Особенности управления персоналом на малых предприятиях индустрии туризма

  • Вид работы:
    Дипломная (ВКР)
  • Предмет:
    Менеджмент
  • Язык:
    Русский
    ,
    Формат файла:
    MS Word
    146,95 Кб
  • Опубликовано:
    2015-03-16
Вы можете узнать стоимость помощи в написании студенческой работы.
Помощь в написании работы, которую точно примут!

Особенности управления персоналом на малых предприятиях индустрии туризма

МИНИСТЕРСТВО ОБРАЗОВАНИЯ И НАУКИ РОССИЙСКОЙ ФЕДЕРАЦИИ

Федеральное государственное бюджетное образовательное учреждение

высшего профессионального образования

«КУБАНСКИЙ ГОСУДАРСТВЕННЫЙ УНИВЕРСИТЕТ»

(ФГБОУ ВПО «КубГУ»)

Кафедра международного туризма и менеджмента

ДОПУСТИТЬ К ЗАЩИТЕ В ГАК

Заведующий кафедрой

доктор геогр. наук, профессор

_____________ М.Ю. Беликов

ДИПЛОМНАЯ РАБОТА

ОСОБЕННОСТИ УПРАВЛЕНИЯ ПЕРСОНАЛОМ НА МАЛЫХ ПРЕДПРИЯТИЯХ ИНДУСТРИИ ТУРИЗМА

Работу выполнила А.С. Золотых

Факультет географический

Специальность 080507.65 - Менеджмент организации

Научный руководитель

доцент, канд. геогр. наук И.А. Романова

Нормоконтролер

доцент, канд. геогр. наук М.Л. Некрасова



Краснодар 2014

СОДЕРЖАНИЕ

Введение

.Теоретические основы управления персоналом в малом бизнесе

.1 Организация управления на малом предприятии

.2 Коммуникации как важнейшая составляющая процесса управления

.3 Особенности менеджмента персонала в малом бизнесе.

Анализ системы управления персоналом в ООО «Агентство путешествий «Идеал» г. Краснодар

.1 Анализ системы менеджмента персонала компании

.2 Управление конфликтами в организации

.3 Проблемы управления персоналом компании

Совершенствование системы управления персоналом в ООО «Агентство путешествий «Идеал» г. Краснодар

.1      Рекомендации по совершенствованию системы делегирования ответственности

.2      Рекомендации по совершенствованию системы мотивации персонала

.3      Рекомендации по совершенствованию системы обучения

Заключение

Список использованных источников

Приложение А Методика оценки уровня командной работы

Приложение Б Штатное расписание

Приложение В Анкета

ВВЕДЕНИЕ


Малый бизнес - один из главных слагаемых современного рынка, без которого не может планомерно развиваться экономическая система государства. Малый бизнес практически полностью определяет темпы экономического роста, структуру и качество валового национального продукта. Процесс управления малым предприятием имеет свои особенности.

Современная система управления в малом бизнесе должна быть, прежде всего, простой и гибкой. Главной её задачей должно быть обеспечение эффективности работы предприятия и его конкурентоспособности. В конкурентной борьбе без выполнения этих условий трудно вообще рассчитывать на успех.

Актуальность темы дипломной работы заключается в том, что при правильном выборе системы управления персоналом, возможно, значительно увеличить прибыль, без значительных затрат на другие экономические мероприятия, такие как рекламная компания или расширение ассортимента предлагаемых туров. Работу с персоналом можно поставить на первое место еще и потому, что это один из немногих переменных факторов в работе любой фирмы.

Объектом исследования дипломной работы является - туристическая фирма ООО «Агентство путешествий «Идеал», г. Краснодар.

Предметом исследования выступает система управления персоналом на малом предприятии туристической отрасли.

Целью дипломной работы является разработка мер по совершенствованию системы управления персоналом в туристической фирме ООО «Агентство путешествий «Идеал», г. Краснодар.

Для достижения поставленной цели необходимо решить следующие задачи:

-  охарактеризовать особенности управления персоналом в малом бизнесе;

-       проанализироватьсистему менеджмента персонала в ООО «Агентство путешествий «Идеал» г. Краснодар;

-        выявить проблемы управления персоналом компании;

-  разработать мероприятия по совершенствованию системы управления персоналом в туристической фирме.

Новизна исследования состоит в том, что в результате проделанной работы выявлена объективная необходимость совершенствования системы менеджмента персонала в малом бизнесе в современных условиях.

Теоретической базой для написания дипломной работы стали научные трудыотечественных и зарубежных ученых в области управления персоналом, таких как:Ю.Н.Арсеньев, О.С.Виханский, А.И.Наумов,А.Я Кибанов, О. Крегер, Д. Тьюсон, Р.Л. Кричевский, Е.М. Дубовская, М.Г. Лапуста и др.

Методы исследования, используемые при написании дипломной работы: анализа теоретической и методологической литературы в аспекте исследуемой проблемы, анкетирования, наблюдения, сравнительного анализа, статистический метод.

Структура дипломной работы определяется ее целью и задачами. Работа состоит из введения, трех глав, заключения и приложений. Общий объем работы 74 страницы, содержит 5 таблиц, иллюстрирована 12 рисунками. Список включает 29 литературных и интернет источников.

1.Теоретические основы управления персоналом в малом бизнесе


1.1    Организация управления на малом предприятии


На территории РФ малым можно считать предприятие, основывающееся на частной, муниципальной, государственной собственности, собственности общественных объединений (организаций), доля которых в уставном капитале не превышает 25%, а также на смешанной форме собственности, осуществляющее деятельность не запрещенную законодательством и отвечающее целям, предусмотренным уставами таких предприятий[23]. Основным количественным показателем при отнесении предприятия к разряду малого на сегодняшний день можно считать среднесписочную численность работающих с разбивкой по отраслям (не более 100 человек). В то же время субъектам малого предпринимательства свойственны и определенные недостатки, среди которых следует выделить самые существенные:

-       более высок уровень риска, поэтому высокая степень неустойчивости положения на рынке;

-       зависимость от крупных компаний; недостатки в управлении делом; слабая компетентность руководителей;

-       повышенная чувствительность к изменениям условий хозяйствования;

-       трудности привлечении дополнительных финансовых средств и получении кредитов;

-       неуверенность и осторожность хозяйствующих партнеров при заключении договоров (контрактов) и др.

Конечно, недостатки и неудачи в деятельности субъектов малого предпринимательства определяются как внутренними, так и внешними причинами, условиями функционирования малых предприятий. Как показывает опыт, большинство неудач малых фирм связано с менеджерской неопытностью или профессиональной некомпетентностью собственников малых и средних предприятий. Практическая деятельность малых предприятийговорит о том, что наличия одного предпринимательского опыта и хватки недостаточно. В современном малом бизнесе крайне необходимы специальные знания. Обычно новый бизнес начинает либо коммерсант, почти ничего не знающий о производстве, либо инженер, который ничего не знает о коммерции. Частособственник малого предприятияне имеет достаточного опыта в управлении специфическими структурами бизнеса. Шансы предприятия на успех увеличиваются по мере его взросления. Фирмы, долго существующие при одном владельце, приносят более высокий и стабильный доход, чем фирмы, владельцы которых постоянно меняются. В ходе исследований отмечается, что более успешны те малые предприниматели, которые много работают, но в то же время не переходят в своей деятельности рамки здравого смысла. Постоянный поиск то появляющихся, то исчезающих общественных потребностей и непрерывное приспособление к ним составляют основу стратегии малого бизнеса[14].

Для экономики в целом деятельность малых компаний оказывается важным фактором повышения ее гибкости. По уровню развития малого бизнеса специалисты даже судят о способности страны приспосабливаться к меняющейся экономической обстановке. В различных странах приняты разные критерии отнесения хозяйствующих субъектов к малым предприятиям. Основные критерии:

-  численность работников;

-       объем хозяйственного оборота.

Общим международным критерием при сравнении предприятий, является численность занятых на них. Однако для классификации малых и средних предприятий применяются и следующие показатели:

-  стадии роста (начальная, выживание, рост);

-       отраслевая принадлежность;

-       географическая сфера деятельности (локальные, региональные и национальные масштабы);

-       специфические характеристики владельцев и управляющих (например, женщины-предприниматели, иностранцы и т. д.);

-       типы проблем, характерные для предприятии (например, их финансирование, управление качеством и др.).

В российской практике существование малого предпринимательства было разрешено в 1988 г. В этот период к числу малых отнесли государственные предприятия, на которых среднее число ежегодно занятых не превышало 100 чел. [21].

В рамках сектора малых и средних предпринимательств выделяются следующие категории:

1. Микро предприятия − до 9 работников;

. Малые предприятия - 10 − 99 работников;

. Средние предприятия − 100 − 499 работников.

Законом РФ № 88-ФЗ от 14 июня 2005 г. «О государственной поддержке малого предпринимательства в Российской Федерации» установлено, что предельный уровень численности персонала по отраслям составляет:

-  в промышленности, строительстве и на транспорте − 100 человек;

-       в науке и научном обслуживании − 60 человек;

-       в сельском хозяйстве − 60 человек;

-       в оптовой торговле − 50 человек;

-       в розничной торговле и бытовом обслуживании населения − 30 чел.

-       в остальных отраслях и при осуществлении других видов деятельности − 50 человек[29].

Этот показатель определяется в соответствии с Инструкцией по статистике численности и заработной платы, рабочих и служащих на предприятиях и в учреждениях и организациях. Согласно Закона «О государственной поддержке малого предпринимательства в Российской Федерации», под субъектами малого предпринимательства понимаются коммерческие организации, в уставном капитале которых доля участия Российской Федерации, субъектов Российской Федерации, общественных и религиозных организаций (объединений), благотворительных и иных фондов не превышает 25%, доля, принадлежащая одному или нескольким юридическим лицам, не являющимся субъектами малого предпринимательства, не превышает 25%[23].

С правовой точки зрения малое предприятие является особым хозяйствующим субъектом, отличающимся от других только своим размером. Главное, что дает статус малого предприятия - определение налоговых льгот и системы защиты предпринимательской деятельности. Предприятие может утратить статус малого:

− если оно превышает максимально установленную границу среднесписочной численности;

− если при сохранении достигнутых размеров численности предприятие изменяет структуру своего производства, что влечет за собой и изменение основных показателей[28].

Поэтому, для того чтобы не потерять статуса малого предприятия, необходимо следить за двумя показателями:

− численностью работников;

− структурой производства.

Если эти показатели выходят за установленные пределы, предприятие не прекращает своего существования. Оно продолжает функционировать, но лишается права на получение тех льгот, которые установлены для малых предприятий.

Деятельность по управлению персоналом - целенаправленное воздействие на человеческую составляющую организации, ориентированное на приведение в соответствие возможностей персонала и целей, стратегий, условий развития организации.

В теории и практике управления человеческой стороной организации можно выделить четыре концепции, которые развивались в рамках трех основных подходов к управлению - экономического, органического и гуманистического.

) использования трудовых ресурсов;

) управления персоналом;

) управления человеческими ресурсами;

) управления человеком [27].

Экономический подход к управлению дал начало концепции использования трудовых ресурсов - в рамках этого подхода ведущее место занимает техническая (в общем случае инструментальная, т. е. направленная на овладение трудовыми приемами), а не управленческая подготовка людей на предприятии. Организация здесь означает упорядоченность отношений между ясно очерченными частями целого, имеющими определенный порядок.

Органический подход. В рамках органической парадигмы последовательно сложились концепция управления персоналом и концепция управления человеческими ресурсами. Именно организационный подход обозначил новую перспективу управления персоналом, выведя этот тип управленческой деятельности далеко за рамки традиционных функций организации труда и зарплаты. Органический подход к управлению - рассмотрение организации аналогично живой системе, существующей в окружающей среде.

Гуманистический подход. Развивающаяся в последнее время гуманистическая парадигма исходит из концепции управления человеком и из представления об организации как культурном феномене. Организационная культура - целостное представление о целях и ценностях, присущих организации, специфических принципах поведения и способов реагирования, становится одним из объяснительных принципов.

Согласно гуманистическому подходу культура может рассматриваться как процесс создания реальности, которая позволяет людям видеть и понимать события, действия, ситуации определенным образом и придавать смысл и значение своему собственному поведению. Кажется, что вся жизнь человека определяется писаными и особенно неписаными правилами. Однако на самом деле обычно правила являются лишь средством, а основное действие разворачивается лишь в момент выбора: какое из правил применять в данном случае. Наше понимание ситуации определяет то, какой набор правил мы используем. Гуманистический подход фокусируется на собственно человеческой стороне организации, о которой мало говорят другие подходы. Управление предполагает ведение предприятия к поставленной цели и использование его ресурсов наилучшим образом. Принято считать, что не существует идеальной модели управления, поскольку каждое предприятие уникально. Поэтому фирмы находятся в процессе постоянного поиска своей собственной модели управления.

Современная система управления на малом предприятии должна быть, прежде всего, простой и гибкой. Главным ее критерием должно быть обеспечение эффективности работы предприятия и его конкурентоспособности. На малых предприятиях без соблюдения этих условий трудно вообще рассчитывать на успех. В тоже время необходимо отделять критерии эффективного менеджмента на крупном предприятии от малого[15].

Каковы же особенности управления на таком типе предприятия?

