Статистическое изучение социально-экономических явлений и процессов
Белорусский
национальный технический университет
Факультет
технологий управления и гуманитаризации
Кафедра
менеджмента
Курсовая
работа
по
дисциплине «Экономическая статистика»
на
тему: «Статистическое изучение социально-экономических явлений и процессов»
Исполнитель: студент
гр.108120
Капориха С.Т.
Руководитель: ст.пр.
Сорокина Т.Д.
Минск
2012
Введение
Все явления и процессы, протекающие
в экономике любой страны взаимосвязаны между собой. Статистическое изучение
этой взаимосвязи имеет особо важное значение в связи с тем, что оно позволяет
выявить закономерности развития и осуществить прогнозирование этих явлений и
процессов.
Каждый процесс и явление можно
рассматривать с двух сторон. С первой стороны они испытывают влияние других
явлений и процессов и выступают как результат этого влияния. С другой стороны
каждое явление в свою очередь выступает как фактор, оказывающий влияние на
другие явления и процессы. Поэтому признаки, которые испытывают влияние,
называются результативными; признаки, которые оказывают влияние - факторные.
Если на результат оказывает влияние
первый фактор, то в этом случае изучается корреляция и регрессия, которые носят
название парных; если на результат оказывает влияние несколько факторов, то
изучается множественная корреляция и множественная регрессия.
Важной задачей статистики является
разработка методики статистической оценки социальных явлений, которая
осложняется тем, что многие социальные явления не имеют количественной оценки.
Но, исследуя явления в самых различных
областях, статистика сталкивается с зависимостями, как между количественными,
так и между качественными показателями, признаками. При этом задача статистики
- обнаружить (выявить) такие зависимости и дать их количественную
характеристику.
В настоящее время в мире происходят
постоянные изменения стратегий и методов, и проблематика данного исследования
по-прежнему несет актуальный характер.
Представляется, что анализ тематики
статистические методы изучения взаимосвязи социально-экономических явлений
достаточно актуален и представляет научный и практический интерес.
1. Теоретическая часть
Изучение современного производства
показывает, что каждое явление находится в тесной взаимосвязи и взаимодействии.
При изучении конкретных зависимостей
одни признаки выступают в качестве факторов, обусловливающих изменение других
признаков. Признаки этой группы называются признаками-факторами (факторными
признаками), а признаки, которые являются результатом влияния этих факторов,
называются результативными (как на объем выпуска влияет техническая
оснащенность производства, тогда объем производства - результативный, а
техническая оснащенность - факторный признак). Различают два вида зависимостей
между экономическими явлениями - функциональную и стохастическую. При функциональной
связи каждой определенной системе значений факторных признаков соответствуют
одно или несколько строго определенных значений результативного признака.
Стохастическая (вероятностная) связь
проявляется только в массовых явлениях. В данной связи каждой определенной
системе значений факторных признаков соответствует некоторое множество значений
результативного признака. Изменение факторных признаков приводит не к строго
определенному изменению результативного признака, а к изменению только
распределения его значений. Это обусловлено тем, что зависимая переменная,
кроме выделенной переменной, подвержена влиянию ряда неконтролируемых или
неучтенных факторов, а также тем, что измерение переменных неизбежно
сопровождается некоторыми случайными ошибками. Поскольку значения зависимой
переменной подвержены случайному разбросу, они не могут быть предсказаны с
достаточной точностью, а только указаны с определенной вероятностью (число
бракованных деталей за смену, количество простоев за смену и т.д.).
Стохастическую связь называют
корреляционной. Корреляция в широком смысле слова означает связь, соотношение
между объективно существующими явлениями и процессами. Регрессия - это частный
случай корреляции. В то время, как в корреляционном анализе оценивается сила
стохастической связи, в регрессионном анализе исследуется ее форма, т.е.
находится уравнение корреляционной связи (уравнение регрессии).
Рассмотрим различные виды корреляции
и регрессии.
По числу переменных различают
регрессию:
1) парную - регрессия
между двумя переменными (прибыль
производительность
труда);
) множественную -
регрессия между зависимой переменной y и несколькими переменными
(производительность
труда
уровень
механизации производства, квалификации рабочих).
Относительно формы
зависимости различают:
линейную регрессию;
нелинейную регрессию.
В зависимости от характера
регрессии различают;
) прямую регрессию. Она
имеет место, если с увеличением или уменьшением значений факторных переменных
значения результативной переменной также увеличиваются или уменьшаются;
) обратную регрессию. В
этом случае с увеличением или уменьшением значений факторного признака
результативный признак уменьшается или увеличивается
Относительно типа
соединений явлений различают:
) непосредственную
регрессию. В этом случае явления соединены непосредственно между собой (прибыль
затраты).
