «Energy», планирование
организации бизнеса и привлечение для этого необходимых инвестиций.
Задачи бизнес плана:
) Проанализировать ситуацию в
отрасли;
) Проанализировать рынок
сбыта;
) Проанализировать
конкурентов;
) Разработать маркетинг -
план;
) Разработать организационный
план;
) Разработать
производственный план;
) Составить финансовый план;
) Исследовать потенциальные
риски.
Актуальность данной темы
обосновывается тем, что спрос на услуги оздоровительных спортивных центров в
крупных городах России превышает предложение. Количество желающих приобщиться к
здоровому образу жизни большое.
Организация «Energy» представляет собой
общество с ограниченной ответственностью, располагаемого в Томской области в
городе Колпашево по улице Ленина 35. Обществом с ограниченной ответственностью
признается учрежденная одним или несколькими лицами коммерческая организация, уставный
капитал которой разделен на доли определенных учредительными документами
размеров. Законодательство РФ предъявляет гораздо меньшие процедурные
требования к деятельности ООО (в том числе в том, что касается созыва общих
собраний, раскрытия информации и др.), чем к деятельности АО. Это связано с
тем, что количество участников ООО не может быть слишком велико (не более 50
человек в соответствии с Законом РФ «Об обществах с ограниченной
ответственностью», в противном случае оно обязано преобразоваться в ОАО), и с
тем, что ООО не размещает своих акций на публичном рынке капиталов. Участники
общества с ограниченной ответственностью несут материальную ответственность в
пределах их вкладов.
Вид деятельности - предоставление
услуг в сфере спортивных услуг.
Организация предполагает аренду
помещения площадью 800 м2.
Цели предполагаемого бизнеса:
предоставление фитнес - услуг и получение максимально возможной прибыли.
Перспективы развития предприятия: в
будущем - возможность расширения предприятия, повышение объемов производства.
Необходимые инвестиции - 1649
рублей.
Условия кредитования:
. Срок предоставления кредита
- 1 год.
. Процентная ставка за кредит
-11,38%, выплата кредита осуществляется помесячно равными долями.
Основные преимущества и уникальность
предполагаемого бизнеса:
. Использование минимального
количества рабочих;
. Ненасыщенность рынка
выбранной сферы;
. Малое количество
конкурентов.
. Рынок сбыта продукции:
город Томск и Томская область.
. Персонал предприятия это
слаженная управленческая команда, состоящая из высококвалифицированных
специалистов.
Финансовые результаты:
. Выручка от реализации
продукции - 21829,500 тыс.руб. в год.
. Чистая прибыль -
8761,126488 тыс. руб. в год (с учетом выплаты кредита).
. Срок окупаемости инвестиций
составляет 3 месяца.
1. Предприятие и его
продукция
Полное наименование
предприятия: общество с ограниченной
ответственностью «Energy».
Краткое наименование
предприятия: ООО «Energy».
Организационно-правовая
форма: общество с ограниченной
ответственностью.
Дата основания: 01.09.2014.
Направление
деятельности: оказание услуг в
области фитнеса.
Месторасположения: Россия, Томская область, г. Колпашево, ул. Ленина, 35.
Наименование продукции
(услуги): предоставление фитнес - услуг.
Наглядное изображение
продукции:
Рис. 1. Тренажерный зал
Функциональное
назначение услуги: укрепление мышц,
поддержание фигуры в тонусе.
Область применения
продукции: спорт, здоровый образ жизни.
Отличительные признаки
по сравнению с конкурентами:
высокое качество, широкий ассортимент, доступные цены.
Патентно - правовая
защита: свидетельство о регистрации
товарного знака.
2. Анализ рынка сбыта
Рынок фитнес - услуг города
Колпашево далек от насыщения. Конкуренция на рынке практически отсутствует,
следовательно, наш фитнес центр будет лидером этого рынка.
Сбытовая политика
|
Факторы
|
«Energy»
|
Конкурент 1
|
Конкурент 2
|
|
Место расположения
|
|
|
|
|
Близость к центру
|
+
|
+
|
+
|
|
Близость к дороге
|
+
|
+
|
-
|
|
Близость к остановке
|
+
|
-
|
-
|
|
Наличие парковки
|
+
|
+
|
+
|
|
Площадь (в квадратных метрах)
|
800
|
600
|
400
|
|
Удобство подъезда (в баллах)
|
5
|
5
|
2
|
|
Характеристика точки
|
|
|
|
|
В торговом центре/отдельно
|
Отдельно
|
Отдельно
|
Отдельно
|
|
Этаж
|
2
|
1
|
1
|
|
Количество входов/выходов
|
1
|
1
|
1
|
|
Система безопасности (камеры слежения)
|
+
|
-
|
-
|
|
Оборудование
|
|
|
|
|
Новое/не новое
|
+
|
+
|
-
|
|
Обивочный материал
|
Ткань
|
Ткань
|
Ткань
|
|
Удобство (в баллах)
|
5
|
5
|
2
|
|
Количество вешалок
|
Более 20
|
Более 20
|
5-7
|
|
Факторы
|
«Energy»
|
Конкурент 1
|
Конкурент 2
|
|
Дизайн
|
|
|
|
|
Яркость освещения (в баллах)
|
5
|
4
|
3
|
|
Цветовая гамма точки в целом
|
Зеленый, желтый, белый
|
Коричневые тона
|
Зелёный
|
|
Музыкальное сопровождение
|
+
|
+
|
+
|
|
Использование элементов декора и арт-инвентаря
|
5
|
4
|
3
|
|
Бренд
|
|
|
|
|
Узнаваемый/не узнаваемый
|
-
|
-
|
+
|
|
Привлекательность торговой марки фирмы (в баллах)
|
5
|
4
|
4
|
|
Персонал/Сервис
|
|
|
|
|
Уровень электронного обслуживания (в баллах)
|
5
|
4
|
0
|
|
Обслуживание банков. картой
|
+
|
+
|
-
|
|
Форма персонала (в баллах)
|
5
|
4
|
2
|
|
Уровень постпродажного сервиса (в баллах)
|
5
|
4
|
3
|
|
Предоставление скидок и карт постоянного клиента
|
+
|
-
|
-
|
|
Факторы
|
«Energy»
|
Конкурент 1
|
Конкурент 2
|
|
Целевая аудитория
|
|
|
|
|
Сегмент
|
18+
|
Молодёжь, бизнесмены, люди пожилого возраста
|
Частично молодёжь, родители с детьми
|
|
Платёжеспособность
|
Средняя
|
Низкая, средняя, частично выше среднего
|
Средняя
|
|
Лидер по всем позициям
|
«Energy»
|
Тип рынка, на котором собирается
действовать предприятие: растущий рынок, то есть имеющий реальные возможности
для роста объема реализации продукции.
Что касается размеров рынка
сбыта, то это Томская область, г. Колпашево; прогнозируемый темп роста рынка -
активно растущий.