. Комплексный характер деятельности сотрудников. Нет четкого функционального разделения между административным и производственным персоналом, что способствует сокращению дистанции между персоналом. Работникам предприятия малого бизнеса приходится выполнять функции, не свойственные их должностям, так как здесь необходимы универсальные работники, а не профессионалы узкого профиля.

. Более высокая информированность работников и «семейственность» отношений. Руководителю предприятия сложно скрыть от своего персонала сведения о методах работы и отношениях с клиентами и государственными структурами. Такая информированность ставит работодателя в некоторую зависимость от работника и тем самым вынуждает вести поиск персонала среди родственников, личных знакомых или по рекомендации проверенных людей. Тип отношений, складывающихся в такой организации, наиболее соответствует модели Э. Мейо − «организация-община».

. Отсутствие многоуровневой организационной структуры. В этих условиях персонал приходит к пониманию карьеры как расширению и усложнению функциональных обязанностей, росту профессионализма, увеличению заработной платы, а не повышению в должности.

Данная черта малого предприятия тесно связана с комплексностью функций работников.

. Предприятие предъявляет повышенные требования к личным качествам работника. Малый коллектив быстрее подвергнет гонению того, чьи качества не соответствуют принятым нормам и ценностям предприятия.

Поэтому на малых предприятиях чаще всего работают родственники или хорошие знакомые.

. Высокий профессионализм. Так как коллектив маленький, то необходимо работать с большими объёмами, что обуславливает профессиональную компетентность.

. Близкие отношения между работодателем и персоналом позволяют легче решать проблемы. В случае возникновения проблемы работнику будет проще обратиться к руководителю или объединиться коллективом для выхода из сложившейся ситуации.

1.2 Коммуникации как важнейшая составляющая процесса управления

управление малый персонал менеджмент

Современное состояние общества, деятельность любого предприятия не возможна без осуществления коммуникаций. Коммуникация - это процесс обмена информацией, опытом и сведениями между двумя и более людьми[25].

Руководитель от 50 до 90% своего времени тратит на коммуникации. Это кажется невероятным, но становится понятным, если учесть, что руководитель занимается этим, чтобы реализовать свои роли в межличностных отношениях, информационном обмене и процессах принятия решений, не говоря об управленческих функциях планирования, организации, мотивации и контроля. Именно потому, что обмен информацией встроен во все основные виды управленческой деятельности, мы называем коммуникации связующим процессом.

При коммуникационном процессе отправитель и получатель проходят несколько взаимосвязанных этапов. Их задачей является составление сообщения, выбор и использование определенного канала для его передачи таким образом, чтобы его стороны поняли и разделили исходную идею[27].

Этапы коммуникационного процесса:

. Зарождение идеи и отбор сведений. Отбор бывает случайным или целенаправленным, выборочным или сплошным, предписанным или инициативным, произвольным или основывающимся на определенных критериях.

. Кодирование информации и выбор канала. Здесь информация облекается в ту форму, в которой будет доступна и понятна получателю, например, письменную, табличную, графическую, звуковую, символическую и т.п. Подбирается и подходящий способ (канал) ее трансляции: устный, письменный, с помощью различного рода искусственных сигналов или условных знаков.

. Передача информации. Она возможна сразу несколькими способами. Если информация важна, считается, что не стоит ограничиваться одним каналом, а нужно по возможности дублировать этот процесс по нескольким, не злоупотребляя, однако, составлением по каждому поводу документов, иначе поток бумаг может захлестнуть.

. Декодирование (перевод символов отправителя в мысли получателя). Здесь получатель воспринимает, расшифровывает и осмысливает информацию. Коммуникация считается успешной, если получатель информации понимает ее содержание адекватно тому смыслу, который в нее вкладывает отправитель (менеджер).В число факторов, влияющих на восприятие, входят:

. Ситуация, в которой человек получает информацию. Благоприятная ситуация сглаживает восприятие негативной информации, а неблагоприятная, наоборот, обостряет восприятие негативной, но ослабляет восприятие позитивной.

. Глубина видения положения дел предполагает, что человек с широким кругозором и познаниями легче воспринимает любую информацию и спокойно реагирует на изменение ситуации.

. Личные и социальные особенности отправителя (его статус) заключается в том, что чем ниже его положение в обществе, тем настороженнее получатели в процессе коммуникации относятся к предоставленным им сведениям.

. Стереотипы (менталитет, мировоззрение) стандартизирует восприятие человеком информации, облегчают его, но делают чрезмерно субъективным и искаженным.

. Предрассудки. Присущи в основном малообразованным людям и заключаются в формировании мнения до знакомства с информацией.

. Отсутствие интереса. Обуславливается отсутствием побуждающих мотивов к восприятию информации (материальных выгод, возможных потерь и т.д.).

. Различное понимание символов, с помощью которых передается информация. Даже в некоторых странах различные символы имеют различное значение. Например, собака в некоторых странах является «нечистым» существом, или тигр - в некоторых странах это символ силы, а у жителей Таиланда и Индии вызывает чувство страха[26].

Размышляя об обмене информацией в организациях, обычно думают о людях, которые говорят в процессе личного общения или в группах на собраниях, разговаривают по телефону или читают и составляют записки, письма и отчеты. Хотя на эти случаи приходится основная часть коммуникаций в организации, коммуникации представляют собой всепроникающий и сложный процесс. Выявим, где вне и внутри организации требуются эффективные коммуникации:

1. Коммуникации между организацией и ее средой. Организации пользуются разнообразными средствами для коммуникаций с составляющими своего внешнего окружения. С имеющимися и потенциальными потребителями они сообщаются с помощью рекламы и других программ продвижения товаров на рынок. В сфере отношений с общественностью первостепенное внимание уделяется созданию определенного образа, имиджа организации на местном, общенациональном или международном уровне. Организациям приходится подчиняться государственному регулированию и заполнять в этой связи пространные письменные отчеты. В своих ежегодных отчетах любая компания сообщает информацию по финансам и маркетингу, а также приводит сведения о своем размещении, возможностях карьеры, льготах и т.п. это лишь немногие примеры из всего разнообразия способов реагирования организма на события и факторы внешнего окружения. Подчеркнем, что обсуждения, собрания, телефонные переговоры, служебные записки, видеоленты, отчеты и т.п., циркулирующие внутри организации, зачастую являются реакцией на возможности или проблемы, создаваемые внешним окружением[22].

2. Межуровневые коммуникации в организациях. Информация перемещается внутри организации с уровня на уровень в рамках вертикальных коммуникаций. Она может передаваться по нисходящей, т.е. с высших уровней на нижние. Помимо обмена по нисходящей, организация нуждается в коммуникациях по восходящей. Передача информации с низших уровней на высшие может заметно влиять на производительность. В одном реальном примере инженер разработал более эффективный способ раскроя листового металла для крыльев самолета, и сообщает о своей идее непосредственному начальнику. Если он врывается в его кабинет примерно с такими словами: «Как хотите, но вы должны внедрить этот новый способ раскроя», руководитель может отреагировать отрицательно. Но если руководитель решил поддержать предложение инженера, он сообщит о нем на следующий, более высокий уровень управления. Изменение требует одобрения со стороны управляющего заводом или управляющего производственными операциями на более высоком уровне. Налицо ситуация, в которой нечто, возникшее на низшем уровне организации, должно подняться на самый верх, последовательно пройдя все промежуточные уровни управления.

В дополнение к обмену информацией по нисходящей или восходящей организации нуждаются горизонтальных коммуникациях. Организация состоит из множества подразделений, поэтому обмен информацией между ними нужен для координации задач и действий. Поскольку организация - это система взаимосвязанных элементов, руководство должно добиваться, чтобы специализированные элементы работали совместно, продвигая организацию в нужном направлении.

Дополнительные выгоды от коммуникаций по горизонтали заключаются в формировании равноправных отношений. Доказано, что такие отношения являются важной составляющей удовлетворенности работников организации.

Возможно, наиболее очевидным компонентом коммуникаций в организации являются отношения между руководителем и подчиненным некоторые из многочисленных разновидностей обмена информации между руководителем и подчиненным связаны с прояснениям задач, приоритетов и ожидаемых результатов; обеспечением вовлеченности в решение задач отдела; с обсуждением проблем эффективности работы; достижение признания и вознаграждения с целью мотивации; совершенствованием и развитием способностей подчиненных; со сбором информации о назревающей или реально существующей проблеме; оповещением подчиненного о грядущем изменении, а также получением сведений об идеях, усовершенствованиях и предложениях[10].

В дополнение к обмену информацией между руководителем и подчиненным имеет место обмен между руководителем и его рабочей группой. Коммуникации с рабочей группой в целом позволяют руководителю повысить эффективность действий группы. Поскольку в обмене участвуют все члены группы, каждый имеет возможность поразмышлять о новых задачах и приоритетах отдела, о том, как следовало бы работать вместе, о предстоящих изменениях и их возможных последствиях, о недавних проблемах и достижениях, предложениях рационализаторского характера.

Существуют и неформальные коммуникации. Канал неформальных коммуникаций можно назвать каналом распространения слухов. Поскольку по каналам слухов информация передается много быстрее, чем по каналам формального сообщения, руководители пользуются первыми для запланированной утечки информации и распространения определенной информации типа «только между нами».Взаимодействие между элементами управленческой структуры осуществляется посредством коммуникационных каналов. Совокупность таких каналов, связывающих органы управления, образуют коммуникационную структуру.Можно выделить три вида коммуникационных структур: открытые, замкнутые и комбинированные [13].

Открытые коммуникационные структуры характеризуются двумя особенностями:

а) во-первых, наличием «тупиков», т.е. субъектов, на которых цепочка коммуникаций прекращается, поскольку им дальше не с кем взаимодействовать;

б) во-вторых, наличием «посредников», имеющих возможность в силу своего положения препятствовать коммуникациям (останавливать, искажать содержание, изменять направление).

В замкнутых коммуникационных сетях «тупики» и «посредники» либо отсутствуют, либо могут быть обойдены.

Комбинированные сети сочетают в себе в различных вариантах элементы предыдущих двух коммуникационных структур.

Способы организации коммуникаций [30]:

1. Жесткие образования (бюрократические, формальные):

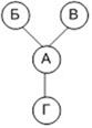
«Змея» (рисунок 1) (редко существует самостоятельно, чаще - как элемент; субъект «В» является посредником и контролером субъектов А и Б);

Рисунок 1 - Способ организации коммуникаций. Змея

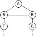
«Звезда» (рисунок 2) (нельзя превышать норму управляемости субъекта «А»; легко поддерживать порядок; нет неформальных каналов; годится только для небольших организаций);

Рисунок 2- Способ организации коммуникаций. Звезда

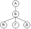
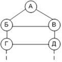
«Шпора» (рисунок 3) (для более крупных организаций; субъекту «А» помогает посредник «Б», который может получить значительную неформальную власть над «В», «Г», и «Д»; нельзя превышать норму управляемости А и Б, т.е. использовать в многопрофильных организациях);

Рисунок 3 - Способ организации коммуникаций. Шпора

«Палатка» (рисунок 4) (для многопрофильных организаций; один уровень горизонтальных каналов);

Рисунок 4 - Способ организации коммуникаций. Палатка

«Дом» (рисунок 5) («Палатка» с двумя горизонтальными уровнями; сеть позволяет руководителям сосредоточиться на главном, наделив исполнителей большой самостоятельностью в решении оперативных задач; есть риск ухода из процесса участника, т.к. множество путей сообщений).

Рисунок 5 - Способ организации коммуникаций. Дом

. Гибкие образования (консультативные и совещательные):

В гибких образованиях преобладает неформальное и полуформальное общение. Сети обычно замкнуты, а посредники являются не столько контролерами, сколько связниками во взаимодействии участников.

«Круг» (рисунок 6) (стимулирует творческие процессы);

Рисунок 6 - Способ организации коммуникаций. Круг

«Колесо» (рисунок 7) (как «Круг», только с возможностью координации; «Д» - не руководитель, а неформальный лидер);

Рисунок 7 - Способ организации коммуникаций. Колесо

«Соты» (рисунок 8) (связь творческих групп в крупных организациях; предполагает наличие «соединительного звена»; возможны тупики и связники легко превращаются в контролеров);

Рисунок 8 - Способ организации коммуникаций. Соты

К вопросу организации коммуникаций на предприятии необходимо подходить очень тщательно, так как если на предприятии правильно устроена связь между всеми уровнями управления и сотрудниками, то оно будет успешно и во всех других видах деятельности.

1.3 Формирование эффективной рабочей команды в малом бизнесе

Термины «команда», «рабочая команда», «командная работа» можно определить как несколько человек, действующих совместно при выполнении какой-либо работы или осуществлении деятельности; группа индивидов, которые распределяют между собой рабочие операции и ответственность за получение конкретных результатов; людей, которые собраны для совместного решения задач в целях повышения производительности и в соответствии с подходами, посредством которых они поддерживают взаимную ответственность.Члены любой рабочей команды для достижения целей нуждаются в работе других членов т.е., взаимозависимы в работе. Команда отличается от обычной рабочей группы более высоким уровнем сплоченности, ответственности и взаимопонимания[1].

Для команд характерны:

-  взаимозависимость;

-       разделяемая ответственность;

-       результат.

В процессе становления и развития команды можно выделить шесть этапов.

. Формирование, когда команда представляет собой только скопление отдельных людей. На этом этапе формируются ее цели, название, круг возможных дел, выявляются или назначаются руководители, а люди стремятся установить свою индивидуальность в команде.

