Сравнительный анализ инвестиционных проектов
Министерство Транспорта Российской Федерации
Федеральное агентство морского и речного транспорта
ФБОУ ВПО
"НОВОСИБИРСКАЯ ГОСУДАРСТВЕННАЯ АКАДЕМИЯ ВОДНОГО
ТРАНСПОРТА"
Курсовая
работа
по
дисциплине: Экономическая оценка инвестиций
на тему:
Сравнительный анализ инвестиционных проектов
Выполнил:
Студент НЗФ, гр. ЭК-5
Менчиков
А.П
Проверил:
Путилова Н.Н.
Новосибирск
2014
Введение
Развитие общества в целом и отдельных
хозяйствующих субъектов базируется на расширенном воспроизводстве материальных
ценностей, обеспечивающем рост национального имущества и соответственно дохода.
Одним из основных средств обеспечения этого роста является инвестиционная
деятельность, включающая процессы вложения инвестиций, или инвестирование, а
также совокупность практических действий по реализации инвестиций. Современный
экономист обязан уметь разрабатывать, анализировать и оценивать эффективность
инвестиционных проектов.
Цель данной курсовой работы - закрепление,
углубление и систематизация теоретических знаний, полученных при изучении
дисциплины "Экономическая оценка инвестиций", а также приобретение
практических навыков экономических расчетов по эффективности инвестиционных
проектов.
Курсовая работа состоит из двух разделов:
реферативного и расчетного (аналитического).
В первом разделе мною была рассмотрена тема
«Общая характеристика рынка инвестиций. Объекты и субъекты инвестиционной
деятельности.»
Во втором разделе мною были выполнены расчеты по
экономической оценке инвестиций и выбору наиболее привлекательного инвестиционного
проекта в рыночных условиях хозяйствования.
1. Общая характеристика
рынка инвестиций. Объекты и субъекты инвестиционной деятельности
Развитие общества в целом и
отдельных хозяйствующих субъектов базируется на расширенном воспроизводстве материальных
ценностей, обеспечивающем рост национального имущества и соответственно дохода.
Одним из основных средств обеспечения этого роста является инвестиционная
деятельность, включающая процессы вложения инвестиций, или инвестирование, а
также совокупность практических действий по реализации инвестиций.
Инвестиционная деятельность в рыночных условиях
хозяйствования является предпринимательской деятельностью, то есть она
осуществляется хозяйствующими субъектами на инвестиционном рынке с целью
получения дохода (прибыли).
Инвестиционный рынок - это совокупность
экономических отношений, складывающихся между продавцами и покупателями
инвестиционных товаров и услуг. Товарами на этом рынке выступают объекты
инвестиционной деятельности. В соответствии с их классификацией инвестиционный
рынок структурно распадается на ряд относительно самостоятельных сегментов.
Во-первых, рынок объектов реального
инвестирования:
а) рынок недвижимости - промышленные объекты,
жилье, объекты малой приватизации, земельные участки, объекты незавершенного
строительства, аренда;
б) рынок прямых капитальных вложений - новое
строительство, реконструкция, техническое перевооружение;
в) рынок прочих объектов реального
инвестирования - художественные ценности, драгоценные металлы и изделия, прочие
материальные ценности;
Во-вторых, рынок объектов финансового
инвестирования:
г) фондовый рынок - акции, государственные
обязательства, опционы и фьючерсы;
д) денежный рынок - депозиты, ссуды и кредиты,
валютные ценности;
В-третьих, рынок объектов инновационных
инвестиций:
е) рынок интеллектуальных инвестиций - лицензии,
``ноу-хау'', патенты;
ж) рынок научно-технических новаций -
научно-технические проекты, рационализаторство, новые технологии.
Субъектами инвестиционной
деятельности являются инвесторы, заказчики, исполнители работ, пользователи
объектов инвестиционной деятельности, а также поставщики, юридические лица
(банковские, страховые и посреднические организации, инвестиционные биржи) и
другие участники инвестиционного процесса. Субъектами инвестиционной
деятельности могут быть физические и юридические лица, в том числе иностранные,
а также государства и международные организации.
Данная классификация инвестиционного рынка
позволяет более полно осуществлять анализ и прогнозирование его развития в разрезе
отдельных сегментов, определять приоритетные объекты инвестирования на том или
ином этапе экономического развития страны.
