Методы моделирования сложных систем в организации
Контрольная
работа
по дисциплине
«Общая теория систем и системный анализ»
Оглавление
Введение
. Вербальное
описание объекта исследования, организации «ООО Сектор»
.
Исследование методик структуризации целей и функций
А. Методика
структуризации целей, основанная на взаимодействие со средой
Б. Методика
структуризации целей и функций для систем, стремящихся к идеалу
В. Методика
структуризации целей, основанная на концепции деятельности
. Построение
обобщенной структуры целей и функций
. Оценка
составляющих обобщений структурой целей с применением методики Patern
. Перенос
оценок со структуры целей на структуру средств, сравнение и выдачи рекомендации
по совершенствованию организационной структуры компании
Вывод
Литература
Введение
Системный анализ в экономике исследует социально-экономические системы,
главной особенностью которых является наличие «активных элементов» (персонала).
Согласно теории систем: система не одинока в окружающем мире, она связана
коммуникациями с внешней средой, представляющие собой сложные образования,
включающие в себя «Надсистема», «Актуальную среду», а также «Подведомственную
систему».
Рис.1
Надсистема представляет собой объекты и системы более высокого порядка,
которые взаимодействуют с нашей системой.
Актуальная среда делится на:
) Дружественную среду
) Конкурентную среду
) Безразличную среду (Такая среда интересует на лишь в той части,
где она может перейти в дружественную или конкурентную)
Подведомственные системы включают в себя те объекты и системы, которые
обеспечивают бесперебойное выполнение всех функций исследуемого объекта.
Таким образом, для того чтобы проанализировать систему, необходимо
составить описание объекта исследования.
Классификация методом моделирования систем:
Постановление любой задачи заключается в том, чтобы перевести ее
словесное, вербальное описанье в формальное. В случае относительно простых
задач, такой переход осуществляется в сознании человека, который не всегда
может объяснить как это он сделал. Если полученная формальная
модель(математическая зависимость между величинами в виде формулы, уравнения,
системы уравнений) опирается на фундаментальный закон или подтверждается
экспериментально, то этим доказывается его адекватность отображаемой ситуации,
и модель рекомендуется для решения задач подобного класса.
По мере усложнения задач получение модели и доказательство ее
адекватности усложняется. Вначале эксперимент становится дорогим и опасным, а
применительно к экономическим системам становиться практически не реализуемым,
задача переносится в класс проблем по принятию решения. То есть перевод
вербального описания в формальное , становиться важной составной частью
процесса принятия решения. Причем эту составную часть не всегда можно выделить
как отдельный этап, завершив который, можно обращаться с формальной моделью так
же, как с обычным математическим описанием, строгим и абсолютно справедливым.
Большинство реальных ситуаций проектирования сложных технических комплексов и
управления экономикой необходимо отображать классом самоорганизующихся систем,
модели которых должны постоянно корректироваться и развиваться. При этом
возможно изменение не только модели, но и метода моделирования, что часто
является средством развития представления ЛПР о моделируемой ситуации.
Иными словами, перевод вербального описания в формальное, осмысление,
интерпретация модели и получаемых результатов становиться неотъемлемой частью
практически каждого этапа моделирования сложной развивающейся системы. Часто,
для того чтобы точнее охарактеризовать такой подход к моделированию процессов
принятия решений, говорят о создании как бы «механизма» моделирования,
«механизма» принятия решений.
Сразу возникает вопрос, как правильно формировать такие развивающиеся
«Механизмы»? И как доказать адекватность моделей?
Для решения проблемы перевода вербального описания в формальное в
различных областях деятельности стали развиваться специальный приемы и методы.
Так, возникли методы типа «мозговой атаки», «сценариев», экспертных оценок,
«дерева целей» и т.п.
В свою очередь, развитие математики шло по пути расширения средств
постановки и решения трудно формализуемых задач. Наряду с детерминированными,
аналитическими методами классической математики возникла теория вероятности и
математическая статистика (как средство доказательства адекватности моделей на
основе представительной выборки и понятия вероятности правомерности
использования модели и результатов моделирования).
Таким образом, между неформальным, образным мышлением человека и
формальными моделями классической математики сложился как бы «спектр» методов,
которые помогают получать и уточнять вербальное описание проблемной ситуации, с
одной стороны, и интерпретировать формальные модели, связывать их с реальной
действительностью, с другой. Этот спектр условно представлен на рис. 1 ниже.
Рис. 2
1. Вербальное описание объекта исследования, организации
«ООО Сектор»
Деятельность: Организация занимается созданием, сопровождением,
адаптацией, а так же внедрением систем диспетчерского контроля для железной
дороги и смежных областей.
