Фармацевтическая химия углеводов
Содержание
Вступление
Глава 1. Характеристика
углеводов
.1 Биологическая роль
углеводов
.2 Классификация углеводов
.3 Углеводы в питании
.4 История изучения углеводов
.5 Современное состояние
химии углеводов
Глава 2. Структура и
стереохимия моносахаридов
.1 Номенклатура моносахаров и
их распостранение в природе
.2 Строение и конфигурация
моносахаридов
.3 Циклическая структура
моносахаридов
.4 Таутомерия моносахаридов
Глава 3. Физические свойства
и физико-химические методы исследования моносахаридов
.1 Агрегатное состояние и
растворимость
.2 Оптическая активность
.3 Инфракрасные и
ультрафиолетовые спектры моносахаридов и их производных
.4 ЯМР-спектры моносахаридов
и их производных
.5 Масс-спектры моносахаридов
и их производных
Глава 4. Олигосахариды
.1 Строение олигосахаридов
.2 Номенклатура
олигосахаридов
.3 Природные источники
олигосахаридов
.4 Свойства олигосахаридов
Глава 5. Полисахариды
.1 Номенклатура и
классификация
.2 Полисахариды в природе
.3 Свойства полисахаридов
Глава 6. Идентификация,
анализ чистоты и количественное определение препаратов углеводов
.1 Определение подлинности
.2 Количественное определение
Глава 7. Экспериментальная
часть
.1 Методика анализа
.2 Результаты анализа
Выводы
Список использованной
литературы
Вступление
Углеводы, наряду с жирами и белками, относятся к важнейшим и незаменимым
компонентам пищи. Представляют собой органические соединения, состоящие из
углерода, водорода и кислорода. Они синтезируются в растениях из воды и
углекислого газа, используя энергию солнечного света, или животными в виде
гликогена, накапливающегося в мышцах и печени.
Углеводы, вследствие легкодоступности и быстроты усвоения, являются
основным источником энергии для организма. Но, несмотря на то, что человеку
необходимы большие количества углеводов для обеспечения процессов
жизнедеятельности, их резервы в организме невелики. Поэтому их запасы должны
постоянно восполняться.
Физиологическое значение углеводов в основном определяется их
энергетическими свойствами. Углеводы являются динамогенными поставщиками
энергии, используемыми в организме в процессе мышечной деятельности. Каждый
грамм углеводов обеспечивает поступление 16,7 кДж (4 ккал). Значение углеводов
как источника энергии определяется их способностью окисляться в организме, как
аэробным, так и анаэробным путем. Углеводы в наибольшей степени способны
удовлетворить потребности организма в энергии и способствовать снижению
ацидотических сдвигов. При всех видах физического труда отмечается повышенная
потребность в углеводах. Углеводы входят в состав клеток и тканей и в какой-то
мере участвуют в пластических процессах.
Несмотря на постоянное расходование клетками и тканями своих углеводов на
энергетические цели содержание углеводов в них поддерживается на постоянном
уровне при условии достаточного их поступления с пищей.
Некоторые углеводы обладают выраженной биологической активностью,
выполняя в организме специализированные функции. К таким углеводам относятся
аскорбиновая кислота, обладающая С-витаминными свойствами, гепарин,
предотвращающий свертывание крови в сосудах, гиалуроновая кислота,
препятствующая проникновению бактерий через клеточную оболочку, олигосахариды
женского молока, задерживающие развитие некоторых кишечных бактерий,
гетерополисахариды крови, определяющие специфичность групп крови, и др.
Углеводы и их метаболиты играют важную роль в синтезе нуклеиновых кислот,
аминокислот, гликопротеинов, мукополисахаридов, коэнзимов и других жизненно
необходимых веществ.
В организме углеводы депонируются ограниченно и запасы их невелики.
Имеющееся в печени углеводное депо характеризуется относительно небольшой
емкостью, и для удовлетворения потребностей организма углеводы поступают
бесперебойно в составе пищи. Углеводы тесно связаны с обменом жира - при
больших физических нагрузках, когда расход энергии не покрывается углеводами
пищи и углеводными запасами организма, происходит образование сахара из жира,
всегда в достаточном количестве содержащегося в жировых депо организма. Однако
чаще наблюдается обратное влияние, т.е. образование новых количеств жира и
пополнение ими жировых депо организма за счет избыточного поступления углеводов
с пищей.
Избыток углеводов - широко распространенное явление. Это один из основных
факторов в формировании избыточной массы тела.
Углеводы являются основной частью пищевого рациона. За счет углеводов
обеспечивается около половины суточной энергетической ценности пищевого
рациона, Потребление углеводов составляет 400-500 г/сут. Удовлетворение
потребности в углеводах осуществляется за счет растительных источников. B
растительных продуктах (зерновые и др.) углеводы составляют не менее 75% сухого
вещества. Потребность в углеводах может удовлетворяться и за счет сахара,
который представляет собой чистый углевод.
Усвояемость углеводов достаточно высока: в зависимости от пищевого продукта
и характера углеводов, она колеблется от 85 до 98%. Так, коэффициент
усвояемости углеводов хлебных и крупяных продуктов составляет 94-96, овощей -
85, картофеля - 95, фруктов и ягод - 90, кондитерских изделий - 95, сахара -
99, молока и молочных продуктов-98. Правильная кулинарная обработка,
измельчение и тщательная тепловая обработка повышают усвояемость углеводов и
других компонентов пищи.
Значение животных продуктов как источника углеводов невелико. Основным
углеводом животного происхождения является гликоген, обладающий свойствами
крахмала, содержится в животных тканях в небольшом количестве. Другой углевод
лактоза (молочный сахар) - содержится в молоке в количестве 5 г на 100 г.
продукта и более. При систематическом потреблении молока, оно может служить
источником углеводов, особенно в детском и пожилом возрасте.
Такие углеводы, как глюкоза, аскорбиновая кислота, углеводсодержащие
антибиотики, гепарин широко применяют в медицине.
Именно поэтому анализ качества лекарственных препаратов углеводов является
весьма актуальной проблемой.
Цель данной работы - осветить вопросы идентификации, методик анализа и
количественного определения препаратов углеводов.
В экспериментальной части работы проведен анализ раствора глюкозы для
инъекций 5%.
Глава 1.
Характеристика углеводов
.1
Биологическая роль углеводов
Углеводы (сахариды) - общее название обширного класса природных
органических соединений. Название происходит от слов «уголь» и «вода». Причиной
этого является то, что первые из известных науке углеводов описывались
брутто-формулой Cx(H2O)y, формально являясь
соединениями углерода и воды.
С точки зрения химии углеводы являются органическими веществами,
содержащими неразветвленную цепь из нескольких атомов углерода, карбонильную
группу, а также несколько гидроксильных групп.
Биологическое значение углеводов:
1. Углеводы выполняют структурную функцию, то есть участвуют в построении
различных клеточных структур (например, клеточных стенок растений).
2. Углеводы выполняют защитную роль у растений (клеточные стенки,
состоящие из клеточных стенок мертвых клеток защитные образования - шипы,
колючки и др.).
. Углеводы выполняют пластическую функцию - хранятся в виде запаса
питательных веществ, а также входят в состав сложных молекул (например, пентозы
(рибоза и дезоксирибоза) участвуют в построении АТФ, ДНК и РНК).
. Углеводы являются основным энергетическим материалом. При
окислении 1 грамма углеводов выделяются 4,1 ккал энергии и 0,4 г воды.
. Углеводы участвуют в обеспечении осмотического давления и
осморегуляции. Так, в крови содержится 100-110 мг/% глюкозы. От концентрации
глюкозы зависит осмотическое давление крови.
. Углеводы выполняют рецепторную функцию - многие олигосахариды
входят в состав воспринимающей части клеточных рецепторов или молекул-лигандов.
В суточном рационе человека и животных преобладают углеводы. Травоядные
получают крахмал, клетчатку, сахарозу. Хищники получают гликоген с мясом.
Организмы животных не способны синтезировать углеводы из неорганических
веществ. Они получают их от растений с пищей и используют в качестве главного
источника энергии, получаемой в процессе окисления:
Сч(Р2Щ)н + чЩ2 → чСЩ2
+ нР2Щ + энергия
В зеленых листьях растений углеводы образуются в процессе фотосинтеза -
уникального биологического процесса превращения в сахара неорганических веществ
- оксида углерода (IV) и воды, происходящего при участии хлорофилла за счёт
солнечной энергии:
2
+ yH2O → Cx(H2O)y + xO2
.2
Классификация углеводов
Структурно углеводы подразделяются на следующие группы:
Простые углеводы. К ним относят глюкозу, галактозу и фруктозу
(моносахариды), а также сахарозу, лактозу и мальтозу (дисахариды).
Глюкоза - главный поставщик энергии для мозга. Она содержится в плодах и
ягодах и необходима для снабжения энергией и образования в печени гликогена.
Фруктоза почти не требует для своего усвоения гормона инсулина, что
позволяет использовать ее при сахарном диабете, но в умеренных количествах.
Галактоза в продуктах в свободном виде не встречается. Получается при
расщеплении лактозы.
Сахароза содержится в сахаре и сладостях. При попадании в организм
расщепляется на более составляющие: глюкозу и фруктозу.
Лактоза - углевод, содержащийся в молочных продуктах. При врожденном или
приобретенном дефиците фермента лактазы в кишечнике нарушается расщепление
лактозы на глюкозу и галактозу, что известно как непереносимость молочных
продуктов. В кисломолочных продуктах лактозы меньше, чем в молоке, так как при
сквашивании молока из лактозы образуется молочная кислота.
Сложные углеводы. К ним относят крахмал и гликоген (перевариваемы
углеводы), а также клетчатку, пектины и гемицеллюлозу.
Крахмал - в питании составляет до 80% всех углеводов. Его основные
источники: хлеб и хлебобулочные изделия, крупы, бобовые, рис и картофель.
Крахмал, относительно медленно переваривается, расщепляясь до глюкозы.
Гликоген, его еще называют «животный крахмал», - полисахарид, который
состоит из сильно разветвленных цепочек молекул глюкозы. Он в небольших
количествах содержится в животных продуктах (в печени 2-10% и в мышечной ткани
- 0,3-1% ).
Клетчатка - это сложный углевод, входящий в состав оболочек растительных
клеток. В организме клетчатка практически не переваривается, лишь
незначительная часть может подвергнуться под влиянием находящихся в кишечнике
микроорганизмов.
Клетчатку, вместе с пектинами, лигнинами и гемицеллюлозой, называют или
балластными веществами. Они улучшают работу пищеварительной системы, являясь
профилактикой многих заболеваний. Пектины и гемицеллюлоза обладают
гигроскопичными свойствами, что позволяет им сорбировать и увлекать с собой
избыток холестерина, аммиак, желчные пигменты и другие вредные вещества. Еще
одним важным достоинством пищевых волокон является их помощь в профилактике
ожирения. Не обладая высокой энергетической ценностью, овощи из-за большого
количества пищевых волокон способствуют раннему чувству насыщения.
В большом количестве пищевые волокна содержится в хлебе грубого помола,
отрубях, овощах и фруктах.
.3
Углеводы в питании
Потребность организма в углеводах
Углеводы - это основной и незаменимый источник энергии в организме, они
обеспечивают около 60% энергозатрат человека. Потребность в углеводах более
всего зависит от возраста, характера и интенсивности труда. Согласно
традиционной системе питания, в среднем, взрослый здоровый человек, должен
потреблять 300-500 г углеводов в сутки, а в отдельных случаях этот показатель
может вырасти до 600-800 г.
Хотя нет официально принятых норм, но при потреблении менее 100 г
углеводов возникает риск закисления организма и развития углеводной
недостаточности (кетоз), поэтому необходимо не опускаться ниже этой планки.
Также важно чтобы, пищевой рацион человека содержал не менее 25-30 г
пищевых волокон, что позволит избежать проблем с перевариванием пищи и
утилизацией вредных веществ, образующихся в процессе пищеварения.
Гликемический индекс
Некоторые углеводы (простые) усваиваются организмом практически
мгновенно, что приводит к резкому повышению уровня глюкозы в крови, другие
(сложные) усваиваются постепенно и не дают резкого повышения уровня сахара в
крови. Благодаря замедленному усвоению, употребление продуктов, содержащих
такие углеводы, обеспечивает более продолжительное чувство насыщения. Это их
свойство используют в диетологии, для похудения.
А чтобы оценить скорость того или иного продукта расщепляться в организме
применяют гликемический индекс (ГИ). Этот показатель, определяет с какой
скоростью продукт расщепляется в организме и преобразуется в глюкозу. Чем
быстрее происходит расщепление продукта, тем выше его гликемический индекс
(ГИ). За эталон была взята глюкоза, чей гликемический индекс (ГИ) равен 100.
Все остальные показатели сравниваются с гликемическим индексом (ГИ) глюкозы.
Содержание углеводов в продуктах
Пищевые источники углеводов разделяют на группы исходя из количества
содержащихся углеводов, а также по скорости их расщепления в организме.
По количеству входящих в состав углеводов, продукты делятся на следующие
группы:
Наибольшее количество углеводов (более 65 г на 100 г продукта) содержат
следующие продукты: сахар, конфеты, мед, варенье, мармелад, зефир, печенье
сдобное, рис, макароны, крупы, финики, изюм, чернослив, сухофрукты.
Большое количество углеводов (40-60 г на 100 г продукта) содержат
следующие продукты: хлеб, фасоль, горох, черный шоколад, халва, пирожные,
шиповник сушеный, инжир сушеный, ликер.
Средние количества углеводов (20-40 г на 100 г продукта) содержат
следующие продукты: хлеб бородинский, бананы, шиповник свежий, соя, фисташки,
кокос, белый шоколад.
Малое количество углеводов (менее 20 г на 100 г продукта) содержат
следующие продукты: молоко и молочные продукты, овощи, большинство фруктов,
бобы, грибы, яичный порошок, орехи.