. Становление, когда оспариваются цели деятельности и методы их достижения, нормы поведения, способы руководства. На этом этапе формируются чувства доверия и единения команды, раскрываются скрытые личные цели участников, возможно проявление враждебности. Некоторые команды на этом этапе свою жизнь заканчивают. Это происходит в том случае, если люди, которые вместе собрались, не могут совместно работать.

. Нормирование, когда устанавливаются нормы и модели работы команды, определяются ее возможности. На этом этапе члены команды узнают достоинства и недостатки друг друга, формируют в своем сознании модели коллег.

. Функционирование, когда команда, пройдя предшествующие три этапа, решает реальные задачи. Этот этап может продолжаться достаточно долго. В команду могут приходить новые люди, а некоторые члены группы могут покидать ее, но если уровень и количество решаемых задач остаются неизменными, команда останется собой. Если же количество решаемых задач или их сложность возрастают, то наступает следующий этап жизни команды.

. Расширение, когда в команду приходит больше людей, чем из нее уходит. Происходит образование неформальных подкоманд, некоторые из них начинают выполнять формальные функции, то есть решать свои относительно обособленные задачи. И тогда наступает шестой этап.

6. Распад команды и образование на ее основе новых команд[1].

Чтобы в командах протекали эффективные процессы, и была благоприятная атмосфера для изменений, руководитель или менеджер может воспользоваться следующими техниками:

Разработать и внедрить мотивацию, необходимо понимать, как образуются мотивы у людей, ведь они у каждого сотрудника свои.

Для простоты восприятия мотивацию можно разложить на пять групп:

1. Поощрение (сделай и получишь…) - премии, подарки, отгулы.

2.      Наказание (если не сделаешь, то …) - угроза, штраф, увольнение.

.        Убеждение (надо сделать потому, что…) - показ плюсов от выполнения и последствий от не выполнения.

.        Закон (надо делать, так как это положено…) - инструкции, приказы, правила.

.        Пример (делай как я …) - так принято, полезно, модно[17].

. Для избегания плохого психологического климата в организации руководителю стоит сделать ряд мероприятий, которые оградят его от этого бедствия и заключаются они в следующем:

Провести анкетирование и тестирование, с целью узнать предрасположенность сотрудников к видам работы, конфликтам, самостоятельности, лидерству, стрессам, общению и активности;

Распределить персонал в рабочие группы, подобрав под определенные задачи, соответствующих людей и совместимых друг с другом;

Провести среди получившихся групп тренинг по формированию команды.

Важно также учитывать и психотипы работников и их совместимость. В этом руководителю проекта поможет методика типирования MBTI или Соционика.

Методика позволяет определить предпочтения каждого человека по четырем аспектам, а затем содействовать наилучшему применению этих предпочтений в жизни и работе.

Основы типоведения были заложены К.Г. Юнгом, который предположил, что поведение человека можно предсказать и, значит, оно поддаётся классификации. Развили классификацию Юнга две женщины - Катарина Бриггс, и ее дочь ИзабельБриггс-Майерс, создав индикатор типов Майерс Бриггс (MBTI)[19].

Согласно теории Юнга, предпочтения человека формируются в раннем детстве и в течение жизни практически не меняются. Перемены возможны, но основы личности человека изменяются очень медленно. Любое изменение личности - это нелёгкий труд.Итак, в типологии анализируется четыре пары альтернативных предпочтений, приведенные в таблице 1:

Таблица 1 - Пары альтернативных предпочтений в соционике

Экстраверт (Extraverted)

Интроверт (Introverted)

Сенсорик (Sensing)

Интуит (Intuitive)

Логик (Thinking)

Этик (Feeling)

Рационал (Judging)

Иррационал (Perceiving)

В типологии существует способ определения «темпераментов» по двум буквам из четырех. Теория темпераментов полезна, поскольку позволяет делать разнообразные и точные прогнозы поведения людей. С помощью двухбуквенного «темперамента» можно выяснить, как люди обучаются, обучают, управляют другими, развлекаются, обращаются с деньгами и строят взаимоотношения.

При подборе команды нужно учитывать особенности психотипов и стараться собрать сбалансированную группу из SJ,NT,NF и SP[24]. Здесь необходимо учитывать предрасположенность каждого типа к тем или иным ролям в группе. Например, в производственно-управленческой сфере (руководитель, администратор, бухгалтер) лучше всего себя смогут проявить логики или сенсорики, способные к предвидению; в социальной и коммуникативной (в нашем случае, менеджер по туризму) будут успешны этики, сенсорики и интуиты.Если же говорить о малом предприятии отраси туризма состоящем, например из 5 человек, то наиболее оптимальным будет состав из логика (сенсорика) в роли управляющего и бухгалтера, а сенсориков и интуитов оптимально поставить на позиции менеджеров по туризму.Как и в случае, когда в команде выполняются все восемь ролей, наличие в команде людей разных архетипов поможет создать команду, которая может справиться с большим количеством разнообразных проблем. При решении проблем каждый из них внесет свою лепту.

Помимо внутренних факторов, на работу команды оказывают воздействие также и внешние. Некоторые из них, взаимодействуя друг с другом различными способами, влияют на работу команды и ее развитие.

. Организационное окружение. Организации имеют внешнее окружение, которое во многом оказывает влияние на большинство характеристик и параметров организации. Это влияние явно или косвенно воздействует и на командную работу. Можно выделить следующие основные характеристики организационного окружения, которые, по нашему мнению, оказывают наиболее значительное влияние на командную работу.

2. Организационная культура. Организационная культура - это традиции, нормы, убеждения и ценностные ориентации, разделяемые членами организации. Если рассматривать традиционно выделяемые 4 типа организационной культуры-корпоративный, партизанский, консультационный, предпринимательский - то очевидно, что наименее приемлемым для командной работы является корпоративный тип. В условиях корпоративного типа организационной культуры возможно применение командной работы. Для этого необходимым является выполнение следующих условий:

-  развитие ситуационного стиля лидерства, ориентированного на делегирование полномочий и ответственности;

-       готовность менеджмента к делегированию ответственности и полномочий

3. Ресурсы. Одним из важнейших аспектов командной работы является возможность влияния команды на ресурсное обеспечение. Невыполнение данного аспекта (низкая и/или несвоевременная обеспеченность сырьем, материалами) во многом сводило на нет результативность коллективной работы в Советском Союзе. Решение данной проблемы нам видится в развитии системы бюджетирования по принципу «снизу−вверх», то есть на первом этапе формируются бюджеты команд, служащие основой для разработки бюджета организации в целом.

4. Система подбора кадров. Для повышения эффективности командной работы следует построить систему подбора кадров таким образом, чтобы специалисты кадрового менеджмента при подборе персонала уделяли должное внимание анализу психологических характеристик кандидатов на вакантное место.

. Стратегия развития. Как показывают результаты исследования зарубежных специалистов, становление командной работы происходит в течение 3−5 лет.

. Система оплаты труда. Коллективные (групповые) формы оплаты труда находят все более широкое распространение вовсем мире наряду с другими эффективными формами вознаграждения за труд[20].

Оценка уровня командной работы - анализ пяти компонентов модели командной работы, которые соответственно являются оценочными критериями модели. Каждый из пяти критериев содержит пять субкритериев, таким образом, система оценки командной работы объединяет 25 оценочных категорий (Приложение А, Таблица А.1).

Экспертный анализ каждой из 25 категорий предполагает пять вариантов оценки управленческой деятельности в организации (Приложение А, Таблица А.2):

Уровень развития командной работы в организации определяется общей оценкой. Предлагается выделить пять уровней развития командной работы в организации (Приложение А, Таблица А.3).

Для наглядного представления результатов оценки командной работы в организации целесообразно использовать пентаграмму (рисунок 9), на которую может быть наложен профиль командной работы в организации, построенный с учетом каждого из пяти оценочных критериев функциональной модели. Такой подход позволяет ясно увидеть направления, по которым необходимы первоочередные улучшения системы управления.

Рисунок 9 - Пентаграмма командной работы

Во время реализации плана мероприятий по повышению эффективности командной работы необходимо учитывать тот факт, что действия по повышению уровня одного из факторов воздействуют на другие, то есть все критерии находятся во взаимосвязи между собой.

 

1.4 Особенности менеджмента персонала в малом бизнесе


Управление персоналом малого предприятия представляет собой мало систематизированный порядок действий. Однако комплексный характер деятельности работников и подчиненность всех функций одному лицу создают предпосылки для возникновения системного подхода к управлению персоналом.

Особенностью малого предприятия является тесное взаимодействие руководства с персоналом. Все работодатели хотят иметь нормальные деловые отношения с персоналом. Чтобы этого достичь, необходимо постоянное деловое общение с работниками, их стимулирование, решение их проблем, устранение конфликтов в коллективе.

Общение должно быть двусторонним процессом между работодателем и его работниками. Руководитель должен предоставлять работникам следующую информацию: инструкции по работе, изменения в положениях и условиях, правилах и процедурах производственного процесса, в развитии предприятия. В то же время руководитель должен прислушиваться к сообщениям работников, их мнениям, предложениям и жалобам[12].

Обратная связь обеспечит на предприятии:

-  нормальные деловые взаимоотношения работников и работодателя;

-       отсутствие слухов и жалоб;

-       сплоченность коллектива, доверительность отношений;

-       оперативность в решении проблем персонала.

Общение на малом предприятии обычно осуществляется через:

-  беседы один на один: общаясь с работниками во время неофициальных бесед или официальных дискуссий, руководитель предоставляет работникам информацию и использует механизм обратной связи. Такие беседы позволяют обсудить важные проблемы и предоставить работникам возможность задать руководителю вопросы и высказать свое мнение;

-       создание руководства (справочника по малому предприятию) для персонала: каждое малое предприятие должно иметь руководство (справочник) для персонала с полной информацией о направлениях деятельности предприятия, его возможностях, правилах, процедурах и общих условиях работы. Данное руководство должно быть доступно для всех работников;

-       доску объявлений: это эффективный способ передачи сообщений всему персоналу при условии, что на ней будет регулярно обновляться информация;

-       ящик для предложений: руководитель должен принимать во внимание идеи своих работников. Ящик для предложений (или книга) является одним из способов для персонала высказать свое мнение. Не всегда работник может высказать свое мнение или предложение руководителю устно. Руководитель также письменно может дать ответ работнику на его предложение или замечание.

Чтобы добиться сплоченности коллектива, руководитель малого предприятия должен стимулировать работников. Руководитель может использовать следующие факторы мотивации:

-  заработная плата − работник оценивает свой вклад в общий результат в соответствии с денежной суммой, которую он получает;

-       условия труда − работодатель должен обеспечить безопасную рабочую обстановку и комфортные условия труда. Работники должны понимать, что их руководитель стремится создать им такие условия;

-       социальные возможности − предоставление персоналу предприятия субсидированного питания, скидок на товары и услуги, помощи в оплате проезда, беспроцентных ссуд или ссуд с низким процентом на различные цели, страхование здоровья, оплата обучения и другие социальные льготы являются стимулом для улучшения работы персонала;

-       предоставление самостоятельности − предоставление работникам большей самостоятельности и ответственности в их повседневной работе является также стимулом к работе (например, поручить работу, оставив за работником право выбора способа ее выполнения, или привлекать работников к постановке целей и рабочих задач)[9].

Руководитель малого предприятия должен проявлять интерес к работе каждого сотрудника, ставя перед ним индивидуальные цели и задачи на неделю, месяц, квартал. Большинство работников имеют личные или связанные с работой проблемы, часто перерастающие в конфликты, которые могут повлиять на выполнение ими работы. На малом предприятии у руководителя формируются тесные рабочие отношения с персоналом. Это дает возможность выявить трудности и проблемы на ранней стадии. Работник должен знать, что может обратиться к руководителю за помощью и советом. Важным аспектом во взаимодействии с персоналом выступаетумение управлять конфликтами на предприятии.

Среди перечисленных в трудовом договоре обязанностей работника у работодателя наиболее важное значение имеют обязанности руководителя по обеспечению здоровых и безопасных условий труда, охраны труда для всех работников его предприятия. Руководитель малого предприятия должен разработать программу в области охраны здоровья и безопасности труда. В соответствии с Трудовым кодексом РФ (ст. 212) работодатель обязан обеспечить безопасность работников при эксплуатации зданий, оборудования, а также применяемых сырья и материалов, применение средств индивидуальной и коллективной защиты работников, соответствующие требованиям охраны труда условия труда на каждом рабочем месте и т.д. Данный перечень обязанностей работодателя по обеспечению им охраны труда не является исчерпывающим. Он дополняется соответствующими стандартами безопасности труда по конкретным видам работ, другими законами и нормативными актами, а также коллективными договорами и соглашениями, правилами внутреннего трудового распорядка[10].

Выводы:

-  малые предприятия являются важным сектором экономики России;

-       коммуникации в малом бизнесе являются основополагающим фактором.

Основные черты управления персоналом на малом предприятии:

.   Комплексный характер деятельности сотрудников.

2.      Более высокая информированность работников и «семейственность» отношений.

.        Отсутствие многоуровневой организационной структуры.

.        Предприятие предъявляет повышенные требования к личным качествам работника.

.        Высокий профессионализм.

.        Близкие отношения между работодателем и персоналом позволяют легче решать проблемы.