Целевой сегмент рынка, на
котором предприятие будет действовать:
· Тип покупателей -
население;
· Характеристика
покупателя-населения:
- по уровню доходов
(средний - 5-8 тыс.руб.),
- по демографическим
признакам (возраст: 18+, пол: не имеет значения, семейное
положение: не имеет значения, состав семьи: не имеет значения).
- по мотивам покупок
(цена, качество, удобное месторасположение)
- по стилю жизни
(спортивный, молодежный).
Прогнозный объём продаж и его
изменения, связанные с:
· Временные
колебания: сезонные колебания (ближе к лету, увеличение продаж).
· Формирующиеся
тенденции потребления: стимулирование сбыта (индивидуальный подход к потребителям,
скидки постоянным клиентам).
· Динамика продаж за
инвестиционный период: рост продаж на 15%.
Список требований к целевому
сегменту
|
Название сегмента
|
Требования к сегменту
|
|
«Качки»
|
Накаченные мужчины от 21 года, желающие накачаться ещё больше,
для восхищения окружающих.
|
|
«Любители»
|
Парни и девушки, мужчины и женщины, желание приобрести
индивидуальные занятия с тренером для приобретения нужных форм тела.
|
|
«Группа здоровье»
|
Группа людей, желания улучшить своё здоровье, состояние
организма, желание заниматься на свежем воздухе с инструктором.
|
мотива к покупке нашего продукта
|
Название сегмента
|
Описание сегмента
|
Основные мотивы
|
|
«Качки»
|
Группа людей, помешанная на накачке своего тела. Любят большие
мышцы.
|
Красивая форма, накачка мышц, им нравиться быть на виду, для
восхищения.
|
|
«Любители»
|
Люди, желающие обрести для себя красивые формы.
|
Подтянуть фигуру, приобрести желаемые формы, самореализация.
|
|
«Группа здоровье»
|
Зрелые люди, занимающиеся ЛФК.
|
Укрепление здоровья, узнать новые методы укрепить здоровье,
возможность заниматься с тренером.
|
Кодовый замок «ЦА - Ресурсы»:
Чего хочет клиент
|
1. Квалифицированного тренера
|
|
2. Невысокую цену абонемента различных категорий
|
|
3. Оснащенность оборудованием (большой выбор тренажеров)
|
|
4.Душевые кабины
|
|
5. Привести тело в порядок
|
|
6. Система скидок на абонементы
|
|
7. Медицинский персонал
|
|
8. Магазин спортивного питания
|
|
9. Магазин спортивной одежды
|
|
10. Раздевалка (индивидуальные кабинки)
|
правил работы с потребителями
|
1. Предоставление полной информации
|
|
2. Доброжелательность
|
|
3. Приветливость
|
|
4. Внимательно слушать клиента
|
|
5. Не спорить
|
|
6. Выражать благодарность за посещение нашего спорткомплекса
|
|
7. Учитывать пожелания клиентов
|
|
8. Открытость
|
|
9. Завоевать внимание
|
|
10. На возражения клиента не волноваться и не раздражаться
|
Принятие решения о покупке
|
Этап
|
Маркетинговые мероприятия
|
|
Осознание проблемы
|
- рабочее время с 10:00 до 22:00, - без возрастных ограничений,
для мужчин и женщин, - первый месяц 20% скидка
|
|
Поиск информации
|
- реклама на телевидение - расклейка объявлений
|
|
Отбор вариантов
|
- проведение занятия на свежем воздухе с инструктором или
тренером, - продажа аудио и видео тренингов, для людей с большой занятостью
|
|
Принятие решения о покупке
|
- Соц. опрос (исследовать причины неудовлетворенности
потребителей и своевременно их устранять), - Предоставлять только достоверную
информацию, чтобы не вызывать разочарования покупателя после покупки. -
достоверная реклама с «+» и «-» товара.
|
|
Покупка
|
- регистрация посетителей, - оплата обучения, - начало занятий
|
|
Отношение к товару и предприятию после покупки
|
- проведение опроса в спорткомплексе или анонимный опрос на
сайте спорткомплекса. - на сайте рубрика, «пожелания компании».
|
. анализ Конкурентов
Так как на данном рынке пока нет
конкурентов, то анализ конкурентов мы будем делать исходя из средних
показателей конкурентов для данной сферы услуг.
SWOT-анализ
|
Возможности 1.Открытие
филиалов компании 2.Привлечение дополнительной клиентуры 3.Расширение услуг,
предоставляемых клиентам
|
Сильные стороны
1.Хорошая репутация 2.Использование современных технологий 3.Удобное
месторасположение 4.Широкая клиентура
|
|
Угрозы 1.Появление
конкуренции 2.Возникновение сложности в поиске инвестора
|
Слабые стороны
1.Уменьшение доли рынка с приходом новых конкурентов 2.Неэффективное
использование некоторого оборудования
|
PEST-анализ
|
Политические факторы
|
Экономические факторы
|
|
1. Политическая стабильность.
|
1. ВВП в 2014 году снизился на 0,5%, сальдо торгового баланса
выросло на 19,4%.
|
|
2. Изменение в законодательстве по налогам и сборам (изменение
ставки налога на прибыль).
|
2. Инфляция в январе 2014 года составила 0,6%.
|
|
3. Увеличение госсобственности в бизнесе и промышленности.
|
3. Уровень безработицы (% к экономически активному населению)
5,6.
|
|
4. Содействие предпринимательству со стороны государства.
|
4. Официальный курс рубля к доллару 35.55 (на 9.04.2014)
|
|
5. Антимонопольное регулирование, контроль за соблюдением правил
конкуренции.
|
5.Цены на энергоресурсы на 9.04.2014. Электрическая энергия -
2,03 Руб/кВт. Холодное водоснабжение - 21,30 Руб/м3.
|
|
Социальные факторы
|
Технологические факторы
|
|
1. Естественный прирост населения на конец 2013 года: 22,7
тысячи человек - трудоспособное население.
|
1. Развитие инновационных технологий в спорте и спортивных
тренажёрах (частота сердечных сокращений, датчик измерения силовых
показателей и т.д.).
|
|
2. Реально располагаемые денежные доходы население составляет
4,4% с 5,25% предыдущего года.
|
2. Федеральный закон от 04.12.2007 N 329-ФЗ (ред. от 23.07.2013)
«О физической культуре и спорте в российской федерации».
|
|
3. Среднедушевые денежные доходы 20,2 - 21,4 тыс.рублей
|
|
|
4. Расслоение общества, низкая социальная мобильность.
|
|
Концепция 4Р
|
Product Атлетические упражнения имеющие определенное свойство
(здоровье, внутренние ощущение).
|
Place Играет не особо важную роль. Желательно близость к центру
города. Спорткомплекс будет расположен в центре города.
