Характеристика аскорбінової кислоти
Зміст
Вступ
. Загальна характеристика аскорбінової кислоти
.1 Класифікація вітамінів
.2 Опис аскорбінової кислоти
.3 Історія відкриття аскорбінової кислоти
. Медичні властивості аскорбінової кислоти
.1 Фармакодинаміка
.2 Фармакокінетика
.3 Взаємодія з іншими речовинами
.4 Лікарські форми
. Фізико-хімічні властивості аскорбінової кислоти
.1 Будова і фізичні властивості аскорбінової кислоти
.2 Хімічні властивості
.3 Залежність між будовою і біологічною активністю
. Отримання аскорбінової кислоти
.1 Біосинтез аскорбінової кислоти
.2 Синтез L-аскорбінової кислоти конденсацією
бензоїнового типу
.3 Синтез L-аскорбінової кислоти конденсацією ефірів
заміщених б-оксикислот
.4 Синтез L-аскорбінової кислоти ціангідриновим
(озон-ціанідним) методом
.5 Синтез L-аскорбінової кислоти ізомеризацією і
лактонизацією 2 - або 3-кетогексонових кислот
.6 Отримання препаратів L-аскорбінової кислоти
. Ідентифікація препаратів аскорбінової кислоти
.1 Визначення достовірності препаратів аскорбінової
кислоти
.2 Кількісне визначення аскорбінової кислоти
. Практична частина
.1 Методика дослідження
.2 Результати дослідження
Висновки
Список використаної літератури
Вступ
Важко представити, що таке широко відоме слово як «вітамін»
увійшло до нашого лексикону тільки на початку XX століття. Тепер відомо, що в
основі життєво важливих процесів обміну речовин в організмі людини беруть
участь вітаміни. Вітаміни - життєво важливі органічні сполуки, необхідні для
людини і тварин в малих кількостях, але мають величезне значення для
нормального зростання, розвитку і самого життя.
Вітаміни зазвичай поступають з рослинною їжею або з
продуктами тваринного походження, оскільки вони не синтезуються в організмі
людини і тварин. Більшість вітамінів є попередниками коферментів, а деякі
з'єднання виконують сигнальні функції.
Добова потреба у вітамінах залежить від типу речовини, а
також від віку, статі і фізіологічного стану організму. Останнім часом уявлення
про роль вітамінів в організмі збагатилися новими даними. Вважається, що
вітаміни можуть покращувати внутрішнє середовище, підвищувати функціональні
можливості основних систем, стійкість організму до несприятливих чинників.
Отже, вітаміни розглядаються сучасною наукою як важливий
засіб загальної первинної профілактики хвороб, підвищення працездатності, уповільнення
процесів старіння.
Метою цієї роботи є вивчення вітаміну С (аскорбінової
кислоти), опис його властивостей, методик ідентифікації і кількісного
визначення.
У практичній частині проведено дослідження розчину
аскорбінової кислоти 5% для ін'єкцій.
1. Загальна характеристика аскорбінової кислоти
.1 Класифікація вітамінів
Нині вітаміни можна охарактеризувати як низькомолекулярні
органічні сполуки, які, будучи необхідною складовою частиною їжі, є присутніми
в ній в надзвичайно малих кількостях в порівнянні з основними її компонентами.
Вітаміни - необхідний елемент їжі для людини і ряду живих
організмів тому, що вони не синтезуються або деякі з них синтезуються в
недостатній кількості в організмі. Вітаміни - це речовини, що забезпечують
нормальну течію біохімічних і фізіологічних процесів в організмі. Вони можуть
бути віднесені до групи біологічно активних з'єднань, що чинять свою дію на
обмін речовин в малих концентраціях.
Вітаміни ділять на дві великі групи:
1. вітаміни, розчинні в жирах
2. вітаміни, розчинні у воді
Кожна з цих груп містить велику кількість різних вітамінів,
які зазвичай означають буквами латинського алфавіту. Слід звернути увагу, що
порядок цих букв не відповідає їх звичайному розташуванню в алфавіті і не
цілком відповідає історичній послідовності відкриття вітамінів.
У приведеній класифікації вітамінів в дужках вказані найбільш
характерні біологічні властивості цього вітаміну - його здатність запобігати
розвитку того або іншого захворювання. Зазвичай назві захворювання передує приставка
«анти», що вказує на те, що цей вітамін попереджає або усуває це захворювання.
1. Вітаміни, розчинні в жирах.
· Вітамін A (антиксерофтальмічний).
· Вітамін D (антирахітичний).
· Вітамін E (вітамін розмноження).
· Вітамін K (антигеморагічний).
2. Вітаміни, розчинні у воді.
· Вітамін В1
(антиневритний).
· Вітамін В2 (рибофлавін).
· Вітамін PP (антипелагричний).
· Вітамін В6
(антидермітний).
· Пантотен (антидерматитний чинник).
· Вітамін Н (чинник зростання, для
грибків, дріжджів і бактерій, антисеборейний).
· Інозит.
· Параамінобензойна кислота (чинник
зростання бактерій і чинник пігментації).
· Фолієва кислота (антианемічний
вітамін, вітамін зростання для курчат і бактерій).
· Вітамін В12 (антианемічний
вітамін).
· Вітамін В15 (пангамова кислота).
· Вітамін С (антискорбутний).
· Вітамін Р (вітамін проникності).
Багато хто відносить також до числа вітамінів холін і
неграничні жирні кислоти з двома і більшим числом подвійних зв'язків. Усі
вищеперелічені - розчинні у воді - вітаміни, за виключенням інозиту і вітамінів
С і Р, містять азот у своїй молекулі, і їх часто об'єднують в один комплекс
вітамінів групи В.
.2 Опис аскорбінової кислоти
Аскорбінова кислота - органічна сполука, споріднена глюкозі,
є однією з основних речовин в людському раціоні, яка потрібна для нормального
функціонування сполучної і кісткової тканини. Виконує біологічні функції
відновника і кофермента деяких метаболічних процесів, є антиоксидантом.
Біологічно активний тільки один з ізомерів - L-аскорбінова кислота, який
називають вітаміном C. У природі аскорбінова кислота міститься у багатьох
фруктах і овочах.
За фізичними властивостями аскорбінова кислота є білим
кристалічним порошком кислого смаку. Легко розчинна у воді, розчинна в спирті.
Із-за наявності двох асиметричних атомів існують чотири
діастереомера аскорбінової кислоти. Дві умовно іменовані L-і D-форми хіральні
відносно атома вуглецю у фурановому кільці, а ізо-форма є D-ізомером по атому
вуглецю у бічному етиловому ланцюзі.ізоаскорбінова, або ериторбова, кислота
використовується як харчова добавка E315.
Застосовується як загальнозміцнюючий і стимулюючий імунну
систему засіб при різних хворобах (простудні, онкологічні і т.д.), а також
профілактично при недостатньому потраплянні з їжею, наприклад, в зимово-весняний
період.
Аскорбінова кислота вводиться також при отруєнні чадним
газом, метгемоглобінутворювачами у великих дозах - до 0,25 мл/кг 5% розчину в
добу. Препарат є потужним антиоксидантом, нормалізує окислювально-відновні
процеси.
Водний розчин аскорбінової кислоти іноді застосовувався в
чорно-білій фотографії в якості «м'якого» і ефективного, але відносно дешевого
і доступного проявника при екстреній обробці позитивних відбитків і рідше -
чорно-білої плівки. Деякі фотографи для приготування проявника дуже успішно
використали навіть відстояні і відціджені відвари шипшини і інших рослин.
Недолік цього проявника полягав в значному погіршенні його проявляючих
властивостей під впливом світла і кисню повітря. Це сильно обмежувало термін
зберігання розчину. Тому такий проявник використовувався безпосередньо після
приготування. До достоїнств же проявника, окрім нескладності отримання, можна
також віднести і відсутність яких-небудь шкідливих дій на здоров'ї при контакті
з розчином, оскільки синтетичні проявляючі речовини в тому або іншому ступені
токсичні.
Біологічна роль:
· Утворення колагену, серотоніна з
триптофану, утворення катехоламінів, синтез кортикостероїдів.
· Аскорбінова кислота також бере участь в перетворенні
холестерину на жовчні кислоти.
· Вітамін С потрібний для детоксикації
в гепатоцитах за участю цитохрому P450. Вітамін С сам нейтралізує супероксидний
радикал до перекису водню.
· Відновлює убіхінон і вітамін E.
Стимулює синтез інтерферону, отже, бере участь в імуномодулюванні.
· Переводить тривалентне залізо в
двовалентне, тим самим сприяє його всмоктуванню.
· Гальмує глікозування гемоглобіну,
гальмує перетворення глюкози на сорбіт.
Люди повинні отримувати аскорбінову кислоту з їжею. Так само
як у вищих приматів (сухоносих мавп), ген, що відповідає за утворення одного з
ферментів синтезу аскорбінової кислоти, нефункціональний. Проте, наприклад, в
організмі кішки (як і у багатьох інших ссавців) вітамін C синтезується (з
глюкози).
Фізіологічна потреба для дорослих - 90 мг/добу (вагітним
жінкам рекомендується вживати на 10 мг більше, годуючим - на 30 мг).
Фізіологічна потреба для дітей - від 30 до 90 мг/добу залежно від віку. Верхній
допустимий рівень споживання - 2000 мг/добу. Для людей, що палять, і тих, хто
страждає від пасивного паління, необхідно збільшити добову норму споживання
вітаміну C на 35 мг/добу.
Найбільш багаті аскорбіновою кислотою:
· плоди вишні (1000-3300 мг/100 г),
· свіжої шипшини (650 мг/100 г),
· болгарського червоного перцю (250
мг/100 г),
· чорної смородини і обліпихи (200
мг/100 г),
· яблука (містять 165 мг/100 г),
· перець зелений солодкий і петрушка
(150 мг/100 г)
· брюссельська капуста (120 мг/100 г),
· кріп і черемша (колба) (100 мг/100
г),
· ківі (90 мг/100 г)
· суниця садова (60 мг/100 г),
· цитрусові (38-60 мг/100 г),
· недозрілі плоди волоського горіха
· хвоя сосни і ялиці.
