Метод анализа иерархий

  • Вид работы:
    Курсовая работа (т)
  • Предмет:
    Менеджмент
  • Язык:
    Русский
    ,
    Формат файла:
    MS Word
    534,48 Кб
  • Опубликовано:
    2015-07-16
Вы можете узнать стоимость помощи в написании студенческой работы.
Помощь в написании работы, которую точно примут!

Метод анализа иерархий

ВВЕДЕНИЕ

В настоящее время уровень средств электронной вычислительной техники дает возможность перейти от традиционных (ручных) методов конструирования к новым векторным (числовым) методам обработки графических данных с использованием ЭВМ, создавать системы автоматизации обработки и выполнения конструкторской документации, удовлетворяющие ЕСКД как по качеству исполнения документов, так и по соблюдению требований стандартов. Средства для реализации АКД предоставляет компьютерная графика - область информатики, предназначенная для создания, хранения и обработки моделей геометрических объектов и их изображений с помощью ЭВМ. К ним относятся: технические, программные средства, обеспечивающие ввод-вывод графической информации, её хранение в ЭВМ, средства моделирования ГО и их обработки и др. Наиболее эффективными для автоматизации конструкторской деятельности являются постоянно развивающиеся интерактивные средства компьютерной графики, обеспечивающие процесс конструирования в режиме диалога "человек - ЭВМ. Метод анализа иерархий (МАИ) предоставляет экспертам относительно простой и эффективный способ измерения объективных и субъективных факторов посредством попарных относительных сравнений и вычисления соответствующих приоритетов шкалы отношений. Эксперт определяет относительную важность, предпочтение или вероятность в зависимости от того, оцениваются ли цели, альтернативы или сценарии, причем оценки могут быть сделаны в цифровой форме, графически или устно. Преимущество создания безразмерных приоритетов шкалы отношений перед так называемыми абсолютными суждениями или оценками очевидно в ситуациях, для которых вообще не существует каких-либо шкал измерения, что характерно для крупномасштабных процессов.

1. МЕТОД АНАЛИЗА ИЕРАРХИЙ

Выбор фрезы для обработки детали 11Д451М.76-03.061 по операции №60, изготовленной из сплава ХН55МБЮ-ВД ГОСТ 22411-77

Необходимо купить фрезу для обработки детали. В результате обсуждения удалось определить восемь критериев. Задача заключается в выборе одной из трех фрез (альтернативы). Соответствующая нисходящая иерархическая декомпозиция представлена на рис. 1. После иерархического воспроизведения проблемы реализуется второй этап - установления приоритетов для критериев и оценка альтернатив в соответствии с принципом дискриминации и сравнительных суждений. Проводится опрос лиц принимающих решения (ЛПР) или экспертов. В МАИ элементы проблемы сравниваются попарно по отношению к их воздействию («весу», «интенсивности») на общую для них характеристику. Очевидно, что установление важности элементов при попарном сравнении есть отражение способности человека к высказыванию относительных (сравнительных) суждений притом, что он обычно затрудняется сразу оценить многоаспектную проблему в целом.

В рамках МАИ с участием ЛПР формируется матрица попарных сравнений элементов на основе субъективных суждений, численно оцениваемых по определенной шкале. На основе выраженных численно результатов попарных сравнений потом решается задача нахождения абсолютных весов. Матрица  является квадратной и обладает свойством обратной симметричности:

, , .

Рисунок 1 - Формирование иерархии при решении проблемы «выбор фрезы»

иерархия выбор дисперсия критерий

Для проведения субъективных парных сравнений разработана шкала относительной важности, представленная в таблице 1.

Таблица 1

Значение относительной важности или приоритетности

Определение ситуации

1

Равная важность (равный вклад в общую цель, отсутствие преимущества)

3

Умеренное превосходство одного над другим

5

Существенное (сильное) превосходство

7

Весьма значительное превосходство

9

Подавляющее превосходство

2, 4, 6, 8

Промежуточные значения между двумя соседними суждениями (применяются в компромиссных ситуациях)


Таким образом, значение элемента  матрицы , равное 5, означает, что -ый элемент (критерий, альтернатива) имеет существенное превосходство над -ым элементом и, напротив, важность (приоритетность) -го элемента по отношению к -му составляет всего .

В таблицах 2 и 3 приведены примеры заполнения матриц попарных сравнений, формируемых при решении проблемы «выбор оборудования».