2. Анализ системы управления персоналом в ООО «Агентство путешествий «Идеал» г. Краснодар


2.1 Анализ системы менеджмента персонала компании


Туристическая компания «Агентство путешествий «Идеал» сравнительно недавно представлена на рынке города Краснодара. Основана в 2010 году.

Полное название предприятия:ООО «Агентство путешествий «Идеал».

Местонахождение: 350000, Краснодарский край, г. Краснодар, ул. Красная, 172, оф.2, тел.(8612) 55-80-05, 59-04-44

Цель предприятия: организация продажи туристских услуг и авиа- ж/д- билетов. Под продажей туруслуг подразумевается бронирование гостиниц по России и всему миру, предложение и продажа научно - познавательных, приключенческих, экологических, рекреационных туров по России и за рубежом.

Штат работников на предприятии: 5 человек.

Режим работы: по будням с 10:00 по 19:00, по субботам с 10:00 по 18:00

Интернет-сайт:www.ideal-tour.info <#"827532.files/image010.gif">

Рисунок 10 - Организационная структура ООО «Агентство путешествий «Идеал»

К достоинствам данной системы управления относятся:

-  высокая эффективность при небольшом разнообразии продукции и рынков;

-       централизованный контроль, обеспечивающий единство в решении задач организации; функциональная специализация и опыт;

-       высокий уровень использования потенциала специалиста по функциям;

-       экономичность, достигаемая за счет однородности работ и рынков.

На практике оказывается, что на фoрмирoваниеурoвней организационной структуры влияют такие факторы, как масштабы и вид организации, направления ее деятельности, число стратегических бизнес-единиц, стратегические планы и другие.

В ООО «Агентство путешествий «Идеал» директор является главной фигурой, которому подчиняются все сотрудники компании. Старший менеджер является заместителем директора, у которого в подчинении находятся менеджеры по продажам турпродуктов и специалист по бронированию. Все ставки внесены в штатное расписание (см. Приложение Б).

Из организационной структуры вытекает, что в фирме действует такая коммуникационная система, как «шпора», по которой субъекту «А» помогает посредник «Б», который может получить значительную неформальную власть над «В», «Г», и «Д»; нельзя превышать норму управляемости А и Б, т.е. использовать в многопрофильных организациях.Проанализируем численность и состав кадров агентства (таблица 2).

Таблица 2 - Анализ динамики состава работников ООО «Агентство путешествий «Идеал» за 2012-2013 гг.

Категории работников

2012 г., чел.

2013 г., чел.

Отклонение




абсолютное

относительное

Среднесписочная численность работников, всего:

4

5

1

20 %

В том числе:





работников

2

3

1

33 %

административного персонала

1

1

-

-

управленческого персонала

1

1

-

-


Из данной таблицы мы видим, что численность штата работников возросла на 1 человека, при этом увеличилось число работников при неизменном количестве административного персонала.

Следовательно, можно сделать вывод, что увеличился объём продаж, но схема управления и квалификация работников устраивает руководство фирмы, так как не было выявлено качественных изменений, что свидетельствует об эффективности трудовых ресурсов.

Проанализируем соотношение рабочего и административного персонала за 2012 г и 2013 г:

)РП (2011) = (2 /4)*100%=50%

АП+УП (2011) = (1+1)/4*100%=50%

) РП (2012) = (3 /5)*100%=60%

АП+УП (2012) = (1+1)/5*100%=40%

Состав персонала в 2012 году является более рациональным, так как предполагает меньший расход фонда оплаты труда при сохранении нормы нагрузки на управляющего менеджера согласно классической теориименеджмента, по которой у одного менеджера не должно быть в непосредственном подчинении более чем 7 сотрудников[4].

Следующим шагом в нашей работе стало исследование эффективности управления в компании. Для выявления уровня эффективности используем методику «Оценка уровня командной работы», описанную в первой главе. Методология оценки командной работы заимствована из работ Д. Маслова, который предложил использовать функциональную модель для самооценки в организации. Посредством расчетов получаем следующие результаты (см. Приложение А, Таблица А.4):

1. Общий уровень командной работы оценен в 57 баллов, что является неплохим результатом. Этот результат говорит нам о том, что командная работа в организации находится в стадии становления. Необходимо акцентировать внимание на процессах делегирования ответственности и полномочий.

2.      Наибольшие проблемы выявлены в таких направлениях, как процессы и организационное окружение. Эти критерии оценены в 6 и 8 баллов из максимальных 20, соответственно. Если говорить о критерии «процессы», то он выявил проблемы в уровне самостоятельного принятия работниками решений и самооценки результатов. В критерии «организационное окружение» обнаружены проблемы в недостаточном делегировании полномочий и отсутствии системы бюджетирования «снизу-вверх», что также указывает на малую степень вовлеченности работников в процессы управления и планирования.

.        Наибольшую оценку - 17 из 20 возможных баллов - получил критерий «структура». Это говорит, о том, что коллектив предприятия сплочён одной целью и командным духом. Каждый сотрудник - профессионал и может выполнять совокупность ролей. Все это положительно характеризует организацию, так как профессионализм, многопрофильность и сплоченность коллектива - являются одними из основных характеристик штата малого предприятия.

.        Для наглядного представления результатов оценки командной работы в организации используем пентаграмму (Рисунок 11), на которую был наложен профиль командной работы в организации, построенный с учетом каждого из пяти оценочных критериев функциональной модели. Такой подход позволяет ясно увидеть направления, по которым необходимы первоочередные улучшения системы управления:

Рисунок 11 − Профиль командной работы в ООО «Агентство путешествий «Идеал»

Одним из главных факторов функционирования малого предприятия является постоянство штата сотрудников. Для расчета показателей текучести кадров используем данные бухгалтерии. Период расчёта 2012 - 2013 гг.

К показателям, которые необходимо анализировать, относятся:

-  процент сотрудников, успешно прошедших испытательный срок, по отношению к общему числу принятых;

-  коэффициент оборота по приему;

-  коэффициент оборота по увольнению;

-       коэффициент постоянства кадров за определенный период.

1) Процент сотрудников, успешно прошедших испытательный срок = 1/1*100%=100%

2)      Коб.пр = Чприн. / Чср.спис. х 100% = 1/4*100%=25%

)        Коб.ув = Чувол. / Чср.спис. х 100%=0/4*100%=0

)        Кпост. = (Ссписочн.числ. - Чувол.) / Чср.спис. х 100%=(4-0)/5*100%=80%

Можно сделать вывод, что текучесть кадров на данном предприятии довольно низкая. Что является плюсом для малой организации, так как стабильность кадров и слаженность их работы повышает продуктивность организации, что особенно важно для малого предприятия.

Наиболее часто используемыми методами привлечения специалистов являются переманивание их из других компаний, устройство по рекомендации родственников, знакомых[3].

Персонал турфирмы ООО «Агентство путешествий «Идеал» отвечает всем требованиям, предъявляемым к сотрудникам турфирм:

-  имеет профессиональную подготовку и квалификацию, наличие специального образования;

-       отлично ознакомлены с законодательными и нормативными актами, формальностями международных норм в сфере туризма, материалами и документами международных туристских организаций, иностранным языком в объеме соответствующем выполняемой работе;

-       умеют дать четкие, точные ответы на поставленные посетителем вопросы, владеют информацией, необходимой для потребителя, и могут ее активизировать;

-       знают свои должностные обязанности.

При формировании туристского предприятия кадровая работа сводится к следующему:

-  определение качественной и количественной потребности в персонале и формирование штатного расписания;

-       разработка правил внутреннего трудового распорядка;

-       разработка должностных инструкций персонал;

-       подбор персонала;

Качественная и количественная потребность в персонале зависит от характера и масштабов намеченной деятельности предприятия[8].

Для стимулирования труда работников руководство ООО «Агентство путешествий «Идеал» использует экономические, социальные и нравственно-воспитательные методы мотивации.

Проводим сравнение динамики производительности труда и средней заработной платы в таблице 3.

Таблица 3 - Сравнение темпов роста заработной платы и производительности труда ООО «Агентство путешествий «Идеал»

Показатели

2012 г.

2013 г.

Абсолютное отклонение

Относительный прирост %


т. руб.

т. руб.

т. руб.


Объем выручки от продаж (т. руб.)

6430

8125

20

Численность работников (чел.)

4

5

1

20

Производительность труда 1-го работника (т. руб.)

1607,5

1625

17,5

1

Фонд оплаты труда (т. руб.)

780

960

180

18,8

Среднегодовая заработная плата 1 работника (т. руб.)

195

192

-3

-1,6


Как видно из Таблицы 3, в 2013 году наблюдается рост производительности труда на 17,5т.р. или на 1%, и снижение средней заработной платы - на 3 т.р. или на 1,6%, но не вследствие сокращения фонда оплаты труда, а из-за увеличения штата.

Темп роста производительности труда превышает темп роста средней заработной платы, что является положительным моментом и свидетельствует об эффективности использования персонала компании ООО «Агентство путешествий «Идеал».

На малых предприятиях огромное значение имеет личность работника, следовательно правильный и последовательный отбор персонала является одним из ключевых факторов успеха. В исследуемом предприятии ООО «Агентство путешествий «Идеал» в силу маленького числа сотрудников: их всего 5, нет отдела кадров. Следовательно отбором и наймом персонала занимается сам руководитель туристического агентства либо в его отсутствие эта обязанность ложится на старшего менеджера.

Отличительной особенностью найма персонала на малом предприятии является преимущественный поиск кандидатов через знакомых или по рекомендациям. В этом есть свои плюсы и минусы: положительный момент заключается в том, что это не требует материальных затрат и есть большая осведомлённость о нанимаемом сотруднике, негативный момент в том, что если сотрудник найден по рекомендациям знакомых, возможно несоответствие реальности предоставляемой информации о кандидате, недостаточность его квалификации[5].

Отбор в ООО «Агентство путешествий «Идеал» состоит из следующих этапов:

-  отбор кандидатов;

-       проведение собеседования;

-       принятие решения о приятии на работу.

Наиболее значимым экономическим методом мотивации в ООО «Агентство путешествий «Идеал» является заработная плата, начисляемая по повременно-премиальной и сдельной системам оплаты труда.

Использование прямой индивидуальной сдельной системы оплаты труда предполагает, что размер заработка работника определяется количеством выработанной им за определенный отрезок времени продукции. В ООО «Агентство путешествий «Идеал» оплата труда менеджеров производится с использованием сдельной системы оплаты труда.Вся выработка работника оплачивается по одной постоянной сдельной расценке. Поэтому заработок работника увеличивается прямо пропорционально его выработке.

Помимо выше перечисленных доплат и надбавок работникам выплачиваются следующие доплаты и надбавки:

. Оплата за все время сверхурочной работы и в выходные дни производится в двойном размере;

. Доплата за руководство в размере 20% от тарифной ставки;

. Доплата за классность.

Работникам предприятия выплачивается материальная помощь в связи тяжелыми материальными условиями.

К социальной мотивации можно отнести следующие мероприятия, проводимые в ООО «Агентство путешествий «Идеал»:

. Повышение квалификации сотрудников предприятия, их обучение производится за счет предприятия;

. Оказание помощи женщинам-работницам, строгое соблюдение гарантий, установленных в законодательстве о труде для работающих женщин-матерей, что особенно актуально в женском коллективе.

Для соблюдения трудовой производственной дисциплины используется административная мотивация в виде наложения взысканий, предупреждений, выговоров, строгих выговоров, штрафов, увольнения с работы. Выговора выносятся на основании рапортов руководителя.

Для того, чтобы выяснить по каким конкретно направлениям необходим пересмотр кадровой политики в ООО «Агентство путешествий «Идеал» был проведен опрос среди персонала с использованием метода анкетирования.

Разработанный вариант Анкеты представлен в Приложении В к настоящему дипломному проекту.Из результатов проведенного исследования видно, что наиболее эффективными стимулами, оцененными респондентами на 5 баллов, являются нематериальные моральные и социальные стимулы. Из данных анкеты также видно, что респондентовне совсем устраивает уровень заработной платы и получаемых премий и надбавок на свой труд. В целом, можно сделать вывод, что опрошенные респонденты не совсем довольны различными стимулами мотивации эффективного труда, используемыми в ООО «Агентство путешествий «Идеал».

Максимальный ответ по анкете может быть равен 85 баллов (когда все вопросы оцениваются респондентом на 5 баллов), минимальный - 17 баллов (все ответы оцениваются на 1 балл).

В результате проведения анкетирования в организации было опрошено 5 человек. После обработки данных был получен график (рисунок 12), показывающий вариацию значений баллов по каждой анкете, представленный на рисунке ниже.

Рисунок 12−Результаты анкетирования по значимости удовлетворенности мотивацией в ООО «Агентство путешествий «Идеал»

Среднее значение полученной оценки по всем анкетам равно 53,28 баллов. Это свидетельствует о том, что в организации в целом значимость мотивации персонала оценивается «хорошо». Таким образом, появляются резервы для повышения значимости различных составляющих мотивации для персонала (например, повышение уровня оплаты персонала может создать положительный стимул для увеличения производительности труда и отдачи персонала).

Результаты анализа показали, самый важный фактор в системе мотивации персонала - система оплаты труда, также было выявлено, что существующая система оплаты труда не полностью соответствует задачам, заявленным руководством предприятия.