.3 Історія відкриття аскорбінової кислоти
Те, що живлення має бути збалансованим і різноманітним, знали
не лише практикуючі лікарі 19 віків, це прекрасно розуміли і раніше, коли ще
нічого не було відомо про хімічний склад їжі. Дієтологи тим часом чекали кінця
XIX століття, коли були відкриті речовини, що містяться в їжі в мізерних
кількостях, але необхідні для життя.
До другої половини 19 віків було з'ясовано, що харчова
цінність продуктів харчування визначається вмістом в них в основному наступних
речовин: білків, жирів, вуглеводів, мінеральних солей і води.
Вважалося загальновизнаним, що якщо в їжу людини входять в
певних кількостях усі ці поживні речовини, то вона повністю відповідає
біологічним потребам організму. Ця думка міцно укоренилася в науці і підтримувалася
такими авторитетними фізіологами того часу, як Петтенкофер, Фойт і Рубнер.
Проте практика далеко не завжди підтверджувала правильність
укорінених уявлень про біологічну повноцінність їжі.
Практичний досвід лікарів і клінічні спостереження здавна з
безсумнівністю вказували на існування ряду специфічних захворювань,
безпосередньо пов'язаних з дефектами живлення, хоча останнє повністю
відповідало вказаним вище вимогам. Про це свідчив також багатовіковий
практичний досвід учасників тривалих подорожей.
У Стародавньому світі добре була відома цинга, захворювання,
при якому капіляри стають все більш і більш ламкими, ясна кровоточать, зуби
випадають, рани гояться важко, якщо взагалі гояться, у хворого наростає
слабкість, і врешті-решт він помирає. Особливо часто ця хвороба виникала у
жителів міст, що знаходяться в облозі, за часів воєн і стихійних лих, і у
мореплавців, що здійснювали довгі подорожі по океану (Команда Магеллана більше
страждала від цинги, чим від загального недоїдання). Подібне траплялося при
недоліку або відсутності в живленні свіжих овочів і фруктів. Кораблі, що
вирушають в довге плавання, зазвичай завантажували таким провіантом, який не
зіпсувався б в дорозі. Зазвичай це були сухарі і солона свинина. На жаль,
лікарі упродовж багатьох віків не могли зв'язати цингу з раціоном.
В результаті цинга довгий час була бичем для мореплавців; від
неї гинуло моряків більше, ніж, наприклад, у битвах або від корабельних аварій.
Так, з 160 учасників відомої експедиції Васко да Гами що прокладала морський
шлях в Індію, 100 чоловік загинули від цинги.
Таким чином, практичний досвід ясно вказував на те, що цинга
і деякі інші хвороби пов'язані з дефектами живлення, що навіть найщедріша їжа
сама по собі ще далеко не завжди гарантує від подібних захворювань і що для
попередження і лікування таких захворювань необхідно вводити в організм якісь
додаткові речовини, які містяться не у всякій їжі.
Історія морських і сухопутних подорожей давала ряд повчальних
прикладів, що вказували на те, що виникнення цинги може бути відвернете, а
цинготні хворі можуть бути вилікувані. У 1536 році французький землепроходець
Жак Картьє був вимушений залишитися на зиму в Канаді, де 100 чоловік з його
загону захворіли цингою. Місцеві індійці, дізнавшись про це, запропонували їм
засіб: воду, настояну на сосновій хвої. Люди Картьє, будучи в повному відчаї,
пішли цій, на їх погляд, несерйозній пораді і. видужали.
Два століття опісля, в 1747 році, шотландський лікар Джеймс
Лінд, зіткнувшись з декількома аналогічними випадками, спробував лікувати таких
хворих свіжими фруктами і овочами. Випробувавши свій метод лікування на
матросах, що страждають цингою, він виявив, що найшвидше поліпшення стану
хворих викликають апельсини і лимони.
У черговому плаванні по Тихому океану під керівництвом знаменитого
англійського мандрівника Дж. Кука, що тривав з 1772 по 1775 рр., брали участь
два кораблі. На першому судні, яким командував Дж. Кук, були зроблені великі
запаси свіжих овочів, фруктів, а також лимонного і морквяного соків. В
результаті тривалого плавання жоден з членів екіпажа цингою не захворів. На
іншому судні, де не були зроблені запаси овочів і фруктів, чверть команди
хворіла на цингу.
На жаль, вищі офіцерські чини британського
військово-морського флоту тільки в 1795 році скористалися результатами
експериментів Лінда, включивши в щоденний матроський пайок сок лайму (да і то
виключно для того, щоб запобігти поразці цингою своєї флотилії в морській
битві). Завдяки соку лайму британський військово-морський флот назавжди забув,
що таке цинга. (Відтоді англійських матросів стали величати лайми, а прилеглий
до Темзи район Лондона, де раніше зберігали коробки з лаймами, досі носить
назву Лаймхауз.)
Попри те, що хоча і достатньою мірою випадково, але все таки
спосіб лікування цинги був знайдені, медики XIX століття відмовлялися вірити
тому, що захворювання можна лікувати за допомогою дієти, їх недовіра особливо
зросла після того, як Пастер висунув теорію, згідно якої причиною хвороб були
мікроби.
Експериментальне обгрунтування і науково-теоретичне узагальнення
багатовікового практичного досвіду уперше сталі можливі завдяки що відкрив нову
главу в науці дослідженням російського вченого Миколи Івановича Луніна, що
вивчав в лабораторії Г.А. Бунге роль мінеральних речовин в живленні. У 1880 р.
він захистив дисертацію «Про значення неорганічних солей для живлення тварин».
Н. І. Лунін проводив свої досліди на мишах, що харчувались
штучно приготованою їжею. Ця їжа складалася з суміші очищеного казеїну (білок
молока), жиру молока, молочного цукру, солей, що входять до складу молока і
води. Здавалося, в наявності були усі необхідні складові частини молока; між
тим миші, що знаходилося на такій дієті, не росли, втрачали у вазі, переставали
поїдати корм, що давався їм, і нарешті, гинули. В той же час контрольна партія
мишей, що отримала натуральне молоко, розвивалася абсолютно нормально. На
підставі цих робіт Н.І. Лунин в 1880 р. дійшов наступного висновку: «...якщо,
як вищезгадані досліди учать, неможливо забезпечити життя білками, жирами,
цукром, солями і водою, то з цього виходить, що в молоці, окрім казеїну, жиру,
молочного цукру і солей, містяться ще інші речовини, незамінні для живлення.
Представляє великий інтерес досліджувати ці речовини і вивчити їх значення для
живлення».
Це було важливе наукове відкриття, що встановилося, що
спростовувало, положення в науці про живлення. Результати робіт Н. І. Луніна
стали оспорюватися; їх намагалися пояснити, наприклад, тим, що штучно
приготована їжа, якою він у своїх дослідах годував тварин, була нібито
несмачною.
У 1890 р. К.А. Сосін повторив досліди Н.І. Луніна з іншим
варіантом штучної дієти і повністю підтвердив виведення Н.І. Луніна. Все ж і
після цього бездоганне виведення не відразу отримало загальне визнання.
Досить близько до ідеї про існування вітамінів був В.В. Пашутін,
що рахував цингу однієї з форм голодування в результаті дефіциту в їжі
невідомої речовини, що міститься в рослинах.
Тим часом інші дослідники наштовхнулися на інші загадкові
чинники, які здавалися ним необхідними для нормального функціонування організму.
У 1905 році голландський дієтолог К.А. Пекельхаринг виявив, що усі його
лабораторні миші захворіли вже через місяць утримування їх на раціоні,
повноцінному відносно жирів, вуглеводів і білків. Миші швидко відчули себе
краще після того, як він ввів в їх раціон декілька крапель молока. Біохімік з
Англії Фредерік Хопкінс, який показав, наскільки важлива наявність в раціоні
амінокислот, також провів серію експериментів, в результаті яких був зроблений
висновок: в молочному білку казеїні міститься щось, що при додаванні в раціон
забезпечує нормальне зростання і розвиток організму. Це щось добре розчинялося
у воді. Додавання в раціон невеликих кількостей екстракту дріжджів виявилося ще
ефективнішим, ніж використання як добавки казеїну.
За піонерську роботу у виявленні корисних поживних речовин,
необхідних для життя, Ейкман і Хопкінс в 1929 році були удостоєні Нобелівської
премії по медицині і фізіології.
У 1913 році два американські біохіміки- Елмер Верной Макколам
і Маргарита Дейвіс - виявили інший чинник, який в незначних кількостях містився
у вершковому маслі і в яєчних жовтках. Ця речовина погано розчинялася у воді,
але добре в жирах. Макколам дав йому назву жиророзчинний чинник А, на відміну
від речовини, попереджаючої виникнення бері-бері, яку він ще раніше визначив як
водорозчинний чинник В (чинником зазвичай називають невідому з точки зору
хімічної природи речовину, що виконує певну функцію).
Оскільки нічого більшого про хімічну природу цих чинників не
було відомо, те позначення речовин буквами виявилося цілком прийнятним. З тієї
пори і увійшло до традиції означати подібні чинники буквами латинського
алфавіту. У 1920 році англійський біохімік Джек Сесіл Драммонд змінив їх назви
на вітамін А і вітамін В. Він також припустив, що чинник, що перешкоджає виникненню
цинги, відрізняється від цих вітамінів, і назвав його вітаміном С.
В наші дні, коли хімічна структура вітамінів встановлена,
навіть для позначення істинних вітамінів все рідше прибігають до буквеного
позначення, вважаючи за краще користуватися хімічною назвою. Особливо це
стосується водорозчинних вітамінів (для жиророзчинних як і раніше досить часто
використовується буквене позначення).
Дослідники, що займалися вітаміном С, зіткнулися з проблемами
іншого роду. Отримати вітамін С в достатній кількості не представляло великої
праці: його багато міститься в плодах цитрусових рослин. Набагато важче було
знайти експериментальних тварин, які б не виробляли свій власний вітамін С.
Більшість ссавців, за винятком людини і інших приматів, мають здатність синтезувати
цей вітамін. Були потрібні недорогі піддослідні тварини, на яких можна було б
створити модель цинги, щоб потім, згодовувавши ним різні фракції, що
отримуються з соку цитрусових, дізнатися, в якій з них міститься вітамін С.
