Моносахариды. Глюкоза

  • Вид работы:
    Курсовая работа (т)
  • Предмет:
    Химия
  • Язык:
    Русский
    ,
    Формат файла:
    MS Word
    130,28 Кб
  • Опубликовано:
    2015-01-03
Вы можете узнать стоимость помощи в написании студенческой работы.
Помощь в написании работы, которую точно примут!

Моносахариды. Глюкоза

Министерство образования и науки РФ

Тверской государственный технический университет (ТвГТУ)

Кафедра технологии полимерных материалов










КУРСОВАЯ РАБОТА

по дисциплине «Органическая химия»

на тему: Моносахариды. Глюкоза


Выполнил: гр. ХТ-1102

Пономарев Е.В.






Тверь 2013

Содержание

Введение

1. Физические свойства

2. Методы получения глюкозы

2.1 Получение глюкозы альдольной конденсацией

2.2 Получение глюкозы неполным окислением многоатомных спиртов

2.3 Получение глюкозы гидролизом цианогенных гликозидов

2.4 Получение глюкозы гидролизом крахмала

2.4.1 Ферментативный гидролиз крахмала

2.4.2 Кислотный гидролиз крахмала

2.5 Получение глюкозы ферментативным расщеплением синигрина

2.6 Получение глюкозы гидролизом мальтозы

2.7 Получение глюкозы кислотным гидролизом сахарозы

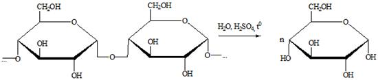
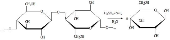
2.8 Получение глюкозы гидролизом целлюлозы

2.8.1 Гидролиз разбавленной кислотой

2.8.2 Гидролиз концентрированной кислотой

2.8.3 Ферментативный гидролиз

3. Электронная структура глюкозы

4. Химические свойства глюкозы

4.1 Реакции по гидроксильной группе

4.2 Реакции по карбонильной группе

4.3 Дегидратация глюкозы

4.4 Реакции окисления

4.5 Реакции восстановления

4.6 Брожение моносахаридов

5. Определение глюкозы

6. Применение

Список использованных источников

Введение

D-Глюкоза (виноградный сахар) отдельный представитель моносахаридов. Примерно в два раза уступает по сладости сахарозе. Содержится в растениях как в свободном виде, так и в составе ди- и полисахаридов. В промышленности глюкозу получают из крахмала кипячением с разбавленной серной кислотой. В зависимости от условий кристаллизации глюкоза в кристаллическом состоянии может существовать в б- или в-форме. В свободном состоянии глюкоза встречается не только в растениях, меде, но и в животных организмах. Так в крови человека всегда содержится от 0,08 до 011% глюкозы.

1. Физические свойства

Глюкоза (glucose) - Шестиатомный моносахарид, наиболее распространенный в природе, входит в состав олиго- и полисахаридов, гликопротеинов.


Бесцветное кристаллическое вещество сладкого вкуса, растворимое в воде, растворимо в реактиве Швейцера (аммиачном растворе гидроксида меди Cu(NH3)4(OH)2), в концентрированном растворе хлорида цинка и концентрированном растворе серной кислоты. Молярная масса 180,16 г/моль Плотность 1.54 г/смі Температура плавления б-D-глюкоза: 146 °C; в-D-глюкоза: 150 °C Растворимость в 100 мл Н2О - 82 г при 25 0С, 154 г при 15 0С.

глюкоза окисление гидролиз расщепление

2. Методы получения глюкозы

.1 Получение глюкозы альдольной конденсацией

Синтез глюкозы из формальдегида в присутствии гидроксида кальция впервые был произведён А.М. Бутлеровым в 1861 году.

 

2.2 Получение глюкозы неполным окислением многоатомных спиртов



2.3 Получение глюкозы гидролизом цианогенных гликозидов


Одна из группа растительных О-гликозидов - цианогенные гликозиды (содержатся в семенах некоторых растений), агликоновый компонент которых образован из б-циангидринов. Их особенностью является способность выделять глюкозу при ферментативном гидролизе, которому они подвергаются чрезвычайно легко.


.4 Получение глюкозы гидролизом крахмала

.4.1 Ферментативный гидролиз крахмала

Получение D-глюкозы из крахмала с помощью ферментативного гидролиза. Ферментативный гидролиз крахмала и крахмалоподобных полисахаридов происходит под действием амилаз. б-Амилаза превращает крахмал в декстрины (олигосахариды, содержащие 6-10 остатков D-глюкозы) и небольшое количество мальтозы. Эта стадия гидролиза идет быстро и фиксируется резким падением вязкости раствора. Декстрины далее медленно гидролизуются при участии фермента в-амилазы с образованием мальтозы. Под действием фермента мальтазы происходит гидролиз мальтозы до глюкозы.


