Исследование проблемы автокорреляции (первого порядка) случайных отклонений с помощью теста Сведа-Эйзенхарта и статистики Дарбина-Уотсона
МИНИСТЕРСТВО ОБРАЗОВАНИЯ РЕСПУБЛИКИ
БЕЛАРУСЬ
БЕЛОРУССКИЙ ГОСУДАРСТВЕННЫЙ
УНИВЕРСИТЕТ
Экономический факультет
Кафедра аналитической экономики и
эконометрики
КУРСОВОЙ ПРОЕКТ
на тему: Исследование проблемы
автокорреляции (первого порядка) случайных отклонений с помощью теста
Сведа-Эйзенхарта и статистики Дарбина-Уотсона
Студентки 3 курса Т.С. Ефременко
Научный руководитель Е.Г. Господарик
Минск, 2013
Содержание
Введение
1. Построение и анализ модели
2. Методы выявления автокорреляции
2.1 Графический метод
2.2 Метод Дарбина-Уотсона
2.3 Метод Сведа-Эйзенхарта
Заключение
Список использованных источников
Приложение 1
Приложение 2
Введение
Автокорреляция - это корреляция между наблюдаемыми
показателями, упорядоченными во времени или в пространстве. Причиной
возникновения автокорреляции отклонения модели, как правило служит то, что в
модели не учтены такие свойства экономических показателей инерционность и
"эффект паутины" В некоторых случаях причиной автокорреляции могут
являться внутренние стохастические свойства, используемые для модели временных
рядов.
Данная работа посвящена построению эконометрической модели и
исследованию проблемы автокорреляции случайных отклонений с помощью теста
Сведа-Эйзенхарта, статистики Дарбина-Уотсона и графического метода.
Для анализа будет использоваться модель зависимости ставки
рефинансирования, рентабельности, валютного курса и платежй по экспорту товаров
и услуг, доходам и трансфертам от консолидированного б, где 
(Консолидированный бюджет) - это свод бюджетов всех уровней, STR (Ставка рефинансирования) - размер
процентов подлежащий уплате центральному банку страны за кредиты,
предоставленные кредитным организациям., ROA (рентабельность) - относительный показатель экономической юджета
Республики Беларусь.
В качестве данных используется динамика платежей, рентабельности,
официального курса белорусского рубля по отношению к стоимости корзины валют,
ставки рефинансирования и доходов в гос. Бюджет за период с июня 2010 по
сентябрь 2013.
Соответствующие статистические данные представлены в приложении.
Для анализа модели будет использоваться эконометрический пакет Eviews. При помощи теста Сведа-Эйзенхарта,
статистики Дарбина-Уотсона и графического метода будут проверены остатки
построенной модели на наличие автокорреляции. Целью данной работы является
выявление методов автокорреляции отклонения модели временного ряда.
1. Построение и
анализ модели
С помощью программы EViews 5.1, построим модели вида:
эффективности, VK (валютный курс) - Официальный курс белорусского
рубля по отношению к стоимости корзины валют, PL (Платежи по экспорту
товаров и услуг, доходам и трансфертам) - это поступления денежных средств от
экспорта товаров и услуг нефинансового характера, другие поступления
нефинансовых организаций и домашних хозяйств Республики Беларусь от
нерезидентов в виде доходов от оплаты труда, инвестиций за границей, текущих и
капитальных трансфертов из-за рубежа. Исходные данные представлены в Приложении
А.
|
Dependent
Variable: KB
|
|
|
|
Method: Least
Squares
|
|
|
|
Date: 12/16/13
Time: 01: 50
|
|
|
|
Sample: 1 40
|
|
|
|
|
Included
observations: 40
|
|
|
|
Variable
|
Coefficient
|
Std. Error
|
t-Statistic
|
Prob.
