Измерение взаимосвязей экономических переменных в различных ситуациях
Содержание
Введение
1. Введение в эконометрику
2. Основные элементы
математической статистики
3. Ковариация, корреляция,
дисперсия
4. Парный регрессионный
анализ. Линейные модели
5. Оценка уравнение парной
регрессии. Дисперсионный анализ
6. Множественный регрессионный
анализ
7. Оценка уравнение
множественной регрессии. Дисперсионный анализ
8. Интервальная оценка
функции регрессии и ее параметров
9. Определение
доверительных интервалов для коэффициентов и функции регрессии
10. Мультиколлинеарность
11. Линейные регрессионные
модели с переменной структурой. Фиктивные переменные. Критерий Г.Чоу
12. Нелинейные модели
регрессии. Частная корреляция
13. Статистические
уравнения зависимостей
14. Нормативные расчеты
микроэкономических показателей хозяйственной деятельности
Заключение
Список использованной
литературы
Введение
Последние десятилетия
эконометрика как научная дисциплина стремительно развивается. Растет число
научных публикаций и исследований с применением эконометрических методов.
Свидетельством всемирного признания эконометрики является присуждение за
наиболее выдающиеся разработки в этой области Нобелевских премий по экономике
Р. Фришу и Я. Тинбергу (1969), Л. Кейну (1980), Т. Хаавельмо (1989), Дж.
Хекману и Д. Макфаддену (2000).
Язык экономики все больше
становится языком математики, а экономику все чаще называют одной из наиболее
математизированных наук.
Если в период
централизованной плановой экономики упор делался на балансовых и
оптимизационных методах исследования, на описании «системы функционирования
социалистической экономики», построении оптимизационных моделей отраслей и
предприятий, то в период перехода к рыночной экономике возрастает роль
эконометрических методов. Без знания этих методов невозможно ни исследование и
теоретическое обобщение эмпирических зависимостей экономических переменных, ни
построение сколько-нибудь надежного прогноза в банковском деле, финансах или
бизнесе.
Единое общепринятое
определение эконометрики в настоящее время отсутствует. Сам термин
«эконометрика» был введен в 1926 г. норвежским ученым Р. Фришем и в дословном
переводе означает «эконометрические измерения». Наряду с таким широким
пониманием эконометрики, порождаемым переводом самого термина, встречается и
весьма узкая трактовка эконометрики как набора математико-статистических
методов, используемых в приложениях математики в экономике.
Приводимые ниже определения и
высказывания известных ученых позволяет получить представление о различных
толкованиях эконометрики.
Эконометрика - это раздел
экономики, занимающийся разработкой и применением статистических методов для
измерений взаимосвязей между экономическими переменными (С. Фишер).
Основная задача эконометрики
- наполнить эмпирическим содержанием априорные экономические рассуждения (Л.
Клейн).
Цель эконометрики -
эмпирический вывод экономических законов (Э. Маленво).
Эконометрика является не
более чем набором инструментов, хотя и очень полезных… Эконометрика является
одновременно нашим телескопом и нашим микроскопом для изучения окружающего
экономического мира (Ц. Грилихес).
Р. Фриш указывает на то, что
эконометрика есть единство трех составляющих - статистики, экономической теории
и математики.
С.А. Айвазян полагает, что
эконометрика объединяет совокупность методов и моделей, позволяющих на базе
эконометрической теории, экономической статистики и математико -
статистического инструментария придавать количественные выражения качественным
зависимостям.
Основные результаты
экономической теории носят качественный характер, а эконометрика вносит в них
эмпирическое содержание. Математическая экономика выражает экономические законы
в виде математических соотношений, а эконометрика осуществляет опытную проверку
этих законов.
Экономическая статистика дает
информационное обеспечение исследуемого процесса в виде исходных (обработанных)
статистических данных и экономических показателей, а эконометрика, используя
традиционные математико-статистические и специально разработанные методы,
проводит анализ количественных взаимосвязей между этими показателями.
Многие базовые понятия эконометрики
имеют два определения - «экономическое» и «математическое». Подобная
двойственность имеет место и в формулировках результатов. Характер научных
работ по эконометрике варьируется от «классических» экономических работ, в
которых почти не используется математический аппарат, до солидных
математических трудов, использующих достаточно тонкий аппарат современной
математики.
Экономическая составляющая
эконометрики, безусловно, является первичной. Именно экономика определяет
постановку задачи и исходные предпосылки, а результат, формируемый на
математическом языке, представляет интерес лишь в том случае, если удается его
экономическая интерпретация. В то же время многие эконометрические результаты
носят характер математических утверждений (теорем).
1. Введение в эконометрику
Пространственная выборка или пространственные данные (cross-sectional data). В экономике под пространственной выборкой понимают
набор показателей экономических переменных, полученный в данный момент времени.
Временной (динамический) ряд (time-series data), временным (динамическим) рядом называется выборка
наблюдений, в которой важны не только сами наблюдаемые значения случайных
величин, но и порядок их следования друг за другом.
Панельные данные - совокупность данных, в которых встречаются
повторяемость значений и относительно элементов.
Основные этапы эконометрического моделирования
-й этап (постановочный). Формируется цель исследования, набор участвующих
в модели экономических переменных.
-й этап (априорный). Проводится анализ сущности изучаемого объекта,
формирование и формализация априорной (известной до начала моделирования)
информации.
-й этап(параметризация). Осуществляется непосредственно моделирование,
т.е. выбор общего вида модели, выявление входящих в нее связей.
-й этап (информационный).Осуществляется сбор необходимой статистической
информации - наблюдаемых значений экономических переменных
-й этап (идентификация модели). Осуществляется статистический анализ
модели и оценка ее параметров.
-й этап (верификация модели). Проводится проверка истинности,
адекватности модели.
2. Основные элементы
математической статистики
Вероятностью Р{А) события А называется численная мера степени объективной
возможности появления этого события. Согласно классическому определению
вероятность события А равна отношению числа случаев т, благоприятствующих ему,
к общему числу случаев п, т.е. Р(А)= т/п.
Математическим ожиданием, или средним значением, М(Х) дискретной
случайной величины X называется сумма произведений всех ее значений на
соответствующие им вероятности.
Свойства математического ожидания:
1) М(С) = С, где С - постоянная
величина;
2) М(кХ)
= кМ(Х);
3) М(Х± Y)
= М(Х) ±
M(Y); .
4) M(XY)= М(Х) • M(Y),где X, Y - независимые случайные величины;
5) М(Х± Q
= М(Х) ± С;
6) М(Х- а)
= 0, где а =
М(Х).
Дисперсией D(X) случайной величины X называется математическое ожидание
квадрата ее отклонения от математического ожидания:
Свойства дисперсии случайной величины:
1)
ДС ) = 0, где С - постоянная величина;
2) D(kX) = k2D(X)\
3) D(X) = MiX2) - а2,
где a= M(X)
4) D(X + Y) = D(X - Y) = D(X) + D(Y), г
де и Y -независимые случайные величины.
Функцией распределения случайной величины X называется функция F(x),выражающая для каждого х вероятность того, что случайная
величина X примет значение, меньшее х:
F{x)=P{X<x).
Свойства функции распределения:
1) Функция распределения случайной величины есть неотрицательная функция,
заключенная между нулем и единицей:
0<F(x)<l.
2) Функция распределения случайной величины есть неубывающая функция на всей
числовой оси, т.е. При xj>x\
F(x2)>F{xx).
Рис. 2.1 График функции распределение случайно величины
3)
На минус бесконечности функция распределения равна нулю, на плюс бесконечности
- равна единице, т.е.
4) Вероятность попадания случайной величины X в интервал [х,, х2)
(включая X]) равна приращению ее функции распределения на этом интервале, т.е.
Р(х, <X )=F(x2)-F(xi).
Плотностью вероятности(плотностью распределения или просто
плотностью)ф(х) непрерывной случайной величины X называется производная ее
функции распределения
ϕ(x) = F'(x).
1. Дан ряд распределение случайной величины х:
Таблица 2.1
|
Xi
|
0
|
1
|
2
|
3
|
|
Pi
|
0,06
|
0,29
|
0,44
|
0,21
|
Необходимо: а) найти математическое ожидание М(Х), дисперсию D(Х) и среднее
квадратическое (стандартное) отклонение у случайной величины Х; б) определить
функцию распределения F(Х) и построить ее график.
F(x)=
Рис.
2.2 График функции распределение F(x)
2.Дана
функция распределения случайной величины X:
F(x)=
Найти:
а) ряд распределения; б) математическое ожидание М(Х) и дисперсию D(X);
в) построить график
Таблица
2.2
Рис. 2.3 График функции распределение F(x)
3. Случайная
величина X, сосредоточенная на интервале [-1;3], задана функцией распределения 
. Найти
вероятность попадания случайной величины X в интервал [0;2].


Вероятность
попадание случайной величины Х в интервале [0;2] равняется 0,5.
3. Ковариация,
корреляция, дисперсия
Дисперсия - это средняя арифметическая квадратов отклонений каждого
значения признака от общей средней.
Корреляция - зависимость между случайными величинами, когда
изменение одной влечет изменение распределения другой.
ПРАВИЛА КОВАРИАЦИИ
. Если Y = V + W,
Cov(X, Y) = Cov(X, V) + Cov(X, W)
2. Если Y = bZ, где b является константой,
Cov(X, Y) = Cov(X, bZ) = bCov(X, Z)
3. Если Y = b, где b является константой,
Cov(X, Y) = Cov(X, b) = 0
. Cov(X, Y) = Cov(Y, X)
ОПРЕДЕЛЕНИЕ ВЫБОРОЧНОЙ ДИСПЕРСИИ
ТЕОРЕТИЧЕСКИЙ
КОЭФФИЦИЕНТ КОРРЕЛЯЦИИ
В
задании 1.18 исследуется зависимость производительности труда y (т
/ час) от уровня механизации работ x1 (%) по данным 15 промышленных предприятий.
Таблица
3.1
|
x
|
15
|
3
|
15
|
16
|
12
|
12
|
5
|
15
|
14
|
1
|
17
|
6
|
9
|
3
|
19
|
|
y
|
-5
|
0
|
-7
|
-10
|
-5
|
-5
|
-1
|
-6
|
-3
|
1
|
-7
|
-4
|
-1
|
0
|
-8
|
Таблица 3.2
|
Cov(x,y) - Ковариация
|
Var(X) - дисперсия
|
Var(Y) - дисперсия
|
Корреляция
|
|
-16,08
|
31,76
|
10,19555556
|
-0,893594218
|
Ковариация Х и У показывает зависимость случайных
величин, зависимость случайных величин равна -16,08.
Дисперсия (вариация) показывает на сколько отклоняется
каждое значение от общей средней.
Корреляция показывает какая связь существует между
двумя величинами, в нашем случае связь отрицательная.
В заданиях 1.39 имеется следующие данные о цене на
нефть х (ден.ед.) и индексе акций нефтяных компаний у (усл.ед.).
Таблица 3.3
|
х
|
17,5
|
17,3
|
17,2
|
17,1
|
17,4
|
17,5
|
|
у
|
520
|
528
|
535
|
540
|
545
|
555
|
Таблица 3.4
|
Cov(x,y) - Ковариация
|
Var(X) - дисперсия
|
Var(Y) - дисперсия
|
Корреляция
|
|
-0,03611
|
0,022222
|
128,4722222
|
-0,02137
|
Ковариация Х и У показывает зависимость случайных
величин, зависимость случайных величин равна -0,03611.
Дисперсия (вариация) показывает на сколько отклоняется
каждое значение от общей средней.
Корреляция показывает какая связь существует между
двумя величинами, в нашем случае связь отрицательная.
В задании 1.60 имеется следующие данные о цене на
нефть х (ден.ед.) и индексе акций нефтяных компаний у (усл.ед.). Предполагая,
что между переменными х и у существует линейная зависимость, найти ковариацию cov(x,y).
Таблица 3.5
|
х
|
16,8
|
17
|
17,2
|
16,9
|
17,1
|
16,95
|
|
у
|
510
|
515
|
540
|
510
|
525
|
500
|
Таблица 3.6
|
Cov(x,y) - Ковариация
|
Var(X) - дисперсия
|
Var(Y) - дисперсия
|
Корреляция
|
|
1,388889
|
0,017014
|
163,8889
|
0,831746
|
Ковариация Х и У показывает зависимость случайных
величин, зависимость случайных величин равна 1,388889.
Дисперсия (вариация) показывает на сколько отклоняется
каждое значение от общей средней.
Корреляция показывает, какая связь существует между
двумя величинами, в нашем случае тесная.
В задании 1.81 имеется следующие данные о цене на
нефть х (ден.ед.) и индексе акций нефтяных компаний у (усл.ед.). Предполагая,
что между переменными х и у существует линейная зависимость, найти выборочную
дисперсию переменной x.
Таблица 3.7
|
х
|
14,28
|
14,05
|
15,3
|
15,8
|
16,2
|
15,5
|
|
у
|
550
|
520
|
545
|
530
|
525
|
560
|
Таблица 3.8
|
Cov(x,y) - Ковариация
|
Var(X) - дисперсия
|
Var(Y) - дисперсия
|
Корреляция
|
|
-0,13611
|
205,5556
|
0,604681
|
-0,01221
|
Ковариация Х и У показывает зависимость случайных
величин, зависимость случайных величин равна -0,13611.
Дисперсия (вариация) показывает на сколько отклоняется
каждое значение от общей средней.