2.4.2 Кислотный гидролиз крахмала


2.5 Получение глюкозы ферментативным расщеплением синигрина


Синигрин - простейший представитель группы гликозидов, которые расщепляются ферментом мирозином, специфичным для данного класса соединении. Синигрин в виде калиевой соли содержится в семенах черной горчицы и в хрене. Под действием мирозина он расщепляется на D-глюкозу, горчичное масло или аллилизотиоцианат и бисульфат калия.


2.6 Получение глюкозы гидролизом мальтозы


Мальтоза - солодовый сахар <#"821928.files/image009.jpg">

.7 Получение глюкозы кислотным гидролизом сахарозы

В результате гидролиза сахарозы (тростникового сахара) образуются глюкоза и фруктоза.


2.8 Получение глюкозы гидролизом целлюлозы


2.8.1 Гидролиз разбавленной кислотой

Производится при температуре 120-190 0С и давлении выше атмосферного.


2.8.2 Гидролиз концентрированной кислотой

Производится при температуре 55-65 0С и атмосферном давлении.


2.8.3 Ферментативный гидролиз

Производится при температуре 40-60 0С и атмосферном давлении.


3. Электронная структура глюкозы


Внутримолекулярное замыкание цикла в циклическую полуацетальную структуру связано с возникновением нового хирального центра, аномерного атома углерода. Из одной энантиомернойоксоформы вследствие этого могут образоваться две хиральныедиастереомерные циклические полуацетальные формы - аномеры. Эти стереоизомеры обозначают как б- и в-формы. В фишеровских проекциях в D-ряду гликозидный гидроксил б-формы располагают справа, а в в-форме - слева.

Диастереомерные циклические полуацетали могут через промежуточное образование оксоформы превращаться друг в друга:


На основании эпимеризации такого рода может быть дано объяснение явлению мутаротации. D-(+)-Глюкоза кристаллизуется из воды в виде б-D-(+)-глюкозы (б-D-(+)-глюкопиранозы) c [б]D20 = +111°, из пиридина она кристаллизуется в виде в-D-(+)-глюкозы (в-D-(+)-глюкопиранозы) с [б]D20 = + 19,2°. В водном растворе устанавливается равновесие, при котором имеется 36% б-D-(+)-глюкозы и 64% в-D-(+)-глюкозы, что дает для удельного вращения раствора усредненное значение [б]D20 = + 52,5°.

В водных растворах глюкоза существует в виде таутомерной смеси открытой и циклической форм (кольчато-цепная таутомерия). При растворении любого из индивидуальных аномеров происходит его превращение в другой аномер вплоть до достижения равновесного состояния, после чего соотношение таутомеров остается постоянным.

По сравнению с проекционными формулами лучшее представление о конфигурации полуацетальных циклических форм моносахаридов можно дать с помощью перспективных циклических формул по Хеворту.


Гидроксильные группы при атомах С1 и С2 б-D-глюкопиранозы находятся в цис-положении, в в-D-глюкопиранозе те же ОН-группы расположены в транс-положении. Циклические формулы по Хеворту находят широкое применение, хотя они и недостаточно точно передают истинное пространственное строение молекул. Наиболее энергетически выгодной конформацией является конформация кресла. б-D-глюкопираноза и в-D-глюкопираноза преимущественно должны существовать в следующих конформациях:

б-D-глюкопираноза в-D-глюкопираноза

Возможно существование двух конформаций типа кресла (К1и1К), которые энергетически неравноценны. D-Глюкопираноза обычно существует в конформации К1, в которой группы ОН экваториальны (лежат в плоскости кольца), а не в конформации 1К, в которой группы ОН аксиальны (перпендикулярны плоскости кольца).

Рисунок 4 - Конформации глюкозы: а), в) конформация К1, б) конформация 1К

Конформация К1 с экваториальным расположением гидроксильных групп энергетически более выгодна, в этой конформации гидроксилы оказываются более реакционноспособными, например по отношению к реакциям этерификации, и легче образуют глюкозидные связи.

На устойчивость конформации моносахаридов сильное влияние оказывает так называемый Д2-эффект, обусловленный присутствием в цикле атома кислорода. Д2-Эффект проявляется в том случае, если гидроксил при С2 расположен аксиально, а заместитель при С1 - экваториально. При этом кислородные атомы гидроксилов при С1 и С2 и кислород цикла оказываются пространственно сближенными, что приводит к сильному отталкиванию одноименно заряженных атомов, вследствие чего конформация оказывается очень неустойчивой.