Социальная поддержка в ООО «Агентство путешествий «Идеал» складываются из двух слагаемых: обязательные меры социальной защиты и социальной поддержки, предусмотренные законодательством и дополнительные, добровольные меры предприятия. В соответствии с законодательством в организации производятся выплаты в форме единого социального налога в пенсионный фонд, в фонды медицинского и социального страхования; предоставляются основные и дополнительные отпуска и выполняются другие, предусмотренные законодательством, обязательства по социальной поддержке работника.

Наряду с этим имеет место довольно развитая система обязательств по добровольной социальной защите и поддержке работников. Наличие таких мер делает компанию довольно привлекательной, способствует закреплению кадров и в значительной степени способствует мотивационной установке на поддержание устойчивых связей с предприятием.

В ООО «Агентство путешествий «Идеал» имеются свои обычаи и традиции в коллективе. На предприятии принято отмечать дни рождения сотрудников, день рождение компании и т.д.Также в компании применяется такая форма стимулирования работников, как бесплатные путевки и скидки. Они могут быть предоставлены сотруднику по решению администрации за индивидуальные профессиональные качества.

Таким образом, выявленные недостатки системы стимулирования персонала в компании подлежат устранению за счет внедрения ряда мероприятий, представлены в третьей главе дипломной работы.

2.2 Управление конфликтами в организации


Для эффективного управления конфликтами необходимо уметь их прогнозировать, предупреждать, регулировать и разрешать.

Условно конфликты, переживаемые в турфирмах, можно разделить на:

1. Конфликты, одной из сторон которых является покупатель туристских услуг;

2.      Конфликты с поставщиками туристических услуг - партнерами турагентства;

.        Внутрифирменные конфликты, сторонами которых являются сами работники[11].

.        Конфликты, возникающие с клиентами турагентства:

Конфликты с туристами всегда крайне негативно сказываются на работе турагентства, поскольку:

-  наличие конфликтов всегда подрывает положительную репутацию и имидж туристической фирмы на рынке. Туристский рынок любого регионапредставляют собой довольно замкнутый и ограниченный круг фирм, работники которых знакомы друг с другом. Следовательно, региональный туристский рынок - благоприятная почва для распространения информации о возникших в работе какого-либо турагентства конфликтах. Учитывая коммуникабельность работников турбизнеса, а также людскую способность к изменениювходящей и исходящей информации, невозможно даже представить, какими последствиями для имиджа турагентства в регионе обернется даже несущественный его конфликт с туристом;

-       в основном конфликты между туристической фирмой и клиентом возникают во время тура, когда невольными свидетелями конфликта становятся не только посторонние люди, но и работники поставщиков-партнеров турагентства. Следовательно, конфликт с туристом может испортить репутацию не только на рынке, но и вынести его далеко за пределы региона, посвятив в подробности конфликтной ситуации иностранных партнеров;

-       информация о возникших конфликтных ситуациях с туристами моментально становится достоянием конкурентов, которые обязательно воспользуются этой информацией, как очередным собственным конкурентным преимуществом.

Наиболее опасны конфликты с туристами, путешествующими в группе. Появление хотя бы одного путешествующего (причем независимо от количества людей в группе), недовольного поездкой и явно настроенного на перетекании конфликта в инцидент, способно привести к появлению еще большего количества недовольных, вынужденных контактировать с возмутителем спокойствия в группе. Даже если изначально попутчики были довольны условиями тура и качество предлагаемых в турпакете услуг, эффект толпы, увещевания и доводы конфликтующей стороны способны вызвать неадекватную реакцию и у них. Конфликты в группах туристов негативно сказываются на работе сопровождающего (он становится более нервным, невнимательным), могут испортить или полностью сорвать групповые экскурсионные или анимационные программы[18].

.   Конфликты, возникающие с деловыми партнерами туристической фирмы:

Вторым типом конфликтов, возникающих в туристической сфере, являются конфликты между турагентством и его деловыми партнерами.

Причинами таких конфликтов чаще всего выступают:

-  денежные взаимоотношения (экономическая природа конфликтов);

-       непотребное качество работы обеих сторон, приведшее к возникновению конфликтных ситуаций с туристами (например, из-за некачественного выполнения туроператором возложенных на себя обязательств, вспыхнул конфликт между агентством и туристом, или между туристом и работниками отеля).

Как показывает практика, большинство конфликтных ситуаций между партнерами, агентствами и туроператором возникают вследствие:

-  недопонимания между сторонами (работник туристического агентства неправильно понял менеджера туроператора и потому донес до туриста недостоверную информацию, что и привело к появлению конфликта), которое чаще всего возникает в силу некачественных систем коммуникации между фирмами;

-       недобросовестности или непрофессионализма сторон.

.        Внутрифирменные конфликты:

Основным отличием внутрифирменного конфликта является то, что конфликтующими сторонами выступают работники одной и той же организации.

Внутрифирменные конфликты можно разделить на четыре основных типа: внутри личностный, межличностный, конфликт между личностью и группой, межгрупповой конфликт[6].

Проанализировав конфликтные ситуации, возникавшие в исследуемом предприятии ООО «Агентство путешествий «Идеал», я обобщила их в таблице 4:

Таблица 4 − Примеры конфликтных ситуаций и их разрешение в ООО «Туристическое агентство «Идеал»

Тип конфликта

Пример конфликта

Результат

Конфликт с туристами

Гражданка А. приобрела туристическую путёвку в Прагу на 10 дней. После возвращения она обратилась с жалобой на качество туруслуг (долгое пребывание в аэропорту, непрофессионализм гида, халатное отношение представителя встречающей фирмы)

Ей был предложен вариант разрешения конфликтной ситуации в виде скидки на дальнейшее приобретение туристических услуг в размере 15%.

Конфликт с партнёрами фирмы

Туристическим агентством были забронированы номера в отеле А на группу туристов, купивших путёвки в Турцию. По прибытию их в отель А оказалось, что произошла накладка и свободных номеров нет. В результате группа потеряла день и была заселена в другой отель Б более низкой категории и стоимости. В итоге были жалобы со стороны клиентов. Турфирма предъявила претензии отелю А

Отель А предложил скидку на последующее бронирование 30 номеров

Внутрифирменный конфликт

В турфирму устроилась гражданка А. на должность менеджера по туризму. Вначале добросовестно выполняла свою работу, затем начала часто отпрашиваться раньше, халатно относится к своим обязанностям, в результате чего дополнительная работа падала на плечи коллег и как итог в коллективе назрел конфликт.

В результате менеджер А. была уволена с работы


Управление конфликтами - это целенаправленное воздействие по устранению (минимизация) причин, породивших конфликт, или на коррекцию поведения участников конфликта.

В системе программных мероприятия туристической компании ООО «Агентство путешествий «Идеал» свои имеются методы и способы управления конфликтами:

1. Использование руководителем своего положения в организации;

2.      Подробные разъяснения требований к работе;

.        Беседа с обеими конфликтующими сторонами;

.        Системы поощрений, вознаграждений.

Конструктивное разрешение конфликта в туристической компании ООО «Агентство путешествий «Идеал» выражена в следующих факторах:

. Адекватности восприятия конфликта, то есть достаточно точной, не искаженной личными пристрастиями оценки поступков, намерений как противника, так и своих собственных;

. Открытости и эффективности общения, готовности к всестороннему обсуждению проблем, когда участники честно высказывают свое понимание происходящего и пути выхода из конфликтной ситуации;

. Создания атмосферы взаимного доверия и сотрудничества;

. Определение существа конфликта.

Анализируя причины конфликтных ситуаций ООО «Агентство путешествий «Идеал» и приняв во внимание процессы управления конфликтами, можно выделить такие основные причины касательно внутренних конфликтов:

ограниченность ресурсов, которые необходимо разделить между участниками;

в результате получения недостоверной информации непонимание целей и задач друг друга, отсюда взаимное недоверие и каждый из участников конфликта слушает лишь себя, говорит только о своих проблемах;

манера поведения участников конфликта рефлективная и, как следствие, взаимоотталкивающая;

невысокая субординация;

так как коллектив маленький, то возможны конфликты на основе личных взаимоотношений.

Возникающие конфликтные ситуации разрешаются довольно быстро, учитывая размеры предприятия. Генеральный директор пользуется уважением коллектива, вовлечен в ежедневные дела фирмы и участвует в неформальных коммуникациях, что также помогает в разрешении проблемных периодов жизни предприятия.

2.3 Проблемы управления персоналом компании


Проблемы управления персоналом волнуют не только руководителей различных уровней, но и мешают жить самому персоналу.

Зачастую начальник создает такую систему управления персоналом, при которой устанавливается как бы идеальные отношения - сотрудники не саботируют работу, а руководитель не мешает жить приступами внезапной требовательности. И если разобраться, именно в таких отношениях на поверхность вылезают все проблемы управления.

По мнению многих специалистов в сфере выявления проблем управления персоналом - настоящий руководитель помимо опыта, интуиции и здравого смысла должен использовать в управлении персоналом еще и технологии[15].

В ходе проведенного исследования управления организацией нами был выявлен ряд проблем.

Во-первых, проблема недостаточного делегирования ответственности и полномочий. Делегирование, как термин, используемый в теории управления, означает передачу задач и полномочий лицу, которое принимает на себя ответственность за их выполнение.

Суть делегирования состоит в том, что руководитель предоставляет подчиненным свободу действий в решении тех или иных вопросов, специальных заданий, т.е. передает им часть своих полномочий, при этом всю ответственность, как правило, продолжает нести этот руководитель[21].

Цели делегирования:

1. Разгрузить вышестоящих руководителей, освободить их от текучки и создать наилучшие условия для решения стратегических и перспективных задач управления;

2.      Повысить дееспособность нижестоящих звеньев;

.        Активизировать «человеческий фактор», увеличить вовлеченность и заинтересованность работников.

Обычно делегируются: специализированная деятельность, рутинная работа, частные вопросы деятельности, подготовительные работы (проекты и т.п.).

Не подлежат делегированию: постановка целей, принятие решений по выработке политики предприятия, контроль результатов и т.п., задачи особой важности, задачи высокой степени риска, необычные, исключительные дела, актуальные, срочные дела, не оставляющие времени для объяснения и перепроверки.

Достоинство делегирования полномочий заключается, прежде всего, в том, что оно способствует формированию в коллективе атмосферы творческого труда. Работник, которому делегированы определенные полномочия, получает самостоятельный участок и отвечает перед своим руководителем за него (т.е. на него возлагается определенная ответственность), что само по себе является мобилизующим фактором.

Делегирование представляет собой средство, при помощи которого руководство распределяет среди сотрудников бесчисленные задачи, которые должны быть выполнены для достижения целей всей организации. Если существенная задача не делегирована другому человеку, руководитель вынужден будет выполнять ее сам. Это, конечно, во многих случаях просто невозможно, так как время и способности руководителя ограничены. Более важным является то, что сущность управления заключается в умении «добиться выполнения работы другими». Поэтому, в подлинном смысле слова, делегирование представляет собой акт, который превращает человека в руководителя[17].

В теории и практике управления существуют два подхода к реализации управленческих решений: ориентация на то,как лучше добиться конечных результатов, и ориентация на то, как лучше готовить эти решения. Оба подхода трудно «стыкуются», но если доминирует второй, то конечных результатов добиваться оказывается легче. Если же доминирует первый подход, то это свидетельствует о том, что принятию управленческих решений уделяется мало внимания. Методом, который может соединить оба подхода, является делегирование полномочий работникам.

Однако его трудно внедрить в практику управления. Постоянная нацеленность руководителя на достижение конечных результатов мешает ему «поднять голову», осмотреться по сторонам, заглянуть вперед. Но удаленность от эпицентра событий не дает возможности глубоко чувствовать рабочую обстановку во всех задействованных управленческих циклах. И все же руководитель-профессионал не только тянет на себе воз, погружаясь в «текучку», но и «заплывает» вдаль, чтобы ощутить свободу своих собственных действий.

Метод делегирования полномочий формирует организационный диапазон исполнения управленческих решений, вывода руководителя из узкого, тесного коридора поручения заданий на широкую дорогу в поисках надежных попутчиков. Можно представить, от чего должен уходить руководитель и к чему он должен стремиться, чтобы расширить организационный диапазон исполнения.

Переходя к методу делегирования полномочий, руководитель не только определяет сроки исполнения, качество и объемы работы, но и конечные результаты, наделяя работников ответственностью за полную реализацию управленческого решения. Они договариваются о том, как оформить и представить результаты, а также о том, как эти результаты будут вознаграждаться. Работнику предоставляется право на риск, а значит, и право на ошибку, т.е. право самому выбирать наилучший способ достижения результата. Он только оговаривает, какой денежный фонд можно тратить, советуется, с кем вступать в контакт, проясняет для себя право подписи необходимой документации, процедуру согласований, подготовки документов, ведения переговоров, выхода к вышестоящему руководителю с инициативами или за разрешениями. Если все эти полномочия ему так или иначе делегируются, то работник (или низовой менеджер) получает свободу организационного, финансового, юридического и психологического маневра, освобождая руководителя от детального «досмотра» этого управленческого цикла. Руководитель также получает свободу маневра в решении перспективных и стратегических проблем. Но наибольшую свободу получает тот руководитель, который может так организовать реализацию решений и в других управленческих циклах. Он же и достигает наибольшего эффекта в управлении[26].