|
|
C
|
-93728.88
|
46280.45
|
-2.025237
|
0.0505
|
|
PL
|
23.92812
|
13.28461
|
1.801191
|
0.0803
|
|
ROA
|
4871.124
|
1302.438
|
3.740006
|
0.0007
|
|
STR
|
-3486.350
|
953.0403
|
-3.658135
|
0.0008
|
|
VK
|
51.81900
|
9.934207
|
5.216219
|
0.0000
|
|
R-squared
|
0.591073
|
Mean dependent
var
|
58670.53
|
|
Adjusted
R-squared
|
0.544339
|
S. D.
dependent var
|
41227.39
|
|
S. E. of
regression
|
27829.59
|
Akaike info
criterion
|
23.42206
|
|
Sum squared
resid
|
2.71E+10
|
Schwarz
criterion
|
23.63317
|
|
Log likelihood
|
-463.4411
|
F-statistic
|
12.64748
|
|
Durbin-Watson
stat
|
1.375019
|
Prob
(F-statistic)
|
0.000002
|
автокорреляция модель отклонение статистика
По этим данным строим регрессионную модель и анализируем её
впоследствии:
KB = - 93728.8823 + 23.92811788*PL +
4871.123628*ROA - 3486.350193*STR + 51.81899603*VK
Задача состоит в оценке параметров множественной линейной
регрессии, а также проверке как индивидуальной статистической значимости
коэффициентов, так и общего качества модели.
. Статистическая значимость коэффициента детерминации.
Для характеристики общего качества модели регрессии вводится
величина, называемая коэффициент детерминации, равный в нашем случае R2 = 0.591073. Эта величина
показывает, какую долю общей вариации эндогенной переменной VK объясняет построенная
модель. Другими словами, модель объясняет до 59% правильности модели, а 41%
составляют ошибки.
Анализ происходит на основе F-статистики, для этого
выдвигаются две гипотезы:
Н0: R2= 0 [статистически незначим]
Н1: R2 ≠ 0 [статистически значим]
Сначала определяем наблюдаемую точку:
Fн = R2/m = 13,6363
1 - R2/ n-m-1
Затем сравниваем её с критической: F0.05; 4; 40 = 2.6060. Мы видим, что Fн> Fкр. Эти результаты говорят о
том, что мы принимаем гипотезу Н1 о значимости коэффициента.
Однако R2 увеличивается при введении в модель экзогенной
переменной, даже если последняя не коррелирует с переменной KB. Следовательно,
необходимо проверить на значимость коэффициенты при объясняющих переменных.
. Гипотеза о статистической значимости коэффициентов.
Анализ происходит на основе Т-статистики, для этого выдвигаем
две гипотезы:
Н0: bi = 0
Н1: bi ≠ 0
Наши наблюдаемые параметры:
|
Variable
|
Coefficient
|
t-Statistic
|
|
PL
|
23.92812
|
2.065010
|
|
ROA
|
4871.124
|
3.245623
|
|
STR
|
-3486.350
|
-3.512602
|
|
VK
|
51.81900
|
5.091143
|
Наша критическая точка высчитывается по таблице распределения
Стьюдента:
t 0.025; 40= 2.042.
Она больше, чем наблюдаемые t-статистики,
следовательно мы принимаем гипотезу Н1 о том, что коэффициенты
являются статистически.
. Проверка модели на мультиколлинеарность.
|
|
PL
|
ROA
|
STR
|
VK
|
|
PL
|
1
|
0.105002
|
0.410391
|
0.444576
|
|
ROA
|
0.605002
|
1
|
0.575464
|
0.736350
|
|
STR
|
0.410391
|
0.275464
|
1
|
0.843487
|
|
VK
|
0.444576
|
0.836350
|
0.843487
|
1
|
Чем ближе коэффициент к 1, тем теснее линейная связь. При
величине коэффициента корреляции менее 0,3 связь оценивается как слабая, от
0,31 до 0,5 - умеренная, от 0,51 до 0,7 - значительная, от 0,71 до 0,9 -
тесная, 0,91 и выше - очень тесная. Как мы видим, связь между переменными
тесная.
Один из методов выявления - это метод инфляционных факторов VIF.
