Структура, физические и химические свойства моносахаридов (на примере глюкозы и фруктозы)

  • Вид работы:
    Курсовая работа (т)
  • Предмет:
    Химия
  • Язык:
    Русский
    ,
    Формат файла:
    MS Word
    1,09 Мб
  • Опубликовано:
    2015-01-26
Вы можете узнать стоимость помощи в написании студенческой работы.
Помощь в написании работы, которую точно примут!

Структура, физические и химические свойства моносахаридов (на примере глюкозы и фруктозы)

ФЕДЕРАЛЬНОЕ ГОСУДАРСТВЕННОЕ БЮДЖЕТНОЕ ОБРАЗОВАТЕЛЬНОЕ УЧРЕЖДЕНИЕ ВЫСШЕГО ПРОФЕССИОНАЛЬНОГО ОБРАЗОВАНИЯ «БАШКИРСКИЙ ГОСУДАРСТВЕННЫЙ УНИВЕРСИТЕТ»







Курсовая работа

«Структура, физические и химические свойства моносахаридов (на примере глюкозы и фруктозы)»

Студента 3 курса Насыровой Ю.Р.

Научный руководитель:

Доктор биологических наук, профессор

Усманов Искандер Юсуфович







Уфа - 2013

ВВЕДЕНИЕ

Впервые термин «углеводы» был предложен профессором Дерптского (ныне Тартуского) университета К.Г. Шмидтом в 1844 г. В то время предполагали, что все углеводы имеют общую формулу Cm(H2O)n, т.е. углевод + вода. Отсюда название «углеводы». Например, глюкоза и фруктоза имеют формулу С(Н2O)6, тростниковый сахар (сахароза) C12 (H2O)11, крахмал [С62O)5]n и т.д. В дальнейшем оказалось, что ряд соединений, по своим свойствам относящихся к классу углеводов, содержат водород и кислород в несколько иной пропорции, чем указано в общей формуле (например, дезоксирибоза С5Н10О4). В 1927 г. Международная комиссия по реформе химической номенклатуры предложила термин «углеводы» заменить термином «глициды», однако старое название «углеводы» укоренилось и является общепризнанным. (Браунштейн А. Е. 1987)

Химия углеводов занимает одно из ведущих мест в истории развития органической химии. Тростниковый сахар можно считать первым органическим соединением, выделенным в химически чистом виде. Произведенный в 1861 г. A.M. Бутлеровым синтез (вне организма) углеводов из формальдегида явился первым синтезом представителей одного из трех основных классов веществ (белки, липиды, углеводы), входящих в состав живых организмов. Химическая структура простейших углеводов была выяснена в конце XIX в. в результате фундаментальных исследований Э. Фишера. Значительный вклад в изучение углеводов внесли отечественные ученые А.А. Колли, П.П. Шорыгин, Н.К. Кочетков и др. В 20-е годы нынешнего столетия работами английского исследователя У. Хеуорса были заложены основы структурной химии полисахаридов. Со второй половины XX в. происходит стремительное развитие химии и биохимии углеводов, обусловленное их важным биологическим значением. (Березов Т. Т. и др., 1998г.)

К классу углеводов относят органические соединения, содержащие альдегидную или кетонную группу и несколько спиртовых гидроксилов. Их элементарный состав выражается общей формулой CnH2nOn. К углеводам относятся соединения, обладающие разнообразными и часто совершенно различными свойствами. Среди них есть вещества низкомолекулярные и высокомолекулярные, кристаллические и аморфные, растворимые в воде и не растворимые в ней, гидролизуемые и негидролизуемые, способные очень легко окисляться и сравнительно устойчивые к действию окислителей и т. д. Это многообразие качеств находится в тесной связи с химической природой углеводов, со строением их молекул; оно предопределяет то или иное участие углеводов в процессах жизнедеятельности и в построении тканей животных и растений. (Ленинджер, А. 1985)