Корреляция показывает, какая связь существует между
двумя величинами, в нашем случае отрицательная связь.
В задании 1.102. имеется следующие данные о цене на
нефть х (ден.ед.) и индексе акций нефтяных компаний у (усл.ед.). Предполагая,
что между переменными х и у существует линейная зависимость, найти коэффициент
корреляции.
Таблица 3.9
|
х
|
17,5
|
17,3
|
17,15
|
17,1
|
17,4
|
17,45
|
|
у
|
510
|
518
|
535
|
530
|
545
|
535
|
Таблица 3.10
|
Cov(x,y) - Ковариация
|
Var(X) - дисперсия
|
Var(Y) - дисперсия
|
Корреляция
|
|
-0,39722
|
135,1389
|
0,022222
|
-0,22922
|
Ковариация Х и У показывает зависимость случайных
величин, зависимость случайных величин равна -0,39722.
Дисперсия (вариация) показывает на сколько отклоняется
каждое значение от общей средней.
Корреляция показывает, какая связь существует между
двумя величинами, в нашем случае отрицательная связь.
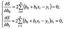
. Парный регрессионный анализ. Линейные модели
Метод наименьших квадратов неизвестные параметры bo и Ь1 выбираются таким
образом, чтобы сумма квадратов отклонений эмпирических значений yi от значений у(sh), найденных по уравнению регрессии,
была минимальной:
Следует отметить, что для оценки параметров b0 и Ь1 возможны
и другие подходы. Так, например, согласно методу наименьших модулей следует
минимизировать сумму абсолютных величин отклонений
Однако метод наименьших квадратов существенно проще при проведении
вычислительной процедуры и дает, как мы увидим далее, хорошие по статистическим
свойствам оценки. Этим и объясняется его широкое применение в статистическом
анализе. На основании необходимого условия экстремума функции двух переменных
S=S(b0,b1) приравниваем к нулю ее частные производные,
т.е.
Откуда после преобразований получим систему нормальных уравнений для
определения параметров линейной регрессии:
Теперь, разделив обе части уравнений на n, получим систему нормальных уравнений в виде:
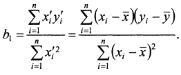
где b1 равняется:
а b0 равняется:
Величина r является
показателем тесноты связи и называется выборочным коэффициентом корреляции (или
просто коэффициентом корреляции).
Свойства коэффициента корреляции:
. Коэффициент корреляции принимает значения на отрезке [-1;1],
т.е. -1 < г < 1. Чем ближе г к единице, тем теснее связь.
. При r = ± 1
корреляционная связь представляет линейную функциональную зависимость. При этом
все наблюдаемые значения Располагаются на прямой линии.
. При r = 0 линейная
корреляционная связь отсутствует. При этом линия регрессии параллельна оси Ох.
Основные предпосылки регрессионного анализа:
. В модели yi = b0 + b1xi + еi возмущение
(или зависимая переменная yi) есть величина случайная, а объясняющая переменная x-величина неслучайная.
. Математическое ожидание возмущения равно нулю: M{еi)=0
(или математическое ожидание зависимой переменной yi) равно
линейной функции регрессии: M(yi) = b0 + b1xi
. Дисперсия возмущения (или зависимой переменной yi) постоянна для любогоi: D(еi)
= у2(или D(yi) = у2 -условие
гомоскедастичности или равно изменчивости возмущения(зависимой переменной).
. Возмущения еi и еj (или переменные yi и yj) не коррелированы M(еi,еj)=0(i≠j).
. Возмущение еi (или зависимая переменная уi) есть нормально распределённая случайная величина.
В задании 1.18 исследуется зависимость производительности труда y (т / час) от уровня механизации
работ x1 (%) по данным 15 промышленных предприятий.
Таблица 4.1
|
x
|
15
|
3
|
15
|
16
|
12
|
12
|
5
|
15
|
14
|
1
|
17
|
6
|
9
|
3
|
19
|
|
y
|
-5
|
0
|
-7
|
-10
|
-5
|
-5
|
-1
|
-6
|
-3
|
1
|
-7
|
-4
|
-1
|
0
|
-8
|
b1
|
b0
|
|
-0,5062972
|
1,401343409
|
Ŷ=1,4-0,5*x
Данный показывает, что при увеличении механизации
работ на 1%, она снижется на 0,5 раз.
В задании 1.39 имеется следующие данные о цене на
нефть х (ден.ед.) и индексе акций нефтяных компаний у (усл.ед.).
Таблица 4.3
|
х
|
17,5
|
17,3
|
17,2
|
17,1
|
17,4
|
17,5
|
|
у
|
520
|
528
|
535
|
540
|
545
|
555
|
Таблица 4.4
Данный показывает, что при увеличении цены на нефть на
1%, она снижется на 1,625 раз.
В задании 1.60. имеется следующие данные о цене на
нефть х (ден.ед.) и индексе акций нефтяных компаний у (усл.ед.). Предполагая,
что между переменными х и у существует линейная зависимость, найти ковариацию cov(x,y).
Таблица 4.5
|
х
|
16,8
|
17
|
17,2
|
16,9
|
17,1
|
16,95
|
|
у
|
510
|
515
|
540
|
510
|
525
|
500
|
Таблица 4.6
|
b1
|
b0
|
|
81,632653
|
-870,408163
|
Данный показывает, что при увеличении цены на нефть на
1%, она увеличивается на 81,63 раз.
В задании 1.81 имеется следующие данные о цене на
нефть х (ден.ед.) и индексе акций нефтяных компаний у (усл.ед.). Предполагая, что
между переменными х и у существует линейная зависимость, найти выборочную
дисперсию переменной x.
Таблица 4.7
|
х
|
14,28
|
14,05
|
15,3
|
15,8
|
16,2
|
15,5
|
|
у
|
550
|
520
|
545
|
530
|
525
|
560
|
Таблица 4.8
|
b1
|
b0
|
|
-0,225096
|
541,7521648
|
Данный показывает, что при увеличении цены на нефть на
1%, она снижется на 1,625 раз.
В задании 1.102. имеется следующие данные о цене на
нефть х (ден.ед.) и индексе акций нефтяных компаний у (усл.ед.). Предполагая,
что между переменными х и у существует линейная зависимость, найти коэффициент
корреляции.
Таблица 4.9
|
х
|
17,5
|
17,3
|
17,15
|
17,1
|
17,4
|
17,45
|
|
у
|
510
|
518
|
535
|
530
|
545
|
535
|
Таблица 4.10
Данный показывает, что при увеличении цены на нефть на
1%, она снижется на -17,875 раз.
5. Оценка уравнение парной регрессии. Дисперсионный анализ
Теорема Гаусса-Маркова. Если регрессионная модель удовлетворяет предпосылкам
1-4,то оценки bo, b1 имеют наименьшую дисперсию в классе
всех линейных несмещенных оценок (Best Linear Unbiased Estimator, или BLUE).
Проверить значимость уравнения регрессии - значит установить,
соответствует ли математическая модель, выражающая зависимость между
переменными, экспериментальным данным достаточно ли включенных в уравнение
объясняющих переменных (одной или нескольких) для описания зависимой
переменной.
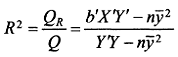
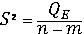
Q = QR+ QE
где Q - общая сумма квадратов отклонений
зависимой переменной от средней, а QRи QE-
соответственно сумма квадратов, обусловленная регрессией, и остаточная сумма
квадратов, характеризующая влияние неучтенных факторов.
Схема дисперсионного анализа имеет вид представленный в таблице:
Таблица 5.1
|
Компоненты дисперсии
|
Сумма квадратов
|
Число степеней свободы
|
Средние квадраты
|
|
Регрессия
|
|
m - 1
|
|
|
Остаточная
|
|
n - m
|
|
|
Общая
|
|
n - 1
|
|
Учитывая
смысл величин  и S2 ,можно сказать, что значение F(критерия
Фишера) показывает, в какой мере регрессия лучше оценивает значение зависимой
переменной по сравнению сее средней. В случае линейной парной регрессии m =
2, и уравнение регрессии значимо на уровне б, если
t -
Распределение Стюдента:
.В
задании 1.18 исследуется зависимость производительности труда y (т
/ час) от уровня механизации работ x1 (%) по данным 15 промышленных предприятий.
Таблица
5.2
|
X
|
15
|
3
|
15
|
16
|
12
|
12
|
5
|
15
|
14
|
1
|
17
|
6
|
9
|
3
|
19
|
|
Y
|
-5
|
0
|
-7
|
-10
|
-5
|
-5
|
-1
|
-6
|
-3
|
1
|
-7
|
-4
|
-1
|
0
|
-8
|
Таблица 5.2
|
F-распределение Фишера
|
Корреляция
|
t - кретерия Стюдента
|
R
|
|
0,0192308
|
-0,893594218
|
7,177710731
|
0,798511
|
Таблица 5.3
|
Компоненты дисперсии
|
Сумма квадратов
|
Число степеней
|
Средние квадраты
|
|
Регрессия
|
3,15544E-30
|
1
|
3,15544E-30
|
|
Остаточная
|
1,26218E-29
|
13
|
9,70906E-31
|
|
Общая
|
0
|
14
|
|
Значения Фишера - Снедекора меньше чем табличный результат, значит она не
значима, критерия Стьюдента больше чем табличный результат, т.е. этот результат
значима. Коэффициент корреляции показывает, что связь отсутствует и точки на
графике расположены далеко друг от друга.
В задании 1.39 имеется следующие данные о цене на
нефть х (ден.ед.) и индексе акций нефтяных компаний у (усл.ед.).
Таблица 5.4
|
х
|
17,5
|
17,3
|
17,2
|
17,1
|
17,4
|
17,5
|
|
у
|
520
|
528
|
535
|
540
|
545
|
555
|
Таблица 5.5
|
F-распределение Фишера
|
Корреляция
|
t - кретерия Стюдента
|
R
|
|
0,5625
|
-0,02137187
|
0,042753502
|
0,00045676
|
Таблица 5.6
|
Компоненты дисперсии
|
Сумма квадратов
|
Число степеней
|
Средние квадраты
|
|
регрессия
|
1,16322E-25
|
1
|
1,16322E-25
|
|
остаточная
|
5,16988E-26
|
4
|
1,29247E-26
|
|
общая
|
1,29247E-26
|
5
|
|
Значения Фишера - Снедекора меньше чем табличный результат, значит она не
значима, критерия Стьюдента меньше чем табличный результат, т.е. этот результат
не значима. Коэффициент корреляции показывает, что связь отсутствует и точки на
графике расположены далеко друг от друга.
В задании 1.60 имеется следующие данные о цене на
нефть х (ден.ед.) и индексе акций нефтяных компаний у (усл.ед.). Предполагая,
что между переменными х и у существует линейная зависимость, найти ковариацию cov(x,y).
Таблица 5.7
|
Х
|
16,8
|
17
|
17,2
|
16,9
|
17,1
|
16,95
|
|
У
|
510
|
515
|
540
|
510
|
525
|
500
|
Таблица 5.8
|
F-распределение Фишера
|
Корреляция
|
t - кретерия Стюдента
|
R
|
|
0
|
0,999951121
|
202,2732478
|
0,999902245
|
Таблица 5.9
|
Компоненты дисперсии
|
Сумма квадратов
|
Число степеней
|
Средние квадраты
|
|
Регрессия
|
0
|
1
|
0
|
|
Остаточная
|
5,16988E-26
|
4
|
1,29247E-26
|
|
Общая
|
5,16988E-26
|
5
|
|
Значения Фишера - Снедекора меньше чем табличный результат, значит она не
значима, критерия Стьюдента больше чем табличный результат, т.е. этот результат
значима. Коэффициент корреляции показывает, что связь очень тесная и точки на
графике расположены близко друг от друга.
В задании 1.81 имеется следующие данные о цене на
нефть х (ден.ед.) и индексе акций нефтяных компаний у (усл.ед.). Предполагая,
что между переменными х и у существует линейная зависимость, найти выборочную
дисперсию переменной x.
Таблица 5.10
|
х
|
14,28
|
14,05
|
15,3
|
15,8
|
16,2
|
15,5
|
|
у
|
550
|
520
|
545
|
530
|
525
|
560
|
Таблица 5.11
|
F-распределение Фишера
|
Корреляция
|
t - кретерия Стюдента
|
R
|
|
0,25
|
0,999538921
|
65,83805489
|
0,999078054
|
Таблица 5.12
|
Компоненты дисперсии
|
Сумма квадратов
|
Число степеней
|
Средние квадраты
|
|
регрессия
|
5,16988E-26
|
1
|
5,16988E-26
|
|
остаточная
|
5,16988E-26
|
4
|
1,29247E-26
|
|
общая
|
2,06795E-25
|
5
|
|
Значения Фишера - Снедекора меньше чем табличный результат, значит она не
значима, критерия Стьюдента больше чем табличный результат, т.е. этот результат
значима. Коэффициент корреляции показывает, что связь очень тесная и точки на
графике расположены близко друг от друга.
В задании 1.102. имеется следующие данные о цене на
нефть х (ден.ед.) и индексе акций нефтяных компаний у (усл.ед.). Предполагая,
что между переменными х и у существует линейная зависимость, найти коэффициент
корреляции.