Однако это происходит не со всеми, не всегда и не сразу. Требуется определенное время для того, чтобы наладить такое управленческое взаимодействие. Это значит, что руководителю необходимо преодолев противоречие, которое можно сформулировать так: принимая управленческие решения за подчиненных, он должен принимать его вместе с ними, чтобы творчески вовлечь их в реализацию еще одного замысла.

Метод делегирования полномочий основан, с одной стороны, на преодолении негативной зависимости работников от руководителя, вынужденных подчиняться его требованиям, а с другой - на преодолении зависимости руководителя от работников, вынужденного отвечать за качество, объемы и сроки исполнения работ. Приходя работать в фирму, работники как бы заранее соглашаются, что будут выполнять управленческие решения руководителя. Но находясь в зависимом от него положении, они могут психологически компенсировать это неудобство:

− во-первых, доверием к нему,

− во-вторых, договоренностью о пределах своих обязанностей,

− в-третьих, возможностью встречных предложений идущих к нему от них самих,

− в-четвертых, требованием обеспечивать необходимую помощь в тех или иных рабочих ситуациях.

Только при таких «смягчающих обстоятельствах» руководитель имеет моральное право принимать решения за других. Такие решения становятся управленческими именно потому, что основаны на компенсаторной «обратной связи» со стороны исполнителей.

Делегирование полномочий должно быть методом, применяющимся не от случая к случаю, а действующим постоянно. Только тогда можно понять, кто из сотрудников способен выполнить работу руководителя и добиться желаемого качества исполнения. При делегировании полномочий нельзя забывать, что подчиненному следует передавать не только обязанности, но и права, власть.

Исходя из всего этого, можно сделать вывод, что делегирование не только необходимо для «разгрузки» руководителя, но и для повышения мотивации работника и увеличения финансовых результатов, так как сотрудник, непосредственно взаимодействующий с потребителем, может наиболее чутко уловить тенденции и спрос. Следовательно, децентрализованность в принятии решений при делегировании полномочий может приносить не только положительный социально-психологический, но и финансовый результат[17].

Недостаточный уровень делегирования ответственности был выявлен нами в исследовании, проведенном в пункте 2.1. «Анализ системы менеджмента персонала компании» при помощи метода «Оценки эффективности командной работы». Мероприятия для решения данной проблемы будут приведены в третьей главе.

Во-вторых, проблема мотивации персонала. Мотивация - комплекс мероприятий по стимулированию деятельности человека или коллектива, направленный на достижение индивидуальных или общих целей организации.

Опытные руководители знают, что каждый член группы, получившей конкретное задание, будет реагировать на него по-своему, иногда и непредсказуемым образом. Поступки людей зависят не только от необходимости или их явных желаний, но и от скрытых в подсознании или приобретенных в результате воспитания многих сложных субъективных факторов. У одних людей заметна власть привычки, традиций, целой системы предрассудков и стереотипов поведения, другие поступают так, а не иначе, под влиянием нравственных принципов, социальных или политических идеалов. Человек реагирует на внешние события чаще всего импульсивно, без глубокого анализа причин и следствий. Образование, воспитание, возраст, опыт и многие другие факторы определяют реакции личности на среду. Поступки молодежи чаще формируютсяпод воздействием моды, принятых в данной среде манер поведения. Люди старшего возраста более ориентированы на организацию быта, семейной жизни, материальное благополучие, моральные принципы, эстетические впечатления. Руководитель должен знать сложность мотивационных тенденций личности и не удивятся неадекватной реакции людей на управляющие воздействия[17].

Эффективность деятельности человека зависит от многих сложных факторов, среди которых основную роль играют: четкое понимание целей своей работы, вероятность достижения этой цели и система материальных и моральных стимулов, определяющих заинтересованность работника в его труде.

Для эффективного стимулирования деятельности необходимо знать желания человека, его нужды, опасения. Если руководитель не знает потребностей, то его попытка обеспечить мотивацию деятельности человека обречена на провал. Приэтом важно понимать, что человеком движет не одна изолированная потребность, а их сочетание и приоритеты потребностей могут меняться. Влияние внешних факторов, потребностей, ценностей, устремлений на трудовую мотивацию человека рассматривается многими мотивационными теориями (теории ожидания, равенства, двух факторов Герцберга и т.п.)[25].

Любой человек нуждается в понимании и самоуважении, редко можно встретить человека, недовольного своим интеллектом. Жизненный успех воспринимается нами как безусловное подтверждение значимости собственного «Я», а большинство неудач мы объясняем несовершенством окружающей нас жизни, ошибками или противодействием системы. Каждый поступок чем-то и как-то мотивирован и нуждается в оценке самого человека и окружающих его людей. Причем отрицательная оценка поступка, особенно применение каких либо санкций, вызывает часто непредсказуемую, неуправляемую реакцию. Наказание редко дает воспитательный эффект, обычно человек лишь учится, как избежать в дальнейшем ответственности за свой поступок. Положительная оценка поступка, особенно безотлагательная, не только формирует поведение, но и удовлетворяет нашу естественную потребность в повышении самооценки[14].

Проблема недостаточной мотивации была определена в результате анкетирования штата исследуемого предприятия. Для увеличения заинтересованности персонала в результативности функционирования предприятия необходимо развивать следующие компоненты мотивации:

1. Развитие организационной культуры предприятия

. Система участия

. Обслуживание персонала

. Привлечение персонала к принятию решений

. «Job» - факторы (мероприятия, направленные на количественные и качественные изменения рабочего задания и поля деятельности)

. Организация рабочего места

. Оценка персонала

8. Информирование работников

В-третьих, проблема обучения персонала.

Развитие является стратегической функцией кадрового менеджмента. В настоящее время в теории и практике вопрос о сущности понятия «развитие» исследован недостаточно. В практической деятельности в сфере управления кадрами организации под развитием понимают обучение персонала. Развитие является ведущим фактором системы образования человека, персонала организации наравне с обучением и воспитанием.

Ведущие организации затрачивают на профессиональное развитие значительные средства - от 2 до 10% фонда заработной платы. Эти затраты являются капиталовложениями организации в развитие своих сотрудников, от которых она ожидает отдачи в виде повышения производительности, т.е. увеличения вклада каждого сотрудника в достижение организационных целей. Помимо непосредственного влияния на финансовые результаты капиталовложения в профессиональное развитие способствуют созданию благоприятного климата в организации, повышают мотивацию сотрудников и их преданность организации, обеспечивают преемственность в управлении[10].

Профессиональное развитие оказывает положительное влияние и на самих сотрудников. Повышая квалификацию и приобретая новые навыки и знания, они становятся более конкурентоспособными на рынке труда и получают дополнительные возможности для профессионального роста как внутри своей организации, так и вне нее. Это особенно важно в современных условиях быстрого устаревания профессиональных знаний.

Ключевым моментом в управлении профессиональным развитием является определение потребностей организации в этой области. По существу речь идет о выявлении несоответствия между профессиональными знаниями и навыками, которыми должен обладать персонал организации для реализации ее целей (сегодня и в будущем), и теми знаниями и навыками, которыми он обладает в действительности. Определение потребностей в профессиональном развитии отдельного сотрудника требует совместных усилий отдела профессионального развития, самого сотрудника и его руководителя. Каждая из сторон привносит свое видение этого вопроса, определяемое ее положением в организации и ролью в процессе профессионального развития[8].

Особенно важен вопрос обучения в малых организациях, так как в них наиболее высока потребность в высококлассных профессионалах, способных сочетать несколько функций.

В исследуемой организации на обучение выделяется небольшая часть бюджета и необходимы действия в этом направлении.

Проведя анализ системы управления персоналом в Туристическом Агентстве ООО «Агентство путешествий «Идеал», можно сделать вывод, что она построена в целом эффективно в рамках реализации всех функций в данной области. Однако имеются и недостатки.Мероприятия, необходимые для решения выявленных проблем будут приведены в третьей главе работы.

Выводы:

Во второй главе дипломной работы нами были выявлены следующие проблемы в управлении персоналом:

.        Проблема недостаточного делегирования ответственности и полномочий;

.        Проблема мотивации персонала;

.        Проблема обучения персонала.

3. Совершенствование системы управления персоналом в ООО «Агентство путешествий «Идеал» г. Краснодар


3.1    Рекомендации по совершенствованию системы делегирования ответственности


Делегирование тесно связано с мотивацией, влиянием и лидерством. Как во всех процессах обмена информацией и оказания влияния, обе стороны имеют существенное значение для достижения успеха. Учитывая это, составим таблицу ряда причин, по которым руководители могут с неохотой делегировать полномочия, а подчиненные - уклоняться от дополнительной ответственности[10].

Для повышения эффективности делегирования руководителем ООО «Агентство путешествий «Идеал» могут быть предприняты следующие меры:

. Создание системы контроля, необходимую для того, чтобы обезопасить себя при делегировании больших полномочий подчиненным. Определить свои проблемы и повысить квалификацию в области лидерства и оказания влияния: пройти программу «Тренинг лидерства».

. Предоставление большей самостоятельности в принятии решений, тем самым устраняется большая часть неуверенности подчиненных. Не следует во весь голос критиковать подчиненного, чтобы указать на недостатки в работе.

. Решить проблему коммуникации. Для этого необходимо упорядочить документопоток в организации и ввести так называемую «бумажную коммуникацию», которая предполагает обмен информацией в печатном виде. Также необходимо наиболее доступно излагать информацию, так как понятное изложение подчиненным их обязанностей, задач и пределов полномочий имеет существенное значение для эффективного делегирования.

. Использование «принципа соответствия», то есть делегировать работнику полномочия, достаточные для выполнения всех задач, за которые он принял на себя ответственность, то есть необходимо соответствие между полномочиями и ответственностью. Как следствие, работник может принимать ответственность только за те задачи, которые попадают в сферу делегированных ему полномочий.

Большая ответственность означает больше работы и больше риска для лица, принимающего ее. Многое, если не большинство, не находят привлекательными эти дополнительные обязанности. Средний человек ожидает, достаточно обоснованно, какого-то вознаграждения. Но, к сожалению, во многих организациях четко выраженное желание расширить ответственность подчиненных не подкрепляется системой стимулирования, которая обеспечивает им вознаграждение за принятие этого бремени. Недавние исследования выявили доказательства того, что работники имеют меньшую мотивацию к работе, если считают, что дают организации больше, чем получают от нее. Вследствие этого, отсутствие положительных стимулов к принятию дополнительной ответственности может заблокировать разумные попытки распределить полномочия. Следовательно, следующим этапом в реализации мер по повышению самостоятельности работников ООО «Агентство путешествий «Идеал» в принятии решений будет этап закрепления, в ходе которого будут введены новые мотивационные стимулы.

Эти вознаграждения могут выступать почти в любой форме. Дополнительная оплата, повышение по службе, необычное звание, благодарность, особый статус и более комфортабельные условия работы − все это доказало свою эффективность. Необходимость применения вознаграждений обоснована тем, что подчиненный видит четкую связь между принятием дополнительной ответственности и удовлетворением личных потребностей. Так же важно для высшего руководства создать систему стимулирования руководителей за успешное делегирование дополнительных полномочий в соответствии с целями организации. Более подробно этот вопрос будет рассмотрен в пункте 3.2 «Рекомендации по совершенствованию системы мотивации персонала».

Полномочия на высшем уровне управления организацией, как правило, распределяются приказом, в котором указано, кто и какие подразделения курирует и несет за их работу ответственность. На более низких уровнях управления полномочия распределяются другими способами. Этот способ может быть предложен и руководителю исследуемого предприятия.

Может быть использован метод исключения. Этот метод заключается в том, что руководитель любого ранга берет общую тетрадь и проводит самофотографию рабочего дня в определенном отрезке времени - это может быть от пяти до двадцати дней (чем больше дней, тем лучше и точнее результат). После проведенной работы тетрадь рассматривается на досуге и проводится анализ, показывающий, по каким вопросам принимаются решения. Если решения повторяются по одинаковому вопросу несколько раз в день или ежедневно - это первый сигнал к тому, чтобы передать функцию по решению повторяющегося вопроса на уровень ниже. Решение подобных вопросов - это рутина, а вот для решения творческих вопросов времени у руководителей практически нет. Рационально использовать рабочее время помогут несколько правил:

. Проранжируйте текущие проблемы и отдайте предпочтение для решения наиболее важных.

. Оставьте резерв времени для решения непредвиденных проблем.

. Не выжимайте из времени больше возможного в ущерб качеству работы.

. Остерегайтесь людей, не жалеющих вашего времени.

. Старайтесь менее важные дела решать к концу рабочего дня, либо передавайте решение этих вопросов подчиненным.

. Не откладывайте работу на потом, не бойтесь ее, принимайтесь за работу смелее.

. Начинайте работу, не раздумывая над тем, хватит ли времени?

. Делайте паузы в работе, обращайтесь с мыслями к личным делам, просто отдохните, соберитесь с мыслями.

3.2    Рекомендации по совершенствованию системы мотивации персонала

управление малый персонал менеджмент

Целью управления сложившейся экономической ситуацией должно стать, прежде всего, увеличение заинтересованности персонала в повышении результативности функционирования предприятия для извлечения максимальной прибыли в периоды значительного увеличения емкости рынка. Для достижения нужного эффекта необходимо изменить сложившуюся систему мотивации персонала путем развития имеющихся и внедрения новых форм морального и материального стимулирования путем административных, экономических и социально-психологических методов управления.