Для того, чтобы понять суждения участников дадим краткое описание фрез:

Фреза А.(Seco R217.69-2532.3S-033-12.3AN) Это - самая надежная фреза, страна производитель Швеция, производительность высокая, год выпуска 2013. Ремонтопригодность выше, чем у фрез Б и В. Тем не менее, общее состояние не очень хорошее, нужна основательная починка и проведение ремонтных работ. Из-за того, что цена фрезы очень высокая, финансовые условия можно считать неудовлетворительными.

Фреза Б.(Seco R217.79-2532.3-X012-3A) Менее надёжная, чем фреза А, производительность ниже. Страна производитель Франция. Год выпуска 2012. Общее состояние очень хорошее. Финансовые условия вполне удовлетворительны.

Фреза В.(ISCAR ETSD40-18-W32-10) По надежности ниже, чем у фрез А, Б. Страна производитель Израиль, год выпуска 2011. Ремонтопригодность выше, чем у фрезы Б. Общее состояние - хорошее. Финансовые условия намного лучше, чем для фрезы А, но не так хороши, как для фрезы Б.

Таблица 2

Общее удовлетворение оборудованием

Жёсткость

Износостойкость

Страна производитель

Когда изготовлено

Ремонтопригодность

Количество зубьев

Общее состояние

Финансовые условия

Вектор приоритетов

Жёсткость

1

2

3

7

6

6

1/3

1/4

0.159

Износостойкость

1/2

1

1/3

2

3

3

1/6

1/7

0.062

Страна производитель

1/3

3

1

2

3

4

6

1/6

0.129

Когда изготовлено

1/7

1/2

1/2

1

1/3

1/4

1/7

1/8

0.025

Ремонтопригодность

1/6

1/3

1/3

3

1

1/2

1/6

1/6

0.035

Количество зубьев

1/6

1/3

1/4

4

2

1

1/6

1/6

0.042

Общее состояние

3

6

1/6

7

6

6

1

1/2

0.182

Финансовые условия

4

7

6

8

6

6

2

1

0.364








lmax = 9,926








ИС = 0,275








ОС = 19,516


Пример расчёта: Определим геометрическое среднее элементов строк полностью согласованной матрицы попарных сравнений А, представленной на рис. 3.

, . (1.1)

После нормализации вектора  получаются компоненты вектора приоритетов

, . (1.2)

Если теперь умножить матрицу  на вектор , то получим

. (1.3)

Приведенные соотношения (1.1), (1.3) означают, что в случае полной согласованности попарных суждений, что выполняются для матрицы, имеющей приведенный на рис. 3 вид, проводимые вычисления восстанавливают истинные веса элементов по результатам попарных сравнений. Это позволяет оценить степень их важности в целом. Полная согласованность попарных сравнений означает, что элементы матрицы  удовлетворяют уравнению .

Как уже отмечалось, получаемые на практике матрицы попарных сравнений не являются согласованными. Поэтому требуется оценить степень согласованности высказанных суждений. Полученные соотношения (1.1) - (1.3) определяют возможность подобной оценки степени согласованности суждений для любой обратносимметричной матрицы. Действительно, как следует из соотношения (1.3) для полностью согласованной матрицы , величина  играет роль собственного числа, соответствующего собственному вектору . В общем же случае для любой обратносимметричной матрицы  величина наибольшего собственного числа  удовлетворяет неравенству

, .

Поэтому величина


в МАИ используется в качестве индекса согласованности. Кроме того, вводится отношение согласованности


где  - индекс согласованности, получаемый при усреднении множества данных для матриц попарных сравнений при случайном равновероятном (то есть полностью неосмысленном) выборе количественных значений суждений из шкалы 1/10, 1/9,…, 9, 10, но с сохранением свойства обратной симметрии.

Рисунок 2 - Матрица попарных сравнений для уровня 2, расчет на ЭВМ

После формирования матриц попарных суждений наступает третий этап окончательного определения (синтеза) приоритетов, обеспечивающих получение осмысленных решений в рамках проблемы многокритериального планировании.