По скорости расщепления углеводов, продукты делятся на такие группы:
Продукты с высоким ГИ: финики, сахар, картофель печеный, кукурузные
хлопья, карамель, картофель-фри, хлебцы пшеничные, пиво, арбуз, воздушный рис,
белый хлеб, мед, просо, пюре, кукуруза, изюм, сухофрукты, сладкая вода,
мороженное, варенье, патока, чипсы, шоколад молочный, пшено, манная каша,
свекла, сухие овсяные завтраки.
Продукты со средним ГИ: хлеб ржаной, овсянка, гамбургеры, макароны,
рисовая вермишель, бананы, картофель варенный, манго, попкорн, рис коричневый,
овсяное печенье и отруби, гречка, фасоль консервированная, киви, хлеб черный,
хлеб с отрубями, грейпфрутовый сок, персики, абрикосы, рис отварной, горошек,
виноград, пиво, квас, дыня.
Продукты с низким ГИ: спагетти белые, цитрусовые, овсяные хлопья,
земляника, клубника, крыжовник, фруктовые соки, хлеб ячменный, яблоки, горох
сухой, груши, йогурты нежирные, сливы, молоко обезжиренное, фасоль, ягоды,
чечевица, шоколад черный, вишня, фасоль красная, орехи, соя, кефир.
Дефицит и избыток углеводов в организме
Дефицит углеводов
Хронический дефицит углеводов приводит к истощению запасов гликогена в
печени и отложению жира в ее клетках, что может привести к жировому перерождению
печени.
Недостаток углеводов приводит к нарушению обмена жиров и белков: организм
начинает в качестве источников энергии использовать жиры и белки пищи, а также
жировые отложения и мышечную ткань. В крови начинают накапливаться вредные
продукты неполного окисления жирных кислот и некоторых аминокислот - кетоны.
Избыточное образование кетонов при усиленном окислении жиров и частично белков
может привести к смещению внутренней среды организма в кислотную сторону и
отравлению тканей мозга вплоть до развития ацидотической комы с потерей
сознания.
Распознать сильный дефицит углеводов можно по таким симптомам:
· слабость
· сонливость
· головокружение
· головные боли
· чувство голода
· тошнота
· потливость
· дрожь рук
Эти симптомы быстро проходят после приема сахара. А чтобы не допустить
развития подобного состояния, не стоит опускать минимальную планку приема
углеводов ниже 100 г в сутки.
Избыток
углеводов
Избыток углеводов может приводить к ожирению. Излишки углеводов в пище
вызывают повышение уровня инсулина в крови, и способствует образованию жировых
запасов. Главная причина этого - резкое повышение уровня глюкозы в крови, что
происходит при большом однократном приеме богатой углеводами пищи.
Вырабатываемая глюкоза попадает в кровь, а ее излишки организм вынужден
«нейтрализовывать» с помощью инсулина, который преобразует глюкозу в жир.
Систематическое чрезмерное употребление сахара и других легкоусвояемых
углеводов способствует проявлению скрытого сахарного диабета из-за перегрузки,
а затем истощения клеток поджелудочной железы, которая вырабатывает необходимый
для усвоения глюкозы инсулин. Подчеркнем, сам сахар и содержащие его продукты
не вызывают диабет, а лишь являются факторами риска при имеющемся заболевании.
.4 История
изучения углеводов
Огромное практическое и научное значение углеводов с давних времен
привлекало к ним внимание исследователей. У самых истоков цивилизации лежит
первое практическое знакомство человека с углеводами. Обработка древесины,
изготовление бумаги и хлопчатобумажных и льняных тканей, хлебопечение, брожение
- все эти процессы, известные еще с глубокой древности, непосредственно связаны
с переработкой углеводсодержащего сырья. Тростниковый сахар был, по-видимому,
первым органическим веществом, полученным человеком в химически чистом виде.
Становление химии как науки во второй половине XVIII века неразрывно связано и
с первыми работами в области химии углеводов. Вслед за тростниковым сахаром
были выделены первые индивидуальные моносахариды - фруктоза (Ловиц, 1792 г.) и
глюкоза (Пру, 1832 г.). В 1811 г. Кирхгоф, работавший в то время в Петербурге,
получил глюкозу при обработке крахмала кислотой, проведя таким образом первый
химический гидролиз полисахарида, а в 1814 г. провел первый ферментолиз того же
полисахарида. Наконец, А.М. Бутлеров в 1861 г. осуществил свой исторический
синтез, получив при обработке водного раствора формальдегида известковой водой
смесь сахаров (метиленэтан), содержащую и некоторые природные моносахариды.
Однако химия углеводов в современном смысле этого слова возникла,
естественно, лишь с развитием основ органической химии, одним из разделов
которой она является. Структурная теория дала ключ к пониманию строения
углеводов, и уже через 10-15 лет после ее провозглашения Килиани и Эмиль Фишер
начинают свои фундаментальные исследования, завершившиеся в 90-х годах прошлого
столетия установлением строения простейших углеводов. Решающее влияние на
развитие химии углеводов оказали стереохимические представления Вант-Гоффа,
причем развитие стереохимии также было неразрывно связано с химией углеводов;
экспериментальный материал, почерпнутый из химии углеводов, сыграл очень важную
роль в развитии основных положений стереохимической теории.
В первый период развития химии углеводов были заложены основные понятия и
принципы этого раздела органической химии, созданы классические аналитические
приемы и разработаны генеральные синтетические методы. Характерной особенностью
этого периода является тесное и плодотворное взаимодействие химии углеводов с
другими разделами бурно развивавшейся органической химии. Химия углеводов
заимствует из арсенала органической химии различные реакции деградации,
необходимые для установления строения углеводов, и многочисленные синтетические
приемы. В свою очередь, достижения химии углеводов стимулировали развитие
многих общих разделов органической химии; кроме уже отмеченного выше влияния на
развитие стереохимии, можно упомянуть учение о таутомерии, первые шаги химии
полимеров и многое другое.
Одним из поворотных моментов в химии сахаров была разработка Хеуорсом в
20-х годах ХХ столетия подходов к изучению структуры полисахаридов, которые
были созданы на основе метода метилирования и впервые открыли путь к
экспериментальному решению вопроса о строении полисахаридных цепей. Следствием
этого было быстрое развитие химии полисахаридов.
Три обстоятельства вызвали в послевоенные годы подлинный переворот в
области химии углеводов и обеспечили ее последующий прогресс.
Прежде всего, была осознана исключительная роль биополимеров в жизненных
процессах, что, естественно, поставило перед химией углеводов - важнейших
компонентов живой ткани - новые задачи. Изучение структуры и ее связи с
биологической функцией в ряду углеводов вызвало к жизни новые представления и
заложило основу новых направлений. Одновременно бурное развитие промышленности
полимеров и их использование в технике и повседневной жизни было
непосредственно связано с широким изучением практически важных природных
полимеров и, прежде всего, с развитием химии и технологии целлюлозы, ее
спутников и продуктов ее переработки. Это открыло широкую дорогу исследованиям
по химии полисахаридов и потребовало развития многих новых областей химии
сахаров.
С другой стороны, развитие теории органической химии и в особенности
создание основ конформационного анализа впервые позволило обсуждать реакционную
способность молекулы углевода, исходя из строго обоснованных предпосылок.
Использование конформационных представлений в химии углеводов совершило
подлинную революцию во взглядах на реакционную способность сложной полифункциональной
молекулы сахара, и современная химия сахаров обязана этому своими лучшим:
достижениями.
Наконец, последнее, столь же важное обстоятельство, оказавшее решающее
влияние на развитие современной химии углеводов, состоит во внедрении новой
техники эксперимента. Введение аналитической и препаративной хроматографии,
электрофоретических методов позволил по-новому поставить работу по разделению и
индивидуализации углеводов и решить задачи, которые требовали Раньше поистине
титанического труда. Внедрение инфракрасной спектроскопии, а позднее
ЯМР-спектроскопии и масс-спектрометрии предоставило в распоряжение
исследователя орудия, которые в корне изменили всю работу по установлению
строения сложнейших производных углеводов.
.5
Современное состояние химии углеводов
Современная химия углеводов представляет собой сложный комплекс знаний.
Она включает вопросы выделения индивидуальных или максимально очищенных, часто
очень лабильных соединений из сложных смесей, изучение их строения химическими,
биохимическими, физико-химическими, физическими методами, разработку методов
синтеза разнообразных соединений, причем особенно сложным и ответственным
является стереохимический контроль синтетических реакций и, наконец, глубокое
изучение зависимости свойств углеводов от их строения, что создает основы для
технического использования огромных ресурсов углеводсодержащего сырья. Изучение
биологических свойств углеводов, их функций в биохимических системах необходимо
для познания существа важнейших процессов жизнедеятельности и непосредственно
связано с прогрессом современной биохимии и молекулярной биологии.
Класс углеводов включает соединения, очень разнообразные по типу, начиная
от низкомолекулярных веществ, содержащих всего несколько атомов углерода, и
кончая соединениями с огромным молекулярным весом, достигающим нескольких
миллионов. В соответствии с этим и решение отдельных задач, приемы, методы и
сама логика исследования могут сильно различаться в зависимости от того, с
каким типом углеводов приходится иметь дело. По этой причине при любом
изложении основ химии углеводов следует предусмотреть разделение материала в
соответствии с целесообразной классификацией. Все углеводы, известные до
настоящего времени как природные или синтетические соединения, следует, прежде
всего разделить на три больших класса - моносахариды, олигосахариды и
полисахариды. Это деление, хотя и основывается на формальных признаках, имеет
глубокий принципиальный и методический смысл.
Под моносахаридами понимают полиоксикарбонильные соединения непрерывной
углерод-углеродной цепью, причем наряду с гидроксильными и карбонильными
группами они могут содержать также карбоксильные группы, аминогруппы, тиольные
группы и др. Моносахариды, таким образом, достаточно разнообразны по своему
строению, а следовательно, и по свойствам, но обладают рядом общих признаков в
химическом поведении, и это позволяет рассматривать их как один класс
углеводов.
Указанное определение относится к моносахаридам в строгом смысле слова.
Вместе с тем есть несколько типов соединений, не соответствующих полностью
этому определению, но генетически тесно связанных с подлинными моносахаридами.
Это, прежде всего продукты восстановления и окисления моносахаридов, лишенные
карбонильной группы,- многоатомные спирты (полиолы) и полиоксикарбоновые одноосновные
или двухосновные кислоты. Соединения этих классов лишены основной химической
характеристики моносахаридов, которая складывается из сочетания свойств
карбонила и цепи углеродных атомов, несущих гидроксильные группы, и поэтому
значительно отличаются по свойствам от моносахаридов.
Моносахариды - низкомолекулярные соединения, и этот раздел химии
углеводов является, в сущности, одним из разделов органической химии
полифункциональных соединений. Его наиболее характерной чертой является
решающее влияние стереохимических различий на реакционную способность,
переплетающееся с таутомерными отношениями, которые характерны не только для
самих моносахаридов, но и для их многочисленных производных. Для установления
строения моносахаридов и их производных, как и других органических соединений,
помимо химических применяются и физико-химические методы, хотя последние
приобрели серьезное значение в химии моносахаридов лишь в самое недавнее время.
Синтетическая химия моносахаридов располагает сейчас большим числом разнообразных
методов, позволяющих контролировать не только структуру, но и конфигурацию
получаемого соединения. Следует только иметь в виду, что полный синтез
моносахаридов не привлекал сколько-нибудь серьезного внимания со стороны
исследователей, поскольку синтетические методы химии моносахаридов сводятся
главным образом к взаимным переходам различных моносахаридов и их производных
друг в друга.
Другим большим разделом химии углеводов является химия полисахаридов.
Полисахариды представляют собой полимеры моносахаридов, точнее продукты их
поликонденсации, и их молекулы образуют цепи, состоящие из моносахаридных
звеньев, связанных друг с другом через атом кислорода. Полисахариды - типичные
высокомолекулярные вещества, и этот раздел химии углеводов по принципиальным и
методическим подходам сходен с другими разделами химии полимеров. В частности,
уже само понятие индивидуального вещества в данном случае теряет смысл и часто
заменяется понятием фракции, содержащей идентичное по строению, но
различающееся по молекулярному весу семейство полимергомологов. Это накладывает
свой отпечаток на методы выделения и разделения полисахаридов. Далее, понятие
структуры полисахарида и методы ее установления также сходны с соответствующими
понятиями и методами высокомолекулярной химии.
Установление строения полисахаридов - исключительно сложная задача, так
как полифункциональные мономерные звенья моносахаридов могут соединяться между
собой многими способами, и число мыслимых вариантов структуры очень быстро
возрастает с увеличением степени полимеризации, достигая уже для относительно
низкомолекулярных полисахаридов подлинно астрономических величин. При решении
вопроса о структуре полисахарида помимо строения мономера и типа межмономерной
связи нужно определять также и последовательность мономеров в цепи (для
биополимеров это является центральной задачей), а также их взаимное
расположение в пространстве. Последнее обстоятельство следует отметить особо,
поскольку физические и биологические свойства полимеров в значительной мере
определяются формой их макромолекулы, т. е. вторичной и высшими структурами.
Поэтому в химии полисахаридов наряду с обычными органохимическими подходами
большое значение приобретают физико-химические методы, применяемые в химии
полимеров для выяснения размеров и формы макромолекулы.
Среди всех других классов углеводов именно полисахариды привлекают сейчас
наиболее пристальное внимание биохимиков и других специалистов, связанных с
проблемами биологии. Это объясняется тем, что структура полисахаридных цепей во
многих случаях определяет биологическую специфичность, как, например, в случае
полисахаридов микроорганизмов. По этой причине химия полисахаридов тесно
связана с химией смешанных биополимеров, имеющих в своем составе полисахаридные
цепи наряду с пептидными и липидными фрагментами. Этот новый раздел химии
углеводов сейчас бурно развивается, и краткое его рассмотрение также включено в
книгу.