Во всех без исключения организмах углеводы служат материалом, при окислении которого выделяется энергия, необходимая для осуществления химических реакций. Такие углеводы рассматривают как резервные. Наряду с этим промежуточные продукты окисления углеводов используются для синтеза многих других органических соединений. Перечисленные функции углеводов (структурная, энергетическая и метаболическая) рассматривают как канонические. Однако в последнее время выяснено, что углеводам присущи многие другие, нестандартные, неканонические функции. Многие углеводы и углеводсодержащие биополимеры обладают уникальным строением и специфичностью. Так, групповые вещества крови, являющиеся гликопротеинами, где 80% молекулы представлены углеводами, именно за счет ассимметрических центров, стереоизомеров, таутомеров и конформеров последних приобретают поразительную специфичность взаимодействия. Олигосахаридные фрагменты гликопротеинов и гликолипидов клеточных стенок выдвинуты как антенны за пределы клеточных оболочек и служат локаторами, выполняющими рецепторные функции. В частности, при их посредстве с клетками связываются белковые токсины (например, холерный, ботулический, столбнячный, дифтерийный, шигатоксины и др.), бактерии (например, кишечная палочка с олигосахаридами, составленными из остатков маннозы), вирусы (например, вирус гриппа) и т. п. Структуры олигосахаридных фрагментов иммуноглобулинов высоковоспроизводимы и умеренно консервативны, что обеспечивает специфические углеводно белковые взаимодействия между доменами этих удивительно тонко организованных защитных белков. (Филиппович Ю. Б. 1999)

Более 250 ферментов обладают олигосахаридными фрагментами, которые избирательно взаимодействуют с многочисленными лектинами - белками, дающими конъюгаты с углеводами. Таким образом, наряду с нуклеиновыми кислотами и белками углеводы с современной точки зрения являются информационными молекулами, т. е. кодовыми словами в молекулярном языке жизни.

Благодаря этому все более ясно начинают вырисовываться контуры нового направления в биохимии углеводов - гликобиология и гликотехнология. В зависимости от состава, строения и свойств, в частности от поведения при нагревании с разбавленными водными растворами кислот (т. е. в зависимости от отношения к гидролизу), углеводы делят на две группы: простые и сложные. Простые углеводы не подвергаются гидролизу. Сложные углеводы при гидролизе распадаются с образованием простых углеводов. (Филлипович Ю. Б. и др.)

Данная работа будет посвящена рассмотрению вопросов о структуре, физических и химических свойствах такой группы углеводов как моносахариды.

МОНОСАХАРИДЫ

Общая характеристика

Ввиду того, что простые углеводы не гидролизуются, их еще называют моносахаридами. Моносахариды можно рассматривать как производные многоатомных спиртов, содержащие карбонильную (альдегидную или кетонную) группу. Если карбонильная группа находится в конце цепи, то моносахарид представляет собой альдегид и называется альдозой; при любом другом положении этой группы моносахарид является кетоном и называется кетозой.

Простейшие представители моносахаридов-триозы: глицеральдегид и диоксиацетон. При окислении первичной спиртовой группы трехатомного спирта-глицерола-образуется глицеральдегид (альдоза), а окисление вторичной спиртовой группы приводит к образованию диоксиацетона (кетоза). (Анисимов А. А. 1986)


Классификация и номенклатура. Строение молекулы

Существует несколько принципов классификации моносахаридов: моносахариды делят на альдозы и кетозы в зависимости от наличия в них альдегидной или кетомой группы; возможно деление по числу углеродных атомов, входящих в состав молекулы (триозы, тетрозы, пентозы, гексозы, гептозы, октозы и т. д.).


Глюкоза и фруктоза являются изомерами - их строение различно, но молекулярные формулы совпадают - С6H12O6.

Глюкоза

Фруктоза

Сахара могут также существовать и в виде циклов. Сахара с шестичленными циклами называю пиранозными, а сахара с пятичленным циклом называют фуранозными.


Сахара, содержащие более семи углеродных атомов, называют высшими сахарами. По химической природе все моносахариды делят на нейтральные (содержат только карбонильные и спиртовые группы); кислые (содержат еще и карбоксильные группы) и амино-сахароза, в которых кроме карбонильных и спиртовых групп есть еще и аминогруппа, обусловливающая основные свойства этих соединений. Известны также полифункциональные сахара, содержащие в своем составе помимо карбонильных и гидроксильных групп одновременно и карбоксильную и аминогруппы, как например, нейраминовая кислота. (Николаев А. Я. 1989)

В основу, наименований разнообразных представителей моносахаридов в большинстве случаев положены тривиальные названия нейтральных сахаров (ксилоза, рибоза, глюкоза, фруктоза). От них производятся наименования аминосахаров (глюкозамин, галактозамин) и карбоксилсодержащих Сахаров (глюкуроновая кислота, манноновая кислота, галактаровая кислота). Тривиальные названия моносахаридов обычно складываются из двух частей: корень, указывает на какое-либо свойство данного сахара или его происхождение, а окончание -оза - на его принадлежность к углеводам. Например, название «фруктоза» указывает на содержание этого моносахарида во фруктах.

