|
Номер
региона
|
Среднедушевой
прожиточный минимум в день одного трудоспособного, руб., Среднедневная
заработная плата, руб.,
|
|
|
1
|
77
|
123
|
|
2
|
85
|
152
|
|
3
|
79
|
140
|
|
4
|
93
|
142
|
|
5
|
89
|
157
|
|
6
|
81
|
181
|
|
7
|
79
|
133
|
|
8
|
97
|
163
|
|
9
|
73
|
134
|
|
10
|
95
|
155
|
|
11
|
84
|
132
|
|
12
|
108
|
165
|
Решение
. Линейный тренд y
= 0,911x + 69,126.
Коэффициент детерминации RІ
= 0,2941
2.
Логарифмическая аппроксимация y
= 81,913ln(x)
- 216,93. Коэффициент детерминацииRІ
= 0,3009
. Полиномиальная аппроксимацияy
= 2E-05x6
- 0,0096x5
+ 2,1539x4
- 256,57x3
+ 17130x2
- 607754x + 9E+06.
Коэффициент детерминацииRІ = 0,4855
. Степенная аппроксимацияy
= 11,542x0,5713.
Коэффициент детерминации RІ
= 0,327
. Экспоненциальная аппроксимация y
= 84,91e0,0063x.
Коэффициент детерминации RІ
= 0,3191.
Как видно, зависимость среднедневной заработной
платы от среднедушевого прожиточного минимума в день одного трудоспособного
слабая. Лучше всего, судя по коэффициенту детерминации RІ = 0,4855, она
описывается полиномом y = 2E-05x6 - 0,0096x5 + 2,1539x4
- 256,57x3 + 17130x2 - 607754x + 9E+06. Однако такой вид
уравнения не имеет экономического обоснования, а является просто подгонкой под
данные. С точки зрения экономической теории такая зависимость скорее линейная,
то есть при увеличении среднедушевого прожиточного минимума в день одного
трудоспособного на 1 рубль среднедневная заработная плата увеличивается на 91
коп.
ЗАДАНИЕ 2
Требуется с помощью пакета анализа на основе
экспериментальных данных Х и У:
1. Построить линейное уравнение
парной регрессии
от
.
. Рассчитать линейный
коэффициент парной корреляции и среднюю ошибку аппроксимации.
. Оценить статистическую
значимость параметров регрессии и корреляции с помощью
-критерия
Фишера и
-критерия
Стьюдента.
. Выполнить прогноз
заработной платы
при
прогнозном значении среднедушевого прожиточного минимума
,
составляющем 110% от среднего уровня.
. Оценить точность прогноза,
рассчитав ошибку прогноза и его доверительный интервал.
Решение:
. Линейное уравнение парной регрессии y
от x:
y=69,1261+0,9110*x
Параметр регрессии позволяет сделать вывод, что
с увеличением среднедушевого прожиточного минимума на 1 руб. среднедневная
заработная плата возрастает в среднем на 0,91 руб. (или 91 коп.).
. Линейный коэффициент парной корреляции:
коэффициент корреляции = 0,5424
Коэффициент корреляции чуть выше 0,5 говорит о
средней линейной зависимости среднедневной заработной платы от среднедушевого
прожиточного минимума. Чтобы найти среднюю ошибку аппроксимации, делим остатки
на значения y, суммируем модули
получившихся значений и делим сумму на количество наблюдений:
средняя ошибка аппроксимации =6,2%
. Фактическое значение F-критерия
Фишера = 4,1673
А его значимость равна 0,0685.
Если Р> 0,05 то модель не значима и данные
отражает не корректноt-статистики
коэффициентов равны 1,7762 и 2,0414.
Их Р-значения больше 0,05, значит, коэффициенты
незначимы.
.Xпрогноз
= 1,1*86,67 = 95,33
Yпрогноз =
69,1261+0,9110*Xпрогноз =
155,98
Однако строить прогноз по незначимой модели
нецелесообразно.
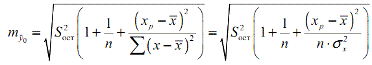
6. Ошибка прогноза вычисляется по следующей
формуле:
Sост^2=222,4080
Тогда ошибка прогноза = 15,997
Предельная ошибка прогноза
= 35,64
Доверительный интервал для прогноза
:
[155,98-35,64; 155,98+35,64]=[120,34; 191,62].
ЗАДАНИЕ 3
тренд регрессия программа
Требуется с помощью Пакета анализа на основе
экспериментальных данных Х1, Х2 и У:
1. Построить линейную модель множественной
регрессии. На основе средних коэффициентов эластичности ранжировать факторы по
степени их влияния на результат.
2. Найти коэффициенты парной, частной и
множественной корреляции. Проанализировать их.
3. С помощью
-критерия
Фишера оценить статистическую надежность уравнения регрессии и коэффициента
детерминации
.