Проверим построенную модель на мультиколлинеарность:
Вспомогательная модель для переменной VK:
|
Dependent
Variable: VK
|
|
|
|
Method: Least
Squares
|
|
|
|
Date: 12/16/13
Time: 02: 43
|
|
|
|
Sample: 1 40
|
|
|
|
|
Included
observations: 40
|
|
|
|
Variable
|
Coefficient
|
Std. Error
|
t-Statistic
|
Prob.
|
|
C
|
-333.2737
|
774.4600
|
-0.430330
|
0.6695
|
|
PL
|
0.217341
|
0.219913
|
0.988305
|
0.3296
|
|
ROA
|
-18.78384
|
21.62563
|
-0.868592
|
0.3908
|
|
STR
|
77.17251
|
9.498495
|
8.124709
|
0.0000
|
|
R-squared
|
0.728802
|
Mean dependent
var
|
2251.249
|
|
Adjusted
R-squared
|
0.706202
|
S. D.
dependent var
|
861.3857
|
|
S. E. of
regression
|
466.8984
|
Akaike info
criterion
|
15.22474
|
|
Sum squared
resid
|
7847787.
|
Schwarz
criterion
|
15.39363
|
|
Log likelihood
|
-300.4948
|
F-statistic
|
32.24804
|
|
Durbin-Watson
stat
|
0.247002
|
Prob
(F-statistic)
|
0.000000
|
VIF (VK) =3,764976
Вспомогательная модель для переменной STR
|
Dependent
Variable: STR
|
|
|
|
Method: Least
Squares
|
|
|
|
Date: 12/16/13
Time: 02: 42
|
|
|
|
Sample: 1 40
|
|
|
|
|
Included
observations: 40
|
|
|
|
Variable
|
Coefficient
|
Std. Error
|
t-Statistic
|
Prob.
|
|
C
|
-4.243380
|
8.062517
|
-0.526310
|
0.6019
|
|
5PL
|
0.001932
|
0.002301
|
0.839832
|
0.4065
|
|
ROA
|
0.439739
|
0.215655
|
2.039083
|
0.0488
|
|
VK
|
0.008385
|
0.001032
|
8.124709
|
0.0000
|
|
R-squared
|
0.742744
|
Mean dependent
var
|
24.83925
|
|
Adjusted
R-squared
|
0.721306
|
S. D.
dependent var
|
9.218933
|
|
S. E. of
regression
|
4.866809
|
Akaike info
criterion
|
6.097393
|
|
Sum squared
resid
|
852.6897
|
Schwarz
criterion
|
6.266281
|
|
Log likelihood
|
-117.9479
|
F-statistic
|
34.64618
|
|
Durbin-Watson
stat
|
0.384744
|
Prob
(F-statistic)
|
0.000000
|
VIF (STR) =3,8871785
Вспомогательная модель для переменной ROA
|
Dependent
Variable: ROA
|
|
|
|
Method: Least
Squares
|
|
|
|
Date: 12/16/13
Time: 02: 42
|
|
|
|
Sample: 1 40
|
|
|
|
|
Included
observations: 40
|
|
|
|
Variable
|
Coefficient
|
Std. Error
|
t-Statistic
|
Prob.
|
|
C
|
11.89320
|
5.580714
|
2.131125
|
0.0400
|
|
PL
|
-0.002240
|
0.001658
|
-1.350649
|
0.1852
|
|
STR
|
0.235453
|
0.115470
|
2.039083
|
0.0488
|
|
VK
|
-0.001093
|
0.001258
|
-0.868592
|
0.3908
|
|
R-squared
|
0.150852
|
Mean dependent
var
|
7.038250
|
|
Adjusted
R-squared
|
0.080089
|
S. D.
dependent var
|
3.713008
|
|
S. E. of
regression
|
3.561219
|
Akaike info
criterion
|
5.472722
|
|
Sum squared
resid
|
456.5620
|
Schwarz
criterion
|
5.641610
|
|
Log likelihood
|
-105.4544
|
F-statistic
|
2.131807
|
|
Durbin-Watson
stat
|
0.986869
|
Prob
(F-statistic)
|
0.113252
|
VIF (ROA) =1,177654
Вспомогательная модель для переменной PL
|
Dependent
Variable: PL
|
|
|
|
Method: Least
Squares
|
|
|
|
Date: 12/16/13
Time: 02: 41
|
|
|
|
Sample: 1 40
|
|
|
|
|
Included
observations: 40
|
|
|
|
Variable
|
Coefficient
|
Std. Error
|
t-Statistic
|
Prob.