Наименованиям кетоз придается окончание -улоза, например, кетоза С4 - тетрулоза, кетоза С5 - пентулоза. Часто в названиях моносахаридов сочетаются два принципа - указывается как наличие альдегидной или кетонной группировки, так и число атомов углерода: альдопентоза, кетогексоза.

Для обозначения разнообразных производных моносахаридов нумеруют атомы углерода, начиная от альдегидной группы или с того конца, к которому ближе кетогруппа, и положение заместителей указывают цифрой, а также тот атом, с которым связан заместитель, если он не связан непосредственно с углеродом. Например: 2-дезокси-2-амино-3,4-ди-0-метилглюкоза. (Анисимов А. А. 1986)


Стереоизомерия моносахаридов

Все моносахариды содержат асимметричные атомы углерода: альдотриозы-один центр асимметрии, альдотетрозы-2, альдопентозы-3, альдогексозы-4 и т.д. Кетозы содержат на один асимметричный атом меньше, чем альдозы с тем же числом углеродных атомов. Следовательно, кетотриоза диоксиацетон не содержит асимметричных атомов углерода. Все остальные моносахариды могут существовать в виде различных стереоизомеров.

Общее число стереоизомеров для любого моносахарида выражается формулой N = 2n, где N-число стереоизомеров, а n-число асимметричных атомов углерода. Глицеральдегид содержит только один асимметричный атом углерода и поэтому может существовать в виде двух различных стереоизомеров.

Изомер глицеральдегида, у которого при проекции модели на плоскость ОН-группа у асимметричного атома углерода расположена с правой стороны, принято считать D-глицеральдегидом, а зеркальное отражение - L глицеральдегидом, например глюкоза:


Альдогексозы содержат четыре асимметричных атома углерода и могут существовать в ввде 16 стереоизомеров (24), представителем которых является, например, глюкоза. Для альдопентоз и альдотетроз число стереоизомеров равно соответственно 23 = 8 и 22 = 4. (Березов Т. Т. 1990)

Принадлежность моносахарида к D- или L-ряду определяется по расположению ОН-группы у последнего (считая от альдегидной или кето-группы) хирального атома углерода. Если она расположена справа от углеродной цепи, то молекулу относят к D-ряду, если слева - к L-ряду. Обозначения D и L не служат указанием на направление вращения плоскости поляризации. Некоторые моносахариды, отнесенные к D-ряду, являются левовращающими, а многие представители L-ряда - правовращающими. Чтобы указать и принадлежность моносахарида к D- или L-ряду и направление вращения плоскости поляризации, после символов D или L перед названием сахара в скобках ставят знак (+) или (-), обозначающий правое или левое вращение. (Уайт А., и др. 1984)

В живых организмах моносахариды присутствуют в преобладающем большинстве случаев в D-конфигурации. Исключение составляют L-арабиноза, относительно редко встречающиеся L-moho-сахариды у бактерий, L-рамноза и L-сорбоза растений. (www.chem03.ru)


Так как число стереоизомеров для альдогексоз с четырьмя хиральными центрами равно 24, т. е. шестнадцати, то их можно сгруппировать в восемь пар энантиомеров. D- и L-изомеры каждой из 8 пар энантиомеров альдогексоз имеют одинаковые химические и физические свойства и отличаются только направлением вращения плоскости поляризованного света.