Второй эффект, связанный с влиянием кислорода в цикле, заключается в большей устойчивости производных по С1 у б-аномера, несмотря на то, что в нем гидроксил занимает аксиальное положение, а в в-аномере - экваториальное. Этот эффект, называемый “аномерным”, обусловлен взаимодействием диполя связи С-X (в частном случае С-О) и суммарного диполя неподеленной пары электронов атома кислорода и электронов цикла. Величина аномерного эффекта зависит от полярности связи С-X.Если заместитель X экваториален, то угол между диполями мал и отталкивание сильнее, при аксиальном заместителе угол значительно больше и взаимодействие слабее:


4. Химические свойства глюкозы


4.1 Реакции по гидроксильной группе


Алкилирование.Результат взаимодействия зависит от природы алкилирующего агента и условий реакции.Метанол в присутствии сухого НСlметилирует только полуацетальный или полукетальный гидроксил, образуя смесь б-и в-метилглюкопиранозидов. Алкилирование остальных гидроксильных групп удается осуществить только действием сильных алкилирующих средств, например, диметилсульфата (СН3)2SO4 и щелочи.


б-D-глюкопираноза метил-б-D-глюкопиранозид метил-в-D-глюкопиранозид

метил-2,3,4,5-тетраметил-б-D-глюкопиранозид

Ацилирование. Глюкоза легко этерифицируется с образованием сложных эфиров. Ацилирование обычно осуществляют избытком уксусного ангидрида в присутствии кислотных (H24, ZnCl2) или основных (CH3COONa) катализаторов. Соотношение между б-и в-аномернымипентаацетатами можно регулировать, меняя условия реакции.


При повышенных температурах в результате взаимопревращений б-и в-ацетатов образуется смесь, состоящая на 90% из б- и на 10% из в-аномеров. При 0 °С образуется в основном в-аномер.

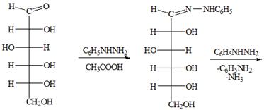
4.2 Реакции по карбонильной группе


В результате взаимодействия D-глюкозы с избытком фенилгидразина сначала образуется фенилгидразон, который дегидрируется второй молекулой фенилгидразина, превращающейся при этом в аммиак и анилин с формированием второй карбонильной группы. Последующая реакция третьей молекулы фенилгидразина приводит к бис-фенилгидразону, или озазону.

Реакции глюкозы с гидроксиламином. Оксимы глюкозы в растворах образуют таутомерные циклические б- и в- формы.


На этой реакции основан один из способов укорочения цепи глюкозы:

Дегидратация оксима при действии уксусного ангидрида сопровождается одновременным ацилированием всех гидроксигрупп. В результате последующей переэтерификации с образованием метилацетата и одновременного отщепления HCN образуется альдоза с углеродной цепью, укороченной по сравнению с исходной на один атом углерода, - D-арабиноза.

4.3 Дегидратация глюкозы


Происходит при действии минеральных кислот и приводит к производному фурана - 4-гидроксиметилфурфуролу, который, теряя молекулу муравьиной кислоты, превращается в левулиновую (4-оксопентановую) кислоту.


4.4 Реакции окисления


Окисление глюкозы можно осуществить различными по силе окислителями, которые, соответственно этому, дают разные продукты окисления.

Глюкоза окисляется до гликоновойкислоты в мягких условиях такими слабыми окислителями, как:

бромная вода Вr22О


реактив Толленса (реакция “серебряного зеркала”):


- раствор Фелинга: CuSО4 + NaOH + KOOC-CHOHCHOHCOONа.

В результате реакции выпадает красный осадок оксида меди.

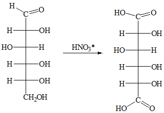
Сильные окислители, например, концентрированная HNO3, окисляют оба концевых атома углерода глюкозы с образованием сахарных (гликаровых) двухосновных кислот:


В щелочной среде окисление обычно идет с разрывом С-С связи и образованием продуктов окисления с меньшей длиной углеродной цепи.

Расщепление глюкозы осуществляют также действием периодат-иона IO-4или тетраацетата свинца (СНзСОО)4Рb - специфических реагентов на б-гликольную группировку.


Анализ продуктов окисления позволяет установить строение моносахаридов.