) косвенную регрессию.
Она имеет место тогда, если факторная и результативная переменная не состоят
непосредственно в причинно-следственных отношениях и факторная переменная через
какую-то другую переменную действует на результативную переменную (число
пожаров и урожайность зерновых (метеорологические условия)).
) ложная или абсурдная
регрессия. Она возникает при формальном подходе к исследуемым явлениям. В
результате можно придти к ложным и даже бессмысленным зависимостям (число
импортируемых фруктов и рост дорожно-транспортных происшествий со смертельным
исходом).
Аналогична классификация
и корреляции.
Изучение
взаимозависимостей в экономике имеет большое значение. Статистика не только
отвечает на вопрос о реальном существовании связи между явлениями, но и дает
количественную характеристику этой зависимости. Зная характер зависимости
одного явления от другого, можно объяснить причины и размеры изменений в
явлении, а также планировать необходимые мероприятия для дальнейшего его
изменения. Чтобы результаты корреляционного анализа нашли практическое
применение и дали желаемый результат, должны выполняться определенные
требования и признаков-факторов:
) однородность единиц,
подвергающихся корреляционному анализу (предприятия выпускают однотипную
продукцию, одинаковый характер технологического процесса и тип оборудования);
) достаточное число
наблюдений;
) включаемые в
исследование факторы должны быть независимы друг от друга.
Следует заметить, что
традиционные методы корреляции и регрессии широко представлены в разного рода
статистических пакетах программ для ЭВМ. Исследователю остается только
правильно подготовить информацию, выбрать удовлетворяющий требованиям анализа
пакет программ и быть готовым к интерпретации полученных результатов.
Алгоритмов вычисления параметров связи существует множество, и в настоящее
время вряд ли целесообразно проводить такой сложный вид анализа вручную.
Вычислительные процедуры представляют самостоятельный интерес, но знание
принципов изучения взаимосвязей, возможностей и ограничений тех или иных
методов интерпретации результатов является обязательным условием исследования.
Методы оценки тесноты
связи подразделяются на корреляционные (параметрические) и непараметрические.
Параметрические методы основаны на использовании, как правило, оценок
нормального распределения и применяются в случаях, когда изучаемая совокупность
состоит из величин, которые подчиняются закону нормального распределения. На
практике это положение чаще всего принимается априори. Собственно, эти методы -
параметрические - и принято называть корреляционными.
Непараметрические методы
не накладывают ограничений на закон распределения изучаемых величин. Их
преимуществом является и простота вычислений.
Для исследования
функциональных связей применяются балансовый и индексный методы. Для изучения
стохастических связей используют метод параллельных рядов, метод аналитических
группировок, дисперсионный анализ и анализ регрессий и корреляций.
Простейшим приемом
обнаружения связей является сопоставление двух параллельных рядов. Сущность
метода состоит в том, что сначала показатели, характеризующие факторный
признак, ранжируются, а затем параллельно им располагаются соответствующие
показатели результативного признака. Сравнение построенных таким образом рядов
дает возможность не только подтвердить само наличие связи, но и выявить ее
направление.
В случае, когда
сравниваемые ряды состоят из большого числа единиц, направления связи для
разных единиц может оказаться различным. В этом случае целесообразнее
воспользоваться корреляционными таблицами. В корреляционной таблице факторный
признак (х) располагают в строках, а результативный (у) - в колонках. Числа,
расположенные на пересечении строк и столбцов таблицы, показывают частоту
повторения данного сочетания х и у. Построение корреляционной таблицы начинают
с группировки единиц наблюдения по значениям факторного и результативного
признаков. Если частоты в корреляционной таблице расположены по диагонали из
левого верхнего угля в правый нижний угол, то можно предположить наличие прямой
корреляционной зависимости. если же частоты расположены по диагонали справа
налево, то предполагают наличие обратной связи между признаками.
Другим методом
обнаружения связи является построение групповой таблицы (метод аналитических
группировок). Совокупность значений фактора х разбивают на группы и по каждой
группе вычисляют среднее значение результативного признака. Предполагается, что
при достаточно большом числе наблюдений в каждой группе влияние прочих
случайных факторов при расчете групповой средней будет взаимопогашаться и яснее
выявится зависимость результативного признака от факторного и, следовательно,
различия в величине средних будут связаны только с различиями в величине
данного факторного признака. Если бы связи между факторным и результативным
признаком не было, то все групповые средние были бы приблизительно одинаковы по
величине.