Структура организации:
В организации существует 6 отделов:
) Отдел проектировщиков - занимается проектированием, сбором
информации, а так же формализацией требований к системе. На этапе
проектирования системы происходит полное исследование системы и согласования ее
с заказчиком. Так же на данном этапе выбирается тип форма модели создаваемого
проекта.
Согласуется с отделом программистов, заказчиком, начальством и отделом
адаптации.
) Отдел программистов - отдел, в обязанности которого входит
редактирование и согласование изменений вносимых в техническое задание,
предоставляемое отделом проектировщиков. Так же в последующие обязанности
входит создание программного обеспечения и документации к ней.
Согласуется с отделом проектировщиком, начальством, а так же с отделом
адаптации.
) Бухгалтерский отдел - отдел, отслеживающий, фиксирующий,
прогнозирующий экономическое состояние организации. А так же занимающий
согласованием затрат и учет всех экономических обязательств организации перед
законодательством Российской Федерации.
Согласуется со всеми отделами.
) Отдел адаптации - отдел, занимающий настройкой и оценкой
эффективности внедряемой системы. В обязанности данного отдела входит : сбор
статистической информации, анкетирование, тестирование системы, формализация
выявленных проблем и передача данной информации либо в отдел проектирования,
либо в отдел программистов.
Согласуется с отделом программистов, проектировщиков, и бухгалтерией.
) Отдел пусконаладочных работ - отдел, занимающийся заказом
необходимого оборудования, внедрением и настройкой разрабатываемой системы,
транспортировкой, отгрузкой, оформлением необходимой документацией и ее
передачей в бухгалтерию. Так же данный отдел осуществляет прием товара с браком
обратно.
Согласуется с отделом сборки, адаптации и бухгалтерии.
) Отдел сервисного обслуживания занимается приемом и обслуживанием
входящих вызовов, а так же сбором актуальной статистической информации у
пользователей системы. Так же в обязанности входит обслуживание бракованного
оборудования.
2. Исследование методик структуризации целей и функций
.1 Методика структуризации целей, основанная на
взаимодействие со средой
Рис.3
2.2 Методика структуризации целей и функций для систем,
стремящихся к идеалу
Рис 4
2.3 Методика структуризации целей, основанная на концепции
деятельности
Данная методика отличается от предыдущих тем, что исследует задачи,
формированные внутри компании, выставляя приоритетные задачи. В рамках методики
исследуются функции, которые мы выявили в рамках собственной системы.
Рис.5
) Внедрение информационной системы, которая позволит контролировать
бизнес-процессы организации.
) Использовать, привлеченный в компанию, персонал, обладающий
знаниями в прикладной области, для обучения остального персонала.
) Поиск новейших технологий и анализ уже применяемых.
) Материальные средства и рабочая сила персонала
) Необходимая информация
*) Строгое контролирование бизнес-процессов и взаимодействий в
организации, начиная от поставщиков, заканчивая отделами и сотрудниками.
*) Снижение издержек при производстве и сокращение времени на исполнение
договоров.
*) Нормативно-методическое обеспечение
*) Материальные средства и рабочая сила персонала
*) Информация от заказчиков и государства
3. Построение обобщенной структуры целей и функций
Построение обобщенной структуры целей и функций позволяет обхватить весь
перечень функций компании, необходимых для выполнения. Необходимо, только,
исключить дублирование функций. За основу, при построении, мы выбрали ту
структуру, которая наиболее полно охватывает построение компанию.
В нашем случае, мы воспользовались методикой структуризации целей и
функций, основанной на стремление к идеалу.

4. Оценка составляющих обобщений структурой целей с
применением методики Patern
После того, как мы построили обобщенную структуру целей и функций,
появилась необходимость в ее оценке. Для оценки обобщенной структуры целей и
функций используется методика Patern.
Данная методика позволяет повысить объективность экспертной оценки, за
счет учета весовых коэффициентов критериев. В качестве критериев могут быть
рассмотрены следующее:
) Степень влияния данной функции на реализацию глобальной целей
компании.
) Важность функции для компании в целом
) Трудоемкость реализации данной функции
Составим таблицу, на которой отобразим оценки соответствующих функций.