Эквимолярная смесь энантиомеров (D- и L-форм) называется рацемической смесью или рацематом и не обладает оптической активностью. Если сравнивать стереоизомеры моносахаридов, не являющихся энантиомерами, различия в структуре между ними достаточны для того, чтобы у этих моносахаридов были разные химические свойства, а также температура плавления и кипения, растворимость и т. д. Такие пары стереоизомеров называют диастереомерами. Например, D-манноза является энантиомером по отношению к L-маннозе и диастереомером по отношению к 14 другим гексозам (D- и L-формы галактозы, глюкозы, гулозы, идозы и т. д.).(Стоддарт Дж.,1975)

Диастереомеры, отличающиеся по конфигурации только при одном из нескольких хиральных центров, называются эпимерами В природе особенно часто встречаются такие эпимеры: глюкоза и галактоза (различия по конфигурации только С-4), глюкоза и манноза (различия по С-2). Часто к последней паре эпимеров добавляют и фруктозу, хотя это неправильно - различия между фруктозой и глюкозой имеют структурный характер. Превращение одного эпимера в другой получило название эпимеризации.

Характерной особенностью моносахаридов является их ярко выраженная способность к таутомерным превращениям. Различают два вида таутомерии моносахаридов: кето-енольную и кольчато-цепную.

Кето-енольная таутомерия моносахаридов состоит в переходе формы с карбонильным кислородом в альдегидной или кетонной группе в енольную форму (с ОН-группой при углеродном атоме, связанном двойной связью).

Благодаря кето-енольной таyтомерии эпимерные моносахариды могут превращаться друг в друга.

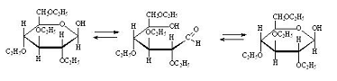
Кольчато-цепная таутомерия моносахаридов заключается в существовании кольчатых (циклических) форм и цепной (т. е. с открытой углеродной цепью) формы моносахарида, находящихся в динамическом равновесии. Замыкание цикла осуществляется при сближении СО-группы моносахарида с гидроксилом углеродного атома, удаленного от нее на 3-4 звена. По карбонильному кислороду проходит реакция присоединения атома водорода упомянутой спиртовой-группы, в результате чего образуется новый гидроксил, получивший название гликозидвого или полуацетального. (Комов, И.П. 2005)

Любой моносахарид с конкретными физическими свойствами (температура плавления, растворимость и т.д.) характеризуется специфической величиной удельного вращения. Изменение удельного вращения при стоянии (во времени) растворов моносахаридов называется муторотацией. Это явление связано с тем, что в растворе устанавливается равновесие между всеми возможными кольчатыми и цепной модификациями глюкозы, каждая из которых обладает своим удельным вращением, а их смесь - средним значением удельного вращения. Известно, что альдегиды и кетоны легко и обратимо реагируют с эквимолярным количеством спирта, с образованием полуацеталя. (березов) Реакция образования полуацеталя возможна в пределах одной молекулы, если это не связано с пространственными ограничениями. (Н.Н.Яковлев, 1974) По теории А. Байера, внутримолекулярное взаимодействие спиртовой и карбонильной групп наиболее благоприятно, если оно приводит к образованию пяти- или шестичленных циклов. При образовании полуацеталей возникает новый асимметрический центр (для D-глюкозы это С-1). Шестичленные кольца Сахаров называют пиранозами, а пятичленные-фуранозами. α-Форма-это форма, у которой расположение полуацетального гидроксила такое же, как у асимметричного углеродного атома, определяющего принадлежность к D- или L-ряду. Иными словами, в формулах с α-модификацией моносахаридов D-ряда полуацетальный гидроксил пишут справа, а в формулах представителей L-ряда-слева. При написании β-формы поступают наоборот. (Е.С. Северин, 2005)

Таким образом, явление мутаротации связано с тем, что каждый твердый препарат углеводов представляет собой какую-либо одну циклическую (полуацетальную) форму, но при растворении и стоянии растворов эта форма через альдегидную превращается в другие таутомерные циклические формы до достижения состояния равновесия. При этом значение удельного вращения, характерное для исходной циклической формы, постепенно меняется. Наконец, устанавливается постоянное уцельное вращение, которое характерно для равновесной смеси таутомеров. Например, известно, что в водных растворах глюкоза находится главным образом в виде α- и β-глюкопираноз, в меньшей степени-в виде α- и β-глюкофураноз и совсем небольшое количество глюкозы-в виде альдегидной формы.(Ермолаев М.В., 1983)

Следует подчеркнуть, что из различных таутомерных форм глюкозы в свободном состоянии известны лишь α- и β-пиранозы. Существование малых количеств фураноз и альдегидной формы в растворах доказано, но в свободном состоянии они не могут быть выделены вследствие своей неустойчивости.