|
|
C
|
3310.936
|
180.6094
|
18.33202
|
0.0000
|
|
ROA
|
-21.53105
|
15.94127
|
-1.350649
|
0.1852
|
|
STR
|
9.944666
|
11.84126
|
0.839832
|
|
VK
|
0.121538
|
0.122976
|
0.988305
|
0.3296
|
|
R-squared
|
0.240479
|
Mean dependent
var
|
3680.025
|
|
Adjusted
R-squared
|
0.177185
|
S. D.
dependent var
|
384.9068
|
|
S. E. of
regression
|
349.1457
|
Akaike info
criterion
|
14.64350
|
|
Sum squared
resid
|
4388498.
|
Schwarz
criterion
|
14.81238
|
|
Log likelihood
|
-288.8699
|
F-statistic
|
3.799422
|
|
Durbin-Watson
stat
|
1.352267
|
Prob
(F-statistic)
|
0.018269
|
VIF (PL) =1,3166193
Значение 1<VIF<10, что свидетельствует об отсутствии
мультиколлинеарнности.
2. Методы
выявления автокорреляции
2.1
Графический метод
По формальному признаку можно заподозрить автокорреляцию в
модели, если t-статистика
неправдоподобно высока. Анализ графической зависимости отклонений от
наблюдаемой автокорреляции установлен при сравнительном графическом отклонении
с известными функциями.
Построим корреляцию с помощью RESID модели VK и лагом этой же модели RESID (-2):
Рисунок 1. Корреляционное поле
В итоге мы видим распределение точек:
четверть - 12
четверть - 8
четверть - 10
четверть - 8.
По этим данным с полной уверенностью нельзя сказать есть ли
корреляция, т.к. данные распределены достаточно равномерно, но всё же есть
вероятность, из-за преобладания точек в 1 и 3 четвертях.
2.2 Метод
Дарбина-Уотсона
Наиболее известным критерием обнаружения автокорреляции
первого порядка является критерий Дарбина-Уотсона.
Статистика Дарбина-Уотсона является важнейшей характеристикой
качества регрессионной модели.
Суть его состоит в вычислении статистики Дарбина-Уотсона и на
основе ее величины - осуществлении выводов об автокорреляции:
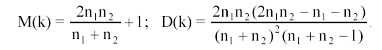
Статистика Дарбина-Уотсона тесно связана с выборочным
коэффициентом корреляции
:
Таким образом, 0
DW
4 и его значения могут указать на наличие
либо отсутствие автокорреляции.
Если выборочный коэффициент корреляции равен 0 (автокорреляция
отсутствует), то DW = 2.
Если выборочный коэффициент корреляции равен 1 (положительная
автокорреляция), то DW = 0.
Если выборочный коэффициент корреляции равен - 1 (отрицательная
автокорреляция), то DW = 4.
Разработаны специальные таблицы критических точек статистики
Дарбина-Уотсона, позволяющие при данном числе наблюдений n, количестве
объясняющих переменных m и заданном уровне значимости
определять границы приемлемости
(критические точки) наблюдаемой статистики DW.
Для заданных n, m,
в таблице указывается два числа: d
- верхняя граница и d
- нижняя граница.
Выводы осуществляются по следующей схеме.
Если DW < d
, то это свидетельствует о положительной автокорреляции остатков.
Если DW > 4 - d
, то это свидетельствует об отрицательной автокорреляции остатков,
При d
< DW < 4 - d
, гипотеза об отсутствии автокорреляции
остатков принимается.
Если d
< DW < d
или 4 - d
< DW < 4 - d
, то гипотеза об отсутствии автокорреляции не может быть ни
принята, ни отклонена.
Не обращаясь к таблице критических точек Дарбина-Уотсона, можно
пользоваться "грубым" правилом и считать, что автокорреляция остатков
отсутствует, если 1,5 < DW < 2,5. Для более надежного вывода следует
обращаться к таблицам.
При наличии автокорреляции остатков полученное уравнение регрессии
обычно считается неудовлетворительным.
Нужно отметить, что при использовании критерия Дарбина-Уотсона
необходимо учитывать следующие ограничения:
1) Критерий DW применяется лишь для тех моделей, которые
содержат свободный член.
2) Предполагается, что случайные отклонения определяются по
следующей итерационной схеме:
, называемой авторегрессионной схемой первого порядка АR (1).
Здесь V
- случайный член.
) Статистические данные должны иметь одинаковую
периодичность, т.е. не должно быть пропусков в наблюдениях.