Таблица 5.13
|
х
|
17,5
|
17,3
|
17,15
|
17,1
|
17,4
|
17,45
|
|
у
|
510
|
518
|
535
|
530
|
545
|
535
|
Таблица 5.14
|
F-распределение Фишера
|
Корреляция
|
t - кретерия Стюдента
|
R
|
|
0,25
|
0,999911678
|
150,4704814
|
0,999823363
|
Таблица 5.15
|
Компоненты дисперсии
|
Сумма квадратов
|
Число степеней
|
Средние квадраты
|
|
Регрессия
|
5,16988E-26
|
1
|
5,16988E-26
|
|
остаточная
|
5,16988E-26
|
4
|
|
Общая
|
0
|
5
|
|
Значения Фишера - Снедекора меньше чем табличный результат, значит она не
значима, критерия Стьюдента больше чем табличный результат, т.е. этот результат
значима. Коэффициент корреляции показывает, что связь очень тесная и точки на
графике расположены близко друг от друга.
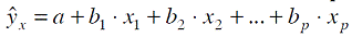
. Множественный регрессионный анализ
Множественная регрессия - уравнение связи с несколькими независимыми
переменными:
= f (x1,x2,...,xp) ,
где у - зависимая переменная (результативный признак);
х1,х2,…,хp - независимые переменные
(факторы).
Множественная регрессия применяется в ситуациях, когда из множества
факторов, влияющих на результативный признак, нельзя выделить один доминирующий
фактор и необходимо учитывать влияние нескольких факторов.
Основная цель множественной регрессии - построить модель с большим числом
факторов, определив при этом влияние каждого из них в отдельности, а также совокупное
их воздействие на моделируемый показатель.
Как и в случае парной регрессии, построение уравнения множественной
регрессии осуществляется в два этапа:
· спецификация модели;
· оценка параметров выбранной модели.
Спецификация модели включает в себя решение двух задач:
· отбор p факторов xj, наиболее влияющих на величину y;
· выбор вида уравнения регрессии ŷ=f (x1,x2,...,xp);.
Наиболее широкое применение получили следующие методы построения
уравнения множественной регрессии:
· метод исключения;
· метод включения;
· шаговый регрессионный анализ.
Каждый из этих методов по-своему решает проблему отбора факторов, давая в
целом близкие результаты - отсев факторов из полного его набора (метод
исключения), дополнительное введение фактора (метод включения), исключение
ранее введенного фактора (шаговый регрессионный анализ).
В процедуре отсева факторов наиболее широко используется матрица частных
коэффициентов корреляции.
Как и в парной зависимости, возможны разные виды уравнений множественной
регрессии: линейные и нелинейные.
Ввиду четкой интерпретации параметров наиболее широко используются
линейная и степенная функции.
В уравнении линейной множественной регрессии
В уравнении степенной функции
В производственных функциях вида
Для построения уравнения множественной регрессии чаще всего используются
следующие функции:
· линейная -
· степенная -
· экспонента -
· гипербола -
В задании 2.18 по 10 предприятиям региона изучается
зависимость выработки на одного работника у (тыс. руб.) от ввода в действие
новых основных фондов х1 (% от стоимости фондов на конец года) и от
удельного веса рабочих высокой квалификации в общей численности рабочих х2
(%).
Таблица 6.1
|
№ предприятия
|
1
|
2
|
3
|
4
|
5
|
6
|
7
|
8
|
9
|
10
|
|
Y
|
7
|
7
|
7
|
7
|
8
|
9
|
9
|
9
|
9
|
10
|
|
X1
|
3,9
|
3,7
|
3,7
|
4
|
4
|
4,8
|
5,1
|
4,4
|
5,3
|
5,5
|
Таблица 6.2
|
b0
|
b1
|
b2
|
|
1,5611
|
1,0063
|
0,1324
|
После соответствующих вычислений вектор коэффициентов регрессии равна b0=1,56 , b1=1,006 , b2=0,13 .
По уравнению можно сказать, что при увеличении действие новых основных
фондов на 1%, стоимости фондов увеличивается на 1,006, а при увеличении рабочих
с высокой квалификации на 1 человека численность рабочих увеличится на 0,13.
В задании 2.07 исследуется зависимость производительности труда y (т / час) от уровня механизации
работ x1 (%), среднего возраста работников x2 (лет) и энерговооруженности x3 (КВт / 100 работающих) по данным 14 промышленных
предприятий.
Таблица 6.3
|
x1
|
39
|
43
|
44
|
50
|
59
|
57
|
63
|
58
|
64
|
70
|
72
|
79
|
35
|
33
|
|
x2
|
44
|
42
|
49
|
46
|
37
|
41
|
45
|
38
|
42
|
47
|
43
|
44
|
36
|
34
|
|
x3
|
450
|
425
|
500
|
465
|
380
|
400
|
455
|
390
|
415
|
480
|
435
|
440
|
355
|
340
|
|
y
|
31
|
33
|
34
|
36
|
37
|
40
|
41
|
43
|
44
|
46
|
48
|
51
|
23
|
27
|
Таблица 6.4
|
b0
|
b1
|
b2
|
b3
|
|
3,278
|
0,5276
|
-0,191
|
0,0331
|
После соответствующих вычислений вектор коэффициентов регрессии равна b0=3,27 , b1=0,52 , b2=-0,19 , b3=0,033.
По уравнению можно сказать, что при увеличении механизации работы на 1%,
производительность труда увеличивается на 0,53, а при увеличении возраста на 1
год производительность труда уменьшается на 0,19, при увеличении
энерговооруженности на единицу, производительность труда увеличится на 0,03.
В задании 2.28 по 10 предприятиям региона изучается
зависимость выработки на одного работника у (тыс. руб.) от ввода в действие
новых основных фондов х1 (% от стоимости фондов на конец года) и от
удельного веса рабочих высокой квалификации в общей численности рабочих х2
(%).
Таблица 6.5
|
№ предприятия
|
1
|
2
|
3
|
4
|
5
|
6
|
7
|
8
|
9
|
10
|
|
Y
|
7
|
7
|
7
|
7
|
8
|
9
|
9
|
9
|
9
|
10
|
|
X1
|
3,9
|
3,7
|
3,7
|
4
|
4
|
4,8
|
5,1
|
4,4
|
5,3
|
5,3
|
|
Х2
|
10
|
12
|
15
|
15
|
17
|
18
|
18
|
19
|
20
|
20
|
Таблица 6.6
|
b0
|
b1
|
b2
|
|
1,5611
|
1,0063
|
0,1324
|
После соответствующих вычислений вектор коэффициентов регрессии равна b0=1,56 , b1=1,006 , b2=0,13 .
По уравнению можно сказать, что при увеличении фондов на 1%, выработка
одного работника увеличивается на 1,006, а при увеличении квалификации рабочих
на 1%, выработка одного работника увеличится на 0,132.
. Оценка уравнения множественной регрессии. Дисперсионный
анализ
Как и в случае парной регрессионной модели, в модели множественной
регрессии общая вариация Q - сумма квадратов отклонений зависимой переменной от
средней может быть разложена на две составляющие:
= QR + Qe
где QR, Qe - соответственно сумма квадратов отклонений,
обусловленная регрессией, и остаточная сумма квадратов, характеризующая влияние
неучтенных факторов.
Получим
более удобные формулы для суммы квадратов Q, Qe и QR , не
требующие вычисления значений  обусловленных
регрессией и остатков ei.
Уравнение
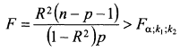
множественной регрессии значимо, если
Коэффициент
детерминации R2 как одна
из наиболее эффективных оценок адекватности регрессионной модели, мера качества
уравнения регрессии, характеристика его прогностической силы.
Коэффициент
детерминации R2 определяется
по формуле:
Чем
ближе R2 к
единице, тем лучше регрессия описывает зависимость между объясняющими и
зависимой переменными.
Недостатком
коэффициента детерминации R2 является
то, что он вообще говоря, увеличивается при добавлении новых объясняющих
переменных, хотя это и не обязательно означает улучшение качества регрессионной
модели. В этом смысле предпочтительнее использовать скорректированный
коэффициент детерминации  2, определяемый по формуле:
Если
известен коэффициента детерминации R2 , то критерий значимости уравнения регрессии может
быть записан в виде:
где
k1=p, k2=n-p-l, ибо в уравнении множественной регрессии
вместе со свободным членом оценивается m=p+1
параметров.
В задании 2.18 по 10 предприятиям региона изучается
зависимость выработки на одного работника у (тыс. руб.) от ввода в действие
новых основных фондов х1 (% от стоимости фондов на конец года) и от
удельного веса рабочих высокой квалификации в общей численности рабочих х2
(%).
Таблица 7.1
|
№ предприятия
|
1
|
2
|
3
|
4
|
5
|
6
|
7
|
8
|
9
|
10
|
|
Y
|
7
|
7
|
7
|
7
|
8
|
9
|
9
|
9
|
9
|
10
|
|
X1
|
3,9
|
3,7
|
3,7
|
4
|
4
|
4,8
|
5,1
|
4,4
|
5,3
|
5,3
|
|
Х2
|
10
|
12
|
15
|
15
|
17
|
18
|
18
|
19
|
20
|
20
|
Таблица 7.2
|
b0
|
1,5611
|
Q
|
11,6
|
|
b1
|
1,0063
|
Qr
|
10,458
|
|
b2
|
0,1324
|
Qe
|
1,1417
|
|
R2
|
0,9016
|
F
|
192,36
|
|
R2(sh)
|
0,8735
|
|
По результатам, полученным из таблицы выше можно сделать некоторые
выводы, такие, как коэффициент Стьюдента и Фишера - Сенедекора они являются
значимыми, потому что их результаты являются наибольшими, чем табличные, а
результаты корреляции показывает что между переменными y и х1 связь является тесной, а во втором случае между переменными
у и х2 связь отсутствует. Коэффициент детерминации R2 = 0,901 свидетельствует о том, что вариация исследуемой
зависимой переменной Y -
изучает зависимость выработки на одного работника на 90,1% объясняется
изменчивостью включенных в модель объясняющих переменных - от ввода в действие
новых основных фондов Х1 и от удельного веса рабочих высокой
квалификации в общей численности рабочих Х2.
В задании 2.07 исследуется зависимость производительности труда y (т / час) от уровня механизации
работ x1 (%), среднего возраста работников x2 (лет) и энерговооруженности x3 (КВт / 100 работающих) по данным 14 промышленных
предприятий.
Таблица 7.3
|
x1
|
39
|
43
|
44
|
50
|
59
|
57
|
63
|
58
|
64
|
70
|
72
|
79
|
35
|
33
|
|
x2
|
44
|
42
|
49
|
46
|
37
|
41
|
45
|
38
|
42
|
47
|
43
|
44
|
36
|
34
|
|
x3
|
450
|
425
|
500
|
465
|
380
|
400
|
455
|
390
|
415
|
480
|
435
|
440
|
355
|
340
|
|
y
|
31
|
33
|
34
|
36
|
37
|
40
|
41
|
43
|
44
|
46
|
51
|
23
|
27
|
Таблица 7.4
|
b0
|
3,278
|
Q
|
6667,2
|
|
b1
|
0,5276
|
Qr
|
6621
|
|
b2
|
-0,191
|
Qe
|
46,21
|
|
b3
|
0,0331
|
F
|
5731,2
|
|
R2(sh)
|
0,991
|
R2
|
0,9931
|
По результатам, полученным из таблицы выше можно сделать некоторые
выводы, такие, как коэффициент Стьюдента и Фишера - Сенедекора они являются
значимыми, потому что их результаты являются наибольшими, чем табличные, а
результаты корреляции показывает что между переменными y и х1 связь является тесной, а во втором случае между
переменными у и х2 связь отсутствует. Коэффициент детерминации R2 = 0,993 свидетельствует о том, что
вариация исследуемой зависимой переменной Y - изучает зависимость выработки на одного работника на 99,3%
объясняется изменчивостью включенных в модель объясняющих переменных - от ввода
в действие новых основных фондов Х1 и от удельного веса рабочих
высокой квалификации в общей численности рабочих Х2.
В задании 2.28 по 10 предприятиям региона изучается
зависимость выработки на одного работника у (тыс. руб.) от ввода в действие
новых основных фондов х1 (% от стоимости фондов на конец года) и от
удельного веса рабочих высокой квалификации в общей численности рабочих х2
(%).
Таблица 7.5
|
№ предприятия
|
1
|
2
|
3
|
4
|
5
|
6
|
7
|
8
|
9
|
10
|
|
Y
|
7
|
7
|
7
|
7
|
8
|
9
|
9
|
9
|
9
|
10
|
|
X1
|
3,9
|
3,7
|
3,7
|
4
|
4
|
4,8
|
5,1
|
4,4
|
5,3
|
5,3
|
|
Х2
|
10
|
12
|
15
|
15
|
17
|
18
|
18
|
19
|
20
|
20
|
Таблица 7.6
|
b0
|
1,5611
|
Q
|
11,6
|
|
b1
|
1,0063
|
Qr
|
10,458
|
|
b2
|
0,1324
|
Qe
|
1,1417
|
|
R2(sh)
|
0,8735
|
F
|
192,36
|
|
R2
|
0,9016
|
|
По результатам, полученным из таблицы выше можно сделать некоторые выводы,
такие, как коэффициент Стьюдента и Фишера - Сенедекора они являются значимыми,
потому что их результаты являются наибольшими, чем табличные, а результаты
корреляции показывает что между переменными y и х1 связь является тесной, а во втором случае между переменными
у и х2 связь отсутствует. Коэффициент детерминации R2 = 0,901 свидетельствует о том, что вариация исследуемой
зависимой переменной Y -
изучает зависимость выработки на одного работника на 90,1% объясняется
изменчивостью включенных в модель объясняющих переменных - от ввода в действие
новых основных фондов Х1 и от удельного веса рабочих высокой
квалификации в общей численности рабочих Х2.