Простейшим показателем
тесноты связи является коэффициент корреляции знаков (коэффициент Г.Фехнера).
,
где
-
число совпадений знаков отклонений индивидуальной величины от средней;
- число несовпадений
знаков отклонений индивидуальной величины от средней
Этот коэффициент позволяет
получить представление о направлении связи и приблизительную характеристику ее
тесноты. Для его расчета вычисляют средние значения результативного и
факторного признаков, а затем проставляют знаки отклонений для всех значений
взаимосвязанных признаков Кф [-1;+1]. Если знаки всех отклонений совпадут, то
и
Кф = 1 - прямая связь, если знаки всех отклонений будут разными, то Кф = -1,
что свидетельствует о наличии обратной связи.
Для приблизительной
оценки направления и тесноты связи между признаками, представленными двумя
рядами, можно также использовать коэффициент корреляции рангов. При определении
коэффициента корреляции рангов значения х ранжируются, а затем ранжируются и
соответствующие им значения у. В результате получаем ранги, т.е. места, номера
единиц совокупности в упорядоченном ряду. При этом в случае наличия одинаковых
вариантов каждому из них присваивается среднее арифметическое значение их
рангов.
Коэффициент ранговой
корреляции Спирмена:
,
где d - разность между
рангами соответствующих величин двух признаков;- число единиц в ряду.
Коэффициент корреляции
рангов принимает значения [-1; 1]. Если
- тесная прямая связь,
-
тесная обратная связь,
-
связь отсутствует. Коэффициент корреляции рангов имеет определенные
преимущества перед другими характеристиками направления и тесноты связи: его
можно определять при исследовании данных, которые не поддаются нумерации, но
ранжируются (оттенки, качество).
Для числовой
характеристики тесноты связи могут использованы показатели вариации
результативного признака: общая его дисперсия
и межгрупповая
дисперсия (
).
Коэффициент ранговой
корреляции Кендэла:
,
где q - число рангов,
расположенных в обратном порядке.
В практике
статистических исследований часто приходится анализировать альтернативные
распределения, когда совокупность распределяется по каждому признаку на две
группы с противоположными характеристиками. Тесноту связи в этом случае можно
оценить с помощью коэффициента ассоциации (коэффициент четырехклеточной
корреляции):
Рассмотренные ранее
статистические методы исследования взаимосвязей часто оказываются
недостаточными, ибо они не позволяют выразить имеющуюся связь в виде
определенного математического уравнения. Методы параллельных рядов и
аналитических группировок эффективны лишь при малом числе факторных признаков,
в то время, как социально-экономические явления складываются обычно под
воздействием множества причин. Эти ограничения устраняет метод анализа
корреляций и регрессий.
Метод анализа корреляций
и регрессий заключается в построении и анализе экономико-математической модели
в виде уравнения регрессии, выражающего зависимость явления от определяющих его
факторов. Например, зависимость объема производства (у) (млн.руб.) от его
технической оснащенности (х) (%):
.
Метод анализа корреляций
и регрессий состоит из следующих этапов:
предварительный анализ;
сбор информации и ее
первичная обработка;
построение модели
(уравнения регрессии);
оценка и анализ модели.
На первом этапе
необходимо в общем виде сформулировать задачу исследования (изучение влияния
различных факторов на уровень производительности труда). Далее следует
определить методику измерения результативного показателя (производительность
труда может быть определена натуральным, трудовым или стоимостным методами).
Необходимо также определить число факторов, оказывающих наиболее существенное
влияние на формирование результативного признака.
На этапе сбора и
обработки информации исследователю необходимо помнить, что изучаемая
совокупность должна быть достаточно большой по объему. Исходные данные должны
быть качественно и количественно однородны.
При построении
корреляционной модели (уравнения регрессии) возникает вопрос о типе
аналитической функции, характеризующей механизм взаимосвязи между признаками.
Эта связь может быть выражена
прямой линией
;
параболой второго
порядка
;
гиперболой
;
показательной функцией
и
др.
То есть возникает вопрос
о выборе формы связи. По виду эмпирической регрессии предполагают, какой тип
кривой может быть описан. Далее решается уравнение регрессии. Затем с помощью
специальных критериев оценивается их адекватность и выбирается та форма связи,
которая обеспечивает наилучшее приближение и достаточную статистическую
достоверность. Выбрав форму связи и построив уравнение регрессии в общем виде,
необходимо найти численное значение его параметров. Для нахождения параметров используют
способ наименьших квадратов. Суть его состоит в следующем:
,
.