Наряду с моносахаридами и полисахаридами имеется еще один промежуточный
класс углеводов, получивший название олигосахаридов. Олигосахариды содержат
небольшие цепи, состоящие из нескольких моно- сахаридных звеньев, построенные
по тому же типу, что и цепи полисахаридов. Естественно, что разделение
олигосахаридов и полисахаридов достаточно условно. Обычно соединения,
содержащие 2-5 звеньев, принято называть низшими олигосахаридами, а соединения,
содержащие от шести до десяти звеньев,- высшими олигосахаридами, что отличает
их от полисахаридов, имеющих большее число моносахаридных звеньев.
Химия олигосахаридов занимает важное место во всем комплексе проблем,
связанных с исследованием углеводов. Дело в том, что олигосахариды являются
низкомолекулярными соединениями, к которым применимы обычные методы
органической химии; в частности, олигосахариды, по крайней мере, их низшие
представители, могут быть получены синтетически, а их структура может быть
выяснена с полной достоверностью во всех деталях. В то же время олигосахариды
несут элемент структуры полисахарида. Они имеют гликозидную связь между
моносахаридными звеньями, обладают многими химическими, а подчас и
биологическими свойствами, напоминающими полисахариды, и поэтому могут
рассматриваться как упрощенные модели полисахаридов. Сочетание этих двух
моментов придает большую значимость этой области химии углеводов, характеризует
ее своеобразие и оправдывает выделение ее в особый раздел.
Оценивая место отдельных разделов химии углеводов во всей проблеме,
следует подчеркнуть особое значение химии моносахаридов. Естественно, что
свойства олигомеров и полимеров определяются прежде всего свойствами мономерных
звеньев. Поэтому в углеводах изучение химического поведения, зависимости между
структурой и физическими, химическими и биологическими свойствами и способов
изменения этих свойств путем изменения структуры, прежде всего, связано с
развитием химии моносахаридов. Химия моносахаридов является фундаментом для
исследования свойств более высокомолекулярных углеводов, а потому этот раздел
химии углеводов имеет основополагающее значение и заслуживает наиболее
детального рассмотрения в любой работе, посвященной химии углеводов.
Глава 2.
Структура и стереохимия моносахаридов
.1
Номенклатура моносахаров и их распространение в природе
Полиоксикарбонильные соединения - полиоксиальдегиды или полиоксикетоны
называются моносахаридами (название «монозы» в настоящее время употребляется
редко). По сравнению с другими классами углеводов моносахариды представляют
собой наиболее простой и изученный класс соединений. Более сложные углеводы -
олиго- и полисахариды - построены из моносахаридов, являющихся мономерами.
Поэтому химия моносахаридов имеет для всей химии углеводов основополагающее
значение.
В настоящее время известно несколько сотен различных по структуре и
стереохимии моносахаридов, которые по характеру входящей в их состав
карбонильной группы можно разделить на альдозы, содержащие альдегидную группу,
и кетозы, содержащие кетогруппу. По числу углеродных атомов различают триозы,
тетрозы, пентозы, гексозы и т. д. Моносахариды, в состав которых входит более
шести углеродных атомов, объединяют под общим названием «высшие сахара».
Более детальная классификация моносахаридов, учитывающая одновременно оба
признака - число углеродных атомов и характер карбонильной группы, различает
альдопентозы, альдогексозы, кетопентозы (или пентулозы) и т. д.
Первыми стали известны моносахариды состава СnН2nОn, в которых число гидроксильных групп на единицу
меньше числа углеродных атомов: СnНn+1O(ОН)n-1. Позднее были открыты моносахариды с
меньшим числом гидроксильных групп, получившие название дезоксисахаров.
Обычно моносахариды содержат прямую цепь углеродных атомов, однако
существуют также моносахариды с разветвленной цепью, так называемые
«разветвленные» сахара.
Кроме карбонильной и гидроксильных групп в молекулу моносахарида могут
входить и другие функциональные группы, например карбоксильная или аминогруппа.
Моносахариды, содержащие вместо одной или нескольких гидроксильных групп
аминогруппы, называют дезоксиаминосахарами или просто аминосахарами. Последнее
название, более простое и краткое, используется очень часто, хотя и не является
вполне строгим с точки зрения принятой в настоящее время номенклатуры.
Моносахариды, в которых наиболее удаленный от карбонильной группы углеродный
атом входит в состав карбоксильной группы, называются уроновыми кислотами.
Представители всех перечисленных выше групп моносахаридов найдены в
природе. Кроме того, синтетическим путем получены моносахариды, содержащие две
карбонильные группы, а также такие, в которых одна или несколько гидроксильных
групп заменены на галоген, нитрогруппу, тиольную группу и т. д.
В основу номенклатуры моносахаридов положены моносахариды состава СnН2nОn с прямой цепью углеродных атомов. Для обозначения
положения заместителей в молекуле моносахарида принято нумеровать углеродные
атомы таким образом, чтобы карбонильный углерод имел наименьший номер.
Кислородные, водородные и другие атомы, соединенные с данным углеродным атомом,
получают тот же номер. В наименовании производного указывается не только
положение заместителя, но и атом, с которым связан заместитель
Одноосновные карбоновые кислоты, соответствующие по структуре альдозам,
носят название альдоновых кислот, а дикарбоновые кислоты, образующиеся в
результате окисления первого и последнего атомов углеродной цепи в молекуле
моносахарида, называются сахарными кислотами.
Будучи чрезвычайно реакционноспособными соединениями, моносахариды редко
встречаются в свободном виде. В живом организме они существуют либо в виде
своих производных, чаще всего - в виде эфиров фосфорной кислоты, либо входят в
состав более сложных веществ - гликозидов, олиго- и полисахаридов,
гликопротеинов, гликолипидов, нуклеиновых кислот и т. п. Исключение составляют D-глюкоза, найденная в свободном виде
в крови млекопитающих, соке растений и в других источниках, и некоторые кетозы.
Из моносахаридов наиболее широко распространены в природе пентозы и
гексозы, среди которых первое место, безусловно, занимает D-глюкоза. Она является необходимым
компонентом любых живых организмов - от вирусов до высших растений и
позвоночных, и входит в состав самых различных соединений, начиная с сахарозы,
целлюлозы и крахмала и кончая некоторыми гликопротеинами и вирусной
рибонуклеиновой кислотой. Весьма часто встречаются, хотя и не имеют столь
универсального распространения, такие пентозы, как L-арабиноза и D-ксилоза,
входящие в состав ряда полисахаридов и гликозидов, и гексозы - D-галактоза и D-манноза, являющиеся компонентами многих полисахаридов
растительного, животного или бактериального происхождения. Галактоза найдена
также в гликолипидах мозга, олигосахаридах молока, ряде важных гликопротеинов.
Специфическую биологическую роль выполняют D-рибоза и 2-дезокси-D-рибоза - вещества, из которых построена полимерная цепь рибонуклеиновых
и дезоксирибонуклеиновых кислот.
2.2
Строение и конфигурация моносахаридов
Центральное место в химии моносахаридов занимают альдогексозы,
альдопентозы и кетогексозы. Их строение в общем виде может быть изображено
формулами I, V и VI:
Из рассмотрения структурных формул моносахаридов видно, что последние
содержат большое число асимметрических атомов углерода. Как известно, для
соединения имеющего п асимметрических атомов, число стереоизомеров составляет 2n Таким образом, для альдогексоз,
имеющих строение I, должно существовать 24 стереоизомеров, а для
альдопентоз V и кетогексоз VI-23 стереоизомеров. Отсюда ясно,
насколько важны стереохимические различия отдельных моносахаридов, от которых,
в первую очередь, и зависят различия в их свойствах.
Уже в 80-е годы XIX
века стало известно достаточно много моносахаридов и возникла задача
определения их конфигурации.
Начало этой работе было положено Э. Фишером, определившим в 1891 г.
конфигурации D-глюкозы, D-маннозы и D-фруктозы.


Глюкоза Манноза Фруктоза
Таким образом, исследования Э. Фишера позволили определить относительную
конфигурацию глюкозы, маннозы, фруктозы и арабинозы. Вскоре аналогичным путем были
установлены относительные конфигурации остальных пентоз и гексоз, что создало
фундамент для развития химии углеводов. Работы Э. Фишера имели и более общее
значение. В результате этих работ впервые в истории органической химии были
созданы экспериментальные методы определения конфигураций, а стереохимическая
гипотеза Вант-Гоффа получила наглядное и весьма сильное подтверждение, что дало
новый мощный стимул для развития стереохимии органических соединений в целом.
.3
Циклическая структура моносахаридов
Ациклические формулы не согласуются с рядом химических свойств
моносахаридов. Прежде всего, карбонильная группа в моносахаридах не дает
некоторых альдегидных реакций, например окрашивания с обычным образом
приготовленным реагентом Шиффа (раствор фуксинсернистой кислоты). Полные
ацетаты cахаров вообще не проявляют никаких
альдегидных свойств.
Одна из гидроксильных групп в молекуле моносахарида проявляет особые
свойства. Так, при нагревании глюкозы с 3%-ным раствором хлористого водорода в
метаноле образуется смесь двух изомерных веществ - метилглюкозидов, содержащих
одну метоксильную группу. Как известно, обычные спирты в столь мягких условиях
простых эфиров не образуют. Метилглюкозиды не проявляют никаких альдегидных
свойств, но, имея только одну метоксильную группу, не могут быть обычными
ацеталями.
Наконец, и это самое важное, глюкоза и другие моносахариды, а также уже
упомянутые метилглюкозиды и полные ацетаты моносахаридов, существуют в двух
стереоизомерных формах (α- и β-изомеры). Таким образом, общее число
изомерных моносахаридов и их производных оказывается вдвое больше, чем это
предсказывает стереохимическая теория, исходя из числа асимметрических
углеродных атомов. Это свидетельствует о наличии в молекулах моносахаридов
дополнительного асимметрического центра.
Полуацетальная (или, иначе, лактольная) циклическая формула позволяет
объяснить все перечисленные выше факты.
Неспособность моносахаридов вступать в некоторые реакции, характерные для
альдегидной группы, можно отнести за счет того, что последняя в свободном виде
в моносахариде отсутствует. Гидроксильная группа у С1 (в кетозах - у
С2) в циклической форме находится в особом положении: единственная
из всех гидроксильных групп она соединена с углеродным атомом, при котором
имеется другой кислородный заместитель, и представляет собой гидроксильную
группу полуацеталя. Углеродный атом, с которым связан полуацетальный гидроксил
(иначе называемый гликозидным гидроксилом), получил название гликозидного (или
аномерного) центра. Высокая реакционная способность полуацетального гидроксила
объясняется, с современной точки зрения, стабилизацией образующегося при его
отщеплении карбониевого иона за счет свободной пары электронов соседнего
кислородного атома.
Отсутствие альдегидных реакций у гликозидов и полных ацетатов объясняется
замещением полуацетального гидроксила которое исключает возможность превращения
полуацетальной формы в альдегидную.
Наконец, понятно, что при замыкании цикла карбонильный углеродный атом,
связанный теперь с четырьмя различными заместителями, становится
асимметрическим; это приводит к удвоению числа стереоизомерных альдоз и их
производных.
После надежного доказательства циклической структуры производных
моносахаридов Хеуорс внес дополнения в номенклатуру моносахаридов. По его
предложению моносахариды, содержащие шестичленный тетрагндропирановый цикл,
стали называть пиранозами, их гликозиды - пиранозидами, а моносахариды и их
гликозиды с пятичленным тетрагидрофурановым циклом - фуранозами и фуранозидами.
Хеуорс пересмотрел также способ написания формул моносахаридов. Формулы
Э. Фишера при всех их достоинствах плохо отражают реальную форму молекул
моносахаридов и громоздки. Хеуорс предложил свои так называемые «перспективные»
формулы. Согласно его предложению, циклическую молекулу моносахарида условно
считают плоской. Для изображения на бумаге ее мысленно располагают таким
образом, чтобы кислородный атом пиранозного кольца находился на наибольшем
расстоянии от глаза наблюдателя справа (у фуранозного кольца - посередине), а
углеродная цепь была бы обращена выпуклой стороной к наблюдателю. Затем
расположенную таким образом молекулу изображают по законам перспективы, как это
представлено ниже, причем обычно часть молекулы, приближенную к наблюдателю,
показывают жирной линией.
Заместители помещают сверху или снизу от плоскости молекулы в зависимости
от конфигурации соответствующего углеродного атома.
2.4
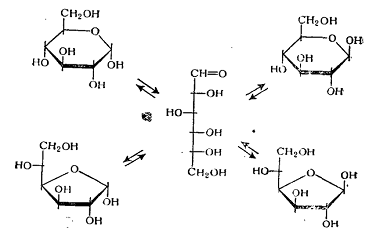
Таутомерия моносахаридов
Как говорилось выше, химические свойства сахаров не могут быть полностью
объяснены, если для них принять строение полиоксикарбонильных соединений.
Однако и циклические полуацетальные формулы Колли-Толленса, устраняющие ряд
противоречий, неудовлетворительны, поскольку они не объясняют альдегидных свойств
моносахаридов и их способности давать ациклические производные, например,
присоединять синильную кислоту с образованием оксинитрилов, давать тиоацетали и
т. д. Это привело к заключению, что моносахариды, способны к таутомерным
превращениям:
Подобные таутомерные превращения известны под названием кольчато-цепной
таутомерии. Моносахариды в зависимости от условий реакции и примененных
реагентов реагируют в одной из таутомерных форм: пиранозной, фуранозной или
ациклической. Сахара были исторически одними из первых веществ, для которых
наблюдалось явление таутомерии. Понятие о кольчато-цепной таутомерии возникло
при рассмотрении свойств моносахаридов, и лишь позднее это явление было
обнаружено для более простых γ- и δ-оксикарбонильных соединений.
Существование таутомерии для моносахаридов подтверждено экспериментально
путем исследования их оптической активности, а в последнее время также с
помощью ЯМР- и ИК-спектроскопии.