В результате расщепления D-глюкозы образуются иные продукты реакции:


4.5 Реакции восстановления


Восстановление глюкозы амальгамой натрия в разбавленной H2SO4, NaBH4 в воде или каталитически водородом над Ni, Pt, Pd идет легко, с образованием многоатомных спиртов. Глюкоза при восстановлении дает D-сорбит.


4.6 Брожение моносахаридов


Отличительным свойством моносахаридов является их способность вступать в анаэробное (без доступа кислорода) расщепление под влиянием микроорганизмов или выделенных из них ферментов. Такие процессы называются брожением.

Характер продуктов брожения зависит от типа микроорганизма, условий, при которых оно осуществляется (рН, наличие или отсутствие кислорода, природа субстрата и т. д.).

Спиртовое брожение - это расщепление глюкозы в анаэробных условиях смесью ферментов - зимазой, которую выделяют дрожжевые грибки.


В результате анаэробного ферментативного расщепления глюкоза превращается в пировиноградную кислоту, которая декарбоксилируется пируватдекарбоксилазой. Образующийся уксусный альдегид восстанавливается до этанола восстановленным никотинамидадениндинуклеотидом (НАД·Н), входящим в состав фермента алкогольдегидрогеназы.

Уксуснокислое брожение. Если брожение осуществляется в присутствии кислорода, то в качестве основного продукта получают уксусную кислоту. В атмосфере воздуха возникающий в процессе брожения спирт окисляется кислородом при катализе алкогольоксидазой, выделяемой уксуснокислыми бактериями (Acetobacter).

СН3СН2ОН → СН3СООН + Н2О2

Молочнокислое брожение.При ферментативном брожении под действием Lactobacillusdelbruckii пировиноградная кислота восстанавливается до молочной кислоты с помощью НАД·Н.


г) Лимоннокислое брожение глюкозы можно осуществить под действием Aspergillusniger, Citromycespfefferianus, Citromycesgraber.


5. Определение глюкозы


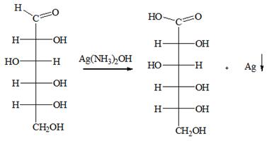
Реакция "серебряного зеркала" - это реакция восстановления серебра в аммиачном растворе оксида серебра (реактив Толленса). В водном растворе аммиака оксид серебра образует комплексное соединение - гидроксид диамин серебра [Ag(NH3)2]OH

Ag2O + 4 NH4OH => 2 [Ag(NH3)2]OH + Н2O

при действии которого на альдегид происходит окислительно-восстановительная реакция с образованием соли аммония:

R-CH=O + 2 [Ag(NH3)2]OH => RCOONH4 + 2 Ag +3 NH3 + H2O

Серебряное зеркало образуется в том случае, если восстанавливающееся серебро осаждается на гладких стенках сосуда из не слишком концентрированных растворов. Малейшие загрязнения мешают восстанавливающемуся серебру прикрепиться к стеклу и заставляют его выделяться в виде рыхлого осадка.



6. Применение


Глюкоза находит применение в различных отраслях промышленности: - в пищевой промышленности, как заменитель сахарозы; - в кондитерской промышленности при изготовлении мягких конфет, десертных сортов шоколада и различных диетических изделий; - в хлебопечении глюкоза улучшает условия брожения, придает пористость и замедляет очерствение; - в производстве мороженного глюкоза занижает точку замерзания, увеличивает его твердость; - при производстве фруктовых консервов, соков, ликеров, безалкогольных напитков применение глюкозы предпочтительнее, так как глюкоза не маскирует аромата и вкуса; - в молочной промышленности для производства десертов и продуктов детского питания; - в мясной промышленности при производстве сырокопченых продуктов в составе комплекса сахаров, для ускорения созревания продукта; - в консервах способствует сохранению натурального цвета; - в фармацевтической промышленности для таблетирования и при изготовлении микстур. - в ветеринарии.

Список использованных источников

1. Сорочинская Е.И. Биоорганическая химия: учебное пособие. - СПб.: Изд-во Санкт-Петербургского университета, 1998. - 148 с.

. Березов Т.Т. Биоорганическая химия: учебник. - 3-е изд., перераб. и доп. - М.: Медицина, 1998. - 704 с

. Овчинников Ю.А. Биоорганическая химия. - М.: Просвещение, 1987. - 815с

. Органическая химия: Учеб. Для строит.спец. Вузов / А.И. Артеменко. - 4-е изд. Перераб. И доп. - М.: Высшая школа, 2000. 304 с.

. Глюкоза

Похожие работы на - Моносахариды. Глюкоза

 

Не нашли материал для своей работы?
Поможем написать уникальную работу
Без плагиата!
Без нейросетей!