|
|
Price Зависит от 2 факторов (цена конкурентов, новизна услуги). На
данном рынке конкурентов нет. Новизна услуги - люди не привыкли платить за материальное
воздействие на свое здоровье, они будут считать любую цену завышенной.
|
Promotion Лидеры рынка (мы) используют все каналы взаимодействия с
потребителем "интегрированную маркетинговую коммуникацию".
|
Влияние на фитнес-центр «Energy» 5 сил конкуренции
|
Сила конкуренции
|
Влияние
|
|
1.Соперничество между имеющимися конкурентами.
|
В настоящее время на рынке спорткомплексов, фитнесов, спортивных
залов города Колпашево, Томской области конкурентов нет.
|
|
2.Угроза появления новых конкурентов.
|
Эта угроза также является одной из самых главных для
спорткомплекса. Рынок Колпашево является относительно перспективным. Вполне
возможно появление конкурента.
|
|
3.Угроза появления услуг-заменителей.
|
В связи с появлением конкурентов, возможно появление конкурентов
предоставляемых услуги-заменители. К примеру организация, проводящая зарядку
на свежем воздухе.
|
|
4.Способность поставщиков торговаться.
|
Эта угроза является существенной. Потому что наш спорткомплекс
только входит на рынок города Колпашево, и поставщики способны не
торговаться.
|
|
5.Способность покупателей торговаться.
|
Предоставляются потребителям скидочные карты частым клиентам
10%. Предоставление возможности приобрести скидочную карту на 5, 10 и 15%.
|
Ключевые факторы успеха:
Предприятия-конкуренты производящие
аналогичную продукцию: крупные производители, расположенные в ближайших городах
(Спорткомплексы «Юпитер», «Победа», г.Томск), мелкие производители, находящиеся
в городе Томске (Фитнес - центры «Виктория», «Фристайл», г. Томск).
Количество предприятий, предлагающих
подобную продукцию: достаточно большое (в городе Томске и близлежащих городах).
Конкурентоспособность предприятия:
· Конкурентоспособность
нашего предприятия 4,25 баллов;
· Коэффициент
конкурентоспособности 1,58; 3,22.
Сравнительный анализ конкурентов
|
Показатели конкурентоспособности
|
Весомость
|
Баллы
|
К-способность
|
|
|
qф
|
qфк1
|
qфк2
|
Кф
|
К фк1
|
К фк2
|
|
1. Качество продукции
|
0,09
|
5
|
3
|
1
|
0,45
|
0,27
|
0,09
|
|
2. Исключительность
|
0,05
|
3
|
1
|
1
|
0,15
|
0,05
|
0,05
|
|
3. Уровень цен
|
0,04
|
3
|
3
|
3
|
0,12
|
0,12
|
0,12
|
|
4. Технические характеристики устройства
|
0,08
|
4
|
2
|
1
|
0,32
|
0,16
|
|
5. Функциональные возможности устройства
|
0,08
|
4
|
2
|
1
|
0,32
|
0,16
|
0,08
|
|
6. Дизайн, упаковка.
|
0,09
|
5
|
4
|
1
|
0,45
|
0,36
|
0,09
|
|
7. Миниатюрность (для электронной техники)
|
-
|
-
|
-
|
-
|
-
|
-
|
-
|
|
8. Возможность установки силами потребителя
|
-
|
-
|
-
|
-
|
-
|
-
|
-
|
|
9. Гарантийный срок
|
0,06
|
4
|
3
|
1
|
0,24
|
0,18
|
0,06
|
|
10. Послепродажное обслуживание
|
0,05
|
3
|
1
|
1
|
0,15
|
0,05
|
0,05
|
|
11. Уровень сервиса
|
0,08
|
4
|
3
|
2
|
0,32
|
0,24
|
0,16
|
|
12. Репутация фирмы
|
0,03
|
2
|
4
|
2
|
0,06
|
0,12
|
0,06
|
|
13. Месторасположение
|
0,09
|
5
|
3
|
2
|
0,45
|
0,27
|
0,18
|
|
14. Квалификация персонала
|
0,09
|
5
|
4
|
2
|
0,45
|
0,36
|
0,18
|
|
15. Сертификация предприятия
|
0,09
|
5
|
3
|
2
|
0,45
|
0,27
|
0,0405
|
|
16. Активная реклама
|
0,08
|
4
|
1
|
1
|
0,32
|
0,08
|
0,08
|
|
Общая весомость
|
1
|
Суммарная оценка
|
4,25
|
2,69
|
1,3205
|
Конкурентоспособность нашего
предприятия Кф:
К = å (ai x qi ),
Кф = 4,25
Кфк1 = 2,69
Кфк2 = 1,3205.
Коэффициент конкурентоспособности
предприятия Кkc:
Кkс = Кф / К фк, = Kф/Кфк1 =
4,25/2,69 = 1,58
Кkc = Кф/Кфк2 = 4,25/1,3205 = 3,22
Ккс > 1 - наше предприятие
считается конкурентоспособным.
Конкурентная стратегия предприятия:
· Стратегия
дифференциации - создание предприятием продукта с универсальными свойствами,
которые, как правило, проявляются в лучшем качестве, ассортименте,
технологическом превосходстве, дополнительных услугах, а также репутации фирмы.
4. План маркетинга
конкурентоспособность
фитнес рынок финансовый
Плюсом данного рынка является его
ненасыщенность на данный момент. В городе Колпашево нет спортивных фитнес -
центров рассчитанных на возраст (демографический признак) - 18+, при населении
23 188 человек.
Для открытия фитнес - центра был
выбран Ленинский район города Колпашево. Это связано с тем, что население в основном
приобретает продукты у услуги в центре города. Следовательно, платежеспособный
спрос на услуги фитнес - центра имеется, а предложение не высоко.
Замысел товара: оздоровление,
поддержание фигуры, приобретение желаемых форм, самоудовлетворение.
Реальное исполнение товара:
· Фирменный стиль:
цвета - зелёный, жёлтый, белый; логотип -
· Дизайн: весь дизайн
фитнес - центра основан на 3-х цветах - зелёный, жёлтый, белый.
· Качество: высокое
качество оборудования, безопасность оборудования и проведения занятий,
экологическая чистота всех помещений.
Сопровождение товара:
Все услуги демонстрируется по
телевиденью в видео - ролике.
Стадия жизненного цикла, на котором
в данное время находится товар: стадия выведения товара на рынок - на данной
стадии необходимо проводить осведомление о товаре с помощью интенсивной
рекламной кампании.