В 20-х годах У. Хеуорс предложил более совершенный способ написания структурных формул углеводов. Формулы Хеуорса-шести- или пятиугольники, причем они изображены в перспективе: кольцо лежит в горизонтальной плоскости. Находящиеся ближе к читателю связи изображают более жирными линиями (углеродные атомы цикла не пишут). Заместители, расположенные справа от остова молекулы при ее вертикальном изображении, помещают ниже плоскости кольца, а заместители, находящиеся слева,- выше плоскости кольца. Обратное правило применяют только для того единственного углеродного атома, гидроксильная группа которого участвует в образовании циклического полуацеталя. Так, у D-сахаров группу СН2ОН пишут над этим атомом углерода, а водородный атом при нем-внизу.(Страйер Л., 1984)

Наконец, следует помнить, что при написании структурных формул по Хеуорсу гидроксильная группа при С-1 должна быть расположена ниже плоскости кольца в α-форме и выше-в β-форме:


Проекционные формулы Хеуорса не отражают подлинной конформации моносахаридов.

Конформации моносахаридов

Конформации углеводов крайне разнообразны. Известно, что шестичленные, алициклические соединения (циклогексан) существуют в геометрически различных формах, которые принимает молекула, без нарушения длины валентных связей и углов между ними. Указанные формы называются конформационными изомерами.

Для моносахаридов, которым присуща в основном пиранозная структура, конформационная изомерия также характерна. Однако если для циклогексана известно всего две конформации - типа кресла и типа лодки:

моносахарид глюкоза фруктоза

 

Конформации типа: кресла и лодки

«Кресло» является более жесткой, устойчивой, конформацией, а форма «лодки» более подвижна, существует несколько ее вариантов. Хуже исследованы конформации фураноз. Полагают, что фуранозное кольцо может существовать или в конформации «конверт» (четыре атома в одной плоскости, а один выступает из нее), или в «твист» форме, когда три атома лежат в одной плоскости, а два вступают из нее.

Кольчато-цепная таутомерия моносахаридов является свойством, которое зависит от одновременного присутствия в их молекулах СО-группы и спиртовых радикалов. Поведение гликозидного гидроксила, возникающего при образовании циклической формы моносахарида, своеобразно: он гораздо активнее вступает в химические реакции, чем остальные гидроксильные группы. Производные циклических моносахаридов, полученные в результате замещения атома Н гликозидного гидроксила на какой-либо радикал, получили название гликозидов, а сам этот радикал именуют агликоном. (Степаненко Б. Н. 1977)

ФИЗИЧЕСКИЕ СВОЙСТВА МОНОСАХАРИДОВ

Моносахариды- твердые, бесцветные, кристаллические вещества, хорошо растворимые в воде и плохо растворимые (или даже совсем нерастворимые) в органических растворителях (спирт, эфир). Всем им присущ сладкий вкус, но сладость Сахаров неодинакова. Если сладкий вкус сахарозы принять за 100%, то у фруктозы он будет равен 173%, глюкозы - 74, ксилозы - 40, лактозы - 16%. Растворы моносахаридов обладают нейтральной реакцией.(Анисимов А. А. 1986)

Глюкоза - бесцветное кристаллическое вещество со сладким вкусом, хорошо растворимое в воде. Фруктоза образует безводные кристаллы в виде игл, температура плавления 102-105 С. Молекулярный вес фруктозы примерно 180,16; удельный вес 1,6 г/см3; калорийная ценность примерно та же, что и других сахаров, 4 ккал на 1г. Фруктозе свойственна некоторая гигроскопичность. Концентрированные составы фруктозы сохраняют влагу. Фруктоза легко растворима в воде и спирте. При 20оС насыщенный раствор фруктозы имеет концентрацию в 78,9%, насыщенный раствор сахарозы 67,1%, а насыщенный раствор глюкозы - только 47,2%. Вязкость растворов фруктозы ниже вязкости растворов глюкозы и сахарозы.(В.В.Меньшиков, 1986)