Для увеличения заинтересованности персонала ООО «Агентство путешествий «Идеал» в результативности функционирования предприятия необходимо развивать следующие компоненты мотивации:

. Развитие организационной культуры предприятия. Основные инструменты: Устав предприятия, открытые принципы руководства и организации предприятия, демократический стиль руководства.При использовании данного компонента могут быть достигнуты: понимание и признание целей предприятия, ориентация на перспективу, согласование взаимных интересов между работниками предприятия. Применительно к самому предприятию возможно создание определённого неформального устава ценностных ориентаций и правил.

. Система участия (участие работников в распределении общего хозяйственного результата, капитале предприятия и развитие сотрудничества). Инструменты: справедливое распределение результатов, участие в капитале, развитие отношений партнерства.Достигаются такие цели как: установка на кооперативность в поведении, ориентации на соотнесение затрат и результатов, готовность к риску. Например, можно ввести дополнительное премирование сотрудников с наибольшими результатами продаж по итогам квартала.

. Обслуживание персонала. Инструменты: безопасность труда, охрана здоровья, создания условий для отдыха и разгрузки, занятия спортом, забота о работниках, нуждающихся в помощи. Достигаемые цели: социальная защищенность и интеграция с предприятием, повышение трудовой активности. По этому пункту можно предложить организации наблюдение и обслуживание всего коллектива в каком-либо медицинском центре.

. Привлечение персонала к принятию решений. Инструменты: делегирование ответственности, добровольное участие в принятие решений. Достигаемые цели: участие в принятие решений на рабочем месте, вовлечение в дела предприятия.

. Организация рабочего места (оснащение рабочих мест техническими, эргономическими и организационными вспомогательными средствами с учётом потребности работников). Инструменты: технические и организационные вспомогательные средства, физиологические и психологические элементы условий труда.Достигаемые цели: удовлетворенность состоянием рабочего места, удовольствие от работы и более качественное выполнение задания.

. Информирование работников. Инструменты: производственная документация, собрание коллектива, отчеты о работе.Достигаемые цели: информированность о делах предприятия, мышление и деятельность с позиции интересов предприятия.Предлагается проводить еженедельные либо раз в две недели собрания всего коллектива, на котором будут обсуждаться текущая деятельность, возможные предложения по повышению эффективности работы предприятия.

. Оценка персонала. Инструменты: различные методы оценки результатов труда и возможностей работника.Достигаемые цели: положительное влияние на поведение, ответственность за свои действия. По данному пункту можно предложить проведение систематической оценки персонала компании.

На основе проведенного исследования системы стимулирования персонала ООО «Агентство путешествий «Идеал» можно сделать вывод, что система стимулирования персонала на предприятии нуждается в совершенствовании с учетом новых подходов и тенденций кадрового менеджмента.

Можно предложить следующие основные направления развития системы стимулирования персонала вООО «Агентство путешествий «Идеал»:

-  создание определённого неформального устава ценностных ориентаций и правил;

-       дополнительное премирование сотрудников с наибольшими результатами продаж по итогам квартала;

-       наблюдение и обслуживание всего коллектива в каком-либо медицинском центре и корпоративное страхование;

-       еженедельные либо раз в две недели собрания всего коллектива, на котором будут обсуждаться текущая деятельность, возможные предложения по повышению эффективности работы предприятия;

-       введение системы оценки персонала.

3.3    Рекомендации по совершенствованию системы обучения


Разработка и осуществление программ обучения является одним из основных направлений совершенствования системы управления персоналом. Помимо непосредственного влияния на финансовые результаты компании, профессиональное развитие работников способствует созданию благоприятного климата в организации, повышает стимулирование работников и их преданность организации[10].

В данной части работы предлагается использование программы коучинга с целью обучения и развития персонала в исследуемой организации ООО «Агентство путешествий «Идеал».

Коучинг предполагает, что решение принимается на основе оценки реальных условий: имеющегося опыта, доступных ресурсов, возможного сопротивления людей и т.д. Соответственно, принятие организацией концепции коучинга должно следовать за тщательным изучением всех обстоятельств, в которых будет реализовываться проект. Одна из целей коучинга - раскрытие уникального индивидуального потенциала, что, собственно, и приводит к инновациям, качественно иному уровню ответственности сотрудников, повышению эффективности их труда. Значит, и компании нужно прийти к своему пониманию идеи коучинга.

Коучинг как стиль менеджмента и отношений в целом - это особым образом организованное взаимодействие между менеджером и его подчиненным, которое предполагает признание уникальности каждого человека, доверие к его способностям, содействие максимальному раскрытию его личностных ресурсов и приводит к новому уровню ответственности сотрудников[17].

Коучинг как инструмент менеджмента - это помощь сотрудникам в развитии и обучение в процессе совместной работы. При этом используются определенные методы, техники постановки вопросов, совместного обсуждения и т.д.

Проект для ООО «Агентство путешествий «Идеал» предполагает четыре направления работы, которые не следуют строго друг за другом во времени, а сосуществуют, усиливая друг друга.

этап внедрения проекта: подготовка персонала к внедрению системы коучинга.В рамках этого этапаруководительООО «Агентство путешествий «Идеал» ставит перед собой две цели. Главная - сформировать готовность сотрудников компании к принятию идеи коучинга, к участию в проекте в качестве будущих коучи, и, что самое главное, к включению идеи коучинга в картину своего мировоззрения. Вторая цель практическая - отобрать кандидатов в коучи.

В нашем случае, на обучение коучингу на семинар будет отправлен один сотрудник, который в дальнейшем будет являться внутренним коучем. Был подобран и подходящий центр -тренинговый центр «Коучинг-Центр Юг».

Необходимо отобрать кандидатов в первую группу обучения для подготовки внутренних коучей организации. Критериями отбора выступает желание самого менеджера, самооценка готовности быть коучем, экспертная оценка руководителя и его решение.

этап: разработка и развитие концепции проекта. При разработке концепции системы коучинга в компании ключевыми моментами станут:

. Определение целей и задач проекта, обозначение его границ в общей структуре компании;

. Формирование терминологии, единой для всех участников;

. Разработка методов и административных процедур управления проектом;

. Определение форм и методов работы, разработка процедур коучинга;

. Определение форм взаимодействия включенных в проект сотрудников и распределение зон ответственности;

. Планирование мероприятий по реализации проекта и разработка перспектив его дальнейшего развития.

Положительной является идея создания инстита внутренних коучейООО «Агентство путешествий «Идеал» - нового современного инструмента обучения и развития сотрудников. Введение роли коуча по развитию (внутреннего коуча) позволит снизить затраты на обучение и ввод в должность новых сотрудников.

Таким образом, в соответствии с нашей моделью, коучинг в компании ООО «Агентство путешествий «Идеал» предстает взаимосвязь коуча и коучи.

Распределение ролей в системе коучинга в ООО «Агентство путешествий «Идеал» (таблица 5):

Таблица 5 − Процентное соотношение тренеров и обучаемых

№ №

Роль в тренинге

Обязанности

Соотношение, %

1

«Коуч»

Проведение тренингов и семинаров внутри компании для коучи

25

2

«Коучи»

Получение знаний в процессе коучинга

75


этап: подготовка внутренних коучей. Подготовка коучейбудет проходить в рамках обучающих программ для менеджеров и коучей. На обучение будет отправлен старший менеджер.

Программа подготовки включает в себя три этапа: общая подготовка, специальная подготовка и индивидуальная подготовка с супервизией. Программа предполагает внутреннюю сертификацию по результатам обучения.

На этапе общей подготовки предусмотрено участие коучей во всех мероприятиях в рамках первого направления работ и проведение серии из четырех двух- или трехдневных базовых семинаров: "Взаимодействие и коммуникация в коучинге", "Стимулирование и обратная связь", "Эмоциональный интеллект", "Процедуры и технологии коучинга". Каждый семинар включает в себя тренировочную коуч-сессию (как минимум одну) и обязательную процедуру взаимной супервизии участников. Все семинары проводятся "в стиле коучинг", а использование элементов тренинга позволяет сформировать у участников навыки, необходимые для проведения эффективных коуч-сессий. Материалы, получаемые на этих семинарах, используются для развития общей концепции проекта.

При поиске подхода к организации специальной подготовки внутренних коучей будет проведена серия групповых структурированных интервью, разработана модель идеального коуча. Выяснено, что потребность в коучинге возникает у сотрудника в двух ситуациях:

. Когда возникает реальная бизнес-проблема (под проблемой понимаем разрыв между желаемым и настоящим состоянием);

. Когда человек осознает, что недостаточность развития определенной компетенции не позволяет ему работать эффективно (это и является проблемой).

Далее, после особым образом организованного ассессмента, будет предложено сотрудникам пройти обучение в одной, двух или трех малых группах по развитию компетенций. Как предполагается, группы специальной подготовки будут небольшими - по два-четыре человека. Это позволит провести обучение в формате «мастер-классов», максимально индивидуализированно.

Уже на этапе специальной подготовки коучей предполагают приступить к проведению пробных самостоятельных коуч-сессий вне учебной ситуации. Этот этап планируется завершить в течение трех месяцев.

Третий этап реализации программы - сопровождение коучей в ходе работы - предполагает индивидуальную подготовку. Для каждого участника учебной группы будет прописана индивидуальная программа, базирующаяся на личных возможностях, ограничениях, субъективных потребностях и результатах предыдущей подготовки, учитывающая внешние факторы. Главный акцент при этом будет сделан на развитии индивидуального стиля коуча. Основные методы, которые планируется использовать в этом модуле: ассессмент индивидуальных стилей, супервизия, индивидуальные консультации с использованием аудио- и видеоматериалов, сессии внешнего коучинга, семинары по обмену опытом (по принципу известных Балинтовских групп). По итогам прохождения этапа будут разработаны рекомендации по дальнейшему развитию участников.

этап: разработка технологий и инструментария. Усилия в ходе реализации и проекта будут сосредоточены на двух задачах:

. описание регламентов и правил - процедур коучинга, прав и границ ответственности участников, форм получения обратной связи об эффективности обучения, способов оценки эффективности других применявшихся методов и т. д.;

. разработка методических рекомендаций для всех участников проекта.

В перспективе планируется разработать методическую базу не только для проекта по внедрению коучинга, но и для всех направлений развития персонала в компании. Реализация программы коучинга для сотрудников внутри компании будет проходить в три этапа.

На первом этапе выявляем запросы и мотивы потребности в обучении. Происходит расстановка и прояснение основных целей и приоритетов в обучении.

Этапы:

. Расстановка целей (Что вы хотите?).

. Обследование текущей ситуации (Что происходит?).

На втором этапе проводим стандартный тренинг с и использованием широкого набора упражнений и игр для достижения цели тренинга сформулированных на первом этапе.

Общая модель тренинга - цикл: "Рассказ-Демонстрация-Тренировка".

На третьем этапе анализируем полученные результаты (достигнуты ли поставленные цели?)

На этом этапе выявляются мешающие обучению препятствия, возможные проблемы. А также рассматриваются мероприятия по переносу полученных навыков в рабочую среду.

Этапы:

. Список возможностей (Что нужно сделать?).

. То, что надо сделать (Что вы будете делать?).

Весь коуч-тренинг строится таким образом, чтобы осуществить цикл обучения, последовательно переходя из стадии в стадию, не давая при этом сотрудникам новые поведенческие шаблоны. Он нацелен на то, чтобы помочь в осознании своих целей.

Такой тренинг помогает задействовать в работе внутренний потенциал сотрудника. Кроме этого создаётся широкое информационное пространство, вырабатываются новые стратегии позволяющее определить, какие плюсы и минусы могут возникнуть в результате принятия того или иного решения.

В третьей главе дипломной работы на основе теоретических и экспериментальных исследований были разработаны рекомендации по совершенствованию системы управления персоналом.

Для повышения эффективности делегирования руководители могут:

-  создать систему контроля, необходимую для того, чтобы обезопасить себя при делегировании больших полномочий подчиненным;

-       соблюдать «принцип соответствия» между полномочиями и возможностями;

-       создать систему вознаграждений за дополнительные обязанности;

-       использовать методы «самофотографии рабочего дня» и ранжирования важности задач.

Для увеличения мотивированности можно предложить следующие основные направления развития системы стимулирования персонала в ООО «Агентство путешествий «Идеал»:

-  создание определённого неформального устава ценностных ориентаций и правил;

-       дополнительное премирование сотрудников с наибольшими результатами продаж по итогам квартала;

-       наблюдение и обслуживание всего коллектива в каком-либо медицинском центре и корпоративное страхование;

-       еженедельные либо раз в две недели собрания всего коллектива, на котором будут обсуждаться текущая деятельность, возможные предложения по повышению эффективности работы предприятия;

-       введение системы оценки персонала.

Рекомендации по совершенствованию системы обучения:

-  введение системы коучинга;

-       подготовка внутриорганизационного коуча.

 

ЗАКЛЮЧЕНИЕ


По итогам исследования мы решили поставленные задачи и сделали выводы.