) Критерий Дарбина-Уотсона не применим для регрессионных
моделей, содержащих в составе объясняющих переменных зависимую переменную с
временным лагом в один период, т.е. для так называемых авторегрессионных
моделей вида:
Для авторегрессионных моделей разработаны специальные тесты
обнаружения автокорреляции, в частности h-статистика Дарбина, которая
определяется по формуле:
где
- оценка автокорреляции первого порядка,
D (g) - выборочная дисперсия коэффициента при лаговой переменной у
,- число наблюдений.
При большом объеме выборки n и справедливости нулевой гипотезы Н
:
=0 статистика h имеет стандартизированное нормальное распределение
(h ~ N (0, 1)). Поэтому по заданному уровню значимости определяется критическая
точка
из условия
и сравнивается h с
. Если
, то нулевая гипотеза об отсутствии
автокорреляции должна быть отклонена. В противном случае она не отклоняется,
Обычно значение
рассчитывается по формуле
, а D (g) равна квадрату стандартной ошибки оценки g коэффициента
. Поэтому h легко вычисляется на основе
данных оцененной регрессии.
Основная проблема с использованием этого теста заключается в
невозможности вычисления h при nD (g) > 1.
Согласно данным, полученным в Eviews, наблюдаемая точка DW = 1.375019
Затем, опираясь на данные, что количество объясняющих переменных в
уравнении регрессии m=4, a объем выборки n=40, находим
критические точки по таблице распределения Дарбина-Уотсона:
= 1.285, d
=1.721
Согласно
полученным данным, нарисуем следующую схему:
Следовательно,
гипотеза об отсутствии автокорреляции первого порядка не может быть ни принята,
ни отклонена.
2.3 Метод
Сведа-Эйзенхарта
В методе необходимо подсчитать количество положительных и
отрицательных отклонений, а также выделить в ряду отклонений подрядов
последовательных отношений имеющих один знак. Количество таких подрядов
обозначить "к".
При использовании метода рядов последовательно определяются знаки
отклонений е
. Ряд определяется как непрерывная
последовательность одинаковых знаков. Количество знаков в ряду называется
длиной ряда.
Визуальное распределение знаков свидетельствует о неслучайном
характере связей между отклонениями. Если рядов слишком мало по сравнению с количеством
наблюдений n, то вполне вероятна положительная автокорреляция. Если же рядов
слишком много, то вероятна отрицательная автокорреляция.
Для более детального анализа предлагается следующая процедура.
Пусть:
· n - объем выборки;
· n
- общее количество знаков "+"
при n наблюдениях (количество положительных отклонений е
);
· n
- общее количество знаков " - "
при n наблюдениях (количество отрицательных отклонений е
);
· к - количество рядов.
При достаточно большом количестве наблюдений (n
|> 10, n
> 10) и отсутствии автокорреляции мы имеем асимптотически
нормальное распределение с
Тогда, если:
то гипотеза об отсутствии автокорреляции не отклоняется.
При небольшом числе наблюдений (n
|> 20, n
> 20) Свед и Эйзенхарт разработали
таблицы критических значений количества рядов при n наблюдениях.
Суть таблиц заключается в следующем.
На пересечении строки n
и столбца n
определяются нижнее к
и верхнее к
значения при уровне значимости 5%.
Если к
< к < к
, то говорят об отсутствии автокорреляции.
Если к
к
, то говорят о положительной автокорреляции остатков.
Если к
к
, то говорят об отрицательной автокорреляции остатков,
Этот метод основан на определении знаков отклонений RESID (см. Приложение Б).
На примере нашей модели:
"+", 6"-", 7"+",
7"-", 2"+", 5"-", 2"+",2"-",
6"+" при 40 наблюдениях.
Рядом называется непрерывная последовательность одинаковых
знаков, то есть количество рядов в данной модели k=11.
По таблице критических значений количества рядов при n наблюдениях определяем нижнее k1 = 2 и
верхнее k2 = 9. Наша переменная k = 9 находится
в промежутке k1 < k < k2, что говорит об отсутствии автокорреляции или о её слабом
проявлении.