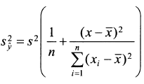
. Интервальная оценка функции регрессии и ее параметры
Доверительный интервал для функции регрессии. Построим
доверительный интервал для функции регрессии, т.е. для условного
математического ожидания МХ(Y), который с заданной надежностью
(доверительной вероятностью) г=1- б накрывает неизвестное значение МХ(Y)
Найдем
дисперсию групповой средней  ,представляющей
выборочную оценку МХ(Y). С этой целью уравнение регрессии (15)
представим в виде:
На
рис. 8.1 линия регрессии (7) изображена графически. Для произвольного
наблюдаемого значения уi,выделены его составляющие: средняя , приращение Ь1 (хi
- ), образующие расчетное значение уxiи
возмущение еi..
Дисперсия групповой средней равна сумме дисперсий двух независимых
слагаемых выражения
Рис.8.1 Линия регрессия
Дисперсия
выборочной средней 
Для
нахождения дисперсии  представим
коэффициент регрессии в виде:
Найдем
оценку дисперсии групповых средних , учитывая заменяя ее
оценкой  :
Исходя
из того, что статистика имеет t-распределение
Стьюдента с k=п-2 степенями свободы, можно построить доверительный
интервал для условного математического ожидания
где
 = -
стандартная ошибка групповой средней  .
Доверительный
интервал для индивидуальных значений зависимой переменной. Построенная
доверительная область для МХ(У) (см. рис. 2) определяет
местоположение модельной линии регрессии (т.е. условного математического
ожидания), но не отдельных возможных значений зависимой переменной, которые отклоняются
от средней. Поэтому при определении доверительного интервала для индивидуальных
значений у'0 зависимой переменной необходимо учитывать еще один
источник вариации - рассеяние вокруг линии регрессии, т.е. в оценку суммарной
дисперсии S2 следует
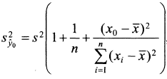
включить величину S2. В
результате оценка дисперсии индивидуальных значений yо при х = хо равна
а
соответствующий доверительный интервал для прогнозов индивидуальных значений  0будет определяться по формуле:
Доверительный
интервал для параметров регрессионной модели. Наряду с интервальным оцениванием
функции регрессии иногда представляет интерес построение доверительных
интервалов для параметров регрессионной модели, в частности для параметров
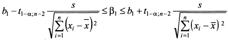
регрессионной модели, в частности для  и  .
Можно
показать, что при выполнении предпосылки 5 регрессионного анализа статистика имеет
стандартный нормальный закон распределения а если в для  заменить
 ее
оценкой  , то
статистика
имеет
t-распределение Стьюдента с k= n - 2 степенями свободы. Поэтому интервальная
оценка параметра  на
уровне значимости  имеет
вид:
Задача
8.7. В таблице 8.1. заданы значения, независимой переменной приведено в первой
строке, зависимой - во второй.
Таблица
8.1.
|
x
|
39
|
43
|
44
|
50
|
59
|
57
|
63
|
58
|
64
|
70
|
72
|
79
|
35
|
33
|
|
y
|
31
|
33
|
34
|
36
|
37
|
40
|
41
|
43
|
44
|
46
|
48
|
51
|
23
|
27
|
Таблица 8.2
|
Доверительный интервал для функции регрессии
|
|
27,8
|
<=
|
29,6
|
<=
|
31,4
|
|
Доверительный интервал для индивидуальных значений
|
|
24,74
|
<=
|
4,4
|
<=
|
34,46
|
|
Доверительный интервал для параметра
|
|
0,36
|
<=
|
0,54
|
<=
|
0,72
|
Теперь имеем S2 = 4,4
S2 х=39
=4,4 * (1 / 14 + (39 - 54,7) ^ 2 /
2692,9 =0,7
и
S х=39
=  = 0,84
По
табл. II приложений t0,95;39=2,16
Доверительный
интервал:
,8
<= 29,6 <= 31,4
Средняя
часовая производительность труда на одного рабочего от уровня механизации работ
с надежностью 0,95 находиться в пределах от 27,8 до 31,4т.
.
Чтобы построить доверительный интервал для индивидуального значения y*х0=39,
найдем дисперсию его оценки:
S2yх0=39 = 4,4 * (1 + 1 / 14 +
(39 - 54,7) ^ 2 / 2692,9 = 5,1
и
S2yх0=39 =  = 2,25
Далее
искомый доверительный интервал получим:
,74
<= 4,4<=34,46
Таким
образом, индивидуальная производительность труда на одного рабочего от уровня
механизации с надежностью 0,95 находится в пределах от 24,74 до 34,46 т.
.
Найдем 95%-ный доверительный интервал для параметра  1.
По
формуле:
,36
<= 0,54 <= 0,72
т.
е. с надежностью 0,95 при изменении уровня механизации Х на 1 м часовая
производительность труда Y будет изменяться на величину, заключенную в
интервале от 0,36 до 0,72 (т).
. Определение доверительных интервалов для коэффициентов и
функции регрессии
Перейдем
теперь к оценке значимости коэффициентов регрессии bj и построению
доверительного интервала для параметров регрессионной модели 
Изложенного
выше оценка  дисперсии
 коэффициента
регрессии 6, определится по формуле:
 (9.1)
где
 -
несмещенная оценка параметра  ;
Среднее
квадратическим отклонение (стандартная ошибка) коэффициента регрессии  примет
вид:
 (9.2)
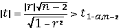
Значимость
коэффициента регрессии  можно
проверить, если учесть, что статистика имеет t-распределение
Стьюдента  степенями
свободы. Поэтому  значимо
отличается от нуляна уровне значимости  , если табличное
значение t-критерия Стьюдента, определенное на уровне значимости
 при
числе степеней свободыk=n-p-1.
Поэтому
доверительный интервал для параметра  есть
 (9.3)
Наряду
с интервальным оцениванием коэффициентов регрессии весьма важным для оценки
точности определения зависимой переменной (прогноза) является построение
доверительного интервала для функции регрессии или для условного
математического ожидания зависимой переменной  найденного
в предположении, что объясняющие переменные  приняли
значения, задаваемые вектором  . Выше
такой интервал получен для уравнения парной регрессии. Обобщая соответствующие
выражения на случай множественной регрессии, можно получить доверительный
интервал для  :
 (9.4)
где
 -
групповая средняя, определяемая по уравнению регрессии,
 (9.5)
ее стандартная ошибка.
Доверительный
интервал для индивидуальных значений зависимой переменной  примет вид:
 (9.5)
где
 . (9.6)
В задании 2.18 по 10 предприятиям региона изучается
зависимость выработки на одного работника у (тыс. руб.) от ввода в действие
новых основных фондов х1 (% от стоимости фондов на конец года) и от
удельного веса рабочих высокой квалификации в общей численности рабочих х2
(%).
Таблица 8.1
|
№ предприятия
|
1
|
2
|
3
|
4
|
5
|
6
|
7
|
8
|
9
|
10
|
|
Y
|
7
|
7
|
7
|
7
|
8
|
9
|
9
|
9
|
9
|
10
|
|
X1
|
3,9
|
3,7
|
3,7
|
4
|
4
|
4,8
|
5,1
|
4,4
|
5,3
|
5,3
|
|
Х2
|
10
|
12
|
15
|
15
|
17
|
18
|
18
|
19
|
20
|
20
|
Таблица 8.2
|
y(sh)
|
6,80934
|
|
s2
|
0,026602
|
|
S
|
0,163102
|
|
X'0(X'X)-1X0
|
0,659089
|
|
s(ysh)
|
0,132414
|
|
t(0.95.7)
|
2,36
|
|
Sy0
|
0,210085
|
|
t(b1)
|
7,637219
|
|
t(b2)
|
4,958974
|
|
Sb1
|
0,131757
|
|
Sb2
|
0,026697
|
Таблица 8.3
|
Доверительный интервал для функции регрессии
|
|
6,496844
|
<=
|
6,80934
|
<=
|
7,121836
|
|
Доверительный интервал для индивидуальных значений
|
|
6,313539
|
<=
|
6,80934
|
<=
|
7,305141
|
|
Доверительный интервал для коэффициентов регрессии
|
|
0,695311
|
<=
|
1,006258
|
<=
|
1,317205
|
|
Доверительный интервал для коэффициентов регрессии
|
|
0,069384
|
<=
|
0,132388
|
<=
|
0,195392
|
Итак, средняя часовая производительность труда на одного рабочего от
уровня механизации работ с надежностью 0,95 находиться в пределах от 6,49 до
7,12т.
В задании 2.07 исследуется зависимость производительности труда y (т / час) от уровня механизации
работ x1 (%), среднего возраста работников x2 (лет) и энерговооруженности x3 (КВт / 100 работающих) по данным 14 промышленных
предприятий.
Таблица 8.3
|
x1
|
39
|
43
|
44
|
50
|
59
|
57
|
63
|
58
|
64
|
70
|
72
|
79
|
35
|
33
|
|
x2
|
44
|
42
|
49
|
46
|
37
|
41
|
45
|
38
|
42
|
47
|
43
|
44
|
36
|
34
|
|
x3
|
450
|
425
|
500
|
465
|
380
|
400
|
455
|
390
|
415
|
480
|
435
|
440
|
355
|
340
|
|
y
|
31
|
33
|
34
|
36
|
40
|
41
|
43
|
44
|
46
|
48
|
51
|
23
|
27
|
Таблица 8.4
|
y(sh)
|
30,34537
|
|
s2
|
21,3539
|
|
S
|
4,621028
|
|
X'0(X'X)-1X0
|
0,267901
|
|
s(ysh)
|
2,391804
|
|
t(0.95.7)
|
2,23
|
|
Sy0
|
5,203328
|
|
t(b1)
|
5,491611
|
|
t(b2)
|
-0,08644
|
|
t(b3)
|
0,159997
|
|
Sb1
|
0,096069
|
|
Sb2
|
2,212487
|
|
Sb3
|
0,20704
|
Таблица 8.5
|
Доверительный интервал для функции регрессии
|
|
25,01164
|
<=
|
30,34537
|
<=
|
35,67909
|
|
Доверительный интервал для индивидуальных значений
|
|
18,74194
|
<=
|
30,34537
|
<=
|
41,94879
|
|
Доверительный интервал для первой коэффициентов регрессии
|
|
0,313341
|
<=
|
0,527576
|
<=
|
0,74181
|
|
Доверительный интервал для второй коэффициентов регрессии
|
|
-5,12509
|
<=
|
-0,19124
|
<=
|
4,742602
|
|
Доверительный интервал для третьей коэффициентов регрессии
|
|
-0,42857
|
<=
|
0,033126
|
<=
|
0,494824
|
Итак, средняя часовая производительность труда на одного рабочего от
уровня механизации работ с надежностью 0,95 находиться в пределах от 25,01 до
35,6т.
В задании 2.28 по 10 предприятиям региона изучается
зависимость выработки на одного работника у (тыс. руб.) от ввода в действие
новых основных фондов х1 (% от стоимости фондов на конец года) и от
удельного веса рабочих высокой квалификации в общей численности рабочих х2
(%).
Таблица 8.6
|
№
|
1
|
2
|
3
|
4
|
5
|
6
|
7
|
8
|
9
|
10
|
|
Y
|
7
|
7
|
7
|
7
|
8
|
9
|
9
|
9
|
9
|
10
|
|
X1
|
3,9
|
3,7
|
3,7
|
4
|
4
|
4,8
|
5,1
|
4,4
|
5,3
|
5,3
|
|
Х2
|
10
|
12
|
15
|
15
|
17
|
18
|
18
|
19
|
20
|
20
|
Таблица 8.7
|
y(sh)
|
6,80934
|
|
s2
|
0,026602
|
|
S
|
0,163102
|
|
X'0(X'X)-1X0
|
0,659089
|
|
s(ysh)
|
0,132414
|
|
t(0.95.7)
|
2,36
|
|
Sy0
|
0,210085
|
|
t(b1)
|
7,637219
|
|
t(b2)
|
4,958974
|
|
Sb1
|
0,131757
|
|
Sb2
|
0,026697
|
Таблица 8.8
|
Доверительный интервал для функции регрессии
|
|
6,496844
|
<=
|
6,80934
|
<=
|
7,121836
|
|
Доверительный интервал для индивидуальных значений
|
|
6,313539
|
<=
|
6,80934
|
<=
|
7,305141
|
|
Доверительный интервал для коэффициентов регрессии
|
|
0,695311
|
<=
|
1,006258
|
<=
|
1,317205
|
|
Доверительный интервал для коэффициентов регрессии
|
|
0,069384
|
<=
|
0,132388
|
<=
|
0,195392
|
Итак, средняя часовая производительность труда на одного рабочего от уровня
механизации работ с надежностью 0,95 находиться в пределах от 6,49 до 7,12т.
10. Мультиколлинеарность
При построении модели множественной регрессии часто приходится
сталкиваться с явлением мультиколлинеарности.
Мультиколлинеарность - это коррелированность двух или нескольких
объясняющих переменных в уравнении регрессии. В результате
высококоррелированные объясняющие переменные действуют в одном направлении и
имеют недостаточно независимое колебание, чтобы иметь возможность
интерпретировать изолированное влияние каждой переменной.