Степень активности инвестиционного рынка
(соотношение его элементов) определяется путем изучения рыночной конъюнктуры.
Она представляет собой форму проявления на инвестиционном рынке в целом или
отдельных его сегментах факторов (условий), определяющих соотношение спроса,
предложения, цен и уровня конкуренции. Изучение конъюнктуры инвестиционного
рынка особенно важно для инвесторов по причине больших рисков, влекущих за
собой снижение доходов, а нередко и потерю инвестируемого капитала.
Последовательность действий при изучении конъюнктуры инвестиционного рынка
может быть представлена следующими шагами:
· оценка и прогнозирование макроэкономических
показателей развития инвестиционного рынка;
· оценка и прогнозирование
инвестиционной привлекательности отраслей (подотраслей) экономики;
· оценка и прогнозирование
инвестиционной привлекательности регионов;
· оценка инвестиционной привлекательности
отдельных инвестиционных проектов, сегментов инвестиционного рынка;
· разработка стратегии инвестиционной
деятельности фирмы;
· формирование эффективного
инвестиционного портфеля компании, включающего как реальные капитальные
вложения, так и финансовые и инновационные инвестиции;
· управление инвестиционным портфелем
фирмы (в том числе диверсификация инвестиций, реинвестирование капитала и пр.)
Как и для всякого рынка, для
сегментов инвестиционного рынка характерны четыре основные стадии его развития
- конъюнктурный подъем, конъюнктурный бум, период стабильности, конъюнктурный
спад. Но важно отметить, что для различных сегментов инвестиционного рынка эти
стадии не синхронны. Это дает возможность перелива инвестиционного капитала из
объектов инвестиций рынка на спаде в объекты рынка на подъеме. Кроме того, в
рамках одного рынка, например, акций имеется различная конъюнктура разных
акций, что также создает предпосылки для оптимизации инвестиционной
деятельности фирмы в целях получения стабильного и высокого дохода.
Изучение конъюнктуры инвестиционного рынка
проходит в три этапа. На первом осуществляется текущее наблюдение за
инвестиционной активностью. Здесь требуется формирование целенаправленной
системы показателей, характеризующих отдельные элементы рынка (спрос,
предложение, цены, конкуренция), а также организация постоянного их
мониторинга. Второй этап - анализ конъюнктуры инвестиционного рынка и выявление
современных тенденций его развития. Задачей этого этапа является выявление тех
изменений, которые происходят на рынке в момент наблюдения. Третий этап -
прогнозирование конъюнктуры инвестиционного рынка для выбора основных
направлений стратегии инвестиционной деятельности. Основная задача этого этапа
- разработка прогноза в динамике факторов, воздействующих на состояние
инвестиционного рынка в перспективе.
Мировая практика работы на рынках инвестиций уже
имеет развитую систему индикаторов инвестиционной привлекательности отдельных
рынков и объектов, регулярно публикуются оцениваемые экспертами рейтинги
объектов инвестирования.
В нашей стране подобная практика оценки только
начинает свое развитие. Это определяется начальной стадией формирования
инвестиционного рынка, сложностью получения достоверной информации, а также
самой ситуацией глубокого инвестиционного кризиса, обусловленного факторами как
циклического, так и трансформационного характера, связанного с переходным
состоянием экономики.
2. Определение наиболее
привлекательного инвестиционного проекта по показателю чистого
дисконтированного дохода (ЧДД)
Чистый дисконтированный доход определяется по
следующей формуле
где Е - норма дисконта (доходности);
Пt
-
приток денежных средств на шаге t, в данном случае
доходы от реализации инвестиционного проекта на шаге t, тыс. руб.;
Оt
-
Отток денежных средств, включая текущие и единовременные (инвестиционные)
затраты, налоговые и др. платежи на шаге t, тыс. руб.
где Иt
-
издержки и налоги по операционной деятельности на шаге t;
Аt
-
амортизация основных средств на шаге t;
Кt
-
капитальные вложения (инвестиции) по проекту на шаге t;
.1 Расчет доходов от реализации продукции
Доходы предприятия от операционной деятельности
формируются за счет реализации продукции на внутреннем и внешних рынках
где Двнут - доходы, полученные на внутреннем
рынке, тыс. руб. ;
Двнеш - доходы от экспорта продукции, тыс.
руб.;
Для расчета доходов в рассматриваемом периоде
необходимо предварительно определить объем реализации продукции внутри страны и
за рубежом по годам (шагам) рассматриваемого периода, который, в свою очередь,
зависит от освоения производственной мощности и экспортной квоты.