Находятся частные
производные данного выражения по 
и
и
приравниваются к нулю. После преобразований получим систему нормальных
уравнений:
.
Решение этой системы в
общем виде дает следующие значения параметров:
.
После нахождения
параметров, получаем уравнение регрессии, по которому находим теоретические
частоты
для
каждого значения
.
Можно получить
и
иным
способом. Разделим нормальное уравнение
на
и
получим:
.
Коэффициент регрессии
может быть представлен следующим образом:
.
Коэффициент регрессии
показывает
меру влияния изменения объясняющей переменной х на зависимую переменную у.
Постоянная регрессии
определяет
точку пересечения прямой регрессии с осью ординат. После определения оценок
параметров регрессии
и
,
а также значений
определим
случайную переменную
.
Она характеризует отклонение переменной
от величины
.
При линейной форме связи
показателем ее тесноты выступает линейный коэффициент корреляции:
,
;
;
.
Коэффициент корреляции
принимает значения [-1; +1] r = -1,
связь обратная; r = +1 -
прямая.
Зная линейный
коэффициент корреляции можно определить коэффициент регрессии (
)
в уравнении регрессии.
, тогда
.
2. Расчётная часть
.1 Задание 1
корреляция регрессия
социальный экономический
Проанализировать
зависимость Y от X по данным табл. 1 для чего:
построить корреляционную
таблицу, выполнив интервальную группировку по признакам Y и X;
На основании полученной
таблицы дать характеристику направления и тесноты связи.
рассчитать коэффициент
корреляции Фехнера; коэффициент корреляции рангов; линейный коэффициент
корреляции; коэффициент конкордации;
провести регрессионный
анализ, рассчитав параметры линейного уравнения:
и построить на
корреляционном поле графики, соответствующие эмпирическому ряду данных и
уравнению;
г) сопоставить
результаты и сделать выводы.
Исходные данные для
расчета приведены в таблице 2.1.:
Таблица 2.1: Технико-экономические
показатели производственной деятельности предприятия.
|
Среднесписочная численность промышленно-производственного
персонала, чел.
|
|
В том числе рабочих
|
Всего
|
|
Y
|
X
|
|
852
|
1004
|
|
883
|
1052
|
|
511
|
617
|
|
973
|
1291
|
|
507
|
672
|
|
926
|
1240
|
|
705
|
1080
|
|
536
|
764
|
|
642
|
770
|
|
724
|
892
|
|
964
|
1076
|
|
881
|
891
|
|
832
|
1001
|
|
954
|
1021
|
|
641
|
754
|
|
731
|
905
|
|
850
|
934
|
|
943
|
1032
|
|
512
|
603
|
|
896
|
1087
|
Решение:
=4
где Xmax, Ymax -
максимальное значение признака;,Ymin - минимальное значение признака;-
желательное число групп.
Для Y: i = (973-507) / 4
=116,5;
Для X: i = (1291-603)/ 4
=172.
Построим корреляционную
таблицу на основании полученных данных.
Таблица 2.2
Корреляционная таблица
|
Выборка
|
507-623,5
|
623,5-740
|
740-856,5
|
856,5-973
|
Итого:
|
|
603-775
|
||||
|
||
|
|
|
6
|
|
775-947
|
|
||
|
|
|
|
|
4
|
|
947-1119
|
|
|
|
||
|
|||||
|
8
|
|
1119-1291
|
|
|
|
||
|
2
|
|
Итого:
|
4
|
5
|
3
|
8
|
20
|
Анализируя полученную таблицу, легко
заметить, что частоты расположены на диагонали из левого верхнего угла в правый
нижний угол, т.е. большим значениям факторного признака соответствуют большие
значения результативного. Это означает, что зависимость прямая.
б) Рассчитываем коэффициент корреляции
Фехнера. Для начала находим значения X среднего и Y среднего по средней
арифметической простой:
=773,15=934,3
Находим величину
отклонений X от X среднего, Y от Y среднего и знаки этих отклонений. Составляем
таблицу.