Еще в 1846 г. Дюбрюнфо обнаружил, что удельное вращение раствора глюкозы
изменяется во времени, пока не достигнет некоторого постоянного значения. Это
явление, наблюдающееся также и для всех других моносахаридов, получило название
мутаротации. Мутаротация связана с взаимными превращениями таутомерных форм моносахарида
и установлением равновесия между ними. Положение равновесия зависит от
структуры и стереохимии моносахарида, но не зависит от того, из какой
таутомерной формы данного сахара мы исходим. Так, свежеприготовленные водные
растворы а- и р-D-глюкозы имеют
удельное вращение [a]D+106° и +22,5° соответственно. С
течением времени удельное вращение первого падает, а второго возрастает, в
обоих случаях достигая постоянного значения +52,5°.
Если исходить из приведенной выше схемы равновесного взаимопревращения
пяти различных форм, то скорость мутаротации должна выражаться весьма сложным
уравнением. Однако для многих моносахаридов (например, для D-глюкозы и D-ксилозы) скорость мутаротации подчиняется уравнению
обратимой реакции первого порядка, что соответствует равновесию только между
двумя таутомерными формами соединения. Прочие таутомеры присутствуют в этих
случаях в очень низкой концентрации.
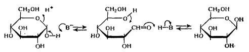
Скорость мутаротации возрастает как в присутствии кислот, так и в
присутствии оснований. Считается, что стадией, определяющей скорость процесса,
является промежуточное образование открытой формы:
Скорость мутаротации некоторых cахаров (например, D-галактозы,
D-рибозы и всех кетоз) не подчиняется
уравнению первого порядка. Это является результатом того, что в растворе в
заметных концентрациях присутствует более двух таутомерных форм вещества. Кроме
пиранозной формы в этих случаях в растворе должна находиться также фуранозная
или ациклическая форма, или обе формы вместе.
Способов, позволяющих экспериментально показать присутствие в растворах
ациклической формы, в настоящее время не существует. Ни инфракрасные, ни
ультрафиолетовые спектры моносахаридов не содержат характерных для карбонильной
группы максимумов поглощения. Это может объясняться гидратацией карбонильной
функции ациклической формы, которая к тому же присутствует в растворе в очень
низкой концентрации.
Долгое время считали, что содержание ациклической формы может быть
определено полярографически и объясняли различие в скоростях полярографического
восстановления моносахаридов присутствием в равновесной смеси различных
количеств альдегидной формы. (Эти концентрации даже были вычислены.) Однако
позднее показано, что в действительности нельзя связывать скорость
полярографического восстановления моносахаридов с концентрацией альдегидной
формы в их водных растворах.
Глава 3.
Физические свойства и физико-химические методы исследования моносахаридов
.1
Агрегатное состояние и растворимость
Агрегатное состояние и растворимость моносахаридов и их производных
определяются, в первую очередь, наличием в их молекулах большого числа
сильнополярных гидроксильных групп, способных к образованию водородных связей.
Поэтому подавляющее большинство моносахаридов представляет собой нелетучие вещества,
легко растворимые в воде, диметилформамиде или диметилсульфоксиде, умеренно
растворимые в низших спиртах, пиридине и уксусной кислоте и практически
нерастворимые в таких обычных органических растворителях, как эфир, бензол,
хлороформ, диоксан, тетрагидрофуран, этилацетат и т. д. Однако производные
моносахаридов, в которых гидроксильные группы замещены (метиловые эфиры,
ацетаты, триметилсилилпроизводные, некоторые алкилиденовые производные),
достаточно летучи, и их можно очищать перегонкой или возгонкой в вакууме. Для
анализа этих производных может быть применена газо-жидкостная хроматография.
Молекулы моносахаридов в растворах сильно сольватированы вследствие
диполь-дипольного взаимодействия и межмолекулярных водородных связей с
растворителем, что часто ведет к образованию вязких «сиропов». Ориентация
молекул в вязких растворах затруднена, поэтому образование зародышей кристаллов
и, следовательно, весь процесс кристаллизации сильно замедляется или
кристаллизация вовсе не идет. Другим затруднением при кристаллизации
моносахаридов является их способность к образованию нескольких таутомерных
форм. Поскольку примеси препятствуют кристаллизации, вещества, склонные к
таутомерным превращениям, обычно кристаллизуются с трудом, так как по отношению
к данному таутомеру остальные играют роль примесей. Кроме того, установление
таутомерного равновесия ведет к снижению концентрации таутомера, способного
кристаллизоваться, что весьма существенно. По-видимому, быстрым установлением
таутомерного равновесия можно объяснить, почему сахара часто хорошо
кристаллизуются из уксусной кислоты.
По этим причинам для кристаллизации моносахаридов и их производных
разработан ряд специальных приемов, благодаря которым в настоящее время
значительная часть моносахаридов получена в кристаллическом состоянии. В ряде
случаев моносахариды образуют кристаллогидраты и кристаллические соединения с
неорганическими солями, например с хлористым кальцием.
Пока не установлено какой-либо зависимости между температурой плавления и
структурой моносахаридов. Такая зависимость подмечена только для продуктов
восстановления моносахаридов - полиолов: увеличение размера и степени симметрии
молекулы ведет к повышению температуры плавления, а уменьшение числа
межмолекулярных водородных связей, например за счет образования
внутримолекулярных связей, - к понижению температуры плавления.
Изучению структуры моносахаридов, находящихся в кристаллическом
состоянии, посвящен ряд работ, в которых применялся метод рентге-
ноструктурного анализа. Этими работами было показано, что в изученных случаях
кристаллы моносахаридов состояли из молекул в пиранозной форме, имеющих
наиболее устойчивую кресловидную конформацию (С1 для D-глюкозы и D-ксилозы,
1С для D-арабинозы и L-рамнозы). Таким образом, рентгеноструктурный анализ пригоден
для исследования структуры, конфигурации и конформации моносахаридов в
кристаллическом состоянии.
.2
Оптическая активность
Все моносахариды являются оптически активными соединениями, и долгое
время поляриметрия была единственным физическим методом, успешно применявшимся
при исследовании cахаров. Этот
метод и сейчас сохранил большое значение.
Мерой оптической активности вещества служит его удельное вращение [а],
величина удельного вращения вещества зависит от длины световой волны; поэтому
обычно применяют монохроматический источник света, чаще всего натриевую лампу,
дающую свет с длиной волны 589 ммк.
Измерение удельного вращения моносахаридов и их производных является
одним из наиболее простых и надежных методов контроля их чистоты, а также, как
это будет видно из дальнейшего, дает ценные сведения о структуре, стереохимии и
конформации вещества в растворах.
Для измерения удельного вращения пригодны любые растворители, в которых
изучаемый моносахарид достаточно растворим. Обычно применяют растворы с концентрацией
0,1-1,0%, а в качестве растворителя чаще всего используют воду; для
малополярных производных моносахаридов применяют также хлороформ, метанол,
пиридин и т. д. Поскольку величина удельного вращения зависит от растворителя,
концентрации вещества в растворе и температуры, вместе с величиной удельного
вращения для данного вещества всегда приводятся данные об условиях, в которых
производились измерения.
Известны многочисленные попытки связать величину оптической активности со
структурой вещества. Так, Вант-Гоффом был сформулирован «принцип оптической
суперпозиции», согласно которому молекулярное вращение вещества является
алгебраической суммой оптических активностей всех его асимметрических атомов.
Применительно к сахарам этот принцип был модифицирован Хадсоном в форме его
широко известных правил - изоротации, лактонного и амидного.
В соответствии с первым правилом «изоротации» разность молекулярных
вращений; Двух аномеров для всех альдоз должна была бы быть постоянной. Однако
на сампм деле это не вполне так, имеются две различные константы: большая
соответствует альдозам, имеющим в своей наиболее стабильной конформации
экваториальный гидроксил при С2, а меньшая - альдозам, содержащим
аксиальный гидроксил при С2. Таким образом, существенно сказывается
влияние конфигурации у соседнего с аномерным центром углеродного атома.
Сходные заключения можно сделать и для метилгликозидов. И в этом случае
на величину 2А не влияет ни размер цикла, ни замена гидроксильных групп
метоксильными, ни изменение конфигурации у Сз или С4. Но
конфигурация у С2 и здесь оказывает существенное влияние.
Согласно второму правилу изоротации, изменение заместителей у С1 оказывает
незначительное влияние на величину константы 2В, т. е. сумма молекулярных
вращений обеих аномерных альдоз должна быть равна сумме молекулярных вращений
для соответствующих метил-, этил- и прочих алкилгликозидов, что и
подтверждается экспериментальными данными.
Второе правило изоротации позволяет решить вопрос о размере цикла в
данной паре аномеров. Однако известны значительные отклонения и от второго
правила изоротации. Величина 2В изменяется в широких пределах для гликозидов с
непредельными, ароматическими или другими сильно поляризуемыми агликонами. Так,
например, это правило неприменимо к нуклеозидам.
Лактонное правило Хадсона связывает конфигурацию у С4 или С5
с вращением альдоновых кислот и их лактонов. Если лактон обладает более
положительным вращением, чем исходная альдоновая кислота, то углеродный атом,
участвующий в образовании лактона (С4 для γ- и С5 для δ-лактонов), имеет D-конфигурацию. Если же вращение
лактона более отрицательно, соответствующий углеродный атом должен иметь L-конфигурацию. Лактонное правило
применялось для определения конфигурации у С4 и С5 или
для установления размера лактонного кольца. Однако использование этого правила
может порой приводить к ошибкам, как, например, при определении конфигурации у
С4 в нейраминовой кислоте.
Согласно амидному правилу Хадсона, амид альдоновой кислоты, имеющей D-конфигурацию у С2,
обладает более положительным вращением, чем исходная кислота, а соответствующий
амид с L-конфигурацией у С2 имеет
более отрицательное вращение, чем исходная кислота.
Более детальный анализ связи строения и стереохимии моносахаридов с
величиной их молекулярного вращения проведен Уиффеном. Согласно Уиффену,
молекулярное вращение вещества может быть представлено суммой вращений,
отвечающих всем возможным сочетаниям атомов в нем.
Подход, предложенный Уиффеном, нашел дальнейшее развитие в работах
Брюстера, который разработал более общий метод расчета, позволивший ему на
основании имеющихся экспериментальных данных вычислить значения молекулярного
вращения для многих ациклических, циклических, насыщенных и непредельных
соединений, включая терпены, стероиды, аминокислоты и т. д. Для моносахаридов
Брюстер ввел несколько иную систему констант, чем у Уиффена, и частично
объяснил их физический смысл. Результаты расчетов по Брюстеру совпадают с
найденными экспериментально значениями молекулярного вращения так же хорошо,
как и результаты, полученные по методу Уиффена. Были предложены и другие
системы расчета молекулярных вращений моносахаридов, также дающие
удовлетворительные результаты, но не имеющие больших практических преимуществ
перед относительно простой и наглядной системой Уиффена.
Расчет величины молекулярного вращения по Уиффену или Брюстеру может
оказаться чрезвычайно полезным, когда нужно сделать выбор между несколькими
альтернативными структурами. Он применим также для суждения о конформации
моносахарида в растворе.
Подводя итог, следует отметить, что методы, основанные на измерении
удельного вращения вещества (поляриметрия и дисперсия оптического вращения),
могут применяться для установления конфигурации отдельных углеродных атомов и
решения некоторых структурных вопросов (например, для определения размера
цикла). Существенным ограничением этих методов является наличие исключений из
эмпирических правил, которые невозможно предвидеть. Однако расчетные методы
Уиффена и Брюстера открывают новые перспективы для использования поляриметрии,
которая выгодно отличается от других физических методов простотой измерений и
доступностью необходимого оборудования. По мере дальнейшего развития техники и
накопления соответствующих экспериментальных данных поляриметрия в
ультрафиолетовой области спектра и метод дисперсии оптического вращения также
найдут, по-видимому, более широкое применение при изучении структуры и
стереохимии моносахаридов.
.3
Инфракрасные и ультрафиолетовые спектры моносахаридов и их производных
Несмотря на то, что ИК-спектроскопии моносахаридов и их производных
посвящено весьма значительное число работ, результаты, полученные с помощью
этого метода, остаются достаточно скромными. Это объясняется сложностью
интерпретации ИК-спектров моносахаридов и многочисленными экспериментальными трудностями,
обусловленными особенностями моносахаридов.
В химии сахаров, так же как и в других областях органической химии,
ИК-спектроскопию применяют прежде всего для функционального анализа соединения
- для характеристики функциональных групп и их взаимного расположения. Кроме
того, с помощью ИК-спектра можно иногда получить некоторые сведения о структуре
и стереохимии моносахаридной молекулы в целом. Наконец, ИК-спектроскопия может
использоваться для установления идентичности или неидентичности двух образцов.
Для решения каждой из этих задач приходится выбирать соответствующие
экспериментальные условия.
Так как моносахариды нерастворимы в растворителях, применяемых в
ИК-спектроскопии (СС14, СНС13, CS2), а использование воды в качестве растворителя требует специальной
сложной техники, снятие ИК-спектров в растворе производится только для изучения
замещенных производных моносахаридов. Для самих моносахаридов, а также для их
производных снятие спектров обычно проводится в вазелиновом масле или в
таблетках, состоящих из образца и бромида калия. Каждый из этих методов не
свободен от принципиальных недостатков, а их применение связано с некоторыми
техническими трудностями.
Полос поглощения, характерных для какого-то определенного моносахарида и
присущих только ему, не существует. Поэтому для идентификации путем сравнения
со спектром известного соединения приходится снимать ИК-спектр в широком
интервале частот, обычно от 4000 до 650 см-1, причем особенно
характерной является область 1250-650 слг1, так называемая область
«отпечатков пальцев» (fingerprint).
Надо особо подчеркнуть, что оба образца - исследуемый и заведомо
известный - должны быть приготовлены одним и тем же методом, а сравниваемые
соединения должны находиться в одном и том же агрегатном состоянии. Известно
несколько примеров, когда в ИК-спектрах моносахарида, снятых в аморфном и
кристаллическом состоянии, отдельные полосы оказывались смещенными друг
относительно друга, причем смещение достигало 20 см-1. Нужно также
учитывать возможность образования полиморфных модификаций и кристаллосольватов
с различным количеством связанного растворителя, что очень характерно для
углеводов.