Рисунок 3 - Матрица попарных сравнений для уровня 3, расчет на ЭВМ

Рисунок 4 - Матрица попарных сравнений для уровня 3, расчет на ЭВМ

Рисунок 5 - Матрица попарных сравнений для уровня 3 и глобальные приоритеты, расчет на ЭВМ

Таблица 3

n

1

2

3

4

5

7

8

9

10

000,580,901,121,321,411,451,49











Значения  приведены в табл. 4. Величина  считается приемлемой, если она имеет значения порядка 20% и менее. Если  выходит из этих пределов, то можно рекомендовать лицам, формулирующим суждения, пересмотреть их с использованием дополнительной информации. В таблицах 2, 3 приведены значения , , , соответствующие попарным оценкам, также приведенным в этих таблицах для данной конкретной задачи.

Таким образом, чтобы оценить степень согласованности реально получаемых в ходе опроса матриц попарных сравнений требуется рассчитать ИС, ОС на основе определения величины  по следующим формулам:

,  (1.4)

, ,

где  - исследуемая матрица. Выражения (1.4) по сути повторяют цепочку выражений (1.1) - (1.3), проводимых для согласованной матрицы .

После того как, возможно и не с первого раза, получены достаточно согласованные оценки на различных уровнях и их локальные приоритеты, в МАИ осуществляется синтез глобальных приоритетов. Для этого по каждой -ой альтернативе вычисляется величина

, (1.5)

где  - компонент вектора локальных приоритетов  для -ой альтернативы третьего (нижнего) уровня относительно -го критерия верхнего (второго на рис. 1) уровня;  - компонент вектора приоритетов  критериев второго уровня; ,  - количество элементов, выделенных в иерархии на втором и третьем уровнях. В таблице 5 приведены итоговые результаты определения приоритетов выбора для различных уровней и полученные глобальные приоритеты, поясняющие смысл формул (1.4), (1.5).

Таблица 4

0,1590,0620,1290,0250,1350,1420,1820,364Обобщенные или глобальные приоритеты










А

0,754

0,233

0,745

0,333

0,674

0,747

0,200

0,072

0,357

Б

0,181

0,055

0,065

0,333

0,101

0,060

0,400

0,650

0,3649

В

0,065

0,713

0,181

0,333

0,226

0,193

0,400

0,278

0,277


Для числовых значений, приведенных в табл. 5, глобальный приоритет фрезы  вычисляется как

.

Наивысший приоритет имеет . Эта фреза и была выбрана для покупки. При проведении оценок следует иметь в виду все сравниваемые элементы, чтобы сравнения были релевантными. Нетрудно убедиться в том, что для проведения обоснованных сравнений не следует рассматривать более, чем 7…9 элементов. В таком случае маленькая погрешность в каждой относительной величине меняет ее не очень значительно.

. ПОЛНЫЙ ФАКТОРНЫЙ ЭКСПЕРИМЕНТ

Необходимо построить линейную, неполную квадратичную, полную квадратичную математические модели в кодированных значениях технологической операции формирования некоторого размера детали. Адекватность проверить с доверительной вероятностью b. Известно, что на ход операции оказывают влияние два фактора Х1 - температура (С0); Х2 - давление (атм).

Таблица 5

№ y

1

2

3

4

y1

0.14

2.21

3.14

4.39

y2

0.73

0.24

4.11

4.48

y3

1.61

2.88

4.06

3.12


1. Для построения математических моделей "Операций" применяют полный факторный эксперимент (ПФЭ). Ортогональность матрицы планирования ПФЭ позволяет получить раздельные оценки для коэффициентов в уравнении регрессии.

. ПФЭ называется эксперимент, реализующий все возможные неповторяющиеся комбинации уровней независимых переменных Х1, Х2, …, Хn, каждая из которых принудительно варьируется на двух уровнях.

. Математическая модель ищется в виде неполного квадратичного уравнения регрессии взаимосвязи показателя качества "Операции" y от управляемых параметров. Например, для трех факторов это уравнение вида

y= b0 + +  + b123x1 x2 x3 (2.1)

или с учетом линеаризации путем замены переменных это

y= , (2.2)= , (1£ i £ n) (2.3)

 - нулевой уровень варьирования i -ой переменной;

Di - интервал варьирования i -ой переменной.