У 1918 році американські біохіміки Б. Коен і Лафаєтт Бенедикт
Мендель нарешті знайшли таких експериментальних тварин, виявивши, що морські
свинки не можуть синтезувати власний вітамін С. І дійсно, у морських свинок
цинга розвивалася навіть швидше, ніж у людини. Але тут виникла чергова
трудність: вітамін С виявився дуже нестабільним (він самий нестабільний з
вітамінів), і усі спроби виділити його закінчувалися провалом, оскільки вітамін
при виділенні втрачав свої властивості. Немало дослідників безуспішно працювало
над вирішенням цієї проблеми.
Вийшло так, що виділив врешті-решт вітамін С людина, яка
спеціально цим питанням не цікавився. Це був американський біохімік, угорець за
походженням, Алберт Сент-Дьєрді. У той час, а це був 1928 рік, він працював в
лабораторії Хопкінса і, займаючись проблемою використання кисню тканинами,
виділив з качанової капусти речовину, яка допомагала переносити атоми водню від
одного з'єднання до іншого. Незабаром після цього Чарльз Глен Кінг і його
співробітники з університету в Пітсбурзі, які напрямлено займалися виділенням
вітаміну С, отримали з капусти деяку речовину, яка мала сильну захисну дію
проти цинги. Більше того, вони виявили, що ця речовина ідентично кристалам,
отриманим ними раніше з лимонного соку. У 1933 році Кінг встановив структуру
цієї речовини. Виявилось, що воно складається з шести атомів вуглецю, належить
до класу цукрів, що відносяться до L-серії (рис. 1):
Рис. 1. Хімічна структура аскорбінової кислоти, запропонована
Ч.Г. Кінгом
Цій речовині дали назву аскорбінова кислота (слово
«аскорбінова» походить від грецького слова, що означає «немає цинги»).
Незабаром услід за встановленням структури кожного вітаміну
робився його синтез, але були випадки, коли синтез вітаміну навіть передував
встановленню його структури. Наприклад, група учених, очолювана Уильямсом,
синтезувала тіамін в 1937 році, за три роки до того, як була встановлена його
структура, а швейцарський біохімік, вихідець з Польщі, Тадеуш Рейхштейн і
очолювана ним група хіміків синтезували аскорбінову кислоту в 1933 році, дещо
раніше за те, як Кінг остаточно встановив її точну структуру. Ще один приклад -
вітамін А, який був синтезований в 1936 році незалежно двома групами хіміків
також незадовго до того, як була остаточно встановлена його хімічна структура.
2. Медичні властивості аскорбінової кислоти
.1 Фармакодинаміка
Вітамінний засіб, чинить метаболічну дію, не утворюється в
організмі людини, а поступає тільки з їжею. Бере участь в регулюванні
окислювально-відновних процесів, вуглеводного обміну, здатності згущуватися
крові, регенерації тканин; підвищує стійкість організму до інфекцій, зменшує
судинну проникність, знижує потребу у вітамінах B1, B2,
А, Е, фолієвій кислоті, пантотеновій кислоті.
Бере участь в метаболізмі фенілаланіну, тирозину, фолієвої
кислоти, норепінефрину, гістаміну, заліза, засвоєнні вуглеводів, синтезі
ліпідів, білків, карнитина, імунних реакціях, гідроксилюванні серотоніна,
посилює абсорбцію негемового заліза.
Має антиагрегантні і виражені антиоксидантні властивості.
Регулює транспорт H+ у багатьох біохімічних
реакціях, покращує використання глюкози в циклі трикарбонових кислот, бере
участь в утворенні тетрагідрофолієвої кислоти і регенерації тканин, синтезі
стероїдних гормонів, колагену, проколагену.
Підтримує колоїдний стан міжклітинної речовини і нормальну
проникність капілярів (пригноблює гіалуронідазу).
Активує протеолітичні ферменти, бере участь в обміні
ароматичних амінокислот, пігментів і холестерину, сприяє накопиченню в печінці
глікогену. За рахунок активації дихальних ферментів в печінці посилює її
дезінтоксикаційну і білкоутворюючу функції, підвищує синтез протромбіну.
Покращує жовчовиділення, відновлює зовнішньо-секреторну
функцію підшлункової залози і інкреторну - щитовидної.
Регулює імунологічні реакції (активує синтез антитіл, С3-компонента
комплементу, інтерферону), сприяє фагоцитозу, підвищує опірність організму
інфекціям.
Гальмує вивільнення і прискорює деградацію гістаміну,
пригноблює утворення простагландинів і інших медіаторів запалення і алергічних
реакцій.
У низьких дозах (150-250 мг/добу всередину) покращує
комплексоутворюючу функцію дефероксаміна при хронічній інтоксикації препаратами
Fe, що веде до посилення екскреції останнього.
.2 Фармакокінетика
Абсорбується в ШКТ (переважно в тонкій кишці). Зі збільшенням
дози до 200 мг всмоктується до 140 мг (70%); при подальшому підвищенні дози
всмоктування зменшується (50-20%). Зв'язок з білками плазми - 25%. Захворювань
ШКТ (виразкова хвороба шлунку і 12-перстної кишки, закрепи або діарея, глистова
інвазія, лямбліоз), вживання свіжих фруктових і овочевих соків, лужного питва
зменшують всмоктування аскорбата в кишечнику.
Концентрація аскорбінової кислоти в плазмі в нормі складає
приблизно 10-20 мкг/мл, запаси в організмі - близько 1,5 г при прийомі щоденних
рекомендованих доз і 2,5 г при прийомі 200 мг/добу. TCmax після
вживання внутрішньо - 4 ч.
Легко проникає в лейкоцити, тромбоцити, а потім - в усі
тканини; найбільша концентрація досягається в залозистих органах, лейкоцитах,
печінці і кришталику ока; депонується в задній долі гіпофіза, корі надниркових
залоз, очному епітелії, проміжних клітинах сім'яних залоз, яєчниках, печінці,
селезінці, підшлунковій залозі, легенях, нирках, стінці кишечника, серці,
м'язах, щитовидній залозі; проникає через плаценту. Концентрація аскорбінової
кислоти в лейкоцитах і тромбоцитах вища, ніж в еритроцитах і в плазмі. При
дефіцитних станах концентрація в лейкоцитах знижується пізніше і більше
повільно і розглядається як кращий критерій оцінки дефіциту, чим концентрація в
плазмі.
Виводиться нирками, через кишечник, з потом, грудним молоком
у вигляді незміненого аскорбата і метаболитов.
При призначенні високих доз швидкість виведення різко
посилюється. Паління і вживання етанолу прискорюють руйнування аскорбінової
кислоти (перетворення на неактивні метаболити), різко знижуючи запаси в
організмі. Виводиться при гемодіалізі.
.3 Взаємодія з іншими речовинами
Підвищує концентрацію в крові бензилпенициллина і
тетрацикліну; у дозі 1 г/добу підвищує біодоступність етинілестрадіола (у тому
числі того, що входить до складу пероральних контрацептивів).
Покращує всмоктування в кишечнику препаратів заліза
(переводить тривалентне залізо в двовалентне); може підвищувати виведення
заліза при одночасному застосуванні з дефероксаміном.
Знижує ефективність гепарину і непрямих антикоагулянтів.
Ацетилсаліцилова кислота, пероральні контрацептиви, свіжі
соки і лужне питво знижують всмоктування і засвоєння.
При одночасному застосуванні з ацетилсаліциловою кислотою
підвищується виведення з сечею аскорбінової кислоти і знижується виведення
ацетилсаліцилової кислоти. АСК знижує абсорбцію аскорбінової кислоти приблизно
на 30%.
Збільшує ризик розвитку кристалурії при лікуванні
саліцилатами і сульфаніламідами короткої дії, уповільнює виведення нирками
кислот, збільшує виведення лікарських засобів, що мають лужну реакцію (у тому
числі алкалоїдів), знижує концентрацію в крові пероральних контрацептивів.
Підвищує загальний кліренс етанолу, який у свою чергу знижує
концентрацію аскорбінової кислоти в організмі.
Лікарські засоби хінолінового ряду, CaCl2,
саліцилати, глюкокортикостероїди при тривалому застосуванні виснажують запаси
аскорбінової кислоти.При тривалому застосуванні або застосуванні у високих
дозах може порушувати взаємодію дисульфірам - етанол.
Барбітурати і примідон підвищують виведення аскорбінової
кислоти з сечею. Зменшує терапевтичну дію антипсихотичних лікарських засобів
(нейролептиків) - похідних фенотіазина, канальцеву реасорбцію амфетаміну і
трициклических антидепресантів.
.4 Лікарські форми
· ліофілізат 50 мг для приготування
розчину для внутрішньовенного і внутрішньом'язового введення;
· розчин 50 мг/мл, 100 мг/мл для
внутрішньовенного і внутрішньом'язового введення;
· розчин 150 мг/мл для
внутрішньовенного введення («Вітамін С-ін’єктопас»);
· драже 50 мг;
· порошок 1 г, 2,5 г для приготування
розчину для вживання внутрішньо;
· пігулки 25 мг, 50 мг, 75 мг, 100 мг,
500 мг, 2,5 г;
· пігулки жувальні 200 мг («Асвітол»),
500 мг («Вітамін С 500»)
· пігулки шипучі 250 мг, 1000 мг;
· пігулки шипучі (у ассорт.) 500 мг
(«Асковіт», «Целаскон Вітамін С»), 1000 мг («Адітіва Вітамін С», «Асковіт»).
Окрім згаданих лікарських засобів виробляється також біологічно
активна добавка під назвою «Аскорбінка». До складу цієї добавки входить
аскорбінова кислота, але технологія її виробництва і безпека (проходження
клінічних випробувань і ін.) не належить до категорії «лікарський засіб».
3. Фізико-хімічні властивості аскорбінової кислоти
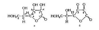
.1 Будова і фізичні властивості аскорбінової кислоти
Аскорбінова кислота - вітамін С є г-лактон
2,3-дегидро-L(+)-гулонової кислоти (г-лактон
L-трео-2,3,4,5,6-пентаоксигексен-2-овой кислоти) (рис. 2).
Рис. 2. Будова аскорбінової кислоти
L-Аскорбінова кислота знаходиться в тканинах також і у
вигляді окисленої форми - дегидро-L-аскорбінової кислоти (Рис. 2б).