Хотя применение ИК-спектроскопии в химии моносахаридов и дало некоторые
важные результаты, область применения этого метода остается довольно
ограниченной. Наиболее плодотворным оказалось исследование с помощью
ИК-спектроскопии внутримолекулярных водородных связей, но их обнаружение
возможно только в соединениях, достаточно хорошо растворимых в четыреххлористом
углероде, что исключает распространение метода на свободные моносахариды.
Определение размера цикла надежнее проводить другими методами, например при
помощи масс-спектрометрии. Для определения конфигурации у С1 в ряде
случаев более удобна поляриметрия или ЯМР-спектроскопия.
Моносахариды и большая часть их производных не содержат хромофоров,
поглощающих в ультрафиолетовой и видимой областях спектра, поэтому
УФ-спектроскопия находит в химии моносахаридов весьма ограниченное применение
для решения некоторых частных вопросов, например для исследования строения и
таутомерии фенилгидразонов сахаров.
3.4
ЯМР-спектры моносахаридов и их производных
При исследовании моносахаридов ЯМР-спектроскопия, без сомнения, является
наиболее мощным из доступных в настоящее время физико-химических методов, этот
метод может оказаться весьма ценным для установления конфигурации и конформации
моносахаридов.
Информация о структуре и стереохимии вещества из ЯМР-спектра может быть
получена путем рассмотрения интенсивности сигнала, его относительного положения
в спектре, называемого химическим сдвигом, и анализа спин-спинового
взаимодействия, но чаще всего из комбинации всех этих характеристик.
ЯМР-Спектры высокого разрешения позволяют, в принципе, получить сведения
о месте и пространственном расположении всех водородных атомов в молекуле и
способны отражать весьма тонкие различия между этими атомами. Это делает
применение ЯМР-спектроскопии особенно плодотворным в случае углеводов, для
которых так характерно наличие разнообразных типов С-Н-связей, различающихся чаще
всего лишь ориентацией в пространстве или очень небольшими изменениями в
химическом окружении.
ЯМР-Спектры могут быть получены для самих моносахаридов и для их
разнообразных производных.
ЯМР-спектроскопия обладает целым рядом преимуществ при исследовании
Сахаров: применение метода не ограничено растворимостью изучаемых соединений;
он дает точную информацию о функциональном составе, строении, конфигурации и
конформации изучаемых веществ. Трактовка спектра относительно проста. В
настоящее время имеется уже множество работ, посвященных применению
ЯМР-спектроскопии для исследования сахаров. Надо полагать, что
ЯМР-спектроскопия сахаров будет развиваться дальше и по мере усовершенствования
приборов найдет еще более широкое применение.
.5
Масс-спектры моносахаридов и их производных
Масс-спектрометрический метод принципиально отличается от Других
физико-химических методов. ЯМР-, ИК- или УФ-спектроскопия основаны на анализе
такого поглощения энергии внешнего электромагнитного поля веществом, которое
вызывает переход молекулы на более высокие энергетические уровни, но не ведет к
разрыву ковалентных связей. Однако в масс-спектрометрии применяются воздействия
(ускоренные электроны с энергией 20-70 эв, УФ-свет), вызывающие ионизацию
молекулы с потерей одного из электронов и ее дальнейший распад,
сопровождающийся разрывом ковалентных связей. Следовательно, масс-спектрометрия
основана на изучении химических изменений вещества и с этой точки зрения близка
к обычным деструктивным методам органической химии.
В масс-спектрометре происходит разделение ионизированных молекул и
возникающих из них заряженных осколков по их массам. Масс-спектр вещества
представляет собой ряд пиков, каждый из которых соответствует ионам с данным
отношением массы к заряду (т/е), причем последний обычно равен единице. Поэтому
величина т/е чаще всего равна массе данного иона. Интенсивность пика зависит, в
первую очередь, от стабильности соответствующего ему иона, а последняя
определяется законами, хорошо известными из органической химии. Анализируя масс-спектр,
можно получить ценные сведения о структуре исследуемой молекулы.
Имеются два серьезных ограничения в применении масс-спектрометрического
метода. Во-первых, для получения масс-спектра вещества необходимо, чтобы оно
обладало некоторой минимальной летучестью. Современные масс-спектрометры
устроены таким образом, что для измерения масс-спектра нужно перевести образец
вещества в парообразное состояние. Хотя описаны масс-спектры столь
сильнополярных и малолетучих веществ, как метилгликозиды, обычно предпочитают
работать с производными Сахаров, в которых для увеличения летучести большая
часть гидроксильных групп заменена на ацетокси- или метоксигруппы.
Необходимость работы с летучими производными является самым важным техническим
ограничением метода.
Имеются два серьезных ограничения в применении масс-спектрометрического
метода. Во-первых, для получения масс-спектра вещества необходимо, чтобы оно
обладало некоторой минимальной летучестью. Современные масс-спектрометры
устроены таким образом, что для измерения масс-спектра нужно перевести образец
вещества в парообразное состояние. Хотя описаны масс-спектры столь
сильнополярных и малолетучих веществ, как метилгликозиды, обычно предпочитают
работать с производными сахаров, в которых для увеличения летучести большая
часть гидроксильных групп заменена на ацетокси- или метоксигруппы.
Необходимость работы с летучими производными является самым важным техническим
ограничением метода.
Другое, уже принципиальное ограничение применения масс-спектрометрии
связано с относительно низкой чувствительностью этого метода к стереохимическим
особенностям: обычно масс-спектры стереоизомерных сахаров практически
одинаковы, хотя иногда имеются некоторые небольшие различия в интенсквностях
отдельных пиков. Анализ масс-спектра - сложная задача и состоит в выяснении
структур получающихся фрагментов и возможных путей их образования, знание
которых дает возможность воссоздать строение исходной молекулы или ее частей.
Общих закономерностей распада для всех изученных производных моносахаридов
не существует. Для каждой группы имеются свои характерные особенности, и даже
внутри группы механизм распада определяется природой заместителей, связанных с
кислородными атомами, а также другими деталями структуры.
По характеру распада производные моносахаридов можно разделить на три
большие группы: ациклические производные, моноциклические производные и
производные, содержащие несколько циклов. Наиболее просто протекает распад
ациклических производных.
Другие фрагменты возникают за счет отщепления молекулы кетена (т/е=42)
или молекулы уксусной кислоты (т/е=60) от указанных выше четырех первичных
фрагментов. Более сложно протекает распад ациклических производных, имеющих
функциональные группы, например ацетатов аль-форм, тиоацеталей или их ацетатов;
в этом случае разрывы происходят по соседству с функциональной группой.
Распад циклических производных сахаров - пираноз или фураноз -
начинается с разрыва связей, находящихся поблизости от гликозидного центра,
причем распад ацетатов существенно отличается от распада метиловых эфиров, а
фрагментация фураноз от фрагментации пираноз. Для фураноз очень характерен
разрыв связи С4 - С5. Аналогичный разрыв связи С5
- С6 в гексопиранозах происходит в гораздо меньшей степени.
Хотя использование масс-спектрометрии для установления строения частично
метилированных моносахаридов и является очень важным, область применения
масс-спектрометрического метода этим не ограничивается. Есть немало примеров
использования масспектрометрии для определения структуры моносахаридов. Метод
бурно развивается, и, без сомнения, в ближайшем будущем будут найдены новые
области для его дальнейшего применения.
углевод моносахарид олигосахарид полисахарид
Глава 4.
Олигосахариды
.1
Строение олигосахаридов
Класс олигосахаридов составляет промежуточную между моносахаридами и
полисахаридами группу углеводов, которые еще сохраняют многие свойства
мономерных сахаров и в то же время обладают рядом особенностей, характерных для
полисахаридов. Хотя эти соединения по своей структуре и свойствам вплотную
примыкают к упомянутым выше двум большим классам природных сахаров, они имеют
немаловажное самостоятельное значение.
К олиго- и полисахаридам относятся соединения, молекулы которых построены
из остатков моносахаридов, соединенных О-гликозидными связями. Разграничение
олигосахаридов и полисахаридов не может быть сделано строго, поскольку
природные углеводы представлены почти непрерывным рядом соединений от
моносахаридов до высших полисахаридов. Однако с методической точки зрения
целесообразно считать олигосахаридами соединения, содержащие до 8 - 10
моносахаридных звеньев, а к полисахаридам относить более высокомолекулярные
сахара. Внутри класса олигосахаридов различают в зависимости от числа
моносахаридных звеньев дисахариды, трисахариды, тетрасахариды и т. д.
Олигосахаридами в принятой выше несколько условной классификации можно считать
соединения, при изучении которых могут быть применены обычные логические
подходы и методические приемы органической химии. Так, олигосахариды, как
правило, можно выделить в индивидуальном состоянии и для них возможно
установление однозначной структурной формулы, в том смысле, как это принято в
органической химии. Для полисахаридов, напротив, понятие индивидуального
вещества заменяется понятием смеси полимергомологов с однотипной структурой
макромолекул. Поэтому и структурные формулы полисахаридов носят несколько
условный характер, отвечающий условности соответствующего понятия в химии
высокомолекулярных соединений. Отсюда вытекает и ряд различий в методах
исследования обоих классов углеводов: для олигосахаридов характерны методы
классической органической химии, для полисахаридов - методы химии
высокомолекулярных соединений.
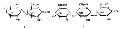
В молекуле олигосахарида, в котором все гликозидные связи образованы
полуацетальным гидроксилом одного моносахарида и спиртовым гидроксилом другого,
в конце цепи остается один незамещенный полуацетальный гидроксил. Такие олигосахариды,
обладающие рядом характерных свойств карбонильных соединений, носят название
восстанавливающих (редуцирующих) олигосахаридов. Примерами восстанавливающих
олигосахаридов могут служить лактоза I и мальтотриоза II:
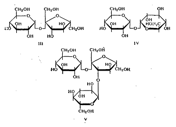
Олигосахариды, в которых один из гликозильных остатков связан гликозидной
связью с полуацетальным гидроксилом другого моносахарида, не содержат ни одного
свободного полуацетального гидроксила. Такие соединения не проявляют
характерных альдегидных реакций и называются невосстанавливающими
(нередуцирующими) олигосахаридами. Типичными представителями
невосстанавливающих олигосахаридов являются сахароза III, трегалоза IV и
мелецитоза V:
Олигосахариды, в которых к спиртовым гидроксилам каждого моно- сахаридного
звена присоединено не более одного гликозильного остатка, называются
неразветвленными; в разветвленных олигосахаридах содержатся моносахаридные
звенья, несущие более одного гликозильного остатка на спиртовых гидроксилах.
Такие звенья называются точками разветвления олигосахаридной цепи.
Соединения II и V могут служить примерами неразветвленных олигосахаридов,
а трисахарид солатриоза VI и тетрасахариды ликотетраоза VII и бифуркоза VIII -
примерами разветвленных олигосахаридов.
Моносахариды, находящиеся на концах олигосахаридных цепей, называются
концевыми (терминальными). В восстанавливающих олигосахаридах отличают
восстанавливающий конец, или восстанавливающее звено, содержащее свободный
полуацетальный гидроксил, от прочих концевых звеньев, которые часто называют
просто концевыми моносахаридами. Так, в формуле VII остатки, отмеченные цифрами
1 и 2, являются концевыми, цифрой 3 обозначено звено, являющееся точкой
разветвления, а цифрой 4 - восстанавливающее звено. Олигосахариды, построенные
из остатков одного моносахарида, называют гомоолигосахаридами, в отличие от
гетероолигосахаридов, в состав которых входят остатки различных моносахаридов.
Так, например, мальтотриоза II является гомотрисахаридом в то время, как
бифуркоза VIII представляет собой гетеротетрасахарид.
.2
Номенклатура олигосахаридов
Существует две системы номенклатуры олигосахаридов. Первая из них
аналогична номенклатуре О-замещенных производных моносахаридов, причем корневым
словом в названии является наименование восстанавливающего звена, а вся
остальная олигосахаридная цепь рассматривается как заместитель при этом
моносахариде. Так, например, лактоза I по этой системе должна быть названа 4-O-(β-D-галактопиранозил)-D-глюкозой, мальтотриоза II - 4-O-[4-O-(α-D-глюкопиранозил)-α-D-глюкопиранозил]-D-глюкозой, а ликотетраоза VII - 4-O-[2-O-(β-D-глюкопиранозил)-3-O-(β-D-ксилопиранозил)-β-D-глюкопир-анозил]-D-глюкозой. Невосстанавливающие олигосахариды называют аналогичным
образом, с той разницей, что корневым словом служит наименование двух
моносахаридных остатков, связанных гликозидной связью через полуацетальные
гидроксилы; один из этих моносахаридных остатков входит в название с суффиксом
«ил», а другой с суффиксом «ид». Так, например, бифуркоза VIII по такой
номенклатуре называется 1,6-бис-O-(β-D-фруктофуранозил)-β-D-фруктофуранозил-α-D-глюкопиракозид.
Другая система номенклатуры, удобная главным образом для неразветвленных
олигосахаридов, предусматривает написание названий гликозильных остатков
подряд, начиная с невосстанавливающего конца. Между ними в скобках помещают
цифры, указывающие номера гидроксильных групп, связанных гликозидной связью.
Эти цифры соединяют стрелкой, направленной от полуацетального гидроксила к
спиртовому. Корневым словом при этом служит название восстанавливающего звена.
По этой системе мальтотриозу II называют α-D-глюкопиранозил-(1→4)-α-D-глюкопиранозил-(1→4)-D-глюкозой.
Иногда встречаются также названия олигосахаридов, в которых использованы
элементы обеих систем номенклатуры. Кроме того, многие олигосахариды имеют
тривиальные названия.