Мультиколлинеарность особенно часто имеет место при анализе
макроэкономических данных. Получаемые при этом оценки МНК чаще всего
оказываются статистически незначимыми и ненадежным, хотя значения коэффициентов
RІ могут быть высокими.
Для выявления мультиколлинеарности обычно рассчитывают матрицу парных
коэффициентов корреляции для всех объясняющих переменных. Если коэффициенты
корреляции между отдельными объясняющими переменными достаточно велики (более
0,8-0,9), то, можно предположить, что они коллинеарные.
Более информативной является матрица частных коэффициентов корреляции,
так как в ряде случаев парные коэффициенты корреляции могут давать совершенно
неверные представлении о характере связи между двумя переменными. Например,
между двумя переменными X и Y может быть высокий коэффициент парной корреляции
не потому, что одна из них стимулирует изменение другой, а потому что обе эти
переменные изменяются в одном направлении под влиянием других переменных.
Поэтому появляется необходимость измерять действительную тесноту связи между
двумя переменными, очищенную от влияния на рассматриваемую пару других
факторов.
Коэффициент корреляционной связи между двумя переменными, xi и xj, очищенной от влияния других переменных называется частным
коэффициентом корреляции. Обозначается Rij,1,2….k.
На рисунке, показанном ниже можно увидеть корреляционную матрицу, с
помощью которой можно увидеть какая связь существует между переменными.
Рис. 10.1 В таблица приведены коллениарности, ковариации, t - критерия Стюдента и F критерий Фишера
Рис. 10.2 Общие показания факторов производства
На рисунке, показанном выше можно увидеть и определить показания
факторов, значимы ли они, по табличным данным критерия Стьюдента и Фишера
Синедекора и определить коэффициент детерминации.
Рис. 10.3 Подбор факторов производства
На рисунке показаны значения факторов производства, с помощью которых
будет составлено уравнение регрессии. По рисунку можно сказать, что эти факторы
значимы и скорректированный коэффициент детерминации увеличился, т.е. эти два
фактора подходят для составления уравнения.
Рис. 10.4 Подбор факторов производства
На рисунке показаны значения факторов производства, с помощью которых
будет составлено уравнение регрессии. По рисунку можно сказать, что эти факторы
значимы и скорректированный коэффициент детерминации увеличился в отличие от
показаний (рис 10.4), т.е. эти четыре фактора подходят для составления
уравнения. Следующие факторы, которые были добавлены, не изменили значения
коэффициента детерминации и были не значимы по табличным данным. Уравнение
выглядит следующим образом:
ỹ=-28,5+0.2x1+1,8x4+0.21x6
Рис 10.5. Ковариационная матрица
На рисунке, показанном выше можно увидеть корреляционную матрицу, с
помощью которой можно увидеть какая связь существует между переменными.
Рис 10.6. Общие показания факторов производства
На рисунке, показанном выше можно увидеть и определить показания
факторов, значимы ли они, по табличным данным критерия Стьюдента и Фишера
Синедекора и определить коэффициент детерминации.
Рис 10.7. Подбор факторов производства
На рисунке показаны значения факторов производства, с помощью которых
будет составлено уравнение регрессии. По рисунку можно сказать, что эти факторы
значимы и скорректированный коэффициент детерминации увеличился в отличие от
показаний (рис 10.7), т.е. эти 2 фактора подходят для составления уравнения.
Следующие факторы, которые были добавлены, не изменили значения коэффициента
детерминации и были не значимы по табличным данным. Уравнение выглядит следующим
образом:
ỹ=-26.4+2.3x1+0.27x2.
11. Линейные регрессионные модели с переменной структурой.
Фиктивные переменные. Критерий Г. Чоу
До сих пор мы рассматривали регрессионную модель, в которой в качестве
объясняющих переменных (регрессоров) выступали количественные переменные
(производительность труда, себестоимость продукции, доход и т. п.). Однако на
практике достаточно часто возникает необходимость исследования влияния
качественных признаков, имеющих два или несколько уровней (градаций). К числу
таких признаков можно отнести: пол (мужской, женский), образование (начальное,
среднее, высшее), фактор сезонности (зима, весна, лето, осень) и т. п.
Качественные признаки могут существенно влиять на структуру линейных
связей между переменными и приводить к скачкообразному изменению параметров
регрессионной модели. В этом случае говорят об исследовании регрессионных
моделей с переменной структурой или построении регрессионных моделей по
неоднородным данным.
Например, нам надо изучить зависимость размера заработной платы Y работников не только от
количественных факторов Х1, X2,,.., Хn, но и от качественного признака Z1 (например, фактора «пол работника»).
В принципе можно было получить оценки регрессионной модели
(11.1)
для каждого уровня качественного признака (т. е. выборочное уравнение
регрессии отдельно для работников-мужчин и отдельно - для женщин), а затем
изучать различия между ними.
Но есть и другой подход, позволяющий оценивать влияние значений
количественных переменных и уровней качественных признаков с помощью одного
уравнения регрессии. Этот подход связан с введением так называемых фиктивных
(манекенных) переменных, или манекенов.
В качестве фиктивных переменных обычно используются дихотомические
(бинарные, булевы) переменные, которые принимают всего два значения: «0» или
«1» (например, значение такой переменной Z1 по фактору «пол»: Z1= 0 для
работников-женщин и Z1=1 - для мужчин).
В этом случае первоначальная регрессионная модель заработной платы
изменится и примет вид:
(11.2)
если i-й
работник мужского пола
если i-й
работник мужского пола
Таким
образом, принимая модель , мы считаем, что средняя заработная плата у мужчин на
выше , чем у женщин, при неизменных значениях других
параметров модели. А проверяя гипотезу мы можем
установить существенность влияния фактора «пол» на размер заработной платы
работника.
В
практике эконометриста нередки случаи, когда имеются две выборки пар значений
зависимой и объясняющих переменных (хi, yi). Например, одна выборка
пар значений переменных объемом п\ получена при одних условиях, а другая,
объемом n2, - при несколько измененных условиях. Необходимо
выяснить, действительно ли две выборки однородны в регрессионном смысле?
Другими словами, можно ли объединить две выборки в одну и рассматривать единую
модель регрессии Y по X?
При
достаточных объемах выборок можно было, например, построить интервальные оценки
параметров регрессии по каждой из выборок и в случае пересечения
соответствующих доверительных интервалов сделать вывод о единой модели
регрессии. Возможны и другие подходы. В случае, если объем хотя бы одной
из выборок незначителен, то возможности такого (и аналогичных) подходов резко
сужаются из-за невозможности построения сколько-нибудь надежных оценок.
В
критерии {тесте) Г. Чоу эти трудности в существенной степени преодолеваются. По
каждой выборке строятся две линейные регрессионные модели:
, (11.3)
, (11.4)
Согласно
критерию Г. Чоу нулевая гипотеза отвергается
на уровне значимости , если статистика
(11.5)
где
- остаточные суммы квадратов соответственно для
объединенной, первой и второй выборок; n=n1+n2
Рис
11.1. Анализ фиктивных переменных
По
рисунку, показанному выше можно сказать, что значения фиктивных переменных
значимы сопоставляя их с табличными данными, также можно сказать, что
совокупный доход будет отрицательным в независимости от образования.
Рис
11.2. Анализ фиктивных переменных
По
рисунку, показанному выше можно сказать, что значения фиктивных переменных
значимы сопоставляя их с табличными данными, также можно сказать, что
совокупный доход будет отрицательным в независимости от образования.
Рис
11.3. Анализ фиктивных переменных
По
рисунку, показанному выше можно сказать, что значения фиктивных переменных
значимы сопоставляя их с табличными данными, также можно сказать, что если
увеличить возраст обучения доход увеличится на 2.89.
По
рисунку, показанному выше можно сказать, что значения фиктивных переменных
значимы сопоставляя их с табличными данными, также можно сказать, что
совокупный доход будет отрицательным в независимости от образования.
Рис
11.4. Анализ фиктивных переменных
Рис
11.5. Анализ фиктивных переменных
Рис
11.6. Анализ фиктивных переменных
По рисунку, показанному выше можно сказать, что значения фиктивных
переменных значимы сопоставляя их с табличными данными, также можно сказать,
что если увеличить возраст обучения доход увеличится на 2.9, а если человек
закончил бакалавр, то его доход увеличится на 0.5.
По рисунку, показанному выше можно сказать, что значения фиктивных
переменных значимы сопоставляя их с табличными данными, также можно сказать,
что совокупный доход будет отрицательным в независимости от образования.
12. Нелинейные модели регрессии. Частная корреляция
До сих пор мы рассматривали линейные регрессионные модели, в которых
переменные имели первую степень (модели, линейные по переменным), а параметры
выступали в виде коэффициентов при этих переменных (модели, линейные по параметрам).
Однако соотношение между социально-экономическими явлениями и процессами далеко
не всегда можно выразить линейными функциями, так как при этом могут возникать
неоправданно большие ошибки.
Так, например, нелинейными оказываются производственные функции
(зависимости между объемом произведенной продукции и основными факторами
производства - трудом, капиталом и т. п.), функции спроса (зависимость между
спросом на товары или услуги и их ценами или доходом) и другие.
Для оценки параметров нелинейных моделей используются два подхода.
Первый подход основан на линеаризации модели и заключается в том, что с
помощью подходящих преобразований исходных переменных исследуемую зависимость
представляют в виде линейного соотношения между преобразованными переменными.
Второй подход обычно применяется в случае, когда подобрать
соответствующее линеаризующее преобразование не удается. В этом случае
применяются методы нелинейной оптимизации на основе исходных переменных.
Для линеаризации модели в рамках первого подхода могут использоваться как
модели, не линейные по переменным, так и не линейные по параметрам.
Если модель нелинейная по переменным, то введением новых переменных ее
можно свести к линейной модели, для оценки параметров которой использовать
обычный метод наименьших квадратов.
Так, например, если нам необходимо оценить параметры регрессионной модели
, (12.1)
то,
вводя новые переменные , получим
линейную модель
, (12.2)
параметры, которой находятся обычным методом наименьших квадратов
Более сложной проблемой является нелинейность модели по параметрам, так
как непосредственное применение метода наименьших квадратов для их оценивания
невозможно. К числу таких моделей можно отнести, например, мультипликативную
(степенную) модель
, (12.3)
экспоненциальную
модель
, (12.4)
и другие.
В ряде случаев путем подходящих преобразований эти модели
удается привести к линейной форме. Так, модели (12.3) и (12.4) могут быть
приведены к линейным логарифмированием обеих частей уравнений. Тогда, например,
модель (12.3) примет вид:
, (12.5)
Для оценки тесноты связи между переменными был введен выборочный
коэффициент линейной корреляции. Если переменные коррелируют друг с другом, то
на значении коэффициента корреляции частично сказывается влияние других
переменных. В связи с этим часто возникает необходимость исследовать частную
корреляцию между переменными при исключении (элиминировании) влияния одной или
нескольких переменных.
Выборочным
частным коэффициентом корреляции (или просто частным коэффициентом корреляции)
между переменными и при
фиксированных значениях остальных (р - 2) переменных называется выражение
(12.6)
где
и -
алгебраические дополнения элементов и матрицы выборочных коэффициентов корреляции
(12.7)
В частности, в случае трех переменных (n=3) следует, что
(12.8)
Задача 1. Изучается зависимость материалоемкости продукции от размера
предприятия по 10 однородным заводам
Таблица 12.1.
|
Заводы
|
X
|
Y
|
Y”1
|
z=1/x
|
Y”2
|
e2
|
|
1
|
100
|
9
|
6,74
|
0,01
|
8,39
|
0,6
|
|
2
|
200
|
6
|
6,05
|
0,005
|
5,43
|
0,56
|
|
3
|
300
|
5
|
5,35
|
0,003333
|
4,44
|
0,55
|
|
4
|
400
|
4
|
4,66
|
0,0025
|
3,94
|
0,05
|
|
5
|
500
|
3.7
|
3,96
|
0,002
|
3,65
|
0,04
|
|
6
|
600
|
3.6
|
3,27
|
0,001667
|
3,45
|
0,143
|
|
7
|
700
|
3.5
|
2,58
|
0,001429
|
3,31
|
0,184
|
|
8
|
150
|
6
|
6,39
|
0,006667
|
6,41
|
-0,41
|
|
9
|
120
|
7
|
6,60
|
0,008333
|
7,4
|
-0,4
|
|
10
|
250
|
3.5
|
5,70
|
0,004
|
4,83
|
-1,33
|
Вычисляем все необходимые среднее значение.
110224 149940 1427,5 1703,16 332 5,13
Линейная
Y”1=7.4+0.007x
Задача
2. Для исследования зависимости между производительностью труда (Х1), возрастом
(Х2) и производственным стажем (X3) была произведена выборка из 100 рабочих одной и той
же специальности.
Вычисленные
парные коэффициенты корреляции оказались значимыми и составили: ; ; . Вычислить частные коэффициенты корреляции и оценить
их значимость на уровне, =0,05.Решение: По формуле
Оценим
значимость - Значение статистики t-критерия при n'=n-p+2=
100-3+2=99 (по абсолютной величине)

Оценим
значимость - Значение статистики t-критерия при n'=n-p+2=
100-3+2=99 (по абсолютной величине)
больше
табличного , следовательно, частный коэффициент корреляции значим.
Оценим
значимость - Значение статистики t-критерия при n'=n-p+2=
100-3+2=99 (по абсолютной величине)
больше
табличного , следовательно, частный коэффициент корреляции значим.