По своїй будові L-аскорбінова кислота може бути віднесена~до
похідних вуглеводів, в структуру яких включені г-лактонное кільце системи Дa,3-бутенолидов
і угрупування «редуктона» з двома сопряженнимидвойними зв'язками. Найважливіша
властивість таких систем - здатність до оборотних окислювально-відновних
перетворень.
L-Аскорбінова кислота має два асиметричні атоми вуглецю в
положеннях 4 і 5 і утворює чотири оптичні ізомери і два рацемати. Вона
представлена в двох епімерних формах, кожна з яких дає по два оптичні антиподи:
D- і L-аскорбінові кислоти і їх діастерео-ізомери - D- і L-ізоаскорбінові кислоти
(рис. 3).
Природна біологічно активна L-аскорбінова кислота відноситься
до похідних гулози L-ряду. Знаходження серед біологічно активних речовин
похідних гексоз L-конфігурації є незвичайним, оскільки природні моносахариди
тваринного організму, як правило, мають D-конфігурацію. D-аскорбінова кислота
вітамінних властивостей не має, а навпаки, є майже єдиним антагоністом вітаміну
С. D-аскорбінова і D- і L-ізоаскорбінові кислоти в природі не зустрічаються і
отримані тільки синтетично.
Рис. 3. Оптичні ізомери аскорбінової кислоти
L-аскорбинова кислота (рис. 2) є безбарвними призмами
моноклінічної системи, без запаху, з темп. пл. 192 °С (з розкладанням); вона
має [б]D20 +23 (1,6%, Н2O) і [б]D20
+48 (0,85%, СН3ОН). Молекула L-аскорбінової кислоти має плоску
конфігурацію, проте атом С5 знаходиться поза цією площиною, що
доведено кристалографічними і іншими вимірами. L-Аскорбінова кислота добре
розчинна у воді, значно гірше - в спирті.
У вищих спиртах розчинність L-аскорбінової кислоти сильно
зменшується. L-Аскорбінова кислота малорозчинна в гліцерині і в ацетоні;
нерозчинна в неполярних розчинниках, таких, як ароматичні і аліфатичні
вуглеводні (бензол, петролійний ефір, бензин), в галогенпохідних
(чотирихлористий вуглець, хлороформ, дихлоретан, хлорбензол), в ефірі.
У водних розчинах L-аскорбінова кислота має кислу реакцію
(для 0,1H розчину рН 2,2) і реагує як одноосновна кислота. Оскільки лактони
нейтральні, то кислі властивості викликаються головним чином гідроксильною групою
положення 3 і тільки частково гідроксильною групою положення 2. Константи
дисоціації L-аскорбінової кислоти наступні: рK1 - 4,17 і рК2
- 11,57. Спектр поглинання L-аскорбінової кислоти в ультрафіолетовому світлі
має рухливий максимум від 245 нм в кислому середовищі до 265 нм в нейтральному
водному або лужному розчині, залежний від присутності зв'язаної системи
подвійних зв'язків, а також невелике плече між 350 і 400 нм. Максимум
поглинання в спиртовому розчині 245 нм. Слід зазначити, що ультрафіолетове світло
викликає розщеплювання L-аскорбінової кислоти.
Окислювально-відновний потенціал при рівномолекулярному
співвідношенні L-аскорбінової і дегідро-L-аскорбінової кислот у воді наступний:
|
pH
|
Е0, В
|
рH
|
Е0, В
|
|
2,04
|
+ 0,281
|
|
|
|
2,68
|
+ 0,242
|
4,65
|
+ 0.138
|
|
3,30
|
+ 0,204
|
5,31
|
+ 0,119
|
|
4,01
|
+ 0,166
|
5,75
|
+ 0,106
|
Можливо, проте, що окислювально-відновні потенціали не
характерні, оскільки система L-аскорбінова кислота - дегідро-L-аскорбінова
кислота обратима неповністю.
Полярографічний окислювальний потенціал L-аскорбінової
кислоти знаходиться залежно від рН. Півхвильовий потенціал Е1/2,
окислення складає +0,226 В при рН 2,19, +0,090 В при рН 4,29 і -0,074 В при рН
8,32.
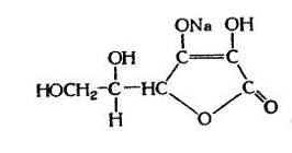
L-Аскорбінат натрію C6H7О6Na
(Рис. 4) - є безбарвними кристалами, [б]D20
+105 (Н2O). Він легко розчинний у воді, важко - в спирті (95%-ном) і
нерозчинний в ефірі. Випускається як препарат для приготування ампульних
розчинів і для консервації м'яса і м'ясних виробів.Аскорбінат кальцію (С6Н7О6)
2Са•2Н2O - блідо-жовті кристали, [б]D20 +96 (Н2O).
Він легко розчинний у воді, важко - в спирті і нерозчинний в ефірі.
Рис. 4. L-Аскорбінат натрію
L-Аскорбінат заліза - кристали яскраво-фіолетового кольору;
використовується з лікувальною метою.
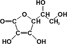
Пальмітат L-aскорбінової кислоти - складний ефір по
первинному гідроксилу положення 6 (рис. 5) є безбарвними кристалами із слабким
жовтуватим відтінком. Майже нерозчинний у воді, добре розчинний у багатьох
органічних розчинниках, тваринних і рослинних оліях.
Рис. 5. Пальмітат L-aскорбиновой кислоти
Відомі препарати аскорбінової кислоти з сульфаніламідними
з'єднаннями, наприклад з норсульфазолом, та ін., з характерними химиотерапевт
ическ ним і властивостями цих з'єднань.
Дегідро-L-аскорбінова кислота -
г-лактон-2,3-дикето-L(+)-гулонової кислоти (рис. 2) - є безбарвними кристалами
з темп. пл. 237-240 °С (з розкладанням)].
Безвода дегідро-L-аскорбінова кислота, має діоксанову
структуру і є димерним лактоїдом, позбавленим хромофорних кетогруп і первинної
гідроксильної групи. У твердому стані вона, має полукетальную структуру і
пов'язана міжмолекулярними водневими зв'язками у формі полімерного агрегату. У
водному розчині дегідро-L-аскорбінова кислота знаходиться у вигляді мономера.
3.2 Хімічні властивості
Ненасичене г-лактонне кільце L-аскорбінової кислоти (рис. 2)
при дії сильних лугів піддається гідролітичному розщеплюванню, перетворюючись
на сіль кетокислоти (рис. 6), але не в сіль ненасиченої оксикислоти.

Кратний зв'язок дуже сильно сприяє стабілізації лактонного
кільця. Наявність двох гідроксильних груп у атомів вуглецю, сполучених
подвійним зв'язком, обумовлює, як це властиво енольним формам, кислий характер
з'єднання. Сполучення карбонільної групи з подвійним зв'язком, що знаходиться
між атомами вуглецю С2 і С3 також впливає на посилення
кислого характеру ендіольних груп. Тому із слабкими лугами L-аскорбінова
кислота легко утворює нейтральні монолужні еноляти без розщеплювання лактонного
кільця.
Натрієві і амонійні еноляти мають хорошу розчинність у воді;
нейтральний свинцевий енолят розчинний у воді, але майже нерозчинний в спирті;
основний свинцевий енолят у воді і спирті нерозчинний. L-Аскорбінова кислота
може осідати із слабкого аміачного водного розчину при рН 7,2-7,5 ацетатом
свинцю.
Для L-аскорбінової кислоти в розчинах відомі таутомерні
форми. У розчинах вона знаходиться майже повністю у вигляді ненасиченого
б-гліколя, що утворює ендіольне угрупування, і в дуже малій кількості в
кето-формі, причому 2-кето-форма досить стабільна і може бути виділена, а
3-кето-форма, лабільна і легко переходить в ендіольную форму (рис. 7).
Рис. 7. Таутомерія аскорбінової кислоти
L-Аскорбінова кислота реагує і у своїй таутомерній
кето-формі. Вона утворює фенілозазони і похідні з о-фенілендіаміном. По
подвійному зв'язку L-аскорбінової кислоти може відбуватися приєднання
сульфгідрильних груп і галогенів.
Слід зазначити, що реакційна здатність карбоксильної групи
L-аскорбінової кислоти характеризується деякими особливостями; так, вона не
реагує з алюмогідридом літію, який має специфічну властивість відновлювати
кислоти або лактони у відповідні спирти.Аскорбінова кислота в сухому стані в
кристалічній формі стійка, але внаслідок наявності одного ненасиченого зв'язку
у вологому стані або в розчинах легко змінюється, особливе у присутності
повітря. У розчинах L-аскорбінова кислота аеробно окислюється, найлегше при
каталітичному впливі деяких металів (наприклад іонів міді) в
дегідро-L-аскорбінову кислоту і перекис водню. Дегідро-L-аскорбінова кислота
оборотно перетворюється на L-аскорбінову кислоту при дії йодистого водню або
сірководня при рН 4-7.
З підвищенням лужності швидкість реакції окислення
збільшується. При рН нижче 7 реакція протікає тільки за участю каталізатора.
Активоване вугілля сприяє окисленню L-аскорбінової кислоти.Аскорбінову кислоту
дегідрують, окрім кисню повітря, селенова кислота, перекис водню, хлорне
залізо, хінон, ацетат міді, 2,4-дихлорфенол індофенол в кислому розчині, хлор,
бром і йод в кислому і нейтральному розчинах, метиленовий блакитний, йоднувата
кислота, марганцевокислий калій, азотнокисле срібло, розчин фелінга, а також
антибіотик тераміцин і багато інших з'єднань. Вивчена кінетика окислення
L-аскорбінової кислоти перекисом водню.
Окислення L-аскорбінової кислоти окрім міді каталізують іони
магнію, срібла. Слід зазначити, що кальцій, марганець, залізо, нікель і кобальт
майже не мають каталітичних властивостей в реакціях окислення аскорбінової
кислоти киснем повітря, а у безводому спиртовому розчині або інших неводних
розчинах йод і інші галогени не реагують з L-аскорбіновою кислотою. Вплив рН на
кінетику окислення L-аскорбінової кислоти піддавався детальному дослідженню. У
відсутність каталізаторів окислення киснем повітря не йде і розчини
L-аскорбінової кислоти мають стійкість до помірного нагрівання. Двоокис вуглецю
і сірчистий ангідрид оберігають L-аскорбінову кислоту від окислення; вони
застосовуються для її стабілізації.