Многообразие химических свойств моносахаридов объясняется их дифункциональностью. Они проявляют свойства многоатомных спиртов, оксосоединений и полуацеталей. В зависимости от условий и реагента они могут вступать в реакции как в открытой, так и в циклической (полуацетальной) форме. Так, по альдегидной группе для них характерны реакции окисления и восстацовления, замещения карбонильного кислорода, поликонденсации (осмоления) и др., по спиртовым - образование простых и сложных эфиров и другие взаимодействия, хорошо известные из курса органической химии. В биохимии же особое значение придают окислительно-восстановительным реакциям моносахаридов и реакциям образования их фосфорных эфиров. (Яковлева Н.Н., 1973)

Действие кислот и оснований на моносахариды

Моносахариды устойчивы в горячих разбавленных растворах неорганических кислот, что позволяет количественно выделять их в неизмененном виде при гидролизе полисахаридов. Под действием концентрированных кислот моносахариды дегидратируются и дают циклические альдегиды - фурфурала. При этом из гексоз образуется гидроксиметилфурфурол, а из пентоз - фурфурол. Образующиеся фурфурали могут вступать с фенолами или их производными в реакцию конденсации, давая окрашенные продукты. Это свойство положено в основу некоторых цветных реакций на сахара. Кетозы образуют гидроксиметилфурфурол с большей скоростью, чем альдогексозы, на этом основано определение кетогексоз по Селиванову. (Робертс Дж.,1978)


Разбавленные водные растворы оснований при комнатной температуре вызывают перегруппировку относительно аномерного атома углерода и соседнего с ним, не затрагивая замещающих групп при других углеродных атомах, т. е. происходит эпимеризация. Переход осуществляется через енольную форму, одинаковую для всех трех Сахаров. При проведении этой реакции обычно используют растворы Ва(ОН)2 или Са(ОН)2. При нагревании с разбавленными щелочами или при высоких их концентрациях свободные моносахариды подвергаются внутримолекулярным перегруппировкам, фрагментации и конденсации. При конденсации Сахаров образуются окрашенные продукты (от желтых до темно-коричневых), причем интенсивность окраски зависит от концентрации углевода. (Мусил Я. и др., 1984)

Окисление моносахаридов

При окислении альдоз в кислой среде образуется три класса сахарных кислот: альдоновые, альдаровые и альдуроновые.

В присутствии слабых окислителей (гипоиодит натрия, бромная вода) или под действием специфических ферментов у альдоз окисляется альдегидная группа и образуются альдоновые кислоты (например, из глюкозы - глюконовая).


Глюконовая кислота в виде кальциевых солей применяется в медицине. Ее фосфорилированная форма играет важную роль в качестве промежуточного продукта углеводного обмена. (Кочетков Н.К., 1967)

При более сильном окислении (действие азотной кислоты) окисляются как альдегидная группа, так и первичная спиртовая группа у последнего углеродного атома и образуются дикарбоновые, или альдаровые кислоты. Продукт такого окисления D-глюкозы называется D-глюкаровой или сахарной кислотой, а D-галактозы - D-галактаровой или слизевой.

Большого биологического значения кислоты этого класса не имеют.

В отличие от них очень важен третий класс кислот - альдуроновые кислоты. Они образуются при окислении только спиртовой группы у С-6. Уроновые кислоты являются компонентами многих полисахаридов. (Хаф Л., 1986)


При окислении альдоз в щелочной среде сначала образуются альдоновые кислоты, а затем происходит расщепление углеродного скелета. При этом появляется ряд продуктов, обладающих сильной восстанавливающей способностью, в результате чего моносахариды легко восстанавливают такие слабые окислители, как оксид серебра (I) и гидроксид меди (II), до металлического серебра и оксида меди (I). Реакции простых Сахаров с Ag2О, Cu(OH)2 и фелинговой жидкостью [щелочной раствор оксида меди (II) и виннокислого калия и натрия] широко применяют для открытия моносахаридов и количественного их определения. Кетозы и в кислой, и в щелочной среде окисляются с разрывом углеродной цепи.

ОВР с оксидом серебра (I) и гидроксидом меди (II) используют как качественные реакции на альдозы и кетозы:



Кетозы дают те же самые реакции, так как в щелочной среде происходит их изомеризация в альдозы.