.3
Природные источники олигосахаридов
В свободном состоянии олигосахариды наиболее широко представлены в
растительном мире, где они, по-видимому, в первую очередь играют роль резервных
углеводов. Характерными и наиболее распространенными представителями
растительных олигосахаридов являются олигосахариды группы сахарозы: мелецитоза
V, бифуркоза VIII, раффиноза IX, генцианоза X, стахиоза XI и др.
В основе молекул этих соединений лежит фрагмент сахарозы, спиртовые
гидроксилы которой замещены остатками других моносахаридов, чаще всего D-фруктозы, D-глюкозы и D-галактозы.
По-видимому, эти олигосахариды тесно связаны биогенетически с некоторыми
классами растительных полисахаридов, например с фруктанами, так как углеводные
цепи последних также часто оканчиваются фрагментом сахарозы. К группе
олигомергомологов сахарозы примыкают некоторые важные дисахариды, образующиеся
при частичном гидролизе этих олигомеров. К ним относятся генциобиоза XII,
получаемая при гидролизе генцианозы и ряда природных гликозидов, мелибиоза XIII
(из раффинозы), тураноза XIV (из мелецитозы) и некоторые другие. Большинство из
них найдено также в растениях в свободном состоянии.
В женском и коровьем молоке кроме широко известной лактозы X найдена
группа родственных олигосахаридов, содержащих остаток лактозы. В состав этих
соединений обычно входят D-глюкоза,
D-галактоза, N-ацетил-D-глюкозамин и L-фукоза. Некоторые олигосахариды этой
группы содержат также остаток D-мaннoзы и D-нейраминовой кислоты. Одним из наиболее сложных
представителей этой группы, строение которого установлено полностью, является
лакто-N-дифукогексаоза II (XV), выделенная из женского молока:
развития млекопитающих, так как участвуют в формировании кишечной флоры
новорожденных, необходимой для нормального пищеварения.
Помимо этих двух ясно очерченных групп природных олигосахаридов из живых
организмов выделен и ряд других представителей этого класса, которые в
настоящее время не удается объединить в какие-либо характерные группы по
химическим или биогенетическим признакам.
Важнейшим источником олигосахаридов являются продукты частичного
гидролиза полисахаридов, состоящего в расщеплении полисахаридов на олигомерные
фрагменты. Установление строения этих фрагментов дает важную информацию о
структуре исходного полимера. При расщеплении регулярных гомополисахаридов
получают набор олигомергомологов с повторяющейся структурой моносахаридного
звена. Продукты частичного гидролиза важнейших неразветвленных полисахаридов
образуют семейства неразветвленных гомоолигосахаридов (декстринов). Эти
соединения сыграли большую роль в развитии химии олигосахаридов, так как их
регулярное строение и доступность достаточно полных наборов олигомергомологов
позволили проследить закономерности изменения многих физических и химических
свойств олигосахаридов в зависимости от степени полимеризации. Наиболее важными
группами таких олигосахаридов являются олигомергомологи мальтозы
(мальтодекстрины XVI, целлобиозы (целлодекстрины XVII), ламинаридекстрины
XVIII, ксилодекстрины XIX, маннодекстрины XX, инулодекстрины XXI и др. Названия
этих групп олигосахаридов обычно производят от названия исходного полисахарида
(ламииаридекстрииы - от ламинарина, инулодекстрины - от инулина и т. д.)
Характерно, что низшие представители большинства перечисленных групп
олигомергомологов найдены в природе в свободном состоянии.
При частичном гидролизе разветвленных полисахаридов и
гетерополисахаридов, как правило, образуются сложные смеси олигосахаридов,
весьма разнообразных по структуре и молекулярному весу. Из таких гидролизатов
выделено большинство известных в настоящее время олигосахаридов. Несомненно,
что и в дальнейшем частичный гидролиз сложных полисахаридов будет служить
неисчерпаемым источником новых олигосахаридов. Закономерности строения
получаемых этим путем олигосахаридов тесно связаны со строением исходных
полисахаридов, определяющим предпочтительные места расщепления полисахаридной
цепи. В качестве примера приведем здесь только весьма характерную группу таких
соединений, как альдобиоуроновые кислоты. Гликуроиозидные связи значительно
более устойчивы к кислотному гидролизу, чем гликозидные связи нейтральных
альдоз. Поэтому при исследовании полисахаридов, содержащих уроновые кислоты,
удается подобрать условия, при которых происходит гидролиз всех гликозидных
связей, кроме гликуронозидных. Продуктами такого гидролиза наряду с
моносахаридами оказываются дисахариды, на невосстанавливающем конце которых
находятся остатки уроновых кислот (альдобиоуроновые кислоты).
Помимо выделения из природного материала и частичного гидролиза полисахаридов
олигосахариды получают также путем ферментативного или микробиологического
синтеза. Наиболее интересными и своеобразными представителями этой группы
являются так называемые декстрины Шардингера, которые образуются при гидролизе
крахмала ферментами, продуцируемыми микроорганизмами Bacillus macerans. Это циклические олигосахариды,
имеющие общую формулу XXIV:
Таким образом, большинство известных в настоящее время олигосахаридов
имеет, прямо или косвенно, природное происхождение. Химический синтез
олигосахаридов как источник новых соединений этого класса играет пока подчиненную
роль.
.4
Свойства олигосахаридов
Физические свойства. Большинство олигосахаридов растворимо в воде, мало
растворимо в низших спиртах и практически нерастворимо в других обычных
растворителях, за исключением диметилформамида, формамида и диметилсульфоксида.
При повышенных температурах низшие олигосахариды растворимы в уксусной кислоте
и пиридине. Некоторые высшие неразветвленные регулярные олигосахариды типа
целлодекстринов с трудом растворяются в воде, причем с ростом молекулярного
веса их растворимость быстро падает.
Олигосахариды представляют собой твердые вещества или некристаллизующиеся
сиропы. Получение восстанавливающих олигосахаридов в кристаллическом состоянии
часто является трудной задачей, поскольку в растворе эти соединения
представляют равновесную смесь таутомеров. Излюбленными растворителями для
кристаллизации олигосахаридов являются вода, низшие спирты и уксусная кислота.
Последний растворитель особенно эффективен для низших восстанавливающих
олигосахаридов, поскольку в среде уксусной кислоты мутаротационное равновесие
устанавливается быстро, что сильно ускоряет и облегчает кристаллизацию. Так же
как и моносахариды, восстанавливающие олигосахариды обычно кристаллизуются в
виде одного определенного аномера.
Как аморфные, так и кристаллические олигосахариды нередко плавятся в
некотором интервале температур и, как правило, с разложением.
Химические свойства и производные. Наиболее важные реакции
олигосахаридов, такие как гидролиз, алкилирование, отношение к специфическим
окислителям и восстановителям или к ферментам, изучаются и используются в
процессе установления строения этих соединений и их синтеза. Эти вопросы
освещаются в двух последующих главах, поэтому здесь мы остановимся лишь на
самой общей характеристике химического поведения олигосахаридов.
Химическое поведение олигосахаридов складывается из свойств
восстанавливающего звена (если оно имеется), содержащего заместители в
определенных положениях, и свойств соответствующих гликозильных остатков,
связанных гликозидными связями. Поведение последних в общем сходно с
соответствующими низшими алкилгликозидами. Наиболее характерной реакцией,
свойственной всем олигосахаридам, является их кислотный гидролиз, в результате
которого происходит расщепление гли- козидных связей и образование моносахаридов.
В целом механизм этой реакции и ее закономерности аналогичны гидролизу О-алкилгликозидов. Тонкие различия в
скоростях гидролиза различных типов гликозидных связей в олигосахаридах имеют
большое значение для установления строения этих соединений.
Восстанавливающие олигосахариды проявляют характерные реакции
карбонильной функции в такой же степени, как это свойственно соответствующим
моносахаридам: они мутаротируют в растворах, окисляются до альдоновых кислот и
восстанавливаются до полиолов, образуют озазоны и другие типичные производные
по карбонильной группе; их производным по гликозидному центру свойственна
стереоизомерия, характерная для аналогичных производных моносахаридов и т. д.
Однако наличие гликозидной связи в молекуле восстанавливающих олигосахаридов
накладывает определенные ограничения на возможность проведения некоторых
реакций этих соединений. Так, прямой синтез меркапталей олигосахаридов сопряжен
с значительными трудностями, поскольку эта реакция протекает в сильнокислых
средах, вызывающих расщепление гликозидных связей. Аналогичные осложнения
возникают при синтезе гликозидов по Фишеру из восстанавливающих олигосахаридов,
хотя производные фуранозных форм восстанавливающих олигосахаридов таким путем
удается получить.
Существенные различия в поведении восстанавливающих олигосахаридов и
соответствующих моносахаридов проявляются в тех случаях, когда заместитель
(олигосахаридная цепь) при восстанавливающем звене олигосахарида препятствует
образованию той или иной циклической формы вссстанавливающего звена. Так,
например, лактоза I или целлобиоза XXV не могут давать производных с фуранозной
формой глюкозы, в то время как в леукозе XXVI и ее производных остаток фруктозы
может находиться только в пиранозной форме, в общем мало характерной для этого
моносахарида.
Химический облик невосстанавливающих олигосахаридов складывается из
поведения соответствующих гликозильных остатков и в целом не обладает
какими-либо специфическими особенностями, за исключением способности к
гидролизу.
Для олигосахаридов были синтезированы основные типы производных,
характерных для моносахаридов, хотя в целом число этих производных довольно
ограничено. Это главным образом полные ацетаты, ацетогалогенозы, метил- и
бензилгликозиды и их полные ацетаты. Для многих восстанавливающих олигосахаридов
получены озазоны и другие производные, обычно применяемые для идентификации
сахаров, а также продукты окисления и восстановления альдегидной функции.
Особую группу составляют производные, образующиеся при химическом синтезе
олигосахаридов. Такие соединения часто характеризуются весьма своеобразной
комбинацией защищающих групп, которая не может быть получена каким-либо иным
путем.
Относительно малая изученность производных олигосахаридов объясняется как
малой доступностью большинства соединений этого класса, так и тем, что в этом
разделе химии углеводов синтетические исследования играют лишь подчиненную
роль.
Глава 5.
Полисахариды
.1
Номенклатура и классификация
Полисахаридами называются высокомолекулярные продукты поликонденсации
моносахаридов, связанных друг с другом гликозидными связями и образующих
линейные или разветвленные цепи. Молекулярный вес полисахаридов относительно
высок и может быть измерен существующими методами лишь с известной степенью
приближения; это отличает полисахариды от олигосахаридов, степень полимеризации
которых может быть точно определена классическими химическими и
физико-химическими методами.
Теоретически возможное количество разнообразных полисахаридов необычайно
велико: каждый моносахарид, входящий в состав полимерной молекулы, может
находиться в пиранозной или фуранозной форме, может быть присоединен к любой из
свободных гидроксильных групп следующего моносахаридного остатка α- или β-гликозидной связью и сам может нести
один или несколько моносахаридных заместителей. Правда, молекулы природных
полисахаридов не содержат хаотического набора всевозможных связей и обычно
построены по определенному плану, что объясняется особенностями биосинтеза
полисахаридов. В то же время однотипно построенные молекулы химически однородного
полисахарида, как правило, отличаются величиной, так что выделяемые в настоящее
время индивидуальные полисахариды являются смесями полимергомологов.
Полисахариды могут состоять из одного или нескольких типов моносахаридов,
и в зависимости от этого различают гомо- и гетерополисахариды. По-видимому,
даже самые сложные полисахариды редко содержат больше пяти - шести различных
моносахаридов. К самым распространенным из них относятся гексозы - глюкоза,
галактоза, манноза, пентозы - арабиноза, ксилоза. Кетозы в полисахаридах
встречаются значительно реже альдоз. Широко распространены 6-дезоксигексозы -
рамноза, фукоза, 2-аминосахара - глюкозамин, галактозамин, а также уроновые
кислоты и нейраминовая кислота. Кроме того, многие полисахариды содержат заместители
неуглеводной природы - остатки серной или фосфорной кислот, органических
кислот, обычно уксусной. Смешанные биополимеры кроме углеводной части содержат
белковую или липидную компоненты.
Сложность строения полисахаридов и многообразие известных структур не
позволяют создать для них систематическую химическую номенклатуру. Первые
названия полисахаридов были произведены от источника выделения или в связи с
каким-либо характерным свойством полученного вещества. Таковы прочно
укоренившиеся названия наиболее широко распространенных полисахаридов:
целлюлоза, крахмал, амилоза, амилопектин, гликоген, инулин, пектин, хитин,
гепарин, хондроитин или термины, обозначающие целые классы этих соединений,
например - гемицеллюлозы (полисахариды, сопутствующие целлюлозе в клеточной
стенке растений), полиурониды (полисахариды с преобладанием уроновых кислот в
молекуле), мукополисахариды (полисахариды, содержащие аминосахара) и т. д.
Впоследствии было предложено обозначать полисахариды, заменяя суффикс
«оза» в названии соответствующих моносахаридов на «ан» (но не «озан»,
который обозначает ангидриды сахаров). Таким образом, термины «полисахарид» и
«гликан» являются синонимами. В основу номенклатуры положен моносахаридный
состав полисахаридов. Так, различают гомо- и гетерогликаны, причем D-глюкан - это полимер, построенный
только из остатков D-глюкозы, D-галактo-D-манногликан -
полисахарид (дигликан), содержащий остатки D-галактозы и D-маннозы,
и т. д. Дальнейшая детализация номенклатуры возможна, если более подробно
исследовано строение полисахаридов, например различают линейные и разветвленные
гомогликаны, α- и β-глюканы и т. д.
Для описания большого количества известных в настоящее время
полисахаридов необходимо выбрать ту или иную систему классификации. Поскольку
строгая классификация по химическому строению или по биологической роли из-за
отсутствия для многих полисахаридов исчерпывающих данных невозможна, чаще всего
классифицируют полисахариды по источникам выделения, несмотря на то, что один и
тот же полисахарид может быть получен из совершенно разных источников. Такая
классификация позволяет разделить природные полисахариды на три большие группы:
фитополисахариды, полисахариды микроорганизмов и зоополисахариды, внутри
которых дальнейшее подразделение проводят частично по источникам выделения, а
частично по химическому строению полисахаридов.