Реакцію окислення L-аскорбінової кислоти в розчинах
інгібірують етилендіамінтетраоцтова кислота, флавоноїди, о-дифеноли,
метафосфорна кислота, тіоацеталі, деякі N- гетероциклічні з'єднання та
ін.Аскорбінова кислота легко піддається окислювальному розщеплюванню (рис. 8).
Рис. 8. Реакції окислювального розщеплювання L-аскорбінової
кислоти
При дії на L-аскорбінову кислоту кисню утворюється
дегідро-L-аскорбінова кислота. Потім лактонне кільце дегідро-L-аскорбінової
кислоти на відміну від стабілізованого подвійним зв'язком лактонного кільця
L-аскорбінової кислоти у водному розчині легко гідролізується з утворенням
2,3-дикето-L-гулонової кислоти. Ця реакція безповоротного перетворення
дегідро-L-аскорбінової кислоти першого порядку, вона протікає у водному розчині
зі значною швидкістю, яка зростає з підвищенням температури і рН розчинів.
Перетворення половини кількості речовини протікає при рН 5 і температурі 80°С
впродовж 5 хв.
Наступною стадією перетворення є перехід
2,3-дикето-L-гулонової кислоти при подальшому окисленні киснем в L-треонову і
щавлеву кислоти. Ймовірно, спочатку, в лужних умовах в результаті гідролізу
відбувається розщеплювання молекули і утворюється проміжне з'єднання типу
тетрози, що має значну відновну здатність, і тільки тоді альдегідна група
окислюється в карбоксильну.
Потім відбувається подальше окислення L-треонової кислоти в
L(+)-винну кислоту і численні інші хроматографічно виявлені з'єднання. Серед
продуктів окислення L-аскорбінової кислоти ідентифіковані:
2,3-дикето-L-гулонова, L-треонова, 2-кето-L-треонова, гліцеринова,
оксипіровиноградна, щавлева кислоти і двоокис вуглецю. Можливо, що утворення
кетокислот відбувається не лише в результаті прямого окислення оксикислот, але
і в результаті попередньої ізомеризації альдоз в кетозу, яка в подальшому
піддається окисленню.
L-Аскорбінова кислота, окрім окислювального розщеплювання в
певних умовах, подібно до вуглеводів, схильна до гідролітичного розщеплювання,
пов'язаного з декарбоксилюванням і дегідратацією у фурфурол і подальші продукти
його глибокого розщеплювання. Відомо, що L-аскорбінова кислота при кип'яченні з
соляною кислотою кількісно утворює фурфурол і двоокис вуглецю; ця реакція може
застосовуватися для аналітичних цілей. Утворення фурфуролу і двоокису вуглецю
спостерігалося і в інших умовах. Таким же шляхом, можливо, відбувається
розщеплювання і при рН вище 7,6 з тією різницею, що реакція майже не
затримується на утворенні фурфуролу, а протікає далі. Швидкість глибокого
розщеплювання L-аскорбінової кислоти підвищується зі збільшенням лужності.
Реакція гідролітичного розщеплювання L-аскорбінової кислоти
показана на рис. 9.
Рис. 9. Реакція гідролітичного розщеплювання L-аскорбінової
кислоти
L-Аскорбінова кислота в розчині, як лактон, знаходиться в
стані рухливої рівноваги з дуже малими кількостями 2-кето-L-гулонової кислоти.
Остання під впливом кислих або лужних реагентів або підвищених температурних
умов повільно декарбоксилює з утворенням двоокису вуглецю і L-ксилози.
Розщеплювання деякої частини 2-кето-L-гулонової кислоти зрушує рівновагу і
викликає подальше перетворення нової частини L-аскорбінової кислоти на
2-кето-L-гулонову кислоту. Потім L-ксилоза гідролітично розщеплюється з
утворенням фурфуролу.
Реакція утворення фурфуролу вивчена особливо ретельно саме
для ксилози. Слід зазначити, що фурфурол легко вступає в реакції приєднання,
схильний до полімеризації і легко окислюється з розкриттям циклу у бурштинову,
дегідробурштинову кислоти, а також багато інших органічних кислот і смолянисті
продукти складної будови.
Дегідратація L-ксилози може йти і по іншому напряму,
внаслідок чого утворюється 2,5-дигідропірослизева кислота, яка виявлена серед
продуктів розщеплювання L-аскорбінової кислоти в анаеробних кислих водних
умовах, разом з L-ксилозою.
Каталізоване соляною кислотою розщеплювання L-аскорбінової
кислоти до фурфуролу протікає через різні складні проміжні сполуки.
Утворення дегідро-L-аскорбінової кислоти при дії йоду на
L-аскорбінову кислоту в розчині протікає через проміжне приєднання двох
еквівалентів йоду по подвійному зв'язку і подальше відщеплення йодистого водню.
Ця реакція застосовується для кількісного визначення L-аскорбінової кислоти.
Широке застосування має і йодатний метод аналізу.
При окисленні L-аскорбінової кислоти формальдегідом
утворюється дегідро-L-аскорбінова кислота, яка повільно декарбоксилює з
виділенням двоокису вуглецю, причому швидкості виділення двоокису вуглецю з
дегідро-L-аскорбінової кислоти і з L-аскорбінової кислоти з розчином
формальдегіду приблизно однакові. Виділення двоокису вуглецю відбувається за
рахунок карбоксильного атома вуглецю L-аскорбінової кислоти, що доведено шляхом
застосування мічених атомів.
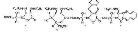
Дегідро-L-аскорбінова кислота утворює різні форми редуктон-похідних
і різних інші похідні, наприклад з фенілгідразином - фенілозазон
дегідро-L-аскорбінової кислоти в 7-лактонній формі (Рис. 10а) або в о-формі
(Рис. 10б), з о-фенілендіаміном - хіноксалінове похідне (Рис. 10в) і з
о-фенілендіаміном і фенілгідразином - похідне (рис. 10г).
Рис. 10. Похідні дегидро-L-аскорбінової кислоти
Для кількісного визначення малих кількостей L-аскорбінової
кислоти використовується її реакція з 2,4-динітрофенілгідразином.
Внаслідок легкої окислюваності L-аскорбиновая кислота є
донором водню; вона кількісно легко відновлює численні з'єднання. На здатності
цих з'єднань змінювати забарвлення при відновленні грунтовані різні способи
визначення L-аскорбінової кислоти. До таких з'єднань відносяться: синій
2,6-дихлорфеноліндофенол, який переходить у безбарвний фенолімін, метиленовий
блакитний, переходячий у безбарвну лейкосполуку; діазосульфанілова кислота, що
утворює помаранчевий азобарвник; та ін.Аскорбінова кислота дає забарвлення з
численними з'єднаннями: з молібденовофосфорновольфрамовою кислотою - фіолетову,
з окислом ванадію (V) в сірчаній кислоті - синю, з селенистою кислотою -
оранжево-червону та ін.
Дегідро-L-аскорбінова кислота реагує з амінокислотами,
утворюючи продукт, що має рожеве або оранжево-червоне забарвлення; при цьому
виділяється двоокис вуглецю. Таке ж забарвлення спостерігається при зіткненні
дегідро-L-аскорбінової кислоти з шкірою тваринАскорбінова кислота з
хлорангідридами вищих жирних кислот дає складні ефіри, наприклад 3-О-пальмітоїл-
чи 3-О-стеароїл-L-аскорбінову кислоту, які зберігають вітамінну активність і
застосовуються як жиророзчинні препарати L-аскорбінової кислоти в якості
антиоксидантів - стабілізаторів.
З нікотиновою кислотою і її амідом L-аскорбінова кислота дає
стійкий комплекс з темп. пл. 185°С.Аскорбінова кислота утворює численні солі,
наприклад з холіном, амінокислотами, 2-меркаптоетиламіном та ін. Цікаво
відмітити з'єднання L-аскорбінової кислоти з тіаміном.
.3 Залежність між будовою і біологічною активністю
Аскорбінова кислота є вітаміном для людини, мавп і деяких
інших представників теплокровних: морської свинки, так званого фруктового
кажана і індійського червоного горобця. Інші тварини не потребують отримання
вітаміну С з їжею і мають здатність до його біосинтезу. При недоліку в
організмі L-аскорбінової кислоти виникає цинга - хвороба, відома з давніх
часів, характеризується захворюванням ясен, випаданням зубів, структурною
зміною хрящів і кісток, у результаті призводить до летального кінця.
L-Аскорбінова кислота сприяє утворенню сполучної тканини.
Ця кислота зустрічається в тваринах і рослинних тканинах як у
вільній, так і в окисленій формі (дегідро-L-аскорбінова кислота); наприклад, в
печінці міститься 27% і в м'язах 50% дегідро-L-аскорбінової кислоти від загальної
кількості кислоти. У молоці і крові міститься тільки L-аскорбінова кислота. У
рослинах L-аскорбінової кислоти знаходиться до 70% в зв'язаному стані.
Дегідро-L-аскорбінова кислота має таку ж вітамінну активність, як і
L-аскорбінова кислота.Аскорбінова кислота (вітамін С) є переносником водню в
деяких ферментативних реакціях, що протікають в живій клітині. Вона відновлює
різні окислені форми ферментів (наприклад, аскорбіназу), сама окислюючись при
цьому в дегідро-L-аскорбінову кислоту, що оборотно легко регенерується в
L-аскорбінову кислоту глутатіоном (г-глутамілцистеїнилгліцином) за рахунок його
сульфгідрильної групи при дії редуктази.
Природна аскорбіназа - оксидаза L-аскорбінової кислоти,
фермент з молекулярною масою 150000, широко поширений в рослинних тканинах, -
містить близько 0,26% міді, що відповідає 6 атомам Сu2+ на 1 моль.
L-Аскорбінова кислота - найсильніший відновник живого
організму, легко окислюваний різними ферментами, наприклад пероксидазой у
присутності перекису водню і деяких флаваноїдов (флаванів, флавонолів),
фенолоксидазою, цитохромоксидазою у присутності цитохрому та ін.
Здатність до окислювально-відновних перетворень, пов'язана з
ендіольним угрупуванням, яке стабілізоване сусідньою карбонільною групою, що
знаходиться в циклі, і що супроводжується перенесенням атомів водню до
акцепторів, є найважливішою каталітичною функцією L-аскорбінової кислоти в
живому організмі.