Товарная политика
|
Факторы
|
«Energy»
|
Конкурент 1
|
Конкурент 2
|
|
Широта ассортимента
|
|
|
|
|
Велотренажёры
|
+
|
-
|
+
|
|
Беговые дорожки
|
+
|
+
|
+
|
|
Эллипсоиды
|
+
|
-
|
-
|
|
Министепперы
|
+
|
-
|
-
|
|
Волейбольная сетка
|
+
|
+
|
-
|
|
Мячи
|
+
|
+
|
+
|
|
Скакалки
|
+
|
-
|
+
|
|
Обручи
|
+
|
+
|
-
|
|
Коврики для йоги
|
+
|
-
|
-
|
|
Тренажёры для пресса
|
+
|
+
|
+
|
|
Силовые тренажёры
|
+
|
+
|
-
|
|
Суммарная оценка
|
11
|
6
|
5
|
|
Глубина ассортимента по тренажёрам для пресса
|
|
|
|
|
Упоры для отжимания
|
5
|
0
|
0
|
|
Скамьи для пресса
|
3
|
2
|
1
|
|
Глубина ассортимента по силовым тренажёрам
|
|
|
|
|
Стойка силовая
|
2
|
1
|
1
|
|
Силовой центр
|
3
|
0
|
1
|
|
Штанга наборная
|
5
|
3
|
2
|
|
Силовой комплекс
|
2
|
1
|
1
|
|
Гантели
|
10
|
7
|
10
|
Для успешного выхода фитнес - центра
на рынок необходимо провести ряд маркетинговых мероприятий, связанных с
рекламой центра. Наиболее выгодными будут такие виды рекламы, как аренда щитов,
реклама в СМИ, реклама в Интернет. Также необходима вывеска центра, расходы на
которую тоже будут отнесены на маркетинговые затраты.
Затраты на рекламу рассчитываются
исходя из стоимости размещения рекламного объявления с учетом действующих
расценок в рекламно-информационных агентствах города Томска и специализированных
отраслевых журналах. Следует учесть, что предельная величина рекламных
расходов, относящихся на себестоимость продукции не должна превышать 1% выручки
от реализации в соответствии со статьей 264 Налогового Кодекса РФ.
Ценообразование:
Ценовая политика - это изменение цен
в зависимости от ситуации на рынке, с целью оказания влияния на спрос и
проведение ценовой конкуренции.
Стоимость занятий
|
Наименование:
|
Описание:
|
Цена (руб.)
|
|
Фитнес зал - 1 занятие
|
1 час занятий в тренажерном зале, в фитнес зале, в зале ЛФК.
|
200
|
|
Баскетбольный зал - 1 занятие
|
С 1 человека 1 час занятий в баскетбольном зале.
|
100
|
|
Абонемент на месяц -«8»
|
8 занятий на 1 месяц в тренажерном, фитнес и зале ЛФК.
|
1500 (100руб.экономии)
|
|
Абонемент на месяц-«10»
|
10 занятий на 1 месяц в тренажерном, фитнес и зале ЛФК.
|
1800 (200руб.экономии)
|
|
Абонемент на месяц-«12»
|
12 занятий на 1 месяц в тренажерном, фитнес и зале ЛФК.
|
2100 (300руб.экономии)
|
|
Баскетбольный зал - группа от 4-6 чел.
|
. За 1 час занятия в баскетбольном зале
|
450
|
|
Баскетбольный зал - группа от 7-10
|
За 1 час занятия в баскетбольном зале
|
850
|
|
Баскетбольный зал - группа от 11-15
|
За 1 час занятия в баскетбольном зале
|
1000
|
|
СКИДКИ:
|
|
Постоянный клиент -5
|
Выдается клиенту, посетившему 10 занятий за 2 недели.
|
5% скидки от суммы
|
|
Постоянный клиент-10
|
Выдается клиенту взамен 5%, если тот посетил 20 занятий за
месяц.
|
10% скидки от суммы
|
|
Постоянный клиент-15
|
Выдается клиенту взамен 10%, если тот посетил 20-занятий за
месяц, и привел 2-друзей, которые посетили 7 занятий за 2-недели.
|
15% скидки от суммы
|
|
Постоянный клиент-20
|
Выдается тренеру команды после 2 раза посещения со всей
командой.
|
20% скидки от суммы
|
|
|
|
|
При выработке ценовой политики
предприятие должно учитывать как будет складываться рыночная ситуация.
Тип рыночной ситуации, в которой
будет действовать предприятие:
· Быстрое возмещение
затрат - установление крайне низкой цены, рассчитанной на продажу больших
объемов продукции и возмещение затрат, связанных с ее разработкой. Требуется
при быстром расширении производства.
Метод на установление цены:
Þ Метод «затраты + прибыль»
учитывает уровень себестоимости и желаемую долю прибыли в структуре цены, его
используют для установления пределов приемлемых цен. Определите величину
надбавки к производимым затратам, которая будет применяться на нашем
предприятии: 15-20%.
Þ Цена,
определяемая спросом, учитывает различные виды спроса и динамику его развития:
полноценный спрос - цены стабильные, т.к. производитель удовлетворен своим
торговым оборотом.
Каналы распространения товаров:
У предприятия есть две возможности
продавать свою продукцию: через прямые поставки конечным потребителям или через
посредников.
Канал сбыта: одноуровневый канал
сбыта осуществляет снабжение через розничную торговлю и устанавливается в том
случае, если ассортимент продукции достаточно широкий и количество сегментов
невелико.
Вид транспорта, которым будет
пользоваться предприятие: автомобильный, заказной в транспортных фирмах.
Методы стимулирования продаж:
Стимулирование продаж должно быть
направлено на создание предпочтения у покупателей, чтобы покупки ими
совершались часто и регулярно, и при этом, чтобы покупатели почувствовали
ощутимую выгоду от приобретения товара. По отношению к посредникам
стимулирование сбыта направлено на то, чтобы они старались работать активно, с
творческой инициативой, расширяя круг потребителей и тем самым, увеличивали
объем продаж.
Метод стимулирования продаж:
Ø Стимулирование
потребителей: скидки за объем купленной услуги.
Ø Стимулирование
сферы торговли: премии продавцам за определенный объем продаж; оформление
витрины торгового помещения; подготовка торгового персонала, обмен опытом.
Реклама:
Задача рекламы состоит в том, чтобы
проинформировать потенциального покупателя о существовании данного товара,
обратить внимание на преимущества товара и побудить к покупке.
Вид рекламы, для того чтобы товар
успешно продвигался на рынок:
· избирательная
реклама - ориентирована на определенный сегмент рынка («Спорт - это модно!»);
· сравнительная
реклама - подчеркивает преимущества вашего товара перед товарами конкурентов
(«Мы гарантируем только высокое качество»);
· напоминающая
реклама - напоминает покупателям о необходимости купить данные товары, состоит
из названия фирмы, товара и, как правило, содержит рекламный лозунг («Лето не
за горами, Energy с вами!»).
СМИ, с помощью которого будет
рекламироваться услуга, и где потребитель наиболее расположен к восприятию
информации:
· наружная реклама на
плакатах, щитах, световых вывесках;
· телевизионная и
радиореклама (рейтинговые передачи).