. Матрицу планирования ПФЭ и результаты опытов представляют в виде таблицы 6. Например, для ПФЭ типа 23,

Таблица 6


z0

z1

z2

z3

z4

z5

z6

z7


x0

x1

x2

x3

x1x2

x1x3

x2x3

x1x2x3

y1


ym










y1


ym

1

+

-

-

-

+

+

+

-

y11


y1m

2

+

+

-

-

-

-

+

+

y21


y2m

3

+

+

-

-

+

-

+

-

-


-

4

+

+

+

-

+

-

-

-

-


-

5

+

+

+

+

-

-

+

-

-


-

6

+

+

-

+

-

+

-

-

-


-

7

+

-

+

+

-

+

-

-

-


-

8

+

+

+

+

+

+

+

+

y81


y8m


где x0 - “фиктивная” переменная;- кодированные по формуле (2.3) значения переменных;- новые переменные (после линеаризации);, у2, …, ym - m параллельных наблюдений показателя качества у для каждого опыта.

“+”; ”-” - кодированная запись +1 и -1 соответственно.

5. Так как изменение показателя качества у носит случайный характер, то в каждой точке  (1 £ i £ N = 2n) надо проводить m параллельных опытов и результаты наблюдений , , …, (см. последние столбца таблицы 6) усреднить


. Перед реализацией плана на объекте необходимо рандомизировать варианты проведения эксперимента, т.е. последовательность реализации опытов матрицы проводить случайно.

. Проверка воспроизводимости заключается в проверке однородности выборочных дисперсий, т.е. в проварке гипотезы H0: s2{y1} = s2{y2} = … = s2{yN}; при экспериментах соответственно в точках ,,…,.

Для этих целей используется критерий Кохрена

=  (2.5)

с числами степеней свободы для числителя n1 = m - 1и знаменателя n2 = N. Если вычисленное значение критерия GP окажется меньше значения Gкр, найденного по статистической таблице для выбранного уровня значимости q, то Н0 принимается.

Тогда оценка дисперсии воспроизводимости будет равна

{y} =  (2.6)

Оценки дисперсий {yi} для всех i ищутся по формуле

{yi} =  (2.7)

8. Независимые оценки коэффициентов в уравнении регрессии (2.2) ищутся по формуле

 = , (g = 0, 1, …, n). (2.8)

. Значимость коэффициентов регрессии bi проверяется с помощью t - критерия Стьюдента, который в этом случае преобразуется к виду

= , (q = 0, 1, …, n) (2.9)

 = , (для всех i) (2.10)

дисперсия ошибки определения коэффициентов регрессии.

Если вычисленное значение  превышает значение tкр, определенное по таблице приложения для числа степеней свободы n = N´(m - 1) при заданном уровне значимости q, то коэффициент bi признается значимым. В противном случае bi = 0.

. Проверка адекватности полученной модели проводится по F - критерию Фишера:

= , (2.11)

 =  (2.12)

- число значимых коэффициентов уравнения регрессии.

Если вычисленное значение FP критерия меньше Fкр найденного по статистической таблице для соответствующих степеней свобода

n1 = N - d и n2 = N(m - 1)

при заданном уровне значимости q, то гипотеза об адекватности принимается. Полученная модель признается годной для дальнейших исследований. Проверка адекватности возможна только при n1 больше 0. Если n1 равно 0, то адекватность проверить нельзя.

Из условия задачи при n = 2 модель выбираем в виде

= b0 + b1x1 + b2x2 (2.13)

Таблица 7

Новые перем. Номер опыта

z0 x0

z1 x1

z2 x2

y1

y2

y3

 

1

+

-

-

0.14

0.73

1.61

2

+

+

-

2.21

0.24

2.88

3

+

-

+

3.14

4.11

4.06

4

+

+

+

4.39

3.48

4.12


Зная матрицу планирования для ПФЭ типа 22, вычислим

 (1 £ i £ 4)

При m = 3

 =  » 0.827

 =  » 1.777

 =  » 3.77

 =  » 3.997

Проверим воспроизводимость, для этого вычислим оценки дисперсий по формуле (2.7)

 =  » 0.547

 =  » 3.766

 =  » 0.5966

 =  » 0.4369=  » 0.7044

n1 = m -1 = 3 - 1 = 2

n2 = N = 22 = 4;
= 100 % (1 - b) = 5 %.

Из статистических таблиц приложения А, находим табличное значение критерия Кохрена Gкр = 0.7679. И так как 0.7044 меньше 0.7679,то дисперсии однородны.