L-Аскорбінова кислота по своїй біологічній активності високо
специфічна. Вітамінна активність знаходиться залежно від наявності системи Дб,в-бутенолида,
причому г-лактонное кільце має бути утворене по гідроксильній групі положення 4
D-конфігурації. Аналоги L-acкорбиновой кислоти, що мають г-лактонное кільце,
утворене по гідроксильній групі при С4 L-конфігурації, не мають вітамінної
активності, наприклад L-ізоаскорбінова (L-арабо-аскорбіновая) кислота та ін.
Просторове положення гідроксила при С5 повинне
відповідати, навпаки, L-конфігурації; для D-конфігурації активність зменшується
в 20 разів, як це характерно для D-ізоаскорбінової (D-арабо-аскорбиновой)
кислоти. Елимінування гідроксильної групи в положенні 6 знижує активність в три
рази, як це спостерігається у 6-дезокси-L-аскорбінової кислоти. Збільшення
числа вуглецевих атомів в молекулі знижує вітамінну активність в п'ять разів
для L-рамно-аскорбінової кислоти, в 40 і 60 разів відповідно для L-глюко і
L-галакто-аскорбінової кислоти і в 100 разів для L-глюко-гептааскорбінової
кислоти.
Зменшення числа вуглецевих атомів в порівнянні з шістьма
наявними в молекулі L-аскорбінової кислоти повністю позбавляє з'єднання
вітамінних властивостей.
При поєднанні в одній структурі L-конфігурації
4-гідроксильної групи D-конфігурації 5-гідроксильної групи утворюються
найсильніші антивітаміни: енантіоморфна форма вітаміну С, D-аскорбінова кислота
і D-глюко-аскорбінова кислота.Аскорбінова кислота може бути отримана
ціангідриновим методом з D-ксилози.
Солеподібні з'єднання L-аскорбінової кислоти з металами,
еноляти, здатні легко перетворюватися знову на L-аскорбінову кислоту, наприклад
L-аскорбінати натрію, кальцію, заліза і т. д., мають рівнозначну вітамінну
активність. Вітамінна активність проявляється тільки за наявності вільних
гідроксильних груп. Різні функціональні похідні по гідроксильних групах, такі,
як метилові ефіри, ізопропилиденові похідні і інші, позбавляють молекулу
вітамінних властивостей повністю або майже повністю, так само як і гідрування
ненасиченого зв'язку лактонного кільця.
Дегидро-L-аскорбінова кислота (2,3-дикето-L-гулоно-г-лактон),
що є окисленою формою L-аскорбінової кислоти в організмі, має вітамінну
активність, рівнозначну останній. При розкритті лактонного кільця утворюється
2,3-дикето-L-гулонова кислота, яка повністю позбавлена вітамінної активності.
Цікаво відмітити, що серед нециклічних з'єднань тільки
метиловий ефір 2-кето-L-гулонової кислоти має 20% активність L-аскорбінової
кислоти, внаслідок його підвищеної здатності утворювати систему Дб,в-бутенолида
в організмі, перетворюючись на L-аскорбінову кислоту.
Заміна однієї гідроксильної групи в положенні 2 аміногрупою
призводить до утворення скорбаміновой кислоти, що має незначні вітамінні
властивості, а заміна двох гідроксильних груп в положеннях 2 і 3 - до
діаміноаналогу L-аскорбінової кислоти; обидва ці з'єднання мають сильні
відновні властивості.
Аскорбіген - індольное похідне L-аскорбінової кислоти - має
менш ніж 5%-ной активність вітаміну С.
4. Отримання аскорбінової кислоти
.1 Біосинтез аскорбінової кислоти
вітамін аскорбіновий кислота хімічний
L-Аскорбінова кислота синтезується в рослинах і організмі
деяких тварин з D-глюкози через лактон D-глюкуроновой кислоти і
L-гулоно-г-лактон або їх похідні. D-галактоза також може переходити в
L-аскорбінову кислоту через відповідні проміжні з'єднання - D-галактуронову
кислоту і L-галактоно-г-лактон (рис. 11).
Рис. 11. Схема біосинтезу L-аскорбінової кислоти в рослинах з
D-глюкози і D-галактози
У цьому біосинтезі відбувається перетворення з'єднань з
конфігурацією D-ряду в з'єднання з конфігурацією L-ряду, що доведено
перетворенням в організмі щура D-глюкози з міченим атомом 14С в
положенні 1 в L-аскорбінову кислоту з міченим атомом вуглецю в положенні 6.
г-лактони D-глюкуронової і L-гулонової кислот при вступі в
паростки рослин або при введенні в організм щура перетворюються на L-аскорбінову
кислоту. Також поводиться метиловий ефір D-галактуронової кислоти і г-лактон
L-галактонової кислоти; але інші г-лактони альдонових кислот, у тому числі
г-лактони L-ідонової і L-талонової кислот, що відрізняються від г-лактонів
L-гулонової і L-галактонової кислот однією лише конфігурацією заступників у
атома вуглецю в положенні 2, L-аскорбінової кислоти не дають.
Доказ перетворення г-лактона L-гулонової кислоти в
L-аскорбінову кислоту отримано і синтетичним шляхом - проведенням окислення з
пергідролем і сірчанокислим залізом у присутності пірофосфорної кислоти при
температурі 80-90 °С (вихід 10%).Аскорбінову кислоту у вигляді концентратів
отримують з різних рослинних об'єктів: плодів шипшини, болгарського перцю,
зеленого волоського горіха та ін. Проте значно ефективніші синтетичні методи
отримання аскорбінової кислоти, які по своїй суті спрямовані на створення
певної просторової структури з відповідних моносахаридів і їх похідних.
.2 Синтез L-аскорбінової кислоти конденсацією бензоїнового
типу
При конденсації двох альдегідів - етилового ефіру
гліоксилової кислоти і L-треози - під впливом лужного розчину ціаністого калію
відбувається бензоїнова (ацилоїнова) конденсація, через проміжне отримання двох
змішаних бензоїнів з утворенням L-аскорбінової кислоти (рис. 12).
Рис. 12. Схема синтезу L-аскорбінової кислоти конденсацією
бензоїнового типу
В якості початкової речовини можна застосувати і
ацетильований ціангідрин L-треози. Проте конденсація бензоїнового типу супроводжується
утворенням бензоїну з одного і того ж альдегіду (а не зі змішаних), а також
альдольною конденсацією альдегідів в лужному середовищі і, крім того, реакціями
ізомеризації, які властиві моносахаридам, що приводить до невеликого виходу
L-аскорбінової кислоти.
Дещо кращі результати виходять, якщо заздалегідь з альдози,
наприклад L-ксилози, через тетраацетил-L-ксилозу, отримати нітрил
тетраацетил-L-ксилонової кислоти і піддати його конденсації з ефіром
гліоксилової кислоти або його полуацеталем. Реакція йде у присутності метилату
натрію з відщепленням ціангрупи і проміжним утворенням L-треози, яка і
конденсується під впливом ціаністого натрію з етиловим ефіром гліоксилової
кислоти. L-Ксилозу отримують з D-глюкози через лактон L-гулонової кислоти з
подальшим розщеплюванням по Руффу або Веерману.
.3 Синтез L-аскорбінової кислоти конденсацією ефірів
заміщених б-оксикислот
Бензиловий ефір бензоїлгліколевої кислоти конденсують з
етиловим ефіром трибензоїл-L-треонової кислоти в заміщений ефір
3-кетогексонової кислоти, який піддають обмиленню і лактонізації в
L-аскорбінову кислоту (рис. 13), але вихід невеликий.
Рис. 13. Схема синтезу L-аскорбінової кислоти конденсацією
ефірів заміщених б-оксикислот
4.4 Синтез L-аскорбінової кислоти ціангідриновим (озон-ціанідним) методом
Цей синтез здійснюється через пентозон, що відповідає по
конфігурації гідроксильних груп у С4 і С5 будові
L-аскорбінової кислоти. Такий пентозон може бути отриманий через озазон тільки
з L-ліксози або L-ксилози (рис. 14). З останньої пентози були здійснені перші
синтези аскорбінової кислоти.
Рис. 14. Схема синтезу L-аскорбінової кислоти ціангідриновим
методом
Для отримання L-ксилозона L-ксилозу або відповідно L-ліксозу
при дії фенілгідразину перетворюють на озазон, який розкладають реакцією з
бензальдегідом або окисленням перекисом водню при каталітичній участі солей
двовалентного заліза. По іншому варіанту L-ксилозу піддають безпосередньому
окисленню ацетатом міді зазвичай в середовищі метилового спирту при
короткочасному кип'яченні. Вихід L-ксилозона 50-55%. Його конденсують з
ціаністим калієм (чи натрієм) у присутності хлористого кальцію у водному
розчині в нітрил, що таутомерний, що перетворюється на циклічну форму іміно-L-аскорбінової
кислоти.
Іміно-L-аскорбінова кислота, що містить реакційноздатну
ендіольну систему, може бути виділена в кристалічному виді, але зазвичай
роблять безпосереднє гідролітичне елимінування іміногрупи в розбавленій
мінеральній кислоті з утворенням L-аскорбінової кислоти. Синтез йде з
невисокими виходами. Таким же шляхом отримана мічена L(+)-acкopбінoвa-1-14О
кислота.Ліксоза може бути отримана з D-галактози через D-галактуронову кислоту
і L-галактонову кислоту, сіль якої окислюють перекисом водню по методу
укорочення вуглецевого ланцюга по Руффу. Іншим синтетичним шляхом L-ліксоза
може бути отримана з D-глюкози через L-сорбозу.
У цьому синтезі виходять з шестиатомних моносахаридів L-ряду,
які по конфігурації гідроксилів у С4 і С5 відповідають
будові L-аскорбінової кислоти. Можна застосувати 3-кетогексонові кислоти, проте
для їх синтезу немає прийнятного методу. Практичне значення мають тільки методи
синтезу через 2-кето-L-галактонову або 2-кето-L-гулонову кислоти,.