Оптимальный размер расходов на
рекламу в зависимости от типа выпускаемой продукции и отрасли:
· расходы на
потребление товаров длительного пользования более высокие, так как обращение к
покупателю является косвенным (через телевидение, публикации в газетах и
журналах, информацию на рекламных щитах). При этом предприятие концентрирует
свои усилия на улучшение через рекламу имиджа предприятия в целом или имиджа
определенной группы изделий. Рекламные расходы составляют 4-5% от объема
продаж.
Текст рекламного обращения:
· «Энергия. Красота.
Жизнь» - вместе с Energy.
· «Инстинкт быть в
форме»
· Energy. Здоровье - дороже
золота. Для вас и вашей семьи.
· «Energy» Яркий путь к
совершенству.
· Заряди себя
энергией вместе с Energy!
+
ул.Ленина 35, мы ждём Вас!
5. Организационный план
Планирование численности персонала
позволяет установить на заданный период времени качественный и количественный
состав персонала.
Численность персонала
|
Должность
|
Кол-во
|
Заработанная плата (тыс.руб./мес.)
|
Заработанная плата (тыс.руб./год)
|
|
Директор
|
1
|
35
|
420
|
|
Менеджер обслуживающего персонала
|
1
|
18
|
216
|
|
Фитнес менеджер
|
1
|
15
|
180
|
|
Медицинский работник
|
1
|
25
|
300
|
|
Главный тренер тренажёрного зала
|
1
|
21
|
252
|
|
Главный тренер фитнес зала
|
1
|
21
|
252
|
|
Главный тренер по ЛФК
|
1
|
20
|
240
|
|
Инструктор тренажёрного зала
|
1
|
16
|
192
|
|
Инструктор фитнес зала
|
1
|
16
|
192
|
|
Инструктор по ЛФК
|
1
|
15
|
180
|
|
Уборщица
|
1
|
10
|
120
|
|
Доп.рабочие (дворник, электрик)
|
|
|
|
|
ИТОГО:
|
|
212
|
2544
|
Структурирование организации:
Набор основных функций, которые
будут осуществляться на предприятии: предоставление услуг.
Организационная структура:
функционально-ориентированная организационная структура (для средних
предприятий). В качестве основного структурного признака выступают
производственные функции. Руководитель не может охватить все процессы
управления, и поэтому привлекаются специалисты-менеджеры, которые
профессионально управляют стоящими перед ними задачами.
Потребность в кадрах:
Примерный перечень должностных
обязанностей и характеристик
Образование
|
Стаж работы
|
Функциональные обязанности
|
|
Управленческий персонал (руководители и специалисты)
|
|
1. Директор предприятия
|
высшее профессиональное образование
|
не менее 5 лет
|
управление предприятием, осуществление контроля за деятельностью
других работников, планирование и прогнозирование деятельности организации,
принятие решений относительно ее развития и функционирования, координация
деятельности подчиненных
|
|
2. Менеджер обслуживающего персонала
|
высшее профессиональное образование и дополнительную подготовку
в области менеджмента
|
не менее 2 лет
|
оперативное управление организацией, решение текущих вопросов,
организация маркетинговых мероприятий (продвижение фирмы на рынок,
отслеживание ситуации на рынке и принятие соответствующих решений,
организация мероприятий, стимулирующих спрос и привлечение новых клиентов),
контроль за деятельностью нижестоящих работников, подбор персонала, не
связанного непосредственно с оказанием услуг
|
|
3. Фитнес менеджер
|
высшее профессиональное образование
|
не менее 5 лет
|
решение вопросов, связанных непосредственно с деятельностью
организации (спортивные занятия), запись посетителей, закупка оборудования
для зала, контроль за исполнением главными тренерами и инструкторами своих
обязанностей
|
|
4. Гл.тренер тренажерного зала
|
высшее профессиональное образование
|
не менее 5 лет
|
посещает занятия младших инструкторов, использует в своей работе
наиболее эффективные методы спортивной подготовки и их оздоровления, проводит
отбор и спортивную ориентацию наиболее перспективных для дальнейшего
спортивного совершенствования, обеспечивает повышение уровня физической,
теоретической, морально-волевой, технической и спортивной подготовки
спортсменов в процессе занятий, безопасность учебно-тренировочного процесса,
разрабатывает годовые и текущие планы подготовки, составляет клиенту
программу индивидуальных тренировок
|
|
5. Гл.тренер фитнес зала
|
высшее профессиональное образование
|
не менее 5 лет
|
посещает занятия младших инструкторов, составляет план занятий
для младшего инструктора, помогает вести занятия, составляет клиенту
программу индивидуальных тренировок
|
|
6. Гл.инструктор занятий по ЛФК
|
высшее профессиональное образование
|
не менее 3 лет
|
посещает занятия младших инструкторов, составляет план занятий
для младшего инструктора, помогает вести занятия, использует в своей работе
наиболее эффективные методы оздоровления, мотивирует клиентов к посещению
занятий, для их же улучшения здоровья, составляет клиенту программу
индивидуальных тренировок
|
|
7. Инструктор тренажерного зала
|
высшее или среднее профессиональное образование или специальная
спортивная подготовка
|
не менее 5 лет
|
проведение занятий в соответствии с расписанием, помощь в
индивидуальных занятиях, по просьбам клиентов разъяснение вопросов по поводу
занятий, здоровья и спорта
|
|
8. Инструктор занятий ЛФК
|
высшее физкультурное образование с дополнительной подготовкой по
ЛФК
|
не менее 3 лет
|
проведение занятий в соответствии с расписанием, помощь клиентам
в адаптации к занятиям, по просьбам клиентов разъяснение вопросов по поводу
занятий, здоровья и спорта, проведение тренингов по улучшению здоровья
клиентов, помощь в составлении индивидуальных занятиях
|
|
9. Инструктор фитнес зала
|
высшее или среднее профессиональное образование или пецииальная
спортивная подготовка
|
не менее 5 лет
|
проведение занятий в соответствии с расписанием, помощь клиентам
в адаптации к занятиям, по просьбам клиентов разъяснение вопросов по поводу
занятий, здоровья и спорта, помощь в составлении индивидуальных тренировок
|
|
Производственный персонал
|
|
10. Медицинский работник
|
среднее профессиональное образование по специальности
|
Не менее 1 года
|
оказание первой медицинской помощи, прописание необходимых
клиенту медикаментов
|
|
11. Уборщица
|
среднее образование
|
-
|
уборка помещений не менее двух раз в день, согласно графику,
устанавливаемому менеджером
|
|
12.Доп.рабочие (1-дворник, 2-электрик)
|
1-Среднее образование 2-Профильное техническое образование по
электротехнической специальности
|
- 2-не менее 6 месяцев
|
1-Уборка территории 2- устройство различных электрических машин
постоянного и переменного тока, защитных и измерительных приборов,
коммутационной аппаратуры; наиболее рациональные способы проверки, ремонта,
сборки, установки и об-служивания электродвигателей и электроаппаратуры;
способы защиты их от перенапряжений; принцип действия и схемы
максимально-токовой защиты; технические требования к исполнению электрических
проводок всех типов
|
6. Производственный план
План подготовки и организации
производства:
Площадь помещения
|
Наименование:
|
Количество:
|
м2:
|
|
Баскетбольный зал
|
1
|
18*25=450
|
|
Тренажерный зал
|
1
|
45
|
|
Фитнес зал
|
1
|
45
|
|
ЛФК зал
|
1
|
45
|
|
Туалет
|
3
|
36
|
|
Служебное помещение
|
1
|
9
|
|
Хол
|
1
|
30
|
|
Душ
|
2
|
24
|
|
Раздевалка
|
2
|
40
|
|
Кабинет директора
|
1
|
15
|
|
Кабинет медицинского работника
|
1
|
20
|
|
Кабинет тренеров и инструкторов
|
1
|
25
|
|
Кабинет менеджеров
|
1
|
16
|
|
ИТОГО:
|
17
|
800
|
Потребность в инвестициях: объекты и
направления инвестиций
|
Наименование объекта
|
Кол-во
|
Цена за единицу (тыс.руб./мес.)