где цвнут, цвнеш - внутренняя и внешняя цена
продукции, соответственно, руб./ед.;
Wвнут t, Wвнеш
t - объем продаж на
внутреннем и внешнем рынке, соответственно, на шаге t, тыс. ед.
t
-
номер шага;
Т - расчетный период (год условной
ликвидации объекта)
где W
-
проектный объем производства (производственная мощность), тыс. ед.;
kосв t
-
коэффициент освоения производственной мощности объекта на шаге t, в долях единицы;
kэкс - экспортная квота,
в долях единицы.
Расчет доходов производится по каждому
инвестиционному проекту.
Таблица 1. Доходы от реализации продукции по 1
инвестиционному проекту
|
Показатель,
единицы измерения
|
Шаг(год)
|
итого
|
|
0
|
1
|
2
|
3
|
4
|
5
|
6
|
|
|
Объем
производства продукции, тыс. ед.
|
0
|
45
|
90
|
150
|
150
|
150
|
150
|
735
|
|
Объем
реализации на внешнем рынке, тыс. ед.
|
0
|
4,5
|
9
|
15
|
15
|
15
|
15
|
73,5
|
|
Объем
реализации на внутреннем рынке, тыс. ед.
|
0
|
40,5
|
81
|
135
|
135
|
135
|
135
|
661,5
|
|
Доходы
на внешнем рынке, тыс. руб.
|
0
|
2700
|
5400
|
9000
|
9000
|
9000
|
9000
|
44100
|
|
доходы
на внутреннем рынке, тыс. руб.
|
0
|
17415
|
34830
|
58050
|
58050
|
58050
|
58050
|
284445
|
|
Итого
доходов, тыс. руб
|
0
|
20115
|
40230
|
67050
|
67050
|
67050
|
67050
|
328545
|
Таблица 2. Доходы от реализации продукции по 2
инвестиционному проекту
|
Показатель,
единицы измерения
|
Шаг(год)
|
Итого
|
|
0
|
1
|
2
|
3
|
4
|
5
|
6
|
7
|
8
|
9
|
|
|
Объем
производства продукции, тыс. ед.
|
0
|
56
|
84
|
140
|
140
|
140
|
140
|
140
|
140
|
140
|
1120
|
|
Объем
реализации на внешнем рынке, тыс. ед.
|
0
|
11,2
|
16,8
|
28
|
28
|
28
|
28
|
28
|
28
|
28
|
224
|
|
Объем
реализации на внутреннем рынке, тыс. ед.
|
0
|
44,8
|
67,2
|
112
|
112
|
112
|
112
|
112
|
112
|
112
|
896
|
|
Доходы
на внешнем рынке, тыс. руб.
|
0
|
6720
|
10080
|
16800
|
16800
|
16800
|
16800
|
16800
|
16800
|
16800
|
134400
|
|
доходы
на внутреннем рынке, тыс. руб.
|
0
|
19264
|
28896
|
48160
|
48160
|
48160
|
48160
|
48160
|
48160
|
48160
|
385280
|
|
Итого
доходов, тыс. руб
|
0
|
25984
|
38976
|
64960
|
64960
|
64960
|
64960
|
64960
|
64960
|
64960
|
519680
|
2.2 Расчет издержек на
производство продукции
Издержки на производство продукции связаны с
денежными потоками. издержки подразделяются на постоянные и переменные.
где Иt
-
издержки на шаге t, тыс. руб.;
Ипер t
-
переменные издержки на шаге t, тыс. руб.;
Ипост t
-
постоянные издержки на шаге t, тыс. руб.;
Переменные издержки включают материальные
затраты, заработную плату, отчисления в страховые фонды,
транпортно-заготовительные расходы. Величина переменных издержек по каждой из
перечисленных статей определяется умножением соответствующих удельных затрат и
объема производства продукции на рассматриваемом шаге.
К постоянным издержкам относятся амортизация,
ремонт, накладные расходы.
Амортизация рассчитывается исходя из нормы
амортизационных отчислений и первоначальной стоимости основных средств
где Аt
-
годовая амортизация, тыс. руб.;
а - норма амортизационных отчислений,
%;
Кпер t
-
первоначальная стоимость амортизационных средств, тыс. руб.