13. Статистические уравнения зависимостей
Для изучения зависимостей социально-экономических явлений можно
использовать метод статистических уравнений зависимостей, расчет параметров
которых основывается на определении коэффициентов сравнения факторных и
результативных признаков путем отношения отдельных значений одноименного
признака к его минимальному или максимальному уровню.
Коэффициенты сравнения показывают степень изменения (увеличения или
уменьшения) величины признака по отношению к принятой базе сравнения. При
увеличении значений признака коэффициенты сравнения исчисляют от минимального
уровня, а при уменьшения - от максимального. На основе этих коэффициентов
определяется параметр уравнения зависимости, представляющий собой отношение
суммы отклонений от единицы вычисленных коэффициентов сравнения результативного
и факторного признаков.
В отличие от известных в статистике коэффициентов эластичности параметр
уравнения зависимости позволяет учесть влияние на результативный признак не
только одного фактора, но и совокупного действия многих факторов.
Применение статистических уравнений зависимости для анализа взаимосвязей
социально-экономических явлений требует:
) качественного анализа исследуемых факторных и результативных признаков;
2) однородности изучаемого явления;
3)оценки устойчивости связи между явлениями. Первое требование
предусматривает наличие логической зависимости между факторными и
результативными признаками и использование прямых показателей, позволяющих
проводить нормативные расчеты.
Второе требование предполагает исключение из расчетов значений признака
(минимальных или максимальных), значительно отличающихся (в два-три раза)
соответственно от следующей за минимальной или предшествующей максимальной
величины.
Оценка устойчивой или неустойчивой связи между факторным и результативным
признаком проводится по шкале зависимостей на основе расчета коэффициента
устойчивости связи. Исходными данными для расчета этого коэффициента служат
табличные модели определения параметров уравнений зависимости.
Статистические уравнения зависимостей выражают различные виды
(однофакторные и многофакторные) и направления связи (линейную, криволинейную и
др.). Для расчета параметров уравнений зависимостей целесообразно использовать
следующую систему формул.
Прямая при:
а) увеличении факторного и результативного признаков
(13.1)
б) уменьшении факторного и результативного признаков
(13.2)
Обратная при:
а) увеличении факторного и уменьшении результативного признаков
(13.3)
б) уменьшении факторного и увеличении результативного признаков
(13.4)
Однофакторная криволинейная связь
Парабола
(13.5)
Обратная парабола
(13.6)
Гипербола
(13.7)
Обратная гипербола
(13.8)
Логическая
(13.9)
Обратная логическая
(13.10)
Параметры зависимости однофакторной
(13.11)
- знак
отклонений;
Формула
для расчета коэффициента корреляции:
(13.12)
где
- коэффициент корреляции.
- размер отклонений
коэффициентов сравнения факторного и результативного признаков.
Формула
индекс корреляции
(13.13)
где
- индекс корреляции
- отклонение
отдельных эмпирических значений результативного признака от его минимального
уровня;
-
разность отклонений отдельных эмпирических и теоретических значений
результативного признака.
Формула
для оценки устойчивости связи:
(13.14)
где
- коэффициент устойчивости связи;
- размер
отклонений коэффициентов сравнения эмпирических значений результативного
признака;
- размер
отклонений коэффициентов сравнения теоретических значений результативного
признака.
Производительность
труда, фондоотдача и уровень рентабельности по хлебопекарным заводам области за
год характеризуется следующими данными
Таблица
13.2
|
№ завод
|
Фактор
|
Уровень рентабельности, %
|
|
Производительность труда в расчете на 1 рабочего, сом
|
|
|
1
|
11540
|
39,4
|
|
2
|
2911
|
23,2
|
|
3
|
6630
|
37,2
|
|
4
|
8492
|
35,1
|
|
5
|
2901
|
20,0
|
|
6
|
9410
|
37,9
|
|
7
|
1920
|
20,1
|
|
8
|
2569
|
23,4
|
|
9
|
3520
|
13,4
|
|
10
|
2340
|
24,8
|
|
11
|
6921
|
32,2
|
|
12
|
7671
|
30,2
|
|
13
|
1586
|
10,3
|
|
14
|
3223
|
23,7
|
|
15
|
7224
|
31,3
|
Для подбора типа уравнения проранжируем значения факторного признака и
соответственно с этими значениями запишем величины результативного признака.
Рис.13.1 Зависимость уровня рентабельности от производительности труда
Соответственно с изображенной на рис. 13.1 линией зависимости для
вычислений параметров уравнения выбираем прямую линию, характеризующую
возрастание уровня рентабельности при возрастании производительности труда.
Для расчетов параметров уравнения обратной однофакторной зависимости
составим табл.13.2.
Решение задачи:
Таблица 13.3.
|
dx
|
dy
|
bdx
|
yx
|
Dxdy
|
dx2
|
dy2
|
dyx
|
(dy-dyx)2
|
abs(dy-bdx)
|
|
6,3
|
2,8
|
4,3
|
55,1
|
17,7
|
39,4
|
8,0
|
4,3
|
2,3
|
1,5
|
|
0,8
|
1,3
|
0,6
|
16,3
|
1,0
|
0,7
|
1,6
|
0,6
|
0,5
|
0,7
|
|
3,2
|
2,6
|
2,2
|
33,0
|
8,3
|
10,1
|
6,8
|
2,2
|
0,2
|
0,4
|
|
4,4
|
2,4
|
3,0
|
41,4
|
10,5
|
19,0
|
5,8
|
3,0
|
0,4
|
0,6
|
|
0,8
|
0,9
|
0,6
|
16,2
|
0,8
|
0,7
|
0,9
|
0,6
|
0,1
|
0,4
|
|
4,9
|
2,7
|
3,4
|
45,5
|
13,2
|
24,3
|
7,2
|
3,4
|
0,5
|
0,7
|
|
0,2
|
1,0
|
0,1
|
11,8
|
0,2
|
0,0
|
0,9
|
0,1
|
0,6
|
0,8
|
|
0,6
|
1,3
|
0,4
|
14,7
|
0,8
|
0,4
|
1,6
|
0,4
|
0,7
|
0,8
|
|
1,2
|
0,3
|
0,8
|
19,0
|
0,4
|
1,5
|
0,1
|
0,8
|
0,3
|
0,5
|
|
0,5
|
1,4
|
0,3
|
13,7
|
0,7
|
0,2
|
2,0
|
0,3
|
1,2
|
1,1
|
|
3,4
|
2,1
|
2,3
|
34,3
|
7,2
|
11,3
|
4,5
|
2,3
|
0,0
|
0,2
|
|
3,8
|
1,9
|
2,7
|
37,7
|
7,4
|
14,7
|
3,7
|
2,7
|
0,5
|
0,7
|
|
0,0
|
0,0
|
0,0
|
10,3
|
0,0
|
0,0
|
0,0
|
0,0
|
0,0
|
0,0
|
|
1,0
|
1,3
|
0,7
|
17,7
|
1,3
|
1,1
|
1,7
|
0,7
|
0,3
|
0,6
|
|
3,6
|
2,0
|
2,5
|
35,7
|
7,2
|
12,6
|
4,2
|
2,5
|
0,2
|
0,4
|
|
34,7
|
24,0
|
24,0
|
402,2
|
76,7
|
136,1
|
48,9
|
24,0
|
7,9
|
9,5
|
По данным табл. 13.3 параметры уравнения и теоретические значения
линейной зависимости составят:
1.
.
Уравнение
зависимости примет вид:
Параметр
b в этом уравнении свидетельствует о том, что изменение размеров отклонений
коэффициентов сравнения факторного признака (производительности труда) на
единицу приводит к изменению размера отклонений коэффициентов сравнения
результативного признака (уровня рентабельности) в 0,69 раза.
Для
подтверждения правильности выбранного типа уравнения зависимости между
производительности труда и уровнем рентабельности вычислим коэффициент и индекс
корреляции.
Это
означает, что между производительности труда и уровнем рентабельности
существует очень тесная связь.
Отсюда
Расчет индекса корреляции показывает, что уровни коэффициента и индекса
корреляции совпадают. Это подтверждает вывод о правильности выбора типа
уравнения для характеристики взаимосвязи между производительности труда и
уровнем рентабельности.
Отсюда
Вычисленное значение коэффициента устойчивости связи свидетельствует о
среднем его уровне (согласно шкалы зависимостей). Этот уровень является
достаточным для обеспечения достоверности эконометрических расчетов.
. Нормативные расчеты микроэкономических показателей
хозяйственной деятельности
Эффективное функционирование рыночной экономики невозможно без
использования эконометрических методов для своевременного выявления влияния
изменяющихся экономических условий и обоснования управленческих решений. Эти
решения могут приниматься в любой сфере экономики (от оценки изменения
показателей хозяйственной деятельности - факторов микроэкономики, до разработки
планов эффективных инвестиций, изменений в налогообложении, стратегий
деятельности рыночных структур - макроэкономических факторов).
Несвоевременная или некачественно обработанная экономическая информация
ведет к снижению уровня деловой активности. Например, информация об изменении
цен на товары и акции, процентных ставок, курсов валют и положения их на
финансовых рынках, поступившая не полностью, не оперативно, или с ошибками,
приводит к сокращению объемов производства и инфляции.
Переход экономики к рыночным отношениям обусловливает необходимость
прогнозирования факторов макро- и микроэкономики. Для макроэкономических
факторов это могут быть экономические расчеты, например, оценка и
прогнозирование взаимосвязей отраслей экономики через покупку (продажу) акций и
ценных бумаг; характеристика факторов, формирующих цену акций; прогнозирование
биржевого курса акций, рынка ценных бумаг, а также оценка динамики цен и акций.
Эконометрические расчеты микроэкономических факторов касаются оценки и
прогнозирования показателей хозяйственной деятельности предприятий
(рентабельности, производительности труда, себестоимости, цен, спроса и
предложения, структуры валовой продукции или товарооборота, фондоотдачи,
фондооснащенности и др.)
При возрастании деловой активности хозяйственные объекты (предприятия,
фирмы и т.п.) увеличивают объем хозяйственной деятельности и капитальные
вложения, в то же время при ее снижении - происходит их сворачивание. Поэтому
предприятия должны разрабатывать такую экономическую стратегию, чтобы активно
реагировать на переходные к рыночной экономике законы, особенно на налоговое
законодательство, их изменение, демографическую ситуацию и т.п.
Принципы функционирования рыночной экономики требуют изменения системы
управления хозяйственной деятельностью. Руководители предприятий должны
использовать такие эконометрические методы, которые бы позволили предвидеть
возможные рыночные ситуации, знать направления их движения в будущем периоде.
Хозяйственный руководитель должен опираться на эконометрические расчеты как
макро-, так и микроэкономических факторов. Знание развития факторов макро- и
микроэкономики - это прежде всего интерес его профессиональной деятельности, как
руководителя предприятия.
Эконометрические расчеты дают возможность сравнить результаты
хозяйственной деятельности данного предприятия с другими однородными
предприятиями, оценка которых необходима для улучшения производственных
процессов и поиска альтернативных решений, достижения требований их
экономической эффективности.
Способы нормативных расчетов микроэкономических показателей хозяйственной
деятельности
Применение статистических методов и их компьютеризация значительно
повышают роль эконометрических расчетов и ускоряют процесс обработки
информации. Рассмотрим способы выполнения эконометрических расчетов
микроэкономических показателей хозяйственной деятельности на основе применения
метода статистических уравнений зависимостей. Уравнения зависимостей позволяют
проводить нормативные расчеты микроэкономических показателей хозяйственной
деятельности.
Для проведения нормативных расчетов нужно определить:
) параметры уравнений однофакторной зависимости и устойчивость связи
между результативным и факторным признаками. Критериями выбора уравнений
зависимости являются минимальная сумма линейных отклонений между эмпирическими
и теоретическими значениями линии зависимости и устойчивость связи;
) разность из единицы коэффициента сравнения прогнозированного, нормативного
или планового уровня результативного признака и его начального уровня в
уравнении многофакторной зависимости;
) размер отклонений коэффициентов сравнения факторных признаков путем
деления полученной разности на параметры зависимости отдельных факторов;
) нормативные уровни факторов, рассчитанные путем прибавления единицы к
размеру отклонения коэффициента сравнения фактора, если его значение
увеличивается, и вычитания из единицы размера отклонений фактора, если значение
фактора уменьшается, с последующим умножением соответственно на минимальное
значение фактора в первом случае и на максимальное - во втором.
Нормативные уровни факторов при нормативной, плановой или заданной
величине результативного признака
. Разность коэффициента сравнения результативного признака:
при увеличении значений результативного признака
при
уменьшении значений результативного признака
.