Отримання L-аскорбінової кислоти через 2-кето-L-галактонову
кислоту. У цьому методі синтезу використовують L-галактонову кислоту, для
отримання якої синтетичні методи не мають практичного значення із-за своєї
складності. Проте метод її отримання з D-галактуронової кислоти, що виділяється
ферментативним гідролізом з природних пектинвмісних речовин, вже представляє
деякий практичний інтерес (рис. 15). Так, натрій-кальцієва сіль D-галактуронової
кислоти виходить з виходом 18% від сухого бурякового жому, а її каталітичне
гідрування дає з виходом 93% L-галактонову кислоту.
Подальший синтез полягає у видаленні іона кальцію і утворенні
г-лактона L-галактонової кислоти майже з кількісним виходом, його окисленні
гіпохлоритом натрію при каталітичній участі окислу ванадію (V) в середовищі
безводного метилового спирту з додаванням фосфорного ангідриду в
2-кето-L-галактонову кислоту з виходом 24%. Потім отримують метиловий ефір
2-кето-L-галактонової кислоти, нейтралізують кислий розчин вуглекислим сріблом
і після випарювання фільтрату виділяють ефір з виходом близько 55%.
Лактонізацію і енолізацію метилового ефіру 2-кето-L-галактонової кислоти в
L-аскорбінову кислоту роблять у присутності метилату натрію у безводому спирті
або при нагріванні в спиртово-хлороформенній суміші у присутності хлористого
водню.
Рис. 15. Схема синтезу L-аскорбінової кислоти з
D-галактуронової кислоти
З 100 кг сухого бурякового жому виходить 2,3 кг
L-аскорбінової кислоти (близько 10% теоретичного виходу).
Отримання L-аскорбінової кислоти через 2-кето-L-гулонову
кислоту. Початкові моносахариди, вживані в цьому синтезі, - D-глюкоза,
L-сорбоза і L-гулоза - можуть бути отримані з доступних початкових продуктів.
Хоча 2-кето-L-гулонова кислота або ізомерна їй по положенню 3
2-кето-L-галактонова кислота (яка також може служити напівпродуктом для синтезу
L-аскорбінової кислоти) могла б бути отримана обережним окисленням L-ідози,
L-тагатози, L-талози або L-галактози, проте цей шлях синтезу може представити
тільки теоретичний інтерес із-за малої доступності початкових моносахаридів.
У одному з більше ранніх синтезів L-аскорбінової кислоти
L-copбозу або L-гулозу при дії фенілгідразину перетворюють на гулозазон, який
шляхом обробки бензальдегідом дає гулозон (рис. 16). Останнє з'єднання
обережним окисленням водним розчином брому перетворюють на 2-кето-L-гулонову
кислоту і потім енолизацией і лактонизацией - в L-аскорбінову кислоту.
L-Гулозу отримують досить складним синтезом з D-глюкози через
лактон L-гулонової кислоти.
Рис. 16. Схема синтезу L-аскорбииовой кислоти з L-сорбози або
L-гулози через гулозон
L-Сорбоза виходить ферментативним окисленням D-сорбіту, що
зустрічається в значній кількості в ягодах горобини. Промисловим джерелом
D-сорбіту служить D-глюкоза, що переходить в нього при відновленні.
Як видно з розгляду шляхів синтезу L-аскорбінової кислоти,
основною початковою сировиною для неї є D-глюкоза, в чистому вигляді отримувана
гідролізом кукурудзяного крохмалю. Найбільш простим і економічним технічним
синтезом L-аскорбінової кислоти з D-глюкози є синтез через L-сорбозу і
2,3,4,6-ди-O-ізопропіліден-2-кето-L-гулонову кислоту або 2-кето-L-гулонову
кислоту.
Описуваний нижче метод синтезу L-аскорбінової кислоти уперше
запропонували Рейхштейн і Грюсснер в 1934 р. Цей синтез (Рис. 17) проводиться
через наступні проміжні з'єднання: D-глюкоза (98%) → D-сорбіт (88%) →
L-сорбоза (82%) →
2,3,4,6-ди-O-ізопропіліден-L-сорбоза (95%) →
2,3,4,6-ди-O-ізопропіліден-2-кето-L-гулонова кислота (88%) →
L-аскорбінова кислота; вихід при перекристалізації складає близько 94%.
Загальний вихід L-аскорбінової кислоти понад 55% від теоретичного.
Рис. 17. Схема синтезу L-аскорбінової кислоти через L-сорбозу
і 2,3,4,6-дн-О-ізопропіліден-2-кето-L-гулонову кислоту
.6 Отримання препаратів L-аскорбінової кислоти
Aскорбинат натрію отримують з розчину L-аскорбінової кислоти
у водно-метанольній суміші нейтралізацією двовуглекислим натрієм при 55-70°С з
подальшим осадженням гарячим метиловим спиртом.
L-Aскорбинат кальцію отримують з водного розчину
L-аскорбінової кислоти і вуглекислого кальцію з подальшим осадженням спиртом
або ацетоном.
L-Aскорбинат заліза утворюється з L-аскорбінової кислоти і
вуглекислого заліза при осадженні спиртом.
Пальмітат L-аскорбінової кислоти отриманий з L-аскорбінової
кислоти і пальмитоилхлорида в диметилформаміді.
Дегідрo-L-aскорбінова кислота утворюється з L-аскорбінової
кислоти при окисленні SeO2 у безводному метиловому спирті (вихід
65-70%), при окисленні марганцевокислим калієм і азотистою кислотою при рН 1-5,
при окисленні йодом в метиловому спирті (вихід 23%).
При окисленні L-аскорбінової кислоти хлором в строго
регульованих умовах у безводному метиловому спирті у присутності надлишку
вуглекислого свинцю отриманий кристалічний метанольний аддукт
дегідро-L-аскорбінової кислоти з темп. пл. 102-105 С.
5. Ідентифікація препаратів аскорбінової кислоти
.1 Визначення достовірності препаратів аскорбінової кислоти
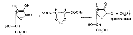
Для визначення достовірності кислоти аскорбіновою
використовується її здатність до окислювально-відновних реакцій:
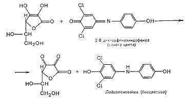
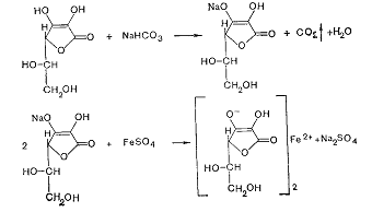
. При дії
на кислоту аскорбінову розчином нітрату срібла відбувається відновлення срібла
(темний осад); сама ж кислота аскорбінова окислюється і перетворюється на
кетоформу:
2. При дії
на кислоту аскорбінову розчином 2,6-ди- хлорфеноліндофенола (забарвленого в
синій колір) останній відновлюється, перетворюючись на безбарвну лейкооснову:
Окрім цих двох реакцій, рекомендованих ДФ, можна привести ще
цілий ряд реакцій, грунтованих на відновних властивостях кислоти аскорбінової:
· з реактивом Фелінга окисна мідь
відновлюється до закису міді червоного кольору:
· з розчином перманганату калію,
відбувається знебварвлення розчину внаслідок відновлення іона МnО4-
до іона Мn2+:
· з фериціанідом калію у присутності
розведеної хлороводневої кислоти, з подальшим додаванням розчину хлориду заліза
(III), утворюється берлінська блакить, що забарвлює розчин в синій колір:
· кислота аскорбінова з сіллю
двовалентного заліза утворює аскорбінат залоза, забарвлений у фіолетовий колір:
5.2 Кількісне визначення аскорбінової кислоти
Методи кількісного визначення кислоти аскорбінової також
базуються на її хімічних властивостях.
ДФ рекомендує йодатометричний метод. В цьому випадку
титрантом служить розчин йодата калію. Титрування ведуть у присутності йодиду
калію і хлороводневої кислоти (індикатор - крохмаль) до стійкого синього фарбування:
Кількісне визначення вмісту кислоти аскорбінової в розчинах
проводять також йодометрично, але тут потрібно враховувати ту обставину, що в
розчинах кислоти аскорбіновою є присутнім стабілізатор - гідросульфіт натрію
NaHSО3, який як відновник може реагувати з йодом. Тому заздалегідь
до розчину кислоти аскорбіновою додають розчин формальдегіду (формалін).
Останній зв'язує гідросульфіт натрію і, таким чином, йод витрачається тільки на
окислення кислоти аскорбінової:
Кислота аскорбінова може визначатися кількісно і методом
нейтралізації, як одноосновна кислота:
6. Практична частина
6.1 Методика дослідження
Назва препарату:
Розчин аскорбінової кислоти 5% для ін'єкцій
Склад:
Аскорбінової кислоти 50 г
Натрію гідрокарбонату 23,85 г
Натрію мета бісульфіту 1 г
Натрію сульфіту безводного 2 г
Води для ін'єкцій, насиченої вуглекислим газом до 1 л
Розчин фільтрують, розливають в ампули в струмі вуглекислого
газу по 1 і 5 мл і стерилізують текучою парою при 100 впродовж 15 хвилин.
Опис:
Прозора безбарвна або жовтуватого кольору рідина.
Ідентифікація:
1. До 2 мл препарату підливають 0,5 мл розчину
нітрату срібла; випадає темний осад.
2. При додаванні до розчину препарату по краплях розчину
2,6-дихлорфенолиндофенола синє забарвлення останнього зникає.
3. Питоме обертання від +22 до +24 (2% водний розчин).
4. рН 6,0 -7,0 (потенціометрично).
Кількісне визначення:
До 5 мл препарату додають 0,25 мл 1% розчину формальдегіду, 4
мл 2% розчину соляної кислоти, 0,5 мл 1% розчину йодиду калію, 2 мл розчину
крохмалю і титрують 0,1Н розчином йодата калію до появи стійкого слабо синього
фарбування. 1 мл 0,1Н розчину йодата калію відповідає 0,008806 г С6Н8О6
якою в 1 мл препарату повинно бути 0,0475-0,0525 г.