Заключение
В данной работе был произведен анализ построения
эконометрической модели и исследования проблемы автокорреляции случайных
отклонений с помощью теста Сведа-Эйзенхарта, статистики Дарбина-Уотсона и
графического метода. Все эти подходы дополняют друг друга. Первоначальный
анализ коррелограммы остатков позволяет определить наиболее вероятный порядок
серийной корреляции, если она существует. Для критического уровня значимости α = 5% коэффициенты при экзогенных переменных являются
статистически значимыми. В целом модель оказалась качественной, адекватной, в
ней отсутствует мультиколлинеарность, ошибки распределены по нормальному
закону. Ее недостатком является завышенная F-статистика.
Список
использованных источников
1. Вводный
курс эконометрики: Учебное пособие / Бородич С.А. - Мн.: БГУ, 2000.
2. НАЦИОНАЛЬНЫЙ
БАНК РЕСПУБЛИКИ БЕЛАРУСЬ [Электронный ресурс]. - 2013. - Режим доступа: http://www.nbrb. by/statistics/bulletin/ - Дата доступа: 15.12.2013.
Приложение 1
|
KB
|
STR
|
ROA
|
VK
|
PL
|
|
сен.13
|
138 998,4
|
23,51
|
8,93
|
3 070,14
|
3 496,1
|
|
авг.13
|
123 447,1
|
23,51
|
8,09
|
3 041,61
|
3 795,3
|
|
июл.13
|
110 321,0
|
23,51
|
6,90
|
3 001,74
|
3 849,0
|
|
июн.13
|
91 981,5
|
23,51
|
5,62
|
2 995,57
|
3 586,9
|
|
май.13
|
75 203,1
|
25,00
|
4,39
|
3 016,78
|
3 800,8
|
|
апр.13
|
62 610,9
|
27,00
|
3,49
|
2 995,34
|
3 607,7
|
|
мар.13
|
43 462,9
|
28,51
|
2,26
|
3 015,81
|
3 479,5
|
|
фев.13
|
24 851,1
|
30,00
|
1,33
|
3 083,97
|
3 560,7
|
|
янв.13
|
13 732,5
|
30,00
|
12,74
|
3 014,96
|
3 514,1
|
|
дек.12
|
157 953,9
|
30,00
|
11,67
|
2 982,62
|
4 161,2
|
|
ноя.12
|
139 772,1
|
34,45
|
10,76
|
2 948,67
|
3 578,5
|
|
окт.12
|
127 754,1
|
30,00
|
9,87
|
2 950,64
|
3 790,5
|
|
сен.12
|
112 544,1
|
30,00
|
8,88
|
2 840,54
|
3 852,4
|
|
авг.12
|
98 298,3
|
30,00
|
7,65
|
2 789,66
|
4 210,0
|
|
июл.12
|
86 294,3
|
30,73
|
7,29
|
2 805,54
|
3 623,8
|
|
июн.12
|
72 605,4
|
31,55
|
5,86
|
2 819,40
|
4 089,3
|
|
май.12
|
58 786,2
|
33,27
|
4,47
|
2 864,85
|
4 447,1
|
|
апр.12
|
47 973,6
|
34,97
|
3,62
|
2 864,00
|
4 438,2
|
|
мар.12
|
34 296,9
|
36,07
|
2,66
|
2 914,35
|
4 324,8
|
|
фев.12
|
18 807,4
|
38,00
|
1,59
|
2 934,96
|
3 646,7
|
|
янв.12
|
9 975,7
|
43,97
|
14,87
|
2 865,83
|
3 255,4
|
|
дек.11
|
81 960,7
|
38,13
|
14,26
|
2 994,63
|
3 641,0
|
|
ноя.11
|
71 930,3
|
38,33
|
13,16
|
3 041,54
|
3 915,2
|
|
окт.11
|
61 901,0
|
32,90
|
9,75
|
1 962,23
|
3 605,5
|
|
сен.11
|
52 238,0
|
28,71
|
8, 20
|
1 880,30
|
3 641,0
|
|
авг.11
|
44 834,4
|
20,97
|
7,30
|
1 846,13
|
3 865,8
|
|
июл.11
|
38 268,8
|
19,23
|
6,30
|
1 845,81
|
4 074,2
|
|
июн.11
|
30 851,1
|
16,61
|
5,10
|
1 848,87
|
3 544,7
|
|
май.11
|
23 940,0