. С помощью коэффициентов
эластичности оценить целесообразность включения в уравнение множественной
регрессии фактора
,
. Составить уравнение
линейной парной регрессии, оставив лишь один значащий фактор.
Решение
Исходные данные:
По 20 предприятиям региона изучается
зависимость выработки продукции на одного работника
(тыс. руб.)
от ввода в действие новых основных фондов
(% от стоимости фондов на конец
года) и от удельного веса рабочих высокой квалификации в общей численности
рабочих
(%)
|
Номер
регионаСреднедушевой прожиточный минимум в день одного трудоспособного, руб.,
Среднедневная
заработная плата, руб.,
|
|
|
|
1
|
77
|
123
|
|
2
|
85
|
152
|
|
3
|
79
|
140
|
|
4
|
93
|
142
|
|
5
|
89
|
157
|
|
6
|
81
|
181
|
|
7
|
79
|
133
|
|
8
|
97
|
163
|
|
9
|
73
|
134
|
|
10
|
95
|
155
|
|
11
|
84
|
132
|
|
12
|
108
|
165
|
. Линейная модель множественной регрессии:
y^=2,1460+1,1929*x1+0,0287*x2
Уравнение регрессии показывает, что при
увеличении ввода в действие основных фондов на 1% (при неизменном уровне
удельного веса рабочих высокой квалификации) выработка продукции на одного
рабочего увеличивается в среднем на 1,193 тыс. руб., а при увеличении удельного
веса рабочих высокой квалификации в общей численности рабочих на 1% (при
неизменном уровне ввода в действие новых основных фондов) выработка продукции
на одного рабочего увеличивается в среднем на 0,029 тыс. руб.
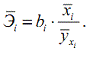
Средние коэффициенты эластичности вычисляются по
следующей формуле:
Э1=1,1929*(6,3/10,3)= 0,7297
Э2=0,0287*(22,25/10,3)= 0,0620
Т.е. увеличение только основных фондов (от
своего среднего значения) или только удельного веса рабочих высокой
квалификации на 1% увеличивает в среднем выработку продукции на 0,73% или 0,06%
соответственно. Таким образом, подтверждается большее влияние на результат y
фактора x1 , чем фактора x2.
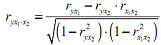
. Коэффициенты парной регрессии найдены с
помощью пакета анализа (Корреляция):
rx1y=
0,9840; rx2y=
0,9649; rx1x2=
0,9765.
Они указывают на весьма сильную связь каждого
фактора с результатом, а также высокую межфакторную зависимость (факторы x1
и x2 явно коллинеарны,
т.к. rx1x2=
0,9765 > 0,7). При такой сильной межфакторной зависимости рекомендуется один
из факторов исключить из рассмотрения. Частные коэффициенты корреляции
характеризуют тесноту связи между результатом и соответствующим фактором при
элиминировании (устранении влияния) других факторов, включенных в уравнение
регрессии.
При двух факторах частные коэффициенты
корреляции рассчитываются следующим образом:

Если сравнить коэффициенты парной и частной
корреляции, то можно увидеть, что из-за высокой межфакторной зависимости
коэффициенты парной корреляции дают завышенные оценки тесноты
связи. Именно по этой причине рекомендуется при
наличии сильной коллинеарности (взаимосвязи) факторов исключать из исследования
тот фактор, у которого теснота парной зависимости меньше, чем теснота
межфакторной связи.
Множественный коэффициент корреляции находится с
помощью пакета анализа (Регрессия):
Коэффициент множественной корреляции указывает
на весьма сильную связь всего набора факторов с результатом.
. Оценку надежности уравнения регрессии в целом
и показателя тесноты связи R^2
дает F -критерий Фишера, найденный
с помощью пакета анализа (Регрессия).

< 0,05
То есть вероятность случайно
получить такое значение F -критерия не превышает допустимый
уровень значимости 5%. Следовательно, полученное значение не случайно, оно
сформировалось под влиянием существенных факторов, т.е. подтверждается
статистическая значимость всего уравнения и показателя тесноты связи R^2 .
4. Коэффициенты эластичности:
Э1=1,1929*(6,3/10,3)= 0,7297
Э2=0,0287*(22,25/10,3)= 0,0620
Видно, что степень влияния фактора х2 не
значительна, тогда как фактор х1 оказывает существенное влияние на у. Отсюда
можно сделать вывод о том, что фактор х2 можно исключить из модели.
5. Воспользуемся пакетом анализа (Регрессия).
Получаем уравнение:
y^=2,0757+1,3054*x1
Коэффициент детерминации = 0,9682
По F-критерию
модель значима (Р=6,2259E-15
< 0,05)
По критерию Стьюдента оба коэффициента значимы
(Р= 2,28Е-05 < 0,05 и P=6,23E-15
< 0,05)