Таблица 2.3
Вспомогательная таблица
для расчета коэффициента Фехнера
|
Y
|
Y - Yср
|
Знак
|
X
|
X - Xср
|
Знак
|
Тип вариации
|
|
852
|
78,85
|
+
|
1004
|
69,7
|
+
|
С
|
|
883
|
109,85
|
+
|
1052
|
117,7
|
+
|
С
|
|
511
|
-262,15
|
-
|
617
|
-317,3
|
-
|
С
|
|
973
|
199,85
|
+
|
1291
|
356,7
|
+
|
С
|
|
507
|
-266,15
|
-
|
672
|
-262,3
|
-
|
С
|
|
926
|
152,85
|
+
|
1240
|
305,7
|
+
|
С
|
|
705
|
-68,15
|
-
|
1080
|
145,7
|
+
|
Н
|
|
536
|
-237,15
|
-
|
764
|
-170,3
|
-
|
С
|
|
642
|
-131,15
|
-
|
770
|
-164,3
|
-
|
С
|
|
724
|
-49,15
|
-
|
892
|
-42,3
|
-
|
С
|
|
964
|
190,85
|
+
|
1076
|
141,7
|
+
|
С
|
|
881
|
107,85
|
+
|
891
|
-43,3
|
-
|
Н
|
|
832
|
58,85
|
+
|
1001
|
66,7
|
+
|
С
|
|
954
|
180,85
|
+
|
1021
|
86,7
|
+
|
С
|
|
641
|
-132,15
|
-
|
754
|
-180,3
|
-
|
С
|
|
731
|
-42,15
|
-
|
905
|
-29,3
|
-
|
С
|
|
850
|
76,85
|
+
|
934
|
-0,3
|
-
|
Н
|
|
943
|
169,85
|
+
|
1032
|
97,7
|
+
|
С
|
|
512
|
-261,15
|
-
|
603
|
-331,3
|
-
|
С
|
|
896
|
122,85
|
+
|
152,7
|
+
|
С
|
= 17;
=
3
где С - согласованная
вариация;
Н - несогласованная
вариация
Рассчитываем коэффициент
Фехнера по формуле:
ф
;ф
= (17-3) / (17+3) = 0,7
Коэффициент Фехнера
показывает, что связь является прямой, так как коэффициент положительный и
сильной , т.к.значение = 0,7 близко к единице, среднесписочной численности
промышленно-производственного персонала.
Рассчитаем коэффициент
корреляции рангов (коэффициент корреляции Спирмена):
где d - разница между
рангами;- число размеров признаков в ряду (в данном варианте n = 20).
Построим вспомогательную
таблицу и проведем ранжирование.
|
y
|
ранг y
|
x
|
ранг x
|
|
507
|
1
|
672
|
1
|
|
511
|
2
|
617
|
2
|
|
512
|
3
|
603
|
3
|
|
536
|
4
|
764
|
4
|
|
641
|
5
|
754
|
5
|
|
642
|
6
|
770
|
6
|
|
705
|
7
|
1080
|
7
|
|
724
|
8
|
892
|
8
|
|
731
|
9
|
905
|
9
|
|
832
|
10
|
1001
|
10
|
|
850
|
11
|
934
|
11
|
|
852
|
12
|
1004
|
12
|
|
881
|
13
|
891
|
13
|
|
883
|
14
|
1052
|
14
|
|
896
|
15
|
1087
|
15
|
|
926
|
16
|
1240
|
16
|
|
943
|
17
|
1032
|
17
|
|
954
|
18
|
1021
|
18
|
|
964
|
19
|
1076
|
19
|
|
973
|
20
|
1291
|
20
|
Для расчета данного коэффициента
производится ранжирование по каждому признаку.
|
№ п/п
|
Y
|
X
|
Ранги
|
d = |ранг X - ранг Y|
|
d2
|
|
|
|
y
|
X
|
|
|
|
1
|
852
|
1004
|
12
|
12
|
0
|
0
|
|
2
|
883
|
1052
|
14
|
15
|
1
|
1
|
|
3
|
511
|
617
|
2
|
2
|
0
|
0
|
|
4
|
973
|
1291
|
20
|
20
|
0
|
0
|
|
5
|
507
|
672
|
1
|
3
|
2
|
4
|
|
6
|
926
|
1240
|
16
|
19
|
3
|
9
|
|
7
|
705
|
1080
|
7
|
17
|
10
|
100
|
|
8
|
536
|
764
|
4
|
5
|
1
|
1
|
|
9
|
642
|
770
|
6
|
6
|
0
|
0
|
|
10
|
724
|
892
|
8
|
8
|
0
|
0
|
|
11
|
964
|
1076
|
19
|
16
|
-3
|
9
|
|
12
|
881
|
891
|
13
|
7
|
-6
|
36
|
|
13
|
832
|
1001
|
10
|
11
|
1
|
1
|
|
14
|
954
|
1021
|
18
|
13
|
-5
|
25
|
|
15
|
641
|
754
|
5
|
4
|
-1
|
1
|
|
16
|
731
|
905
|
9
|
9
|
0
|
0
|
|
17
|
850
|
934
|
11
|
10
|
-1
|
1
|
|
18
|
943
|
1032
|
17
|
14
|
-3
|
9
|
|
19
|
512
|
603
|
3
|
1
|
-2
|
4
|
|
20
|
896
|
1087
|
15
|
18
|
3
|
9
|
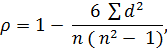
Таким образом:
ρ = 1 - 6*210/ 20 (202
- 1) = 0,84211
Полученное значение
коэффициента указывает на существование сильной прямой корреляционной
зависимости между факторным и результативным признаками.