|
13,45
|
3,92
|
1 138,59
|
3 482,6
|
|
апр.11
|
18 706,8
|
13,37
|
2,91
|
1 119,78
|
3 824,7
|
|
мар.11
|
13 129,3
|
13,27
|
1,83
|
1 095,36
|
4 048,1
|
|
фев.11
|
8 238,0
|
13,51
|
0,87
|
1 077,56
|
3 254,1
|
|
янв.11
|
4 806,3
|
13,51
|
11,77
|
1 057,04
|
3 108,5
|
|
дек.10
|
48 754,2
|
13,51
|
10,46
|
1 052,10
|
4 169,8
|
|
ноя.10
|
43 838,8
|
13,51
|
9,64
|
1 071,15
|
3 381,1
|
|
окт.10
|
39 585,0
|
13,51
|
8,53
|
1 067,44
|
3 330,1
|
|
сен.10
|
34 638,7
|
13,51
|
7,62
|
1 039,27
|
3 290,6
|
|
авг.10
|
30 637,8
|
14,27
|
6,71
|
1 044,01
|
2 887,2
|
|
июл.10
|
26 751,4
|
13,71
|
5,82
|
1 025,01
|
2 978,4
|
|
июн.10
|
22 140,0
|
12,00
|
4,44
|
1 026,17
|
Приложение 2
|
LAG2RESID
|
RESID
|
|
сен.13
|
|
28445.5759407903
|
|
авг.13
|
|
11305.1228740001
|
|
июл.13
|
28445.5759407903
|
4756.74343249737
|
|
июн.13
|
11305.1228740001
|
-756.435420913389
|
|
май.13
|
4756.74343249737
|
-12565.9968918121
|
|
апр.13
|
-756.435420913389
|
-8069.9664017641
|
|
мар.13
|
-12565.9968918121
|
-13955.2456835716
|
|
фев.13
|
-8069.9664017641
|
-28317.1848632281
|
|
янв.13
|
-13955.2456835716
|
-90324.2262475589
|
|
дек.12
|
-28317.1848632281
|
45301.2172830424
|
|
ноя.12
|
-90324.2262475589
|
62768.5673510306
|
|
окт.12
|
45301.2172830424
|
34396.7646058759
|
|
сен.12
|
62768.5673510306
|
28233.2979633673
|
|
авг.12
|
34396.7646058759
|
14058.8355882851
|
|
июл.12
|
28233.2979633673
|
19557.2527821605
|
|
июн.12
|
14058.8355882851
|
3836.11656847509
|
|
май.12
|
19557.2527821605
|
-8132.35320480456
|
|
апр.12
|
3836.11656847509
|
-8620.69639667185
|
|
мар.12
|
-8132.35320480456
|
-13681.7703833386
|
|
фев.12
|
-8620.69639667185
|
-2072.84499936207
|
|
янв.12
|
-13681.7703833386
|
-41834.2363994002
|
|
дек.11
|
-2072.84499936207
|
-3139.10506030472
|
|
ноя.11
|
-41834.2363994002
|
-16105.9180586165
|
|
окт.11
|
-3139.10506030472
|
34883.730676844
|
|
сен.11
|
-16105.9180586165
|
21559.2471498372
|
|
авг.11
|
34883.730676844
|
-12053.0778874792
|
|
июл.11
|
21559.2471498372
|
-24783.8412843485
|
|
июн.11
|
-12053.0778874792
|
-22979.0581456599
|
|
май.11
|
-24783.8412843485
|
3132.83374534763
|
|
апр.11
|
-22979.0581456599
|
-4670.53321881912
|
|
мар.11
|
3132.83374534763
|
-9415.97637232574
|
|
фев.11
|
-4670.53321881912
|
11127.0300861548
|
|
янв.11
|
-9415.97637232574
|
-40852.657694956
|
|
дек.10
|
11127.0300861548
|
-15662.5114125112
|
|
ноя.10
|
-40852.657694956
|
1301.36466316459
|
|
окт.10
|
-15662.5114125112
|
3867.09437744362
|
|
сен.10
|
1301.36466316459
|
5758.41865338812
|
|
авг.10
|
3867.09437744362
|
18246.8480149409
|
|
июл.10
|
5758.41865338812
|
15545.7085090076
|
|
июн.10
|
18246.8480149409
|
9911.86576179278
|