|
Общая стоимость (тыс.руб./год)
|
|
1.Аренда производственных помещений (800м2)
|
1
|
80
|
960
|
|
ИТОГО по разделу 1:
|
|
80
|
960
|
|
2.Приобретение оборудования и техники
|
|
|
|
|
2.1.Компьютер
|
1
|
25
|
25
|
|
2.2.Принтер
|
1
|
3,8
|
3,8
|
|
2.3.Телефон
|
2
|
0,8
|
1,6
|
|
2.4.Кассовый аппарат
|
1
|
3,9
|
3,9
|
|
2.5.Кресла
|
11
|
4,8
|
52,8
|
|
2.6.Стулья
|
9
|
1,2
|
10,8
|
|
2.7.Рабочий стол
|
4 2
|
4,5 5
|
28
|
|
2.8.Диваны
|
1 3
|
19 13
|
58
|
|
2.9.Музыкальный центр
|
3
|
7
|
21
|
|
2.10.ЖК-телевизор
|
1
|
31
|
31
|
|
2.11.Скамейки для раздевалки
|
8
|
2,5
|
20
|
|
2.12.Жалюзи
|
40
|
0,56
|
22,4
|
|
2.13.Шкафы для бумаг
|
4
|
6,2
|
24,8
|
|
2.14.Шкафы для раздевалки
|
1
|
3,8
|
3,8
|
|
2.15.Кондиционер
|
3
|
9
|
27
|
|
2.16.Кушетка медицинская
|
1
|
20,7
|
20,7
|
|
2.17.Спортивный инвентарь
|
|
|
|
|
· Велотренажёры
|
2
|
16
|
32
|
|
· Беговые дорожки
|
2
|
23,2
|
46,4
|
|
· Эллипсоиды
|
1
|
13,4
|
13,4
|
|
· Министепперы
|
2
|
2,19
|
4,38
|
|
· Сетка волейбольная со
стойками
|
1
|
9
|
9
|
|
· Мячи:
|
|
|
|
|
Волейбольные
|
3
|
0,9
|
2,7
|
|
Баскетбольные
|
3
|
1,8
|
5,4
|
|
для ЛФК
|
7
|
1,3
|
9,1
|
|
· Скакалки
|
7
|
0,5
|
3,5
|
|
· Обручи
|
7
|
0,17
|
1,19
|
|
· Коврики для йоги
|
7
|
0,5
|
3,5
|
|
· Тренажеры для пресса
|
|
|
|
|
Упоры для отжимания
|
2
|
0,67
|
1,34
|
|
Скамья для пресса
|
1
|
2,9
|
2,9
|
|
· Силовые тренажёры
|
|
|
|
|
Стойка силовая
|
1
|
19,9
|
19,9
|
|
Силовой центр со встроенными весами
|
1
|
23,5
|
23,5
|
|
Штанга наборная
|
1
|
18,08
|
18,08
|
|
Силовой комплекс
|
1
|
21,79
|
21,79
|
|
Гантели:
|
|
|
|
|
1кг
|
7
|
0,150
|
1,05
|
|
2кг
|
7
|
0,200
|
1,4
|
|
2,5кг
|
5
|
0,240
|
1,2
|
|
3кг
|
5
|
0,280
|
1,4
|
|
сборные
|
4
|
2,0
|
8,0
|
|
2.18.Душевая кабина
|
4
|
25,5
|
102
|
|
2.19.Кулер для воды
|
4
|
5,8
|
23,2
|
|
ИТОГО по разделу 2:
|
|
351,73
|
710,93
|
|
3.Расходы на монтаж и наладку
|
|
5
|
5
|
|
4.Производственный ремонт помещения
|
-
|
-
|
-
|
|
5.Организационные расходы (канцелярия)
|
1
|
2
|
24
|
|
ИТОГО по разделу 3,4,5:
|
|
7
|
29
|
|
Всего инвестиций, в
том числе:
|
|
|
1699,93
|
|
Собственные средства
|
|
|
50,93
|
|
Заемные средства
|
|
|
1649
|
Планирование себестоимости
продукции:
Для определения плановой
себестоимости продукции необходимо составить смету затрат на производство.
Смета затрат составляется чаще всего на год, при разработке бизнес-плана
составляется месячная смета затрат и на ее основе - годовая. Смета затрат
позволяет определить общую потребность в ресурсах, необходимых для производства
продукции.
Материальные затраты на месячную
производственную программу исходя из планируемого объема производства при
условии выхода на 75%-ю загрузку мощностей.
Стоимость материалов и комплектующих
изделий в месяц
|
Наименование материала
|
Норма расхода материала
|
Цена единицы материала
|
Стоимость материалов в месяц
|
|
1.Бутылки для куллера
|
8
|
0,140
|
1,12
|
|
2.Аптечка
|
1
|
5,5
|
5,5
|
|
3.Туалетное мыло (жидкое)
|
100
|
0,067
|
6,7
|
|
4.Туалетная бумага
|
1000
|
0,008
|
8
|
|
5.Полотенце бумажное (2шт.)
|
100
|
0,120
|
12
|
|
6.Мусорное ведро 10л (10шт.)
|
10
|
0,145
|
1,45
|
|
7.Мешки для мусора (1уп.)