Рассчитываем линейный
коэффициент корреляции по формуле:
Составляем
вспомогательную таблицу
|
Y
|
Y - Yср
|
(Y - Yср)2
|
X
|
X - Xср
|
(X-Xср)2
|
(X - Xср)(Y - Yср)
|
|
852
|
78,85
|
6217,32
|
1004
|
60,7
|
3684,49
|
4786,195
|
|
883
|
109,85
|
12067,02
|
1052
|
108,7
|
11815,69
|
11940,69
|
|
511
|
-262,14
|
68717,379
|
617
|
-326,3
|
106471,69
|
85536,28
|
|
973
|
199,85
|
39940,02
|
1291
|
347,7
|
120895,29
|
69407,91
|
|
507
|
-266,15
|
70835,82
|
672
|
-271,3
|
73603,69
|
72206,49
|
|
926
|
152,85
|
23363,12
|
1240
|
296,7
|
88030,89
|
45350,59
|
|
705
|
-68,5
|
4692,25
|
1080
|
136,7
|
18686,89
|
-9369,95
|
|
536
|
-237,15
|
56240,12
|
764
|
-179,3
|
32148,49
|
42520,99
|
|
642
|
-131,15
|
17200,32
|
770
|
173,3
|
30032,89
|
-22728,29
|
|
724
|
-49,15
|
2415,72
|
892
|
-51,3
|
2631,69
|
2521,39
|
|
964
|
190,85
|
36423,72
|
1076
|
132,7
|
17609,29
|
25325,79
|
|
881
|
107,85
|
11631,62
|
891
|
-52,3
|
2735,29
|
-5640,55
|
|
832
|
58,85
|
3463,32
|
1001
|
57,7
|
3329,29
|
|
954
|
180,85
|
32706,72
|
1021
|
77,7
|
6037,29
|
14052,05
|
|
641
|
-132,15
|
17463,62
|
754
|
-189,3
|
35834,49
|
25015,99
|
|
731
|
-42,15
|
1776,62
|
905
|
-38,3
|
1466,89
|
1614,35
|
|
850
|
76,85
|
5905,92
|
934
|
-9,3
|
86,49
|
-714,71
|
|
943
|
169,85
|
28849,02
|
1032
|
88,7
|
7867,69
|
15065,69
|
|
512
|
-261,15
|
68199,32
|
603
|
-340,3
|
115804,09
|
88869,35
|
|
896
|
122,85
|
15092,12
|
1087
|
143,7
|
20649,69
|
17653,55
|
Вычисляем линейный
коэффициент корреляции:
Значение линейного
коэффициента корреляции указывает на наличие достаточно сильной прямой связи
между признаками.
Рассчитываем коэффициент
конкордации по формуле:
где m - число факторов,
m = 2;- число наблюдений, n = 20;- отклонение суммы квадратов рангов от средней
суммы квадратов рангов.
Составляем
вспомогательную таблицу
Таблица 2.6
Вспомогательная таблица
для расчёта коэффициента конкордации
|
Y
|
X
|
Ранги
|
Сумма рангов
|
Квадрат суммы рангов
|
|
|
Y
|
X
|
|
|
|
852
|
1004
|
12
|
12
|
24
|
576
|
|
883
|
1052
|
14
|
15
|
29
|
841
|
|
511
|
617
|
2
|
2
|
4
|
16
|
|
973
|
1291
|
20
|
20
|
40
|
1600
|
|
507
|
672
|
1
|
3
|
4
|
16
|
|
926
|
1240
|
16
|
19
|
35
|
1225
|
|
705
|
1080
|
7
|
17
|
24
|
576
|
|
536
|
764
|
4
|
5
|
9
|
81
|
|
642
|
770
|
6
|
6
|
12
|
144
|
|
724
|
892
|
8
|
8
|
16
|
256
|
|
964
|
1076
|
19
|
16
|
35
|
1225
|
|
881
|
891
|
13
|
7
|
20
|
400
|
|
832
|
1001
|
10
|
11
|
21
|
441
|
|
954
|
1021
|
18
|
13
|
31
|
961
|
|
641
|
754
|
5
|
4
|
9
|
81
|
|
731
|
905
|
9
|
9
|
18
|
324
|
|
850
|
934
|
11
|
10
|
21
|
441
|
|
943
|
1032
|
17
|
14
|
31
|
961
|
|
512
|
603
|
3
|
1
|
4
|
16
|
|
896
|
1087
|
15
|
18
|
33
|
1089
|
Сумма квадратов сумм рангов = 11270
Квадрат суммы рангов = (420)2 =
176400
Число исходных данных = 20= 11270 -
176400/20 = 2450
Вычисляем коэффициент конкордации:=
(12 x 2450) / (22 (203 - 20)) = 0,92105
Связь прямая и сильная.