Найдем оценку дисперсии воспроизводимости

 =  » 1.3366

Найдем оценки коэффициентов регрессии

 =  » 2.59

 =  » 0.29

= » 1.29

Тогда модель первоначально запишется в виде

= 2.59 + 0.29x1 + 1.29x2 (2.14)

Вычислим оценку дисперсии ошибки в определении коэффициентов

{b} =  » 0.111

Тогда расчетные значения критерия Стьюдента равны

»  » 23.33

»  » 2.61

»  » 11.62

Найдем по статистической таблице приложения Б, табличное значение критерия Стьюдента  для

n = 4´2 = 8 и q = 5 % -  = 2.31.

И так как , ,  > , то все коэффициенты значимы.

Значит

 = 2.59 + 0.29x1 + 1.29x2 (2.15)

Вычислим оценку дисперсии адекватности

 =  » 0.13079

Тогда расчетное значение F - критерия равно

Р »  » 0.0979

Найдем по статистической таблице приложения В, табличное значение критерия Фишера

n1 = N - d = 1 и n2 = 4´2 = 8 для q = 5% - Fкр = 5.3

Вывод: так как FР равен 0.13079 и меньше табличного Fкр 5.3, то делаем заключение, что модель адекватно описывает рассматриваемую статистику, ее можно использовать в качестве математической модели.

. НЕПОЛНАЯ КВАДРАТИЧНАЯ МОДЕЛЬ

=b0 x0+ b1 x1+ b2 x2+ b3 x1 x2

b3==- 0.1808

Расчетные значения критерия Стьюдента равны

»  » 1.6288= 2.59 + 0.29x1 + 1.29x2 - 0.1808 x1 x2= 2.59 - 0.29x1 - 1.29x2 - 0.1808 x1 x2 = 0.1808= 2.59 + 0.29x1 - 1.29x2 + 0.1808 x1 x2 = 1.7708= 2.59 - 0.29x1 + 1.29x2 + 0.1808 x1 x2 = 3.7708

y4 = 2.59 + 0.29x1 + 1.29x2 - 0.1808 x1 x2 = 3.9892

 =  » 0.4177

Расчетное значение критерия Фишера представляют собой отношение дисперсии неадекватности к дисперсии опыта

Р »  » 0.3125

Тогда табличное значение критерия Фишера должно регламентировать допустимое отклонение расчетных значений функции относительно опытных данных.

Найдем по статистической таблице приложения В, табличное значение критерия Фишера

n1 = N - d = 1 и n2 = 4´2 = 8= 5% - Fкр = 5.3

Вывод: так как FР равен 0.3125 и меньше табличного Fкр 5.3, то делаем заключение, что модель адекватно описывает процесс.

. ПОЛНАЯ КВАДРАТИЧНАЯ МОДЕЛЬ

= b0 x0+ b1 x1+ b2 x2+ b3 x1 x2+ b4 x1+ b5 x2

b5 = b4 = b0 = 2.59= 2.59 + 0.29x1 + 1.29x2 - 0.1808 x1 x2+ 2.59 x1+ 2.59 x2

Расчетные значения критерия Стьюдента равны

»  » 23.33

y = 2.59 + 0.29x1 + 1.29x2 - 0.1808 x1 x2= 2.59 - 0.29x1 - 1.29x2 - 0.1808 x1 x2 + 2.59 x1+ 2.59 x2 = 5.3608= 2.59 + 0.29x1 - 1.29x2 + 0.1808 x1 x2 + 2.59 x1+ 2.59 x2= 6.9508= 2.59 - 0.29x1 + 1.29x2 + 0.1808 x1 x2+ 2.59 x1+ 2.59 x2= 8.9508

y4 = 2.59 + 0.29x1 + 1.29x2 - 0.1808 x1 x2+ 2.59 x1+ 2.59 x2= 9.1692

 =  » 100.9159

Расчетное значение критерия Фишера

FР »  » 75.5019

Тогда табличное значение критерия Фишера должно регламентировать допустимое отклонение расчетных значений функции относительно опытных данных.

Найдем по статистической таблице приложения В, табличное значение критерия Фишера.

n1 = N - d = 1 и n2 = 4´2 = 8= 5% - Fкр = 5.3

Вывод: так как FР равен 75.5019 и больше табличного Fкр 5.3, то делаем заключение, что модель не является адекватной для процесса формирования размера детали при изменении температуры и давления.