Нормативные уровни факторов:
прямая
зависимость
обратная
зависимость
3. Нормативные уровни результативного признака
а) при увеличении значений результативного признака
б)
при уменьшении значений результативного признака
Известны
следующие данные об убыточности производства молока по КСП административных
районов области за год:
Таблица
14.1
|
№ район
|
Удой от одной коровы, кг
|
Затраты на 1 ц молока, человеко часов
|
Затраты на 1 одну голову КРС, сом
|
Затраты на 1 ц молока, сом
|
Себестоимость 1ц, сом
|
Уровень убыточности, %
|
|
1
|
1966
|
11,2
|
758
|
32,29
|
32,41
|
43,0
|
|
2
|
2243
|
10,5
|
704
|
25,6
|
25,85
|
26,6
|
2101
|
11,4
|
792
|
32,94
|
33,02
|
48,6
|
|
4
|
2103
|
11,1
|
810
|
33,34
|
34,82
|
53,0
|
|
5
|
2081
|
11,0
|
734
|
29,03
|
29,13
|
42,7
|
|
6
|
1327
|
14,0
|
611
|
35,08
|
34,74
|
46,8
|
|
7
|
1984
|
10,3
|
732
|
29,93
|
31,12
|
45,5
|
|
8
|
1948
|
10,2
|
696
|
30,39
|
30,39
|
36,5
|
|
9
|
1728
|
13,8
|
850
|
41,16
|
41,7
|
60,2
|
|
10
|
1513
|
18,9
|
991
|
57,5
|
59,46
|
69,4
|
|
11
|
2350
|
10,5
|
719
|
32,06
|
22,16
|
18,7
|
|
12
|
1838
|
11,8
|
767
|
38,3
|
38,22
|
44,9
|
|
13
|
1765
|
11,6
|
641
|
30,02
|
29,17
|
36,3
|
|
14
|
2037
|
10,7
|
796
|
32,01
|
33,17
|
44,5
|
|
15
|
1618
|
14,9
|
750
|
38,62
|
38,22
|
47,0
|
|
16
|
1634
|
13,2
|
740
|
37,99
|
39,41
|
53,5
|
|
17
|
1704
|
11,2
|
713
|
36,16
|
37,62
|
62,3
|
|
18
|
2147
|
9,7
|
658
|
25,96
|
26,96
|
23,9
|
|
19
|
1706
|
11,9
|
789
|
39,26
|
38,44
|
46,6
|
|
20
|
2779
|
8,5
|
1011
|
28,89
|
30,88
|
32,5
|
Для расчета параметра уравнения, коэффициента корреляции, устойчивости
связи между уровнем убыточности и сбором овощей составим таблицу 14.2.
Таблица 14.2
|
x1
|
y
|
dx1
|
Dy
|
bdx2
|
yx2
|
dx2dy
|
dx2
|
dy2
|
|
1966
|
43
|
0,29
|
0,80
|
0,83
|
43,85
|
0,23
|
0,09
|
0,64
|
|
2243
|
26,6
|
0,19
|
0,11
|
0,55
|
37,05
|
0,02
|
0,04
|
0,01
|
|
2101
|
48,6
|
0,24
|
1,03
|
0,70
|
40,54
|
0,25
|
0,06
|
1,07
|
|
2103
|
53
|
0,24
|
1,22
|
0,69
|
40,49
|
0,30
|
0,06
|
1,48
|
|
2081
|
42,7
|
0,25
|
0,79
|
0,72
|
41,03
|
0,20
|
0,06
|
0,62
|
|
1327
|
46,8
|
0,52
|
0,96
|
1,49
|
59,53
|
0,50
|
0,27
|
0,92
|
|
1984
|
45,5
|
0,29
|
0,90
|
0,82
|
43,41
|
0,26
|
0,08
|
0,82
|
|
1948
|
36,5
|
0,30
|
0,53
|
0,85
|
44,29
|
0,16
|
0,09
|
0,28
|
|
1728
|
60,2
|
0,38
|
1,52
|
1,08
|
49,69
|
0,57
|
0,14
|
2,31
|
|
1513
|
69,4
|
0,46
|
1,90
|
1,30
|
54,96
|
0,87
|
0,21
|
3,62
|
|
2350
|
18,7
|
0,15
|
-0,22
|
0,44
|
34,43
|
-0,03
|
0,02
|
0,05
|
|
1838
|
44,9
|
0,34
|
0,88
|
0,97
|
46,99
|
0,30
|
0,11
|
0,77
|
|
1765
|
36,3
|
0,36
|
0,52
|
1,04
|
48,78
|
0,19
|
0,13
|
0,27
|
|
2037
|
44,5
|
0,27
|
0,86
|
0,76
|
42,11
|
0,23
|
0,07
|
0,74
|
|
1618
|
47
|
0,42
|
0,97
|
1,19
|
52,39
|
0,40
|
0,17
|
0,93
|
|
1634
|
53,5
|
0,41
|
1,24
|
1,18
|
51,99
|
0,51
|
0,17
|
1,53
|
|
1704
|
62,3
|
0,39
|
1,61
|
1,10
|
50,28
|
0,62
|
0,15
|
2,58
|
|
2147
|
23,9
|
0,23
|
0,00
|
0,65
|
39,41
|
0,00
|
0,05
|
0,00
|
|
1706
|
46,6
|
0,39
|
0,95
|
1,10
|
50,23
|
0,37
|
0,15
|
0,90
|
|
2779
|
32,5
|
0,00
|
0,36
|
0,00
|
23,90
|
0,00
|
0,00
|
0,13
|
|
2779
|
23,9
|
2,10
|
5,98
|
|
310,30
|
2,13
|
0,77
|
6,82
|
Параметр
b1 означает, что изменение размеров отклонений коэффициентов сравнения
факторного признакаX1 (только сбор овощей) на единицу приводит к изменению
размера отклонений коэффициентов сравнения результативного признака Y
(уровня убыточностей) в 2,85 раза.
Коэффициент корреляции составит:
Данный
показатель означает, что между сбором овощей и уровнем убыточностей очень
тесная связь.
Устойчивость связи составит:
Вычисленное значение коэффициента устойчивости связи свидетельствует о
среднем его уровне.
Для расчета параметра уравнения, коэффициента корреляции, устойчивости
связи между уровнем убыточности и затраты труда составим таблицу 14.3.
Таблица 14.3
|
x2
|
y
|
dx1
|
Dy
|
bdx1
|
yx1
|
dx1dy
|
dx2
|
dy2
|
|
11,2
|
43
|
0,318
|
0,799
|
0,784
|
42,643
|
0,101
|
0,639
|
|
10,5
|
26,6
|
0,235
|
0,113
|
0,581
|
37,783
|
0,027
|
0,055
|
0,013
|
|
11,4
|
48,6
|
0,341
|
1,033
|
0,842
|
44,031
|
0,353
|
0,116
|
1,068
|
|
11,1
|
53
|
0,306
|
1,218
|
0,755
|
41,949
|
0,372
|
0,094
|
1,482
|
|
11
|
42,7
|
0,294
|
0,787
|
0,726
|
41,254
|
0,231
|
0,087
|
0,619
|
|
14
|
46,8
|
0,647
|
0,958
|
1,597
|
62,08
|
0,62
|
0,419
|
0,918
|
|
10,3
|
45,5
|
0,212
|
0,904
|
0,523
|
36,395
|
0,191
|
0,045
|
0,817
|
|
10,2
|
36,5
|
0,2
|
0,527
|
0,494
|
35,701
|
0,105
|
0,04
|
0,278
|
|
13,8
|
60,2
|
0,624
|
1,519
|
1,539
|
60,691
|
0,947
|
0,389
|
2,307
|
|
18,9
|
69,4
|
1,224
|
1,904
|
3,021
|
96,094
|
2,329
|
1,497
|
3,624
|
|
10,5
|
18,7
|
0,235
|
-0,218
|
0,581
|
37,783
|
-0,051
|
0,055
|
0,047
|
|
11,8
|
44,9
|
0,388
|
0,879
|
0,958
|
46,808
|
0,341
|
0,151
|
0,772
|
|
11,6
|
36,3
|
0,365
|
0,519
|
0,9
|
45,419
|
0,189
|
0,133
|
0,269
|
|
10,7
|
44,5
|
0,259
|
0,862
|
0,639
|
39,172
|
0,223
|
0,067
|
0,743
|
|
14,9
|
47
|
0,753
|
0,967
|
1,859
|
68,327
|
0,728
|
0,567
|
0,934
|
|
13,2
|
53,5
|
0,553
|
1,238
|
1,365
|
56,526
|
0,685
|
0,306
|
1,534
|
|
11,2
|
62,3
|
0,318
|
1,607
|
0,784
|
42,643
|
0,51
|
0,101
|
2,581
|
|
9,7
|
23,9
|
0,141
|
0
|
0,349
|
32,23
|
0
|
0,02
|
0
|
|
11,9
|
46,6
|
0,4
|
0,95
|
0,988
|
47,502
|
0,38
|
0,16
|
0,902
|
|
8,5
|
32,5
|
0
|
0,36
|
0
|
23,9
|
0
|
0
|
0,129
|
|
8,5
|
23,9
|
2,424
|
5,983
|
|
310,3
|
2,526
|
1,22
|
6,824
|
Параметр
b2 означает, что изменение размеров отклонений коэффициентов сравнения
факторного признакаX2 (только затраты труда) на единицу, приводит к
изменению размера отклонений коэффициентов сравнения результативного признака Y
(уровня убыточностей) в 2,47 раза.
Коэффициент корреляции составит :
Данный
коэффициент означает, что между затраты труда и уровнем убыточностей очень
тесная связь.
Устойчивость связи:
Вычисленное значение коэффициента устойчивости связи свидетельствует о
среднем его уровне. Этот уровень является достаточным для обеспечения
достоверности эконометрических расчетов.
Для расчета параметра уравнения, коэффициента корреляции, устойчивости
связи между уровнем убыточности и затраты посевов составим таблица 14.4.
Таблица 14.4
|
x3
|
y
|
dx1
|
Dy
|
bdx1
|
yx1
|
dx1dy
|
dx2
|
dy2
|
|
758
|
43
|
0,152
|
0,799
|
0,703
|
40,704
|
0,121
|
0,023
|
0,639
|
|
704
|
26,6
|
0,07
|
0,113
|
0,323
|
31,63
|
0,008
|
0,005
|
0,013
|
|
792
|
48,6
|
0,204
|
1,033
|
0,942
|
46,417
|
0,21
|
0,041
|
1,068
|
|
810
|
53
|
0,231
|
1,218
|
1,069
|
49,442
|
0,281
|
0,053
|
1,482
|
|
734
|
42,7
|
0,116
|
0,787
|
0,534
|
36,671
|
0,091
|
0,013
|
0,619
|
|
611
|
46,8
|
-0,071
|
0,958
|
-0,33
|
16,002
|
-0,068
|
0,005
|
0,918
|
|
732
|
45,5
|
0,112
|
0,904
|
0,52
|
36,335
|
0,102
|
0,013
|
0,817
|
|
696
|
36,5
|
0,058
|
0,527
|
0,267
|
30,285
|
0,03
|
0,003
|
0,278
|
|
850
|
60,2
|
0,292
|
1,519
|
1,35
|
56,163
|
0,443
|
0,085
|
2,307
|
|
991
|
69,4
|
0,506
|
1,904
|
2,341
|
79,857
|
0,963
|
0,256
|
3,624
|
|
719
|
18,7
|
0,093
|
-0,218
|
0,429
|
34,15
|
-0,02
|
0,009
|
0,047
|
|
767
|
44,9
|
0,166
|
0,879
|
0,766
|
42,216
|
0,146
|
0,027
|
0,772
|
|
641
|
36,3
|
-0,026
|
0,519
|
-0,12
|
21,043
|
-0,013
|
7E-04
|
0,269
|
|
796
|
44,5
|
0,21
|
0,862
|
0,97
|
47,089
|
0,181
|
0,044
|
0,743
|
|
750
|
47
|
0,14
|
0,967
|
0,647
|
39,359
|
0,135
|
0,02
|
0,934
|
|
740
|
53,5
|
0,125
|
1,238
|
0,577
|
37,679
|
0,154
|
0,016
|
1,534
|
|
713
|
62,3
|
0,084
|
1,607
|
0,387
|
0,134
|
0,007
|
2,581
|
|
658
|
23,9
|
0
|
0
|
0
|
23,9
|
0
|
0
|
0
|
|
789
|
46,6
|
0,199
|
0,95
|
0,921
|
45,913
|
0,189
|
0,04
|
0,902
|
|
1011
|
32,5
|
0,536
|
0,36
|
2,482
|
83,217
|
0,193
|
0,288
|
0,129
|
|
658
|
23,9
|
1,293
|
5,983
|
|
310,3
|
0,987
|
0,413
|
6,824
|
По данным табл. 14.4 параметры уравнения составят:
Параметр
b3 означает, что изменение размеров отклонений коэффициентов сравнения
факторного признакаX3 (только затраты на посевов) на единицу приводит к
изменению размера отклонений коэффициентов сравнения результативного признака Y
(уровня убыточностей) в 4,6 раза.
Коэффициент корреляции составит:
Это
означает, что между затраты посевов и уровнем убыточностей очень тесная связь.
Устойчивость связи составит:
Вычисленное значение коэффициента устойчивости связи свидетельствует о
низком его уровне. Этот уровень является достаточным для обеспечения
достоверности эконометрических расчетов.
Для расчета параметра уравнение, коэффициента корреляции, устойчивостью
связи между уровень убыточности и себестоимостью составим таблица 14.5.