Табл.1
|
Критерий
|
Вес
|
Задачи, направленные на приоритетные цели
|
Развитие и инновации
|
Соверш. Организ. Управления
|
Формирование имиджа компании
|
Повышение эффективности работы организации
|
|
Важность
|
0.3
|
0.06
|
0.07
|
0.08
|
0.04
|
0.05
|
|
Трудоемкость
|
0.3
|
0.06
|
0.08
|
0.1
|
0.03
|
0.03
|
|
Значение
|
0.4
|
0.08
|
0.09
|
0.05
|
0.08
|
0.1
|
|
Общая оценка
|
0.2
|
0.24
|
0.23
|
0.15
|
0.18
|
Табл.2
|
Критерий
|
Вес
|
Задачи, направленные на приоритетные цели
|
Развитие и инновации
|
Совершенствование Организационного Управления
|
Формирование имиджа компании
|
|
|
1.1
|
1.2
|
1.3
|
2.1
|
2.2
|
2.3
|
3.1
|
3.2
|
4.1
|
4.2
|
|
Важность
|
0.3
|
0.02
|
0.02
|
0.02
|
0.02
|
0.02
|
0.03
|
0.05
|
0.03
|
0.02
|
0.02
|
0.3
|
0.02
|
0.02
|
0.02
|
0.04
|
0.02
|
0.02
|
0.06
|
0.04
|
0.015
|
0.015
|
|
Значение
|
0.4
|
0.04
|
0.02
|
0.02
|
0.03
|
0.03
|
0.03
|
0.025
|
0.025
|
0.04
|
0.04
|
|
Общая оценка
|
0.08
|
0.06
|
0.06
|
0.09
|
0.07
|
0.08
|
0.135
|
0.095
|
0.075
|
0.075
|
|
%
|
8%
|
6%
|
6%
|
9%
|
7%
|
8%
|
13.5%
|
9.5%
|
7.5%
|
7.5%
|
При процедуре оценки, реализуется нормирование, в рамках каждого
критерия, по всем составляющим этого узла.
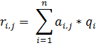
Оценка каждой составляющей вычисляется, как сумма произведений весового
значения критерия на соответствующую оценку этого критерия:
После проведения расчетов производится нормирование к 100%. Для всех
элементов идет оценка по одинаковым критериям.
5. Перенос оценок со структуры целей на структуру
средств, сравнение и выдачи рекомендации по совершенствованию организационной
структуры компании
При объединении структур, была проведена связь между функциями и их
исполнителями. Если одну функцию выполняют несколько исполнителей, то оценка
делится пропорционально доли участия. Если исполнитель реализует несколько
функций, то оценки суммируются.
Вывод
В результате проведенной работы было выполнено:
) Проведено формальное и вербальное описание объекта исследования
) По трем методикам структуризации целей и функций была построена
обобщенная структура целей и функций.
) Так же произведена оценка составляющих обобщенной структуры
методикой- Patern
) Произведено сопоставление оценок структуры целей и структуры
средств
Хотелось бы так же отметить некоторые рекомендации для организации «ООО
Сектор»:
) Для увеличения производительности работы, необходимо
распределить обязанности среди отделов. Перераспределить нагрузку между различными
отделами. А так же рассмотреть возможность создать новые отделы.
) Обращаем ваше внимание, что вам необходимо заняться
совершенствованием организационного управления внутри организации. Осуществить
жесткую формализацию бизнес-процессов и взаимодействий внутри организации. Так
же необходимо заняться формированием благоприятной обстановки внутри
предприятия и улучшением мотивации сотрудников возможными премиями или
организационными поощрениями.
) Так же, необходимо обратить внимание на формирование имиджа
организации. Возможно, вам надо принимать участие в различных железнодорожных
выставках и съездах.
Так же, мы перенесли оценки функций со структуры целей на организационную
структуру и получили рейтинг важности подразделения для реализации целей:
) Отдел проектировщиков = 3+2,3+2,3 = 7,6 баллов
) Отдел программистов = 3+9+4,5+9 = 25,5 баллов
) Отдел бухгалтерии = 4+2,3+7,5+4,5 = 18,3 баллов
) Отдел адаптации = 6+2,3+2,3 = 10,6 баллов
) Отдел Пуско-наладки = 4+2,3 = 6,3
) Отдел сервисного обслуживания = 8 баллов
Эти данные необходимо учитывать при расчете загруженности и обеспечения
подразделений, а так же при наборе специалистов и персонала.
вербальный
структуризация отдел организационный
Литература
. Костевич
Л.С., Лапко А.А. - Исследование операций. Теория игр. - Минск., «Вышэйшая
школа», 2009, 232 стр.
. Олифер
В.Г, Олифер Н.А. - Компьютерные сети издание 4., Санкт Петербург, 2010, 943
стр.
. «Штрих-М:
Драйвер ФР» Руководство программиста - НТЦ «Штрих-М», 2005, 269 стр.