|
30
|
0,030
|
0,9
|
|
8.Швабра
|
2
|
0,050
|
0,1
|
|
9.Моющие средства
|
50
|
0,053
|
2,65
|
15
|
0,030
|
0,45
|
|
11.Лампочки (Светодиодные лампы)
|
50
|
0,200
|
10
|
|
Всего
|
48,87
|
Затраты на потребляемую
электроэнергию:
· Стоимость
электроэнергии на технологические цели:
Мощность потребляемая оборудованием
|
Наименование оборудования
|
Кол-во
|
Мощность (кВт/час) на единицу
|
Общая мощность (кВт/час)
|
|
ЖК-телевизор
|
1
|
19,2
|
19,2
|
|
Беговая дорожка
|
2
|
2,88
|
5,76
|
|
Муз.центр
|
3
|
36
|
108
|
|
Компьютер
|
1
|
72
|
72
|
|
Кондиционер
|
3
|
168
|
504
|
|
Душ
|
2
|
69,6
|
139,2
|
|
Кулер
|
4
|
52,8
|
211,2
|
|
ИТОГО:
|
|
420,48
|
1059,36
|
Действительный фонд времени работы
оборудования в месяц:
336,368*12=4036,416 тыс.руб. в
год
· Стоимость
электроэнергии на освещение:
Электропотребление на освещение
помещений
|
Наименование оборудования
|
Кол-во
|
Мощность (кВт/час) на единицу
|
Общая мощность (кВт/час)
|
|
Светодиодные лампы (15Вт)
|
50
|
3,6
|
180
|
|
ИТОГО:
|
|
3,6
|
180
|
0,360*30*12=129,6 тыс.руб. в год
Затраты на заработную плату и
расходы по уплате единого социального налога (ЕСН):
· Численность рабочих
8 человек:
Ø Фонд
оплаты труда в месяц: 25+21+21+20+16+16+15+10=144 тыс.руб.
Ø Социальный
налог на ФОТ рабочих:
· Численность
управленческого персонала 3 человека:
Ø Фонд
оплаты труда в месяц: 35+18+15=68 тыс.руб.
Ø Социальный
налог на ФОТ управленческого персонала:
Затраты на амортизацию:
Амортизационные отчисления:
тыс.руб.
Затраты на аренду помещения:
в год
Затраты на рекламу:
Ø Стоимость
рекламы в СМИ (в бегущей строке: «заряди себя энергией вместе с Energy! ул.Ленина 35,
тел.5-67-89»):
Ø Стоимость
щитовой рекламы (баннер): 3000 руб./мес. Или 3тыс.руб./мес.
Ø Итого
затраты на рекламу в месяц: 39,93+3=42,93тыс.руб./мес.
Прочие затраты:
Прямые затраты (
|
Статья затрат
|
Стоимость (тыс.руб.)
|
|
Материалы, комплектующие изделия
|
48,87
|
|
Электроэнергия на технологические цели
|
336,368
|
|
Энергия на освещение
|
10,8
|
|
Заработная плата рабочих
|
144
|
|
Социальный налог на з/п рабочих
|
51,264
|
|
Заработная плата управленческого персонала
|
68
|
|
Социальный налог на з/п управленческого персонала
|
24,208
|
|
Амортизация
|
8,26236
|
|
ИТОГО:
|
691,77236
|
Смета затрат на производство
|
Статьи затрат
|
Стоимость (тыс.руб.)
|
|
в месяц
|
в год
|
|
1. Материалы, комплектующие изделия
|
48,87
|
586,44
|
|
2. Энергия на технологические цели
|
336,368
|
4036,416
|
|
3. Энергия на освещение
|
10,8
|
129,6
|
|
4. Заработная плата производственных рабочих
|
144
|
1728
|
|
5. Социальный налог на заработную плату производственных рабочих
|
51,264
|
615,168
|
|
6. Заработная плата административно-управленческого персонала
|
68
|
816
|
|
7. Социальный налог на заработную плату административно-управленческого
персонала
|
24,208
|
290,496
|
|
8. Амортизация
|
8,26236
|
99,14832
|
|
9. Аренда помещений
|
80
|
960
|
|
10. Реклама
|
42,93
|
515,16
|
|
11. Прочие затраты
|
20,75
|
249
|
|
ИТОГО полная себестоимость
|
835,45236
|
10025,428
|
конкурентоспособность
фитнес рынок финансовый
7. Финансовый план
План доходов и расходов
|
Наименование статьи
|
Величина показателей по годам
|
|
|
1-й год
|
2-й год
|
3-й год
|
|
1. Выручка от реализации
|
21829,500
|
21829,500
|
21829,500
|
|
2. Переменные затраты
|
4752,456
|
4752,456
|
4752,456
|
|
3. Валовая прибыль (стр.1- стр.2)
|
17077,044
|
17077,044
|
17077,044
|
|
4. Постоянные затраты, всего,
|
5173,824
|
5173,824
|
5173,824
|
|
в т.ч. амортизация
|
99,14832
|
99,14832
|
99,14832
|
|
5. Проценты по кредитам (см. проценты по кредитам - 11,38%)
|
187,68607
|
0
|
0
|
|
6. Налоги, относящиеся на финансовый результат (п.1, табл.11)
|
88,5876
|
88,5876
|
88,5876
|
|
7. Налогооблагаемая прибыль (стр.3-стр.4-стр.5-стр.6)
|
11527,798
|
11715,4841
|
11715,4841
|
|
8. Налог на прибыль (24% от стр.7)
|
2766,67152
|
2811,71618
|
2811,71618
|
|
9. Чистая прибыль
|
8761,126488
|
8903,7679
|
8903,7679
|
Проценты по кредитам:
Берём кредит в банке Интеза.
Кредит 1 649 000,00 руб. на 12
месяцев (1 год).
Переплата за пользование кредитом: 187686,07
руб. = 187,68607 тыс.руб.
Общая стоимость покупки: 1836686,07
руб.
Удорожание покупки: 11,38%
Эффективная процентная ставка: 20,00%
Расчёт налогообложения
|
Наименование показателя
|
Величина показателей
|
|
1-й год
|
2-й год
|
3-й год
|
|
1. Налоги, относящиеся на фин. результат:
|
88,5876
|
88,5876
|
88,5876
|
|
на имущество (2% от стоимости имущества за минусом
амортизации)
|
11,7876
|
11,7876
|
11,7876
|
|
на уборку территории (1,5% от ФОТ)
|
38,16
|
38,16
|
38,16
|
|
на нужды образования (1% от ФОТ)
|
25,44
|
25,44
|
25,44
|
|
целевой сбор (3% от МОТ х числ-ть)
|
13,2
|
13,2
|
13,2
|
|
2. Налог на прибыль (24% от налогооб- лагаемой прибыли)
|
2732,564179
|
2732,564179
|
2732,564179
|
Анализ безубыточности:
· Точка
безубыточности:
График достижения безубыточности
План движения денежной наличности:
План движения денежной наличности
содержит сведения о денежных потоках предприятия, а также проверяет синхронность
поступления денежных средств за счет:
· притока денежных
средств (выручка от реализации продукции, амортизационные отчисления, получение
кредита, доходы от продажи имущества или сдачи имущества в аренду и т.п.);
· оттока денежных
средств (затраты на производство продукции, покупка оборудования,
нематериальных активов и другого имущества, выплаты процентов по полученным
кредитам, погашение кредитов, выплаты дивидендов, налоговые платежи).