Таблица 14.5
|
x4
|
y
|
dx1
|
Dy
|
bdx1
|
yx1
|
dx1dy
|
dx2
|
dy2
|
|
32,29
|
43
|
0,244
|
0,799
|
0,662
|
39,733
|
0,195
|
0,059
|
0,639
|
|
25,6
|
26,6
|
-0,014
|
0,113
|
-0,038
|
23
|
-0,002
|
2E-04
|
0,013
|
|
32,94
|
48,6
|
0,269
|
1,033
|
0,731
|
41,359
|
0,278
|
0,072
|
1,068
|
|
33,34
|
53
|
0,284
|
1,218
|
0,772
|
42,36
|
0,346
|
0,081
|
1,482
|
|
29,03
|
42,7
|
0,118
|
0,787
|
0,321
|
31,579
|
0,093
|
0,014
|
0,619
|
|
35,08
|
46,8
|
0,351
|
0,958
|
0,954
|
46,712
|
0,337
|
0,123
|
0,918
|
|
29,93
|
45,5
|
0,153
|
0,904
|
0,415
|
33,83
|
0,138
|
0,023
|
0,817
|
|
30,39
|
36,5
|
0,171
|
0,527
|
0,464
|
34,981
|
0,09
|
0,029
|
0,278
|
|
41,16
|
60,2
|
0,586
|
1,519
|
1,591
|
61,92
|
0,889
|
0,343
|
2,307
|
|
57,5
|
69,4
|
1,215
|
1,904
|
3,301
|
102,79
|
2,313
|
1,476
|
3,624
|
|
32,06
|
18,7
|
0,235
|
-0,218
|
0,638
|
39,158
|
-0,051
|
0,055
|
0,047
|
|
38,3
|
44,9
|
0,475
|
0,879
|
1,291
|
54,766
|
0,418
|
0,226
|
0,772
|
|
30,02
|
36,3
|
0,156
|
0,519
|
0,425
|
34,055
|
0,081
|
0,024
|
0,269
|
|
32,01
|
44,5
|
0,233
|
0,862
|
0,633
|
39,033
|
0,201
|
0,054
|
0,743
|
|
38,62
|
47
|
0,488
|
0,967
|
1,325
|
55,567
|
0,471
|
0,238
|
0,934
|
|
37,99
|
53,5
|
0,463
|
1,238
|
1,259
|
53,991
|
0,574
|
0,215
|
1,534
|
|
36,16
|
62,3
|
0,393
|
1,607
|
1,068
|
49,413
|
0,631
|
0,154
|
2,581
|
|
25,96
|
23,9
|
0
|
0
|
0
|
23,9
|
0
|
0
|
0
|
|
39,26
|
46,6
|
0,512
|
0,95
|
1,392
|
57,167
|
0,487
|
0,262
|
0,902
|
|
28,89
|
32,5
|
0,113
|
0,36
|
0,307
|
31,229
|
0,041
|
0,013
|
0,129
|
|
25,96
|
23,9
|
2,202
|
5,983
|
|
310,3
|
2,405
|
0,936
|
6,824
|
По данным табл. 14.5 параметры уравнения составят:
Параметр
b4 в этом уравнении означает, что изменение размеров отклонений коэффициентов
сравнения факторного признака X4 (только себестоимостью) на единицу приводит к изменению
размера отклонений коэффициентов сравнения результативного признака Y
(уровня убыточностей) в 2,7 раза.
Коэффициент корреляции составит:
Это
означает, что между затраты посевов и уровнем убыточностей очень тесная связь.
По данным табл. 14.5 устойчивости связи составит:
Вычисленное значение коэффициента устойчивости связи свидетельствует о
среднем его уровне.
Для расчета параметра уравнения, коэффициента корреляции, устойчивости
связи между уровнем убыточности и себестоимостью составим таблица 14.6.
Таблица 14.6
|
x5
|
y
|
dx1
|
Dy
|
bdx1
|
yx1
|
dx1dy
|
dx2
|
dy2
|
|
32,41
|
43
|
0,202
|
0,799
|
0,583
|
37,822
|
0,162
|
0,041
|
0,639
|
|
25,85
|
26,6
|
-0,041
|
0,113
|
-0,119
|
21,065
|
-0,005
|
0,002
|
0,013
|
|
33,02
|
48,6
|
0,225
|
1,033
|
0,648
|
39,38
|
0,232
|
0,051
|
1,068
|
|
34,82
|
53
|
0,292
|
1,218
|
0,84
|
43,978
|
0,355
|
0,085
|
1,482
|
|
29,13
|
42,7
|
0,08
|
0,787
|
0,232
|
29,443
|
0,063
|
0,006
|
0,619
|
|
34,74
|
46,8
|
0,289
|
0,958
|
0,832
|
43,774
|
0,277
|
0,083
|
0,918
|
|
31,12
|
45,5
|
0,154
|
0,904
|
0,445
|
34,527
|
0,139
|
0,024
|
0,817
|
|
30,39
|
36,5
|
0,127
|
0,527
|
0,367
|
32,662
|
0,067
|
0,016
|
0,278
|
|
41,7
|
60,2
|
0,547
|
1,519
|
1,575
|
61,553
|
0,83
|
0,299
|
2,307
|
69,4
|
1,205
|
1,904
|
3,474
|
106,92
|
2,295
|
1,453
|
3,624
|
|
22,16
|
18,7
|
-0,178
|
-0,218
|
-0,513
|
11,638
|
0,039
|
0,032
|
0,047
|
|
38,22
|
44,9
|
0,418
|
0,879
|
1,203
|
52,663
|
0,367
|
0,174
|
0,772
|
|
29,17
|
36,3
|
0,082
|
0,519
|
0,236
|
29,545
|
0,043
|
0,007
|
0,269
|
|
33,17
|
44,5
|
0,23
|
0,862
|
0,664
|
39,763
|
0,199
|
0,053
|
0,743
|
|
38,22
|
47
|
0,418
|
0,967
|
1,203
|
52,663
|
0,404
|
0,174
|
0,934
|
|
39,41
|
53,5
|
0,462
|
1,238
|
1,331
|
55,703
|
0,572
|
0,213
|
1,534
|
|
37,62
|
62,3
|
0,395
|
1,607
|
1,139
|
51,131
|
0,635
|
0,156
|
2,581
|
|
26,96
|
23,9
|
0
|
0
|
0
|
23,9
|
0
|
0
|
0
|
|
38,44
|
46,6
|
0,426
|
0,95
|
1,227
|
53,225
|
0,404
|
0,181
|
0,902
|
|
30,88
|
32,5
|
0,145
|
0,36
|
0,419
|
33,914
|
0,052
|
0,021
|
0,129
|
|
26,96
|
23,9
|
2,076
|
5,983
|
|
310,3
|
2,266
|
0,8
|
6,824
|
Параметр
b5 означает, что изменение размеров отклонений коэффициентов сравнения
факторного признака X5 (только цена реализации) на единицу приводит к
изменению размера отклонений коэффициентов сравнения результативного признака Y
(уровня убыточностей) в 2,9раза.
Коэффициент корреляции составит:
Это
означает, что между цена реализации и уровнем убыточностей очень тесная связь.
Вычисленное значение коэффициента устойчивости связи свидетельствует о
среднем его уровне.
Для расчетов совокупного параметра уравнения комбинационной
многофакторной зависимости составим табл.14.7.
Таблица 14.7.
|
dx1
|
dx2
|
dx3
|
dx4
|
dx5
|
dy
|
B
|
yx1-x5
|
dyx
|
(dy-dyx)62
|
|
0,3
|
0,3
|
0,2
|
0,2
|
0,2
|
0,8
|
56,8
|
1381,0
|
0,5
|
0,1
|
|
0,2
|
0,2
|
0,1
|
0,0
|
0,0
|
0,1
|
20,8
|
521,6
|
-0,4
|
0,3
|
|
0,2
|
0,3
|
0,2
|
0,3
|
0,2
|
1,0
|
60,3
|
1464,5
|
0,6
|
0,2
|
|
0,2
|
0,3
|
0,2
|
0,3
|
0,3
|
1,2
|
63,7
|
1547,1
|
0,7
|
0,3
|
|
0,3
|
0,3
|
0,1
|
0,1
|
0,1
|
0,8
|
40,4
|
989,4
|
0,1
|
0,5
|
|
0,5
|
0,6
|
-0,1
|
0,4
|
0,3
|
1,0
|
81,7
|
1976,2
|
1,2
|
0,0
|
|
0,3
|
0,2
|
0,1
|
0,2
|
0,2
|
0,9
|
43,1
|
1054,6
|
0,2
|
0,6
|
|
0,3
|
0,2
|
0,1
|
0,2
|
0,1
|
0,5
|
40,2
|
983,9
|
0,1
|
0,2
|
|
0,4
|
0,6
|
0,3
|
0,6
|
0,5
|
1,5
|
114,0
|
2748,8
|
2,0
|
0,2
|
|
0,5
|
1,2
|
0,5
|
1,2
|
1,2
|
1,9
|
216,5
|
5197,4
|
4,7
|
7,7
|
|
0,2
|
0,2
|
0,1
|
0,2
|
-0,2
|
-0,2
|
25,3
|
629,7
|
-0,3
|
0,0
|
|
0,3
|
0,4
|
0,2
|
0,5
|
0,4
|
0,9
|
83,9
|
2029,6
|
1,2
|
0,1
|
|
0,4
|
0,4
|
0,0
|
0,2
|
0,1
|
0,5
|
44,3
|
1082,2
|
0,2
|
0,1
|
|
0,3
|
0,3
|
0,2
|
0,2
|
0,2
|
0,9
|
56,4
|
1370,7
|
0,5
|
0,1
|
|
0,4
|
0,8
|
0,1
|
0,5
|
0,4
|
1,0
|
104,1
|
2513,0
|
1,7
|
0,6
|
|
0,4
|
0,6
|
0,1
|
0,5
|
0,5
|
1,2
|
94,7
|
2287,1
|
1,5
|
0,1
|
|
0,4
|
0,3
|
0,1
|
0,4
|
0,4
|
1,6
|
74,1
|
1794,6
|
1,0
|
0,4
|
|
0,2
|
0,1
|
0,0
|
0,0
|
0,0
|
0,0
|
17,3
|
437,9
|
-0,5
|
0,3
|
|
0,4
|
0,4
|
0,2
|
0,5
|
0,4
|
0,9
|
90,4
|
2184,4
|
1,4
|
0,2
|
|
0,0
|
0,0
|
0,5
|
0,1
|
0,1
|
0,4
|
37,4
|
916,6
|
0,0
|
0,1
|
|
2,1
|
2,4
|
1,3
|
2,2
|
2,1
|
6,0
|
|
33110,2
|
16,1
|
12,1
|
По данным табл. 14.7 совокупный параметр уравнения и теоретические
значения линейной зависимости составят:
Совокупный
параметр многофакторной зависимости
Параметр
B в этом уравнении свидетельствует о том, что изменение
совокупного размера отклонение коэффициентов сравнения факторного признаков на
единицу приводит к изменению размера отклонений коэффициентов сравнения
результативного признака (уровня рентабельности) в 0,6 раза.
Индекс корреляции составит:
Если целью эконометрических расчетов является определение необходимого
изменения уровней факторных признаков для обеспечения роста уровня убыточностей
на 2%, то сначала вычисляют разность коэффициента сравнения заданного,
прогнозированного или нормативного значения результативного признака (при
увеличении значений результативного показателя):
В данном примере прямая зависимость уровня
убыточностей существует с такими факторами, как сбор овощей цена реализации а обратная
- с факторами: затрата посевов, затрата труда человека на 1 час и
себестоимость. Следовательно, нормативные уровни факторов составят:
а) для фактора x1 , - Сбор овощей:
б)
для фактора x2- Затраты труда, человеко-часов на 1 ц:
в)
для фактора x3- Затраты на 1 га посевов, сом:
г)
для фактора x4 - Себестоимость:
д) для фактора x5 -
Цена реализации 1ц сом:
регрессия корреляция статистический
микроэкономический
Заключение
Данная работа была посвящена измерению взаимосвязи экономических переменных
в различных ситуациях. Были выполнены поставленные цели и решены
соответствующие задачи. Были выбраны подходящие модели и оценены с помощью
уравнения парной и множественной регрессии.
Рассмотрены ковариации, корреляции, дисперсии. Проведены парные
регрессионные анализы. Рассмотрены оценки уравнений парной регрессии.
Рассмотрены множественные регрессионные анализы. Оценены уравнения
множественной регрессии. Определены доверительные интервалы параметров.
Определены доверительные интервалы для коэффициентов и функции регрессии.
Устранены факторы, ухудшающие выбранную модель. Рассмотрены линейные
регрессионные модели с переменной структурой. Рассмотрены нелинейные модели
регрессии. Рассмотрены статистические уравнения зависимости. Проведён расчет
нормативных микроэкономических показателей хозяйственной деятельности.
Список использованной литературы
1. А.И. Низамитдинов. Курс лекций по эконометрике.
ПИТУТ. 2013
2. А.И. Низамитдинов. Сборник задач по
эконометрике. ПИТУТ. 2013
. А.И. Низамитдинов. Лабораторный практикум по
эконометрике. ПИТУТ. 2013
4. Кремер Н.Ш., Путко Б.А. Эконометрика: Учебник для
высших учебных заведений /Под ред. Проф. Н.Ш. Кремера. - М.: ЮНИТИ-ДАНА, 2004.-
311с.
5. Кулинич Е.И., Эконометрия. - М.: Финансы и
статистика, 2001. - 304 с.
6. Айвазян C.А., Мхитарян В.С. Прикладная статистика.
Основы эконометрики. 2-е издание. В 2-х mm. - М.: Юнити, 2001
. Доугерти К. Введение в эконометрику: Пер. с
англ. - М.:ИНФРА-М,1999. 402с.
8. Магнус Я.Р., Катышев П.К., Пересецкий А.А.
Эконометрика. Начальный курс. 5 изд., испр. - М.: Дело, 2001. - 400 с.
9. Кремер Н.Ш. Теория вероятностей и математическая
статистика. - М.: Юнити, 2000 - 543 с.
Похожие работы на - Измерение взаимосвязей экономических переменных в различных ситуациях
|