ЗАКЛЮЧЕНИЕ

В результате выполнения курсового проекта были наработаны элементы моделирования. Оценщику достаточно часто сознательно или подсознательно приходится пользоваться методами, предназначенными для проведения экспертного анализа. Метод анализа иерархий является систематической процедурой для иерархического представления элементов, определяющих суть проблемы. Метод состоит в декомпозиции проблемы на все более простые составляющие части и дальнейшей обработке последовательности суждений лица, принимающего решения, по парным сравнениям.

В результате может быть выражена относительная степень (интенсивность) взаимодействия элементов в иерархии. Эти суждения затем выражаются численно. МАИ включает в себя процедуры синтеза множественных суждений, получения приоритетности критериев и нахождения альтернативных решений. Такой подход к решению проблемы выбора исходит из естественной способности людей думать логически и творчески, определять события и устанавливать отношения между ними.

Таким образом, в МАИ основная цель исследования и все факторы, в той или иной степени, влияющие на достижение цели, распределяются по уровням в зависимости от степени и характера влияния. На первом уровне иерархии всегда находится одна вершина - цель проводимого исследования. Второй уровень иерархии составляют факторы, непосредственно влияющие на достижение цели.

При этом каждый фактор представляется в строящейся иерархии вершиной, соединенной с вершиной 1-го уровня. Третий уровень составляют факторы, от которых зависят вершины 2-го уровня. И так далее. Этот процесс построения иерархии продолжается до тех, пока в иерархию не включены все основные факторы или хотя бы для одного из факторов последнего уровня невозможно непосредственно получить необходимую информацию.

По окончании построения иерархии для каждой материнской вершины проводится оценка весовых коэффициентов, определяющих степень ее зависимости от влияющих на нее вершин более низкого уровня.

При этом используется метод попарных сравнений.

СПИСОК ЛИТЕРАТУРЫ

1.      Ю.П. Адлер, Е.В. Мapкова, Ю.В. Грановский. - М.: Наука, 1976.Гарбер Г.З. Основы программирования на Visual Basic в Microsoft Excel

2.      Колесов И.М. Основы технологии машиностроения: учебник для машиностр. вузов: Машиностроение, 1997.

.        Руденко А.Н. Проектирование технологических процессов в машиностроении А.Н. Руденко. - Киев: Вища шк., 1985.

.        Сафронов И.К. Visual Basic в задачах и примерах:

.        БХВ-Петербург, 2008.

.        Солонин И.С. Математическая статистика в технологии машиностроения И.С. Солонин.- М.: Машиностроение, 1972.

.        Саати Т. Аналитическое планирование. Организация систем Т. Саати, К. Кернс.- М.: Радио и связь, 1991. - 224 с.

ПРИЛОЖЕНИЕ А

Критические значения коэффициента Кохрена для доверительной вероятности Р=95 % и числа степеней свободы n.

Значения G-критериев приведены десятичными


ПРИЛОЖЕНИЕ Б

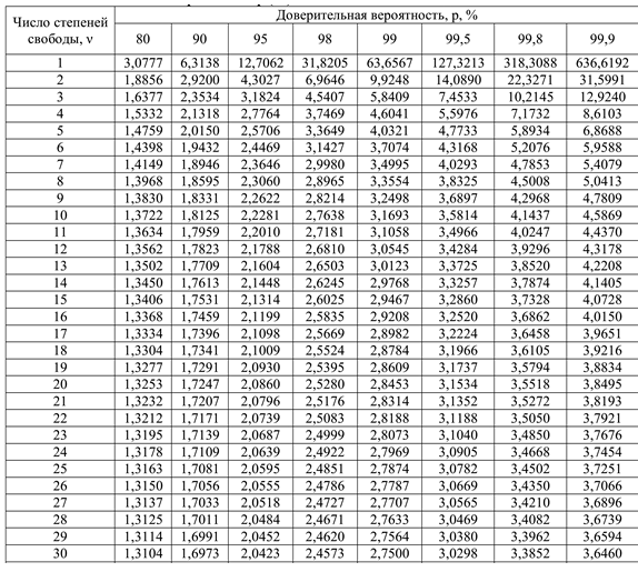
Критические значения коэффициента Стьюдента для различной доверительной вероятности Р в процентах и числа степеней свободы n.


ПРИЛОЖЕНИЕ В

Значения критерия Фишера для уровня значимости q равным 5 процентов.


Похожие работы на - Метод анализа иерархий

 

Не нашли материал для своей работы?
Поможем написать уникальную работу
Без плагиата!
Без нейросетей!