.2
Полисахариды в природе
Полисахариды составляют основную массу органического вещества на Земле.
Большая часть сухого веса высших наземных растений и водорослей приходится на
полисахариды; несколько меньшее, хотя и очень значительное количество
полисахаридов выполняет скелетные функции, обеспечивая жесткость клеток или их
агрегатов. К таким полисахаридам относятся целлюлоза и хитин - два наиболее распространенных
в природе органических вещества. Целлюлоза является основным структурным
материалом растений, хотя синтезировать ее способны также некоторые бактерии и
беспозвоночные. Хитин служит главным компонентом скелета членистоногих, а также
входит в состав клеточных стенок грибов. В построении растительных клеточных
стенок принимает участие и ряд других полисахаридов: маннаны грибов,
гемицеллюлозы и пектиновые вещества высших растений. Морские водоросли
значительно отличаются от наземных растений полисахаридным составом клеточных
стенок, что, несомненно, связано со специфическими условиями их обитания.
Характерными компонентами морских водорослей являются полисахариды,
этерифицированные серной кислотой, - агар, каррагинин, фукан, галактаны и ряд
более сложных сульфатов гетерополисахаридов. В организме позвоночных опорные
функции выполняют хондроитинсульфаты и родственные мукополисахариды
соединительной ткани. Клеточные стенки бактерий построены из сложных
гликопротеинов.
Другой важнейшей функцией полисахаридов является использование их живыми
клетками в, качестве энергетических запасов, при необходимости легко
превращаемых в моносахариды, служащие непосредственным источником энергии. К
запасным питательным веществам относятся крахмалоподобные полисахариды -
амилоза и амилопектин, составляющие крахмал высших растений, и гликоген
животных и ряда низших растений. Несколько менее распространены фруктаны,
синтезируемые высшими растениями и бактериями. Запасными веществами морских
водорослей являются кроме крахмалоподобных полисахаридов ламинарин и, возможно,
маннан. Принято считать, что слизи, содержащиеся в семенах высших растений,
также являются энергетическим резервом.
К сожалению, биологическая роль большинства полисахаридов до настоящего
времени не установлена. Хотя образование камедей связывают обычно с
повреждением растительной ткани, детальное выяснение функции камедей и слизей в
растениях является еще делом будущего. Внеклеточные (капсулярные) полисахариды
бактерий, по-видимому, защищают клетки от неблагоприятных внешних воздействий;
известно, что некапсулированные формы бактерий значительно легче подвергаются
фагоцитозу. Мукополисахариды животных не только образуют стенки клеток или
соединяют клетки друг с другом, они теснейшим образом связаны со всеми видами
движения частей тела, где они служат «смазочным материалом». Таковы функции
мукоидов плазмы крови, мочи, синовиальной жидкости, муцинов пищеварительного
тракта и т. д.
Гликопротеины весьма сложного строения, так называемые групповые вещества
крови, содержатся в оболочках эритроцитов, а также в других клетках и
секреторных жидкостях организмов и определяют их групповую принадлежность.
Гликопротеины в организме животных непосредственно связаны с явлениями
оплодотворения, иммунитета, тканевой специфичности. Есть все основания
предполагать участие гликопротеинов в образовании клеточных мембран. Ряд
патологических состояний сопровождается изменением содержания или свойств
гликопротеинов .
В последнее время все в большем количестве белков, в том числе ферментов,
находят углеводные компоненты. Все это объясняет огромный интерес, проявляемый
химиками и биохимиками к этим сложнейшим биополимерам.
.3
Свойства полисахаридов
Молекулярные веса природных полисахаридов находятся в интервале от
нескольких тысяч до нескольких миллионов. Макромолекулярный характер этих
соединений накладывает весьма существенный отпечаток на их физические и
химические свойства.
Благодаря большой величине молекул и гибкости молекулярных цепей растворы
полимеров по своим свойствам резко отличаются от растворов низкомолекулярных
соединений. В общем случае молекулу растворенного полимера можно представить
как беспорядочно свернутый рыхлый клубок, связывающий большое количество
растворителя. Объем такого клубка может во много раз превышать собственный
объем макромолекулы. Поэтому уже в относительно разбавленных растворах
полимеров молекулы находятся в радиусе взаимодействия друг с другом, что влечет
за собой большие отклонения от свойств идеальных растворов, высокие значения
вязкости и т. д.
Растворимость полисахаридов определяется химической природой их молекул,
высокополярных из-за большого количества свободных гидроксильных групп. Этим
объясняется тот факт, что полисахариды, как правило, растворимы в воде,
значительно хуже растворяются в диметилсульфоксиде, формамиде, диметилформамиде
и практически нерастворимы даже в метаноле и этаноле, не говоря о менее
полярных органических растворителях.
Для полисахаридов самым распространенным типом межмолекулярного
взаимодействия является образование межмолекулярных водородных связей, и в этом
случае огромное влияние на свойства полисахаридов оказывает степень
упорядоченности их строения. Так, целлюлоза и хитин, обладающие
стереорегулярной структурой и линейной конформацией молекул, нерастворимы в воде
и лишь слабо набухают в ней, так как энергия межмолекулярного взаимодействия
для этих соединений значительно превосходит энергию гидратации. Даже
целлодекстрины сравнительно низкого молекулярного веса плохо растворимы в воде,
тогда как полисахариды разветвленного строения, не имеющие квазикристаллической
структуры, обычно легко растворяются при молекулярных весах порядка нескольких
миллионов. Ассоциация полисахаридов в растворах также чаще всего обусловлена
межмолекулярными водородными связями; иногда она происходит во времени и
приводит к структурированию и образованию нерастворимых форм, которые выпадают
из раствора в осадок. Это явление называется ретроградацией растворов.
На растворимость полисахаридов сильное влияние оказывают неорганические
соли, рН среды и т. д. Соли, присутствующие в растворе, часто вызывают
разрушение водородных связей и повышение растворимости полисахаридов; высокие
концентрации солей, напротив, уменьшают гидратацию полисахаридных молекул и
приводят к выпадению полисахаридов из растворов. Для полисахаридов, являющихся
полиэлектролитами (полиуроновые кислоты, сульфаты полисахаридов), имеются
дополнительные возможности межмолекулярного взаимодействия за счет
электростатических сил; этим объясняется» по-видимому, нерастворимость в воде их
солей с многовалентными катионами. Аналогичную межмолекулярную сшивку в случае
нейтральных полисахаридов могут вызывать комплексообразователи, например ионы
двухвалентной меди. В кислой среде такие соли и комплексы разрушаются и
полисахариды переходят в раствор. В общем случае, однако, полисахариды лучше
растворяются в щелочной, чем в нейтральной или кислой среде, поскольку действие
щелочи сводится к частичной ионизации и, как следствие, к лучшей гидратации
молекул полисахаридов.
Аналогичные представления о межмолекулярных взаимодействиях помогают
объяснить механические свойства как самих полисахаридов (склонность к
образованию пленок или нитей, их прочность), так и их растворов (вязкость,
склонность к образованию гелей).
Как правило, полисахариды могут быть получены в твердом состоянии в виде
аморфных порошков. Единственная физическая константа, применяемая в
повседневной практике для характеристики полисахаридов, - это удельное вращение
плоскости поляризации растворами полисахаридов, определение которого в ряде
случаев позволяет сделать важные выводы о стереохимии гликозидных связей в
полисахариде.
Макромолекулярный характер полисахаридов оказывает сильное влияние и на
их химические свойства. Хотя в общем случае молекулы полисахаридов содержат
одну концевую альдегидную группу, «удельный вес» этой функции в полимерной
молекуле очень мал, и восстанавливающие свойства удается обнаружить только у
полисахаридов со сравнительно низким молекулярным весом.
Гликозидные связи, соединяющие моносахаридные звенья друг с другом,
чувствительны к действию кислот, поэтому обработка полисахаридов кислотами
вызывает их деполимеризацию. Основной функциональной группировкой полисахаридов
является гидроксильная группа, и превращения этой группы - в первую очередь,
получение простых и сложных эфиров и окисление - играют очень большую роль и
при установлении строения, и в практическом использовании полисахаридов.
Интересно отметить, насколько резко отличаются простые и сложные эфиры
полисахаридов от свободных полисахаридов по физическим свойствам. Эти эфиры
плохо растворимы в воде, легко растворяются в органических растворителях,
причем в производных такого типа отсутствует сильное межмолекулярное
взаимодействие, так как нет возможностей для образования водородных связей.
Другие функциональные группы, встречающиеся в полисахаридах, также могут
участвовать в обычных превращениях. Так, карбоксильные группы уроновых кислот
могут быть этерифицированы, восстановлены, аминогруппы аминосахаров -
ацилированы и т. д. Общими особенностями реакций полисахаридов, связанными с их
полимерным характером, являются трудность достижения полноты реакции по всем
функциональным группам макромолекулы, и трудность проведения избирательных
реакций, если только реагирующие группы не отличаются очень сильно по
реакционной способности.
Глава 6.
Идентификация, анализ чистоты и количественное определение препаратов углеводов
.1
Определение подлинности
Подлинность глюкозы и лактозы устанавливают, нагревая до кипения растворы
препаратов с реактивом Фелинга. При этом глюкоза образует кирпично-красный
осадок оксида меди (I). Лактоза в тех же условиях дает желтый осадок,
переходящий в буровато-красный. При действии на глюкозу, сахарозу и лактозу
аммиачным раствором нитрата серебра выделяется черный осадок серебра. Сахароза
в отличие от глюкозы и лактозы не восстанавливает реактив Фелинга. Для
испытания подлинности к раствору сахарозы (1:2) последовательно прибавляют
растворы нитрата кобальта и гидроксида натрия. Появляется фиолетовое
окрашивание.
Растворы глюкозы и лактозы образуют с фенилгидразином выпадающие в осадок
фенилгидразоны. При последующем нагревании на водяной бане получаются
окрашенные в желтый цвет озазоны. Сахароза не дает положительной реакции с
фенилгидразином . Озазоны имеют характерную температуру плавления. Глюкоза
взаимодействует с тремя молекулами фенилгидразина:
Под воздействием минеральных кислот или щавелевой кислоты моно- и
дисахариды превращаются при нагревании в пробирке на пламени горелки в фурфурол
или его производные (дисахариды вначале гидролизуются в моносахариды). Из
гексоз (глюкоза) образуется окси мети л фурфурол, а из пентоз (фруктоза) -
фурфурол:
Фурфурол или оксиметилфурфурол, являясь летучими соединениями,
взаимодействуют с анилином или новокаином, нанесенным на фильтровальную бумагу,
которой накрывают пробирку. Вначале образуются основания Шиффа, имеющие
светло-желтую окраску, а затем фурановый цикл раскрывается и получается
йолиметиновый краситель - производное оксиглютаконового альдегида
(малиново-фиолетовое окрашивание):

К этой же группе следует отнести цветные реакции, которые дают моно- и
дисахариды с другими фенолами. При нагревании с несколькими кристаллами
резорцина и разведенной соляной кислотой молочный сахар образует желтое, а
сахароза - розовое окрашивание. При смешении кристаллов глюкозы и тимола после
добавления концентрированной серной кислоты появляется темно-красное
окрашивание.
Окрашенные продукты конденсации получаются при взаимодействии
моносахаридов (или гидролизованных дисахаридов) с раствором антрона в
концентрированной серной кислоте:
Появляется зеленое окрашивание, постепенно переходящее в сине-зеленое.
Цветную реакцию с 0,5%-ным раствором хлорида трифенил- тетразолия в
присутствии раствора гидроксида натрия при нагревании дает глюкоза и другие
восстанавливающие сахара. Выпадает красный осадок трифенилформазана:
При добавлении раствора сульфата меди и подщелачивании глюкоза образует
комплексное соединение фиолетово-синего цвета. Этой реакцией одновременно
доказывается наличие как гидроксильных, так и альдегидной групп
(восстанавливающих медь при стоянии). Присутствие гидроксильных групп можно
также доказать реакцией ацетилирования.
Показателем качества препаратов углеводов является удельное вращение
растворов, характеризующее оптическую активность. Для установления удельного
вращения глюкозу предварительно сушат при 100-105°С до постоянной массы.
Измерение угла вращения глюкозы и сахара молочного производят с помощью
поляриметра после предварительного прибавления к испытуемому раствору двух
капель раствора аммиака. При этом ускоряется процесс мутаротации. Он связан с
установлением равновесия в образовании двух эпимеров: 64% alfa-D(+)-глюкозы и 36% beta-D(+)-глюкозы. Это создает усредненное
значение удельного вращения раствора глюкозы, равное +52,5° (ГФ допускает
51,5-53,0°). Аналогично осуществляют процесс эпимеризации сахара молочного.
Под действием кислот или фермента инвертазы сахароза гидролизуется.
Образующуюся смесь D-глюкозы и D-фруктозы называют инвертным сахаром.
Эта смесь является левовращающей, так как оптические свойства ее складываются
за счет удельного вращения глюкозы (4-52,5°) и левовращающей фруктозы (-93°).
.2
Количественное определение
Количественного определения препаратов глюкозы, лактозы и сахарозы НТД не
предусмотрено. Однако провести количественную оценку этих веществ можно
различными методами.
Содержание глюкозы определяют иодометрическим методом, основанном на
окислении альдегидной группы щелочными растворами иода до образования натриевой
соли глюконовой кислоты:
Аналогичным методом можно определить лактозу.
Один из титриметрических методов анализа моносахаридов и дисахаридов
основан на использовании реактива Фелинга. Его добавляют к навеске препарата
точно отмеренное количество, а затем иодометрически устанавливают остаток
неизрасходованного на окисление катиона меди (II). По разности вычисляют,
сколько получилось восстановленной меди и, соответственно, каково содержание
глюкозы или лактозы. Сахарозу перед определением необходимо инвертировать.