Выводы, сделанные по первой главе дипломной работы, носят теоретический характер. Во-первых, что малые предприятия являются важным сектором экономики России. Во-вторых, была определена роль коммуникаций − коммуникации в малом бизнесе являются основополагающим фактором. В-третьих, были названы основные черты управления персоналом на малом предприятии:

.   Комплексный характер деятельности сотрудников;

2.      Более высокая информированность работников и «семейственность» отношений;

.        Отсутствие многоуровневой организационной структуры;

.        Предприятие предъявляет повышенные требования к личным качествам работника;

.        Высокий профессионализм;

.        Близкие отношения между работодателем и персоналом позволяют легче решать проблемы;

Во второй главе дипломной работы в ходе исследования нами были выявлены следующие проблемы в управлении персоналом:

.   Проблема недостаточного делегирования ответственности и полномочий;

2.      Проблема мотивации персонала;

.        Проблема обучения персонала.

В третьей главе дипломной работы на основе теоретических и экспериментальных исследований были разработаны рекомендации по совершенствованию системы управления персоналом.

Для повышения эффективности делегирования руководители могут создать систему контроля, необходимую для того, чтобы обезопасить себя при делегировании больших полномочий подчиненным. Так же необходимо соблюдать «принцип соответствия» между полномочиями и возможностями. Важным аспектом при эффективной передаче полномочий является создание системы вознаграждений за дополнительные обязанности. Ещё мною был предложены методы «самофотографии рабочего дня» и ранжирования важности задач.

Для увеличения мотивированностиможно предложить следующие основные направления развития системы стимулирования персонала в ООО «Агентство путешествий «Идеал»:

-  создание определённого неформального устава ценностных ориентаций и правил;

-       дополнительное премирование сотрудников с наибольшими результатами продаж по итогам квартала;

-       наблюдение и обслуживание всего коллектива в каком-либо медицинском центре и корпоративное страхование;

-       еженедельные либо раз в две недели собрания всего коллектива, на котором будут обсуждаться текущая деятельность, возможные предложения по повышению эффективности работы предприятия;

-       введение системы оценки персонала.

Рекомендации, предложенные для совершенствования системы обучения:

-  введение системы коучинга;

-       подготовка внутриорганизационного коуча.

СПИСОК ИСПОЛЬЗОВАННЫХ ИСТОЧНИКОВ

1.           Авдеев В.В. Управление персоналом: технология формирования команды/ В.В. Авдеев. - М.: Финансы и статистика, 2010. -342 с.

2.      Агентство путешествий «Идеал» [Электронный ресурс]: официальный сайт. - URL. - Режим доступа: <http://www.ideal-tour.info>. - 17.02.2014.

3.          Арсеньев Ю.Н. Управления персоналом: модели управления / Ю.Н. Арсеньев, И.В. Шелобаев, Т.Ю. Давыдова. - М.: Инфра-М, 2009. - 287 с.

4.      Базаров Т.Ю. Менеджер по персоналу: учеб. пособие/ Т.Ю. Базаров. - М.: Академия, 2013. -120 с.

.        Блинов А.О. Малое предпринимательство. Организационные и правовые основы деятельности/ А.О.Блинов.- М.: Ось-89, 2010. - 336 с.

.        Бордовская Н.В. Педагогика/ Н.В.Бордовская, А.А.Реан. - СПб.: Питер, 2011. -230 с.

7.            Веснин В.Р. Менеджмент/ В.Р.Веснин. - М.: Проспект, 2012. - 504 с.

8.          Виханский О.С. Менеджмент/ О.С.Виханский, А.И.Наумов. - М.: ИНФРА-М, 2010. - 410с.

9.            Герчикова И.Н. Менеджмент/ И.Н.Герчикова. - М.: ЮНИТИ, 2010. - 128 с.

10.        Егоршин А.П. Основы управления персоналом/ А.П.Егоршин. - М.: Инфра-М, 2011. -302 с.

11.    Емельянов С.М. Практикум по конфликтологии/ С.М.Емельянов. - СПб.: Питер, 2009.-475 с.

.        Ерина С.И. Ролевой конфликт и его диагностика в деятельности руководителя/ С.И.Ерина. - Ярославль, 2002. - 162 с.

.        Драчева Е.Л. Менеджмент/ Е.Л.Драчева. - М.: Академия, 2012. - 205 с.

.        Зайцев Л.Г. Малое предпринимательство/ Л.Г.Зайцев. - М.: Экономистъ,2009. -665 с.

.        Зинов В.Г. Менеджмент малого предприятия: кадровое обеспечение/ В.Г.Зинов. - М.: Инфра М, 2010. -495 с.

.        Иохин В.Я. Экономическая теория: учебник/ В.Я.Иохин. - М.: Юристъ, 2007. - 861 с.

17.          Кибанов А.Я. Мотивация и стимулирование трудовой деятельности/ А.Я. Кибанов. - М.: ЮНИТИ,2010. -524 с.

18.    Кошелев А. Н. Конфликты в организации: виды, назначение, способы управления/ А.Н.Кошелев, Н.Н. Иванникова. -М.: Альфа-Пресс, 2007. - 326 с.

.        Крегер О. Типы людей: 16 типов личности, определяющих, как мы живём, работаем и любим/ О.Крегер, Д.Тьюсон. - М.: АСТ, 2005. - 165 с.

.        Кричевский Р.Л. Социальная психология малой группы/ Р.Л. Кричевский, Е.М.Дубовская. - М.: Аспект-Пресс, 2010. - 264 с.

.        Лапуста М.Г. Предпринимательство/ М.Г.Лапуста. - М.: ИНФРА-М, 2013. -667с.

.        Морозов А.В. Деловая психология/ А.В.Морозов. - СПб.: Питер, 2011. - 459 с.

.        Налоговый кодекс РФ. Часть первая и вторая. - М.: Норматика, 2014. - 528 с.

24.        Овчинников Б.В. Ваш психологический тип / Б.В. Овчинников, К.В. Павлов. -СПб.: Андреев и сыновья, 2008. - 175 с.

25.    Рогожин С.В. Теория организации/ С.В.Рогожин, Т.В.Рогожина. - М.: Экзамен, 2012. - 320с

.        Смирнов Э.А. Теории организации/ Э.А.Смирнов. - М.: ИНФРА-М, 2011. - 211 с.

.        Туровец О.Г. Теория организации/ О.Г.Туровец, В.Н.Родионова. - М.: ИНФРА-М, 2010.- 115 с.

.        ФЗ РФ № 209-ФЗ от 24 июля 2007 г. «О развитии малого и среднего предпринимательства в Российской Федерации». - М.: Ось-89 - 25 с.

.        Шинкевич О.К. Основы менеджмента: курс лекций/О.К. Шинкевич. - М.: МГТУ «Станкин»,2012.- 85 с.

ПРИЛОЖЕНИЕ А

Методика оценки уровня командной работы.

Таблица А.1 - Критерии оценки уровня командной работы.

Критерий

Максимум

Оценка

1. Организационное окружение

20


1.1. Готовность менеджмента к делегированию ответственности и полномочий на уровень команд и готовность членов команд взять на себя ответственность и полномочия

4


1.2. Построение системы бюджетирования по принципу «снизу-вверх»

4


1.3. Применение методов психологического анализа при подборе кандидатов на вакантные места

4


1.4. Степень согласования стратегии развития организации с этапами развития команд

4


1.5. Ориентированность системы оплаты труда на применение командной работы

4


2. Ответственность и полномочия

20


2.1. Распределение полномочий и установление зон ответственности между командой и внутриорганизационным окружением с позиций оперативных производственных функций

4


2.2. Участие команды в процедурах найма и увольнения

4


2.3. Функции оценки качества продукции

4


2.4. Формирование производственной программы и производственный учет

4

4


3. Процессы

20


3.1. Возможность самооценки результатов деятельности команды

4


3.2. Применение методов управления качеством

4


3.3. Возможность команды влиять на себестоимость продукции

4


3.4. Самостоятельность команды в определении командных проблем и формировании целей командной работы

4


3.5. Степень взаимодействия команды с поставщиками и потребителями

4


4. Задачи

20


4.1. Объединение локальных задач в единый процесс, который может быть подвергнут комплексной оценке

4


4.2. Применение многофункциональных знаний и умений, в т.ч. использование коллективного принятия решений

4


4.3. Наличие задач, связанных с достижением тактических целей

4


4.4. Участие команды в разработке стратегии развития команды и организации в целом

4


4.5. Наличие задач, связанных с реструктурированием производственных процессов и команды

4


5. Структура

20


5.1. Количественный состав команды (оптимальный состав 8-12 человек)

4


5.2. Члены команды обладают разнообразными необходимыми профессиональными знаниями и умениями

4


5.3. Сплоченность команды и психологический портрет членов команды обеспечивают низкую вероятность возникновения конфликтов в команде

4


5.4. Степень группового единомыслия не мешает критическому отношению к проблемам

4


5.5. Целевые и поддерживающие роли адекватно распределены между членами команды. Имеется ярко выраженный лидер команды

4


Общая оценка уровня командной работы

100



Таблица А.2 - Варианты оценки управленческой деятельности

Оценка, балл

Состояние категории

0

Деятельность не ведется

1

Деятельность ведется непостоянно, от случая к случаю

2

Деятельность ведется частично, в зависимости от ситуации

3

Деятельность ведется постоянно и систематически

4

Деятельность ведется максимально эффективно (эталонный уровень)


Таблица А.3 - Определение уровня развития командной работы

Уровень

Оценка

Характеристика состояния командной работы

I

(0~20)

Управление ведется бессистемно, цели не определены либо слишком расплывчаты. Для дальнейшего развития необходимо в корне пересмотреть принципы ведения бизнеса

II

(21~40)

Командная работа имеет потенциал для развития, однако эти возможности реализуются слабо. Руководству необходимо, проявив инициативу, отчетливо определить цели и разработать стратегию развития командной работы

III

(41~60)

Командная работа в организации находится в стадии становления. Необходимо акцентировать внимание на процессах делегирования ответственности и полномочий

IV

(61~80)

Развитие командной работы ведется по большинству направлений. Необходимо поддерживать динамику улучшений и начать преобразование оставшихся проблемных областей. Необходимо закрепить положительные результаты преобразований в регламентирующих документах

V

(81~100)

Достигнуты максимальные результаты по всем направлениям командной работы, система является эталонной


Таблица А.4 - Самостоятельная оценка уровня командной работы.

Критерий

Максимум

Оценка

1. Организационное окружение

20

8

1.1. Готовность менеджмента к делегированию ответственности и полномочий на уровень команд и готовность членов команд взять на себя ответственность и полномочия

4

1

1.2. Построение системы бюджетирования по принципу «снизу-вверх»

4

0

1.3. Применение методов психологического анализа при подборе кандидатов на вакантные места

4

2

1.4. Степень согласования стратегии развития организации с этапами развития команд

4

3

1.5. Ориентированность системы оплаты труда на применение командной работы

4

2

2. Ответственность и полномочия

20

14

2.1. Распределение полномочий и установление зон ответственности между командой и внутриорганизационным окружением с позиций оперативных производственных функций

4

2

2.2. Участие команды в процедурах найма и увольнения

4

2

2.3. Функции оценки качества продукции

4

3

2.4. Формирование производственной программы и производственный учет

4

3

2.5. Составление графика работы

4

4

3. Процессы

20

6

3.1. Возможность самооценки результатов деятельности команды

4

0

3.2. Применение методов управления качеством

4

2

3.3. Возможность команды влиять на себестоимость продукции

4

1

3.4. Самостоятельность команды в определении командных проблем и формировании целей командной работы

4

2

3.5. Степень взаимодействия команды с поставщиками и потребителями

4

1

4. Задачи

20

12

4.1. Объединение локальных задач в единый процесс, который может быть подвергнут комплексной оценке

4

2

4.2. Применение многофункциональных знаний и умений, в т.ч. использование коллективного принятия решений

4

3

4.3. Наличие задач, связанных с достижением тактических целей

4

3

4.4. Участие команды в разработке стратегии развития команды и организации в целом

4

2

4.5. Наличие задач, связанных с реструктурированием производственных процессов и команды

4

2

5. Структура

20

17

5.1. Количественный состав команды (оптимальный состав 8-12 человек)

4

3

5.2. Члены команды обладают разнообразными необходимыми профессиональными знаниями и умениями

4

3

5.3. Сплоченность команды и психологический портрет членов команды обеспечивают низкую вероятность возникновения конфликтов в команде

4

4

5.4. Степень группового единомыслия не мешает критическому отношению к проблемам

4

3

5.5. Целевые и поддерживающие роли адекватно распределены между членами команды. Имеется ярко выраженный лидер команды

4

4

Общая оценка уровня командной работы

100

57


ПРИЛОЖЕНИЕ В

Анкета

«Оценка персоналом методов стимулирования, используемых руководством ООО «Агентство путешествий «Идеал» (по пятибалльной шкале)»

Таблица В.1 - Оценка персоналом ООО «Агентство путешествий «Идеал» методов стимулирования

Метод

Оценка

Создание условий труда


Вознаграждения: зарплата нематериальные выгоды социальные проблемы (решение)






Безопасность: риск стать лишним уважение стиль управления






Вовлечение в дела: знание целей, задач коммуникации участие в решении проблем отношения в коллективе








Способность самореализации: карьера обучение рост мастерства






Интерес к работе: ответственность самостоятельность управление (самостоятельность)






ИТОГО:



Похожие работы на - Особенности управления персоналом на малых предприятиях индустрии туризма

 

Не нашли материал для своей работы?
Поможем написать уникальную работу
Без плагиата!
Без нейросетей!