Отразите плановое движение денежной
наличности с разбивкой по годам. При этом следует учесть, что «денежные
средства от производственной деятельности», по итогам расчетов должна
получиться сумма чистой прибыли и амортизации, а «денежные средства от
инвестиционной деятельности», итоговая величина денежных потоков будет использоваться
в последующем, при расчете эффективности инвестиций. Также в таблице должна
быть приведена схема возврата кредитных средств, данные по которым
проставляются соответственно в строках 5,14,15. Остаток денежных средств на
конец года отражается в строке 17, и в дальнейшем должен быть направлен на
обеспечение производственной и финансовой деятельности последующего года.
План движения денежной наличности
|
Наименование статьи
|
Величина показателей
|
|
|
до начала производства
|
1-й год
|
2-й год
|
3-й год
|
|
Денежные средства в наличии на начало года
|
|
|
|
|
|
2. Выручка от реализации продукции
|
0
|
21829,500
|
21829,500
|
21829,500
|
|
3. Переменные затраты
|
0
|
4752,456
|
4752,456
|
4752,456
|
|
4. Постоянные затраты (за вычетом амортизации)
|
0
|
5173,824
|
5173,824
|
5173,824
|
|
5. Проценты за кредит
|
0
|
187,68607
|
0
|
0
|
|
6. Налоги (на прибыль)
|
0
|
2732,564179
|
2732,564179
|
2732,564179
|
|
7. Денежные средства от производствен- ной деятельности (стр.2 - 3 - 4 - 5 - 6)
|
8982,96975
|
9170,65582
|
9170,65582
|
|
8. Выплаты на покупку основных средств (оборудования, машин и
выч.техники)
|
-688,53
|
0
|
0
|
0
|
|
9. Выплаты на покупку объектов интеллектуальной собственности
|
0
|
0
|
0
|
0
|
|
10. Другие издержки подготовительного периода
|
0
|
0
|
0
|
0
|
|
11. Продажа основных средств и иного имущества
|
0
|
0
|
0
|
0
|
|
12. Денежные средства от инвестиционной деятельности (стр. 11- 8 - 9 - 10)
|
-688,53
|
0
|
0
|
0
|
|
13. Уставный капитал
|
10
|
0
|
0
|
0
|
|
14. Кредиты и займы
|
1649
|
0
|
0
|
0
|
|
15. Погашение кредита
|
0
|
1649
|
0
|
0
|
|
16. Денежные средства от финансовой деятельности (стр.13 + 14 - 15)
|
1659
|
-1649
|
0
|
0
|
|
17. Денежные средства в наличии на конец года (стр.1 + 7 + 12+ 16)
|
2347,53
|
7333,96975
|
9170,65582
|
9170,65582
|
Оценка эффективности инвестиций:
-
ожидаемые денежные потоки с учётом дисконтирования.
Показатели эффективности
инвестиций:
· Чистая текущая
стоимость
> 0
· Индекс прибыльности
> 1
· Дисконтированный
срок окупаемости
|
1 год
|
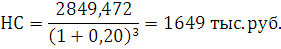
= -1649+7485,808125
|
5836,808125
|
|
2 год
|
=5836,808125+6368,5109861
|
12205,319
|
|
3 год
|
=12205,319+5307,0924884
|
Узнаем в каком месяце 1-ого года
окупится:
|
1 месяц
|
= -1649+623,82
|
- 1025,18
|
|
2 месяц
|
= - 1025,18+519,85
|
- 505,33
|
|
3 месяц
|
= - 505,33+433,21
|
- 72,13
|
|
4 месяц
|
= - 72,13+361,01
|
288,88
|
|
5 месяц
|
=288,88+300,84
|
589,71
|
|
6 месяц
|
=589,71+250,70
|
840,41
|
|
7 месяц
|
=840,41+208,92
|
1049,33
|
|
8 месяц
|
=1049,33+174,10
|
1223,42
|
|
9 месяц
|
=1223,42+145,08
|
1368,50
|
|
10 месяц
|
=1368,50+120,9
|
1489,40
|
|
11 месяц
|
=1489,40+100,75
|
1590,15
|
|
12 месяц
|
=1590,15+83,96
|
1674,11
|
· Внутренняя норма
доходности
-
проект эффективен!
|
i
|
1 мес.
|
2 мес.
|
3 мес.
|
4 мес.
|
5 мес.
|
6 мес.
|
7 мес.
|
8 мес.
|
9 мес.
|
10 мес.
|
11 мес.
|
12 мес.
|
NPV
|
|
0,2
|
623,82
|
519,85
|
433,21
|
361,01
|
300,84
|
250,70
|
208,92
|
174,10
|
145,08
|
120,9
|
100,75
|
83,96
|
1674,11
|
|
0,4
|
534,7
|
381,93
|
272,81
|
194,86
|
139,19
|
99,42
|
71,01
|
50,72
|
36,23
|
25,88
|
18,49
|
13,20
|
189,4423
|
|
0,45
|
516,26
|
356,04
|
245,55
|
169,34
|
116,79
|
80,54
|
55,55
|
38,31
|
26,42
|
18,22
|
12,57
|
8,67
|
- 4,745
|
Вывод: вложение денежных средств в бизнес-проект является
целесообразным.
Анализ финансовых
показателей
Для анализа финансовой деятельности
предприятия применяется система аналитических коэффициентов, которые позволяют
оценить текущее и перспективное состояние предприятия.
· Коэффициенты
рентабельности предприятия.
Ø Рентабельность
продаж
Ø Рентабельность
покрытия
ПР =
(200*55чел./час*18час/нед.*52нед./год) -1728 - 816 - 960 - 249 =6543 тыс.руб.
Ø Рентабельность
производства
8. Потенциальные риски
1) Риски, которые будут
наиболее вероятны для нашего предприятия:
риск, обусловленный спросом на
услуги;
риск, обусловленный появлением
серьёзных конкурентов;
риск, связанный с небрежностью,
недобросовестностью работников;
риск, обусловленный непредвиденными
обстоятельствами (стихийные бедствия).
) Меры по ограничению нежелательных
последствий риска:
- систематическое изучение
конъюнктуры рынка;
- диверсификация производства;
- определение мер воздействия к
неисполнительным работникам;
- активные маркетинговые действия.
Полностью избежать риска практически
невозможно, но, зная, что порождает потери, руководитель способен снизить их
угрозу, уменьшая действия неблагоприятных факторов. При этом не нужно забывать,
что к факторам, способными снизить риск, привести предприятие к успеху будут
обязательно относиться не только вышеперечисленные мероприятия, но и такие
качества руководителя, как квалификация, опыт, интуиция, инициатива и
энергичность.