Поляриметрический метод определения сахаров основан на измерении угла
вращения поляризованного луча. Угол вращения а (в градусах), измеряемый на
поляриметре, и удельное вращение [a]D связаны между собой уравнением: [а]D = 100 а/lс. Зная удельное вращение, длину трубки l и измерив угол вращения, можно
вычислить объемную долю с (%) по формуле:
Содержание
сахарозы определяют с помощью поляриметра. С этой целью готовят водный раствор,
содержащий около 26 г сахарозы (точная навеска). Обязательным условием является
строгое соблюдение температурного режима (20°С) при доведении объема раствора
до метки в мерной колбе вместимостью 100 мл. В случае необходимости раствор
фильтруют, помещают в трубку длиной 2 дм и снимают показания поляриметра.
Объемную
долю сахара с (%) в пересчете на сухое вещество вычисляют по формуле:
,
где
b - потеря в массе при высушивании, % .
Хранят
препараты углеводов в хорошо укупоренной таре при комнатной температуре.
Глюкоза в водных растворах при хранении окисляется, растворы сахарозы и
молочного сахара постепенно гидролизуются с образованием моносахаридов. Следует
также учитывать гигроскопичность cахаров.
Применяют
глюкозу при различных заболеваниях сердца, печени, шоке, коллапсе в качестве
источника легко усвояемого организмом питания, улучшающего функции различных
органов. Назначают глюкозу внутрь (по 0,5-1,0 г), внутривенно до 20-50 мл
40%-ного раствора. Сахарозу и сахар молочный используют в фармацевтической
практике в качестве наполнителей при приготовлении таблеток и порошков. Из
сахарозы готовят сиропы, которые применяют как корригирующее средство.
В
фармацевтической практике применяют также крахмал (Amylum). Он
представляет собой смесь, полисахаридов с общей формулой (С6Н10О5)x.
Молекула крахмала включает остатки α-D-глюкопиранозы,
отличающиеся друг от друга степенью полимеризации и характером связей.
Полисахариды, входящие в состав крахмала, можно разделить на две фракции:
амилозу и амилопектин. Получают крахмал из пшеницы, кукурузы, картофеля. Он представляет
собой белый нежный порошок без запаха и вкуса, нерастворимый в холодной воде,
спирте, эфире. Крахмал используют в качестве наполнителя при изготовлении
таблеток.
При
вливании в 100 мл кипящей воды при постоянном перемешивании смеси крахмала с
водой (1:5) и последующем кипячении в течение 2-3 мин образуется мало
прозрачный клейстер беловатого цвета с голубоватым оттенком нейтральной или
слабокислой реакции. От прибавления к остывшему крахмальному клейстеру 1 капли
0,5%-ного раствора иода появляется синее окрашивание. Крахмальный клейстер
применяют в качестве индикатора при иодометрическом титровании.
Глава 7.
Экспериментальная часть
.1
Методика анализа
Раствор глюкозы 5%, Solutio Glucosi 5%
Состав:
· Глюкозы безводной - 50 г
· Раствора соляной кислоты 0,1 н. - до рН 3,0-4,0
· Натрия хлорида - 0,26 г
· Воды для иньекций - до 1 л
Раствор фильтруют, разливают в ампулы нейтрального стекла по 10, 20, 25
или 50 мл и стерилизуют текучим паром при 100° в течение 60 минут или
насыщенным паром при 119-121° в течение 5-7 минут.
Описание. Бесцветная или слегка желтоватая прозрачная жидкость.
Подлинность. К 1 мл препарата прибавляют 5 мл реактива Фелинга и
нагревают до кипения; образуется кирпично-красный осадок.
Цветность. Окраска препарата не должна быть интенсивнее эталона № 5а.
рН 3,0-4,0.
Испытание на пирогенность. Количество вводимого 5% раствора - 10 мл на 1 кг веса
животного. Более концентрированные растворы разводят апирогенной водой до 5%.
Количественное определение. Испытуемый препарат и стакан с дистиллированной водой
помещают возле рефрактометра в сосуд с водой температуры 20° на 30 минут. Через
рефрактометр в течение 30 минут перед определением и в процессе определения
пропускают воду с температурой 20°.
На призму рефрактометра наносят несколько капель воды и по шкале находят
показатель преломления. Вытирают призму досуха, наносят на нее несколько капель
испытуемого раствора и находят показатель преломления, который определяют 3-4
раза, каждый раз беря новую порцию препарата. Для расчета берут среднее из всех
определений.
Содержание глюкозы (X) вычисляют по формуле:
где
n - показатель преломления препарата;
n0 - показатель преломления воды;
,00142-
величина прироста показателя преломления при увеличении концентрации глюкозы на
1 %
Содержание
С6Н12О6 в 1 мл препарата соответственно должно
быть 0,0485-0,0515 г;
.2
Результаты анализа
|
Название и лекарственная форма препарата
|
Показатель
|
№ п/п
|
Методика исследования
|
Результат
|
|
Раствор глюкозы 5%
|
Подлинность
|
1
|
К 1 мл препарата прибавляют 5 мл реактива Фелинга и
нагревают до кипения; образуется кирпично-красный осадок.
|
Соответствует
|
|
Раствор глюкозы 5%
|
Подлинность
|
2
|
Окраска препарата не должна быть интенсивнее эталона № 5а.
|
Соответствует
|
|
Раствор глюкозы 5%
|
Подлинность
|
3
|
Показатель рН должен находиться в пределе 3,0-4,0.
|
Соответствует
|
|
Раствор глюкозы 5%
|
Количественное определение
|
4
|
Испытуемый препарат и стакан с дистиллированной водой
помещают возле рефрактометра в сосуд с водой температуры 20° на 30 минут.
Через рефрактометр в течение 30 минут перед определением и в процессе
определения пропускают воду с температурой 20°. На призму рефрактометра
наносят несколько капель воды и по шкале находят показатель преломления.
Вытирают призму досуха, наносят на нее несколько капель испытуемого раствора
и находят показатель преломления, который определяют 3-4 раза, каждый раз
беря новую порцию препарата. Для расчета берут среднее из всех определений.
Содержание С6Н12О6 в 1 мл препарата
соответственно должно быть 0,0485-0,0515 г;
|
Соответствует
|
Выводы
Углеводы, в число которых входят также сахара, широко распространены в
природе; они входят в состав растительных и животных организмов и играют важную
роль в их жизнедеятельности. Углеводы являются источником энергии в живой
природе и строительным материалом для растительных и некоторых животных тканей.
Предполагают, что углеводы являются биологическими предшественниками двух
других составных частей растительного мира - белков и жиров. Во всяком случае,
такие факторы роста, как витамины, аскорбиновая кислота и инозит, по своему
строению также близки углеводам. Название углеводы связано с тем, что многим
сахарам соответствует состав СnН2nОn
или Сn(Н2O)n, т. е. что они состоят как бы из углерода и воды.
Полисахарозам соответствует общая формула (С6Н10О5)n * Н20, где п - достаточно
велико; они безвкусны, аморфны и не растворимы в воде. Так же, как и
дисахарозы, они при гидролизе превращаются в С6- и С5-
сахара.
Среди моносахароз наиболее важное значение приобрели гексозы и, в
частности, глюкоза и фруктоза.
Глюкоза является наиболее часто встречающимся в природе сахаром, в
сочетании с другими монозами она содержится в тростниковом и молочном сахаре и
входит в состав многих глюкозидов. При нагревании раствора глюкозы с жидкостью
Фелинга выделяется кирпично-красный осадок закиси меди.
Чистоту препарата определяют по бесцветности и прозрачности водного
раствора и отсутствию посторонних примесей в соответствии с требованиями ГФХ.
Дисахарозы рассматривают как гликозиды, в которых в качестве «аглюкона»
содержится вторая молекула моносахарозы. Своим сладким вкусом и растворимостью
в воде они сходны с моносахарозами. В свободном состоянии встречаются три
представителя: сахароза (тростниковый сахар), лактоза (молочный сахар) и
мальтоза, причем последняя встречается в свободном состоянии лишь в редких
случаях. Сахароза не восстанавливает раствор Фелинга и не реагирует с
фенилгидразином. В отличие от большинства cахаров она легко кристаллизуется. В течение столетии
сахарозой пользуются как важным пищевым продуктом; в фармацевтической практике
ее используют для разбавления и консервации фармацевтических препаратов,
например, для приготовления порошкообразных экстрактов из растительных вытяжек,
таблеток, драже, пастил и пр.
Чистоту препарата определяют по бесцветности и прозрачности его водных
растворов, отсутствию инвертированного сахара и других восстанавливающих
веществ (определяемых с помощью раствора Фелинга), отсутствию солей тяжелых
металлов, кальция, сульфатов и хлоридов, а также неизменяемости под влиянием
разбавленной серной кислоты (барий, стронций). При смешении концентрированного
раствора сахара (66%) со спиртом не должно быть мути или осадка (сульфат
кальция, другие примеси). При сжигании и прокаливании остаток не должен
превышать 0,1% (минеральные вещества).
Молочный сахар (лактоза) встречается в молоке млекопитающих; женское
молоко содержит 5-8% лактозы, коровье 4-6%.
В промышленном масштабе лактозу получают в качестве побочного продукта
при производстве сыра. Молочный сахар обладает восстановительной способностью,
дает озазон и может быть получен в двух кристаллических формах, соответствующих
α- и β-формам. При гидролизе дает глюкозу и
галактозу. Восстанавливает жидкость Фелинга.
Чистоту препарата определяют по прозрачности и бесцветности раствора,
отсутствию запаха, кислотности, декстрина, солей тяжелых металлов, хлоридов,
сульфатов, кальция, крахмала.
В фармацевтической практике применяют как разбавитель в порошках,
таблетках, экстрактах и т. д.
Полисахариды - высокомолекулярные соединения - полимеры, образованные из
большого числа моносахаридов. Они делятся на перевариваемые и неперевариваемые
в желудочно-кишечном тракте. К перевариваемым относят крахмал и гликоген, из
вторых для человека важны клетчатка, гемицеллюлоза и пектиновые вещества.
В организме углеводы выполняют следующие функции:
· Являются основным источником энергии в организме
· Обеспечивают все энергетические расходы мозга (мозг поглощает
около 70% глюкозы, выделяемой печенью)
· Участвуют в синтезе молекул АТФ, ДНК и РНК.
· Регулируют обмен белков и жиров
· В комплексе с белками они образуют некоторые ферменты и
гормоны, секреты слюнных и других образующих слизь желез, а также другие
соединения
· Пищевые волокна улучшают работу пищеварительной системы и
выводят из организма вредные вещества, пектины стимулируют пищеварение
Углеводы, наряду с жирами и белками, относятся к важнейшим и незаменимым
компонентам пищи. Представляют собой органические соединения, состоящие из
углерода, водорода и кислорода. Они синтезируются в растениях из воды и
углекислого газа, используя энергию солнечного света, или животными в виде
гликогена, накапливающегося в мышцах и печени.
Углеводы, в следствии легкодоступности и быстроты усвоения, являются
основным источником энергии для организма. Но, несмотря на то, что человеку
необходимы большие количества углеводов для обеспечения процессов
жизнедеятельности, их резервы в организме невелики. Поэтому их запасы должны
постоянно восполняться.
Проанализированный раствор глюкозы 5% по показателям идентификации соответствуют
требованиям нормативно-технической документации.
Список
использованной литературы
1. Фармацевтична хімія. Підручник для студентів вищ. фармац. начальних закладів і фарм.
фак. вищих мед. навчальних закладів III-IV рівня акредитації / За заг.
ред. П.О. Безуглого. - Вінниця: Нова книга, 2008. - 560 с.
2. Арзамасцев А.П. Фармакопейный анализ - М.: Медицина, 1971.
. Беликов В.Г. Фармацевтическая химия. В 2 частях. Часть 1. Общая
фармацевтическая химия: Учеб. для фармац. ин-тов и фак. мед. ин-тов. - М.:
Высш. шк., 1993. - 432 с.
. Глущенко Н.Н. Фармацевтическая химия: Учебник для студ. сред.
проф. учеб. заведений / Н. Н. Глущенко, Т.В. Плетенева, В.А. Попков; Под ред.
Т. В. Плетеневой. - М.: Издательский центр «Академия», 2004. - 384 с.
. Драго Р. Физические методы в химии - М.: Мир, 1981
. Кольтгоф И.М., Стенгер В.А. Объемный анализ В 2 томах - М.:
Государственное научно-техническое издательство химической литературы, 1950
. Коренман И.М. Фотометрический анализ - М.: Химия, 1970
8. Коростелев
П.П, Фотометрический и комплексометрический анализ в металлургии - М.:
Металлургия, 1984, 272 с.
9. Логинова Н.В., Полозов Г.И. Введение в фармацевтическую химию: Учеб.
пособие - Мн.: БГУ, 2003.-250 с.
10. Мелентьева
Г.А., Антонова Л.А. Фармацевтическая химия. - М.: Медицина, 1985.- 480 с.
11. Мискнджьян С.П. Кравченюк Л.П. Полярография лекарственных препаратов. - К.: Вища школа, 1976. 232 с
12. Фармацевтическая
химия: Учеб. пособие / Под ред. Л.П. Арзамасцева. - М.: ГЭОТАР-МЕД, 2004. - 640
с.
13. Фармацевтический
анализ лекарственных средств / Под общей редакцией В.А. Шаповаловой - Харьков:
ИМП «Рубикон», 1995
14. Фармацевтичний аналіз: Навч. посіб. для студ. вищ. фармац. навч.
закл. III-IV рівнів акредитації/П.О. Безуглий,
В.О. Грудько, С.Г. Леонова та ін.; За ред. П.О. Безуглого,- X.: Вид-во НФАУ;
Золоті сторінки, 2001.- 240 с.
15. Халецкий A.M. Фармацевтическая химия - Ленинград:
Медицина, 1966
. Эшворт М.Р. Титриметрические методы анализа органических
соединений кн.1,2 - М.: Химия, 1972