в) Рассчитаем параметры
линейного уравнения
.
Для нахождения параметров уравнения решаем систему нормальных уравнений:
Составляем
вспомогательную таблицу.
Таблица 2.7
Вспомогательная таблица
для решения системы уравнений
|
Y
|
X
|
X2
|
X*Y
|
|
852
|
1004
|
1008016
|
855408
|
|
883
|
1052
|
1106704
|
928916
|
|
511
|
617
|
380689
|
315287
|
|
973
|
1291
|
1666681
|
1256143
|
|
507
|
672
|
451584
|
340704
|
|
926
|
1240
|
1537600
|
1148240
|
|
705
|
1080
|
1166400
|
761400
|
|
536
|
764
|
583696
|
409504
|
|
642
|
770
|
592900
|
494340
|
|
724
|
892
|
795664
|
645808
|
|
964
|
1076
|
1157776
|
1037264
|
|
881
|
891
|
793881
|
784971
|
|
832
|
1001
|
1002001
|
832832
|
|
954
|
1021
|
1042441
|
974034
|
|
641
|
754
|
568516
|
483314
|
|
731
|
905
|
819025
|
661555
|
|
850
|
934
|
872356
|
793900
|
|
943
|
1032
|
1065024
|
973176
|
|
512
|
603
|
363609
|
308736
|
|
896
|
1087
|
1181569
|
973952
|
Получаем:
Определяем
коэффициенты:= 1469,01= -0,745
Получаем уравнение регрессии:
Составляем
вспомогательную таблицу:
Таблица 2.8
Таблица расчетных
значений
|
X
|
Y
|
Y(x)
|
|
1004
|
852
|
834,27
|
|
1052
|
883
|
811,18
|
|
617
|
511
|
1088,3
|
|
1291
|
973
|
744,13
|
|
672
|
507
|
1091,3
|
|
1240
|
926
|
779,14
|
|
1080
|
705
|
943,79
|
|
764
|
536
|
1069,7
|
|
770
|
642
|
990,72
|
|
892
|
724
|
929,63
|
|
1076
|
964
|
750,83
|
|
891
|
881
|
812,67
|
|
1001
|
832
|
849,17
|
|
1021
|
954
|
758,28
|
|
754
|
641
|
991,47
|
|
905
|
731
|
924,42
|
|
934
|
850
|
835,76
|
|
1032
|
943
|
|
603
|
512
|
1087,6
|
|
1087
|
896
|
801,49
|
Вывод: Из проделанных расчетов и
графического материала можно сделать следующие выводы:
Связь между производственной
трудоемкостью продукции и товарной продукцией существует. Об этом
свидетельствуют:
расположение частот в корреляционной
таблице;
значение коэффициента корреляции
Фехнера =0,7;
значение коэффициента корреляции
рангов =0,84211;
значение линейного коэффициента
корреляции = 0,804738;
значение коэффициента конкордации =
0,92105.
Связь прямая, т.к. все перечисленные
выше коэффициенты являются положительными величинами, частоты в корреляционной
таблице расположены по направлению из левого верхнего угла в правый нижний и
коэффициент регрессии b является положительной величиной.
Связь сильная, так как все найденные
в ходе решения задачи коэффициенты близки к 1.
.2 Задание 2
Имеются следующие данные об
экономической деятельности региона за отчетный год, млрд. руб.
Таблица 2.2.1
|
Показатели
|
Вариант
|
|
12
|
|
Выпуск продукции в отраслях материального производства, в основных
ценах
|
11840
|
|
Выручка отраслей, оказывающих платные услуги, в основных ценах
|
5590
|
|
Затраты на содержание госбюджетных организаций
|
1520
|
|
Выручка от индивидуальной трудовой деятельности
|
250
|
|
Промежуточное потребление
|
9670
|
|
Налоги на продукты
|
1100
|
|
Субсидия на продукты
|
450
|
|
Чистые налоги на импорт
|
340
|
Рассчитайте основные показатели
счета производства:
) валовой выпуск продукции и услуг в
основных ценах;
) валовой внутренний продукт.