Восстановление моносахаридов

Карбонильная группа моносахарида может быть восстановлена газообразным водородом или амальгамой натрия в воде с образованием соответствующих многоатомных спиртов (иногда называются сахароспиртами). Из D-глюкозы образуется спирт сорбит, а D-манноза дает маннит.


При восстановлении амальгамом натрия, алюмогидридом лития или боргидридом натрия приводит к образованию шестиатомных спиртов:


При восстановлении альдогексоз иодоводородом при нагревании образуется 2-иодгексан.

Образование оксимов

Моносахариды легко реагируют с гидроксиламином NH2OH, дальшейшая дегидратация приводит к нитрилам, которые при отщепление циановодорода образуют альдозы с меньшим числом атомов углерода. Так можно установить строение моносахарида и его принадлежность к D или L ряду.


Оксинитрильный синтез

Присоединение циановодородной кислоты к карбонильному углероду моносахарида дает два диастереомера, различающиеся конфигурацией первого хирального центра. Последующим гидролизом оксинитрилав кислоту, образованием лактона и его восстановлением можно получить гептозы. Этим методом можно наращивать углеродную цепь моносахарида.


Эпимеризация моноз

Происходит под действием щелочей и связана с образованием общего енола. В результате образуется равновесная смесь глюкозы, маннозы и фруктозы.


Реакция с фенилгидразином

Дает на первой стадии фенилгидразон, а затем следующая молекула фенилгидразина окисляет соседний с карбонильным углеродом гидроксил, гидролиз которого дает кетоальдегид, а дальнейшее восстановление - кетогексозу:


Образование гликозидов

Гликозидный гидроксил легко вступает в реакции со спиртами, аминами, тиозами, образуя O, N или S-гликозиды, например, при действии на β-D-глюкопиранозу этанола в присутствии соляной кислоты образуется О-этилгликозид β-D-глюкопиранозы:


Образующийся гликозид уже не способен переходить в открытую форму.

Алкилирование

Происходит под действием алкилгалагенидов, при этом алкилируются все гидроксилы:

При гидролизе образовавшейся пентаэтил- β-D-глюкопиранозы освобождается только гликозидный гидроксил:


В результате получается тетраэтил-β-D-глюкопираноза, наличие свободного гликозидного гидроксила позволяет ей переходить в открытую форму и, соответственно в тетраэтил-α- D-глюкопиранозу:


Ацилирование

Под действием галагенангидридо и ангидридов кислот приводит к образованию ацильных производных, например, при ацителировании β-D-глюкопиранозы образуется пентаацетил- β-D-глюкопираноза:


Образование хелатных комплексов

Как многоатомные спирты моносахариды при действии гидроксидов переходных металлов, например гидроксида меди (II), образуют растворимые комплексы. Комплексообразование происходит за счет кислородов гидроксильных групп:


Брожение

Моносахариды (например, глюкоза) способны расщепляться в зависимости от природы фермента до этанола, масляной или молочной кислоты:


Процесс брожения очень сложен. В вышеприведенном уравнении даны только исходное вещество и конечные продукты брожения. В результате длительного изучения процесса брожения был обнаружен целый ряд промежуточных продуктов брожения. (www.chem03.ru <http://www.chem03.ru>, 2009-2013)

ЗАКЛЮЧЕНИЕ

Моносахариды - органические соединения, одна из основных групп углеводов. Они содержат гидроксильные группы и альдегидную (альдозы) или кетогруппу (кетозы). Моносахариды подразделяют на триозы, тетрозы, пентозы, гексозы и т. д. (3, 4, 5, 6 и т. д. атомов углерода в цепи). Природные моносахариды с углеродной цепью, содержащей более 9 атомов углерода, не обнаружены. Для моносахаридов содержащих n асимметричных атомов углерода, возможно существование 2n стереоизомеров. Моносахариды способны вступать в химические реакции, свойственные карбонильной и гидроксильной группам. Характерная особенность моносахаридов - способность существовать в открытой (ациклической) и циклической формах и давать производные каждой из форм. Простые углеводы содержащие 5-членный цикл, называются фуранозами, 6-членный - пиранозами. Моносахариды входят в состав сложных углеводов (гликозиды, олигосахариды, полисахариды) и углеводсодержащих биополимеров (гликопротеиды, гликолипиды и др.). При этом они связаны друг с другом и с неуглеводной частью молекулы гликозидными связями. При гидролизе под действием кислот или ферментов эти связи могут рваться с высвобождением простых углеводов. В природе свободные моносахариды, за исключением D-глюкозы и D-фруктозы, встречаются редко. Стоит еще добавить, что биосинтез его из углекислого газа и воды происходит в растениях путем фотосинтеза. Распад моносахаридов в организме (например, спиртовое брожение, гликолиз) сопровождается выделением энергии. Некоторые свободные моносахариды и их производные (например, глюкоза, фруктоза и её дифосфат и др.) используются в пищевой промышленности и медицине.