6.2 Результати дослідження
|
Назва і лікарська форма препарату
|
Показатель
|
Методика дослідження
|
Результат
|
Ідентифікація
|
До 2 мл препарату підливають 0,5 мл розчину нітрату
срібла; випадає темний осад.
|
Відповідає
|
|
Розчин аскорбінової кислоти 5% для ін'єкцій
|
Ідентифікація
|
При додаванні до розчину препарату по краплях
розчину 2,6-дихлорфенолиндофенола синє забарвлення останнього зникає.
|
Відповідає
|
|
Розчин аскорбінової кислоти 5% для ін'єкцій
|
Ідентифікація
|
Питоме обертання від +22 до +24 (2% водний розчин).
|
Відповідає
|
|
Розчин аскорбінової кислоти 5% для ін'єкцій
|
Кількісне визначення
|
До 5 мл препарату додають 0,25 мл 1% розчину
формальдегіду, 4 мл 2% розчину соляної кислоти, 0,5 мл 1% розчину йодиду
калію, 2 мл розчину крохмалю і титрують 0,1 н. розчином йодата калію до появи
стійкого слабо синього фарбування. 1 мл 0,1 н. розчину йодата калію
відповідає 0,008806 г С6Н8О6 якою в 1 мл препарату повинно бути 0,0475-0,0525
р.
|
Відповідає
|
Висновки
До 1912 р. не знали, що важке захворювання цинга викликано
недоліком вітаміну С, хоча вже у кінці XIX століття російський лікар В.В.
Пашутин висловлював думку про те, що цинга виникає внаслідок недоліку в
організмі якоїсь дуже важливої речовини. У 1922 р. Н.А. Бессонов виділив з
капусти кристалічну речовина, що виліковує цингу, а в 1928 р. угорський учений
Сент-Дьордьі виділив з кори надниркових залоз речовину кислого характеру з
різко вираженими поновлюючими властивостями і молекулярною масою, рівною 176.
Оскільки ця речовина також виліковувала цингу, воно було
назване кислотою аскорбіновою (від латів. «скорбут» - цинга).
При доказі структури кислоти аскорбіновим було встановлено,
що вона здатна утворювати тетраметиловий ефір, що говорить про наявність
чотирьох гідроксилів в її молекулі; при каталітичному гідруванні кислоти
аскорбіновою поглинається один моль водню, що підтверджує наявність одного
подвійного зв'язку в її молекулі. Було встановлено також, що молекула кислоти
аскорбіновою має характер лактонного кільця.
Усі ці дані привели до висновку, що кислота аскорбінова по
своїй структурі являється г-лактоном-2,3-дегідрo-L-гулонової кислоти.
У 1933 р. був здійснений синтез кислоти аскорбінової, який
підтвердив її будову. У промисловості синтез кислоти аскорбіновою здійснюється
з D-глюкози, яка у великих кількостях виходить при розщеплюванні крохмалю
сірчаною кислотою.
У молекулі кислоти аскорбіновим є два асиметричні атоми
вуглецю (С5, С6), що обумовлює існування чотирьох
оптичних ізомерів, усі вони отримані синтетично.
Кислота аскорбінова є білим кристалічним порошком кислого
смаку. Вона легко розчинна у воді, розчинна в спирті, нерозчинна в ефірі,
бензолі і хлороформі. Температура плавлення 190-193 °С (з розкладанням).
Кислота аскорбінова поводиться, як одноосновна кислота.
Кислотний характер її обумовлений воднем гідроксила в положенні 3, за рахунок
якого вона утворює солі.
Характерною частиною молекули кислоти аскорбінової, що
обумовлює її хімічні властивості і фізіологічну активність, є ендіольне
угрупування.
Завдяки рухливості водневих атомів енольних гідроксилів
кислота аскорбінова легко окислюється, причому окислення може йти в дві стадії.
-я стадія.
Характеризує оборотний процес окислення, при якому кислота аскорбінова
окислюється до дегідроаскорбінової кислоти (кетонна форма), здатної знову
відновлюватися до кислоти аскорбінової.
-я стадія.
У водному середовищі процес окислення може йти далі - до розкладання
дегідроаскорбінової кислоти. В цьому випадку продукти розкладання не можуть
знову перетворитися на кислоту аскорбінову, що характеризує безповоротний
процес - окислення з втратою фізіологічної активності.
Важливою властивістю для прояву фізіологічної дії кислоти
аскорбіновим є оборотний процес її окислення до дегідроаскорбінової кислоти,
тобто окислювально-відновна здатність кислоти аскорбінової. У цьому випадку
вона може бути донором, т.е. віддавати два атоми водню, окислюючись при цьому в
дегідроформу, і може бути акцептором водню, т. е. приймати його, перетворюючись
на енольну форму. Внаслідок оборотності цих процесів кислота аскорбінова може
служити переносником водню у ферментативних системах і, отже, брати участь в
окислювально-відновних процесах організму. Враховуючи цю важливу фізіологічну
роль кислоти аскорбіновою в 1-ій стадії окислення, щоб затримати подальший
процес його, при виготовленні розчинів аскорбінової кислоти для ін'єкцій до них
додають різні стабілізатори, наприклад, гідросульфіт натрію і інші, при цьому
забезпечують необхідні умови зберігання цих розчинів (відсутність світла,
зіткнення з металами, особливо солями заліза).
Для визначення достовірності кислоти аскорбіновою
використовується її здатність до окислювально-відновних реакцій:
. При дії
на кислоту аскорбінову розчином нітрату срібла відбувається відновлення срібла
(темний осад); сама ж кислота аскорбінова окислюється і перетворюється на
кетоформу
. При дії
на кислоту аскорбінову розчином 2,6-ди-хлорфеноліндофенола (забарвленого в
синій колір) останній відновлюється, перетворюючись на безбарвну лейкооснову.
Окрім цих двох реакцій, рекомендованих ГФ, можна привести ще
цілий ряд реакцій, грунтованих на відновних властивостях кислоти аскорбінової:
· з реактивом Фелинга окисна мідь
відновлюється до закису міді червоного кольору.
· з розчином перманганату калію,
відбувається знебварвлення розчину внаслідок відновлення іона МnО4- до іона Мn2+.
· з фериціанидом калію у присутності
розлученої хлороводневої кислоти, з подальшим додаванням розчину хлориду заліза
(III), утворюється берлінська блакить, що забарвлює розчин в синій колір.
· кислота аскорбінова з сіллю
двовалентного заліза утворює аскорбінат залоза, забарвлений у фіолетовий колір
Методи кількісного визначення кислоти аскорбінової також
базуються на її хімічних властивостях.
ДФ рекомендує йодатометричний метод. В цьому випадку
титрантом служить розчин йодата калію. Титрування ведуть у присутності йодиду
калію і хлороводневої кислоти (індикатор - крохмаль) до стійкого синього
фарбування.
Зміна в структурі молекули кислоти аскорбіновою призводить
або до зменшення, або до втрати вітамінної активності.
Значно знижує або повністю знищує фізіологічну активність
кислоти аскорбіновою збільшення числа вуглецевих атомів в молекулі.
Нині відомий більше десятка ізомерів і аналогів кислоти
аскорбінової, що є її антагоністами.
У кристалічній формі кислота аскорбінова стійка, але у водних
розчинах швидко окислюється і втрачає свою біологічну активність, особливо у
присутності повітря, слідів металів (внаслідок каталізу), в лужному або кислому
середовищі. Першою ознакою руйнування кислоти аскорбіновим є виникнення жовтого
відтінку.
Застосовують всередину, внутрішньом'язово і внутрішньовенно.
Випускається у вигляді порошку, пігулок по 0,05 г і в ампулах по 1 і 5 мл 5%
розчину.
Кислоту аскорбінову часто застосовують в комбінації з
глюкозою (пігулки аскорбінової кислоти з глюкозою), рутином (аскорутин). Вона
входить до складу полівітамінних препаратів.
Проаналізований розчин аскорбінової кислоти (вітаміну С) 5%
для ін'єкцій за показниками ідентифікації відповідають вимогам
нормативно-технічної документації.
Список використаної літератури
1. Фармацевтична хімія. Підручник для
студентів вищ. фармац. начальних закладів і фарм. фак. вищих мед. навчальних
закладів III-IV рівня акредитації / За заг. ред.
П.О. Безуглого. - Вінниця: Нова книга, 2008. - 560 с.
2. Арзамасцев А.П. Фармакопейний
анализ - М.: Медицина, 1971.
. Беликов В.Г.
Фармацевтическая химия. В 2 частях. Часть 1. Общая фармацевтическая химия:
Учеб. для фармац. ин-тов и фак. мед. ин-тов. - М.: Висш. шк., 1993. - 432 с.
. Глущенко Н.Н.
Фармацевтическая химия: Учебник для студ. сред. проф. учеб. заведений / Н.Н.
Глущенко, Т.В. Плетенева, В.А. Попков; Под ред. Т.В. Плетеневой. - М.:
Издательский центр «Академия», 2004. - 384 с.
. Драго Р. Физические методы в
химии - М.: Мир, 1981.
. Кольтгоф И.М., Стенгер В.А.
Объемный анализ В 2 томах - М.: Государственное научно-техническое издательство
химической литературы, 1950.
. Коренман И.М.
Фотометрический анализ - М.: Химия, 1970.
8. Коростелев П.П. Фотометрический и
комплексометрический анализ в металлургии - М.: Металлургия, 1984, 272 с.
9. Логинова Н.В., Полозов Г.И.
Введение в фармацевтическую химию: Учеб. пособие - Мн.: БГУ, 2003.-250 с.
10. Мелентьева Г.А., Антонова Л.А. Фармацевтическая
химия. - М.: Медицина, 1985.- 480 с.
11. Мискнджьян С.П. Кравченюк Л.П. Полярография лекарственных
препаратов. - К.: Вища школа, 1976.
232 с
12. Фармацевтическая химия: Учеб. пособие / Под ред. Л.П. Арзамасцева. - М.: ГЕОТАР-МЕД, 2004. - 640 с.
13. Фармацевтический анализ лекарственных средств / Под
общей редакцией В.А. Шаповаловой - Харьков: ИМП «Рубикон»,
1995
14. Фармацевтичний аналіз: Навч.
посіб. для студ. вищ. фармац. навч. закл. III-IV рівнів акредитації/П.О. Безуглий, В.О. Грудько,
С.Г. Леонова та ін.; За ред. П.О. Безуглого,- X.: Вид-во НФАУ; Золоті сторінки,
2001.- 240 с.
15. Халецкий A.M. Фармацевтическая химия - Ленинград: Медицина, 1966.
. Ешворт М.Р. Титриметрические
методы анализа органических соединений кн. 1, 2 - М.: Химия, 1972.