Постройте счет производства.
Расчёт валового выпуска продукции и
услуг.
Валовой выпуск (ВВ) представляет
собой стоимость продуктов и услуг, произведенных в отчетном периоде. В
стоимость валового выпуска как результата деятельности предприятия за период
времени (год, квартал, месяц) входят продукты разной степени готовности:
готовая продукция - продукты,
изготовление которых завершено в пределах данной хозяйственной единицы;
полуфабрикаты - продукты, прошедшие
обработку в пределах хотя бы одного производственного подразделения и
доведенные до определенной степени готовности.
незавершенное производство -
продукты не законченные обработкой в пределах одного производственного
подразделения.
ВВосн.ц. = 11840 + 5590 + 250 +1520
= 19200 млрд. руб.
ВВрын.ц. = ВВосн.ц. + ЧНП + ЧНИ,
где: ЧНП - чистые налоги на
продукты;
ЧНИ - чистые налоги на импорт.
ВВрын.ц. = 19200 + 1100 - 450 + 340
= 20190 млрд. руб.
. Общие принципы построения счетов
для отдельных секторов и отраслей те же, что и для экономики в целом. Однако
при определении некоторых показателей имеются особенности расчета. Так, в счете
производства балансирующей статьей на уровне экономики в целом будет ВВП, а на
уровне сектора или отрасли − валовая добавленная стоимость (ВДС), которая
определяется как разность ВВ и ПП.
ВВПрын.ц. = 20190 -9670 = 10520млрд.
руб.
Схема счета производства
Таблица 2.2.2.
|
Использование
|
Ресурсы
|
|
6. Промежуточное потребление
|
9670
|
1. Валовой выпуск продуктов и услуг в основных ценах
|
19200
|
|
7. Валовой внутренний продукт в рыночных ценах (п.5 − п.6)
|
10520
|
2. Налоги на продукты
|
1100
|
|
|
3. Субсидии на продукты
|
450
|
|
|
4. Чистые налоги на импорт
|
340
|
|
|
5. Валовой выпуск в рыночных ценах (п.1 + п.2 − п.3 + п.4)
|
20190
|
|
Всего (п.6 + п.7)
|
20190
|
Всего (п.5)
|
20190
|
Заключение
Подводя итог по теоретической части
курсовой работы можно сделать вывод, что статистические методы контроля
являются весьма действенным путём разработки новых технологий, контроля
качества и важным условием рентабельного управления качеством. В работе были
рассмотрены 7 наиболее применяемых в мировой практике методов контроля качества
продукции и работ: контрольный листок, контрольная карта, гистограмма,
диаграмма Парето, причинно-следственные диаграммы, диаграмм рассеивания,
стратификация. Данные методы были отобраны японскими учёными. Перечисленные
инструменты можно рассматривать и как отдельные методы, и как систему методов,
обеспечивающую комплексный контроль показателей качества. Они - наиболее важная
составляющая комплексной системы контроля Всеобщего Управления Качество. Каждый
из инструментов имеет свои преимущества и недостатки, применяется в зависимости
от сложившейся на предприятии системы менеджмента качества продукции и работ.
Что касается основных направлений применения данных методов, то это анализ
качества, регулирование технологических процессов, контроль и оценка качества.
В первой части практического задания
был проведён анализ среднегодовой стоимости промышленно-производственных фондов
и среднесписочной численность промышленно-производственного персонала. В ходе
расчётов было выявлено, что между данными экономическими категориями существует
прямая корреляционная зависимость, но она является слабой, что свидетельствует
о незначительном влиянии этих показателей друг на друга.
Во второй части необходимо было
определить валовой выпуск, промежуточное потребление, валовую и чистую добавленную
стоимость деятельности предприятия нефтегазовой промышленности. Было определено
в ходе экономических расчётов, что данное предприятие обладает высокой
эффективностью производства в регионе, о чём свидетельствует положительное
значение коэффициента ЧДС.
Литература
1. Вербицкая Е.Н. Экономическая статистика. Методическое
пособие и задания к курсовой работе для студентов. - Минск. БНТУ, 2006. - 32 с.
. Ефимов, В.В. Статистические методы в управлении
качеством: Учебное пособие / В.В.Ефимов. - Ульяновск: УлГТУ, 2003. - 134 с.
. Окрепилов В.В. Управление качеством. СПб.: Наука, 2000. -
911 с.