СПИСОК ИСПОЛЬЗОВАННОЙ ЛИТЕРАТУРЫ

1.      Березов, Т.Т. Биологическая химия / Т. Т. Березов, Б.Ф. Коровкин. - М.: Медицина, 1990.-543 с.

.        Биохимия. Учебник для ИФК. Под редакцией В.В.Меньшикова и Н.И.Волкова. Москва. ФиС. 1986.

.        Биохимия. Учебник для ИФК. Под редакцией Н.Н.Яковлева. Москва. ФиС. 1974.

.        Биохимия / под ред. Е.С. Северина - М., ГЭОТАР-Медиа, 2005

.        Бочков А.Ф., Афанасьев В.А., Заиков Г.Е. Углеводы. М.: Наука, 1980. С. 7 - 21, 48 - 85.

.        Браунштейн А. Е. На стыке химии и биологии. - М.: Наука 1987.

.        Комов, И.П. Биологическая химия / И.П. Комов. - М.: Мир, 2005- 532 с

.        Кочетков Н.К., Бочков А.Ф., Дмитриев Б.А. и др. Химия углеводов. М.: Химия, 1967. С. 6 - 9, 15 - 46.

.        Кухта, В.К. Биологическая химия / В.К. Кухта и [др.]. - Москва- Минск, 2008- 688 с.

.        Ленинджер, А. Основы биохимии / А. Ленинджер. - М., 1985. - 1-3 т.

.        Мецлер Д. Биохимия. М.: 1980 г. Т. 1-3

.        Мусил Я., Новакова О., Кунц К. Современная биохимия в схемах / Я. Мусил - М., Мир, 1984.

.        Николаев, А.Я. Биологическая химия / А.Я Николаев -М.: Высшая школа, 1989.

.        Общая органическая химия, пер. с англ., т. 11, М., 1986, с. 127-202;

.        Основы биохимии / Под ред. А.А. Анисимова. -М.: Высшая школа, 1986.-546 с.

.        Основы биохимии/ Ленинджер, А.., Хендлер Ф., Смит Э., Хилл В., Леман И., М.: 1981г.

.        Робертс Дж., Касерио М. Основы органической химии. М.: Мир, 1978. Т. 2. С. 5 - 18.

.        Стоддарт Дж., Стереохимия углеводов, пер. с англ., М., 1975;

.        Страйер Л. Биохимия - М. Мир - 1984. Т. 1-3

.        Строев Е. А. Биологическая химия; М. - Всшая школа, 1986.

.        Степаненко Б. Н., Химия и биохимия углеводов. Моносахариды, М., 1977;

.        Филиппович, Ю.Б. Основы биохимии / Ю.Б. Филиппович - М.: Агар, 1999.- 505 с.

.        Хаф Л., Ричардсон А. Химия углеводов / В кн. Общая органическая химия. М.: Химия, 1986. Т. 11. С. 127 - 137.

.        Шапиро Я. С. Биологическая химия: 10 - 11 классы. - М.: Вентана - Граф, 2010.

.        Яковлева Н.Н., Орещенко Н.И., Чаговец Н.Р. Руководство к практическим занятиям по биохимии и биохимии спорта. М. ФиС. 1973

.        http://www.chem03.ru/index.php?id=92

Похожие работы на - Структура, физические и химические свойства моносахаридов (на примере глюкозы и фруктозы)

 

Не нашли материал для своей работы?
Поможем написать уникальную работу
Без плагиата!
Без нейросетей!