Текущие затраты на ремонт зависят от
первоначальной стоимости основных средств и норматива отчислений в ремонтный
фонд
где Ирем t
-
отчисления в ремонтный фонд, тыс. руб.
b
-
норматив отчислений в ремонтный фонд, %.
Первоначальную стоимость основных средств по
годам представим в табличной форме:
Таблица 3. Стоимость основных средств
(первоначальная) по 1 инвестиционному проекту, тыс. руб.
|
Наименование
основных средств
|
Шаг(год)
|
|
0
|
1
|
2
|
3
|
4
|
5
|
6
|
|
Здания
и сооружения
|
7820
|
7820
|
7820
|
7820
|
7820
|
7820
|
7820
|
|
Оборудование
отчественное
|
0
|
2958
|
5916
|
9860
|
9860
|
9860
|
9860
|
|
Оборудование
импортное
|
0
|
4320
|
8640
|
14400
|
14400
|
14400
|
14400
|
|
Итого
оборудования
|
0
|
7278
|
14556
|
24260
|
24260
|
24260
|
24260
|
|
Всего
основных средств
|
7820
|
15098
|
22376
|
32080
|
32080
|
32080
|
32080
|
Таблица 4. Стоимость основных средств
(первоначальная) по 2 инвестиционному проекту, тыс. руб.
|
Наименование
основных средств
|
Шаг(год)
|
|
0
|
1
|
2
|
3
|
4
|
5
|
6
|
7
|
8
|
9
|
|
Здания
и сооружения
|
8370
|
8370
|
8370
|
8370
|
8370
|
8370
|
8370
|
8370
|
8370
|
8370
|
|
Оборудование
отечественное
|
0
|
3888
|
5832
|
9720
|
9720
|
9720
|
9720
|
9720
|
9720
|
9720
|
|
Оборудование
импортное
|
0
|
6080
|
9120
|
15200
|
15200
|
15200
|
15200
|
15200
|
15200
|
15200
|
|
Итого
оборудования
|
0
|
9968
|
14952
|
24920
|
24920
|
24920
|
24920
|
24920
|
24920
|
24920
|
|
Всего
основных средств
|
18338
|
23322
|
33290
|
33290
|
33290
|
33290
|
33290
|
33290
|
33290
|
Годовые накладные расходы не зависят от уровня
освоения производственной мощности.
Результаты расчета издержек по каждому
инвестиционному проекту представим в табличной форме:
Таблица 5. Издержки на производство продукции по
1 инвестиционному проекту, тыс. руб.
|
Показатель
|
Шаг(год)
|
Итого
|
|
0
|
1
|
2
|
3
|
4
|
5
|
6
|
|
|
Материальные
затраты
|
0
|
7650
|
15300
|
25500
|
25500
|
25500
|
25500
|
124950
|
|
Расходы
на заработную плату
|
0
|
5400
|
10800
|
18000
|
18000
|
18000
|
18000
|
88200
|
|
Траспортно-заготовительные
расходы
|
0
|
1125
|
2250
|
3750
|
3750
|
3750
|
3750
|
18375
|
|
Итого
переменные издержки
|
0
|
14175
|
28350
|
47250
|
47250
|
47250
|
47250
|
231525
|
|
Амортизация
оборудования
|
0
|
422,124
|
844,248
|
1407,08
|
1407,08
|
1407,08
|
1407,08
|
6894,692
|
|
Амортизация
зданий и сооружений
|
0
|
117,3
|
117,3
|
117,3
|
117,3
|
117,3
|
117,3
|
703,8
|
|
Итого
амортизации
|
0
|
539,424
|
961,548
|
1524,38
|
1524,38
|
1524,38
|
1524,38
|
7598,492
|
|
Ремонт
оборудования
|
0
|
72,78
|
145,56
|
242,6
|
242,6
|
242,6
|
242,6
|
1188,74
|
|
Ремонт
зданий и сооружений
|
0
|
93,84
|
93,84
|
93,84
|
93,84
|
93,84
|
93,84
|
563,04
|
|
Итого
ремонт
|
0
|
166,62
|
239,4
|
336,44
|
336,44
|
336,44
|
336,44
|
1751,78
|
|
Накладные
расходы
|
0
|
4150
|
4150
|
4150
|
4150
|
4150
|
4150
|
24900
|
|
Прочие
налоги, относимые на себестоимость
|
0
|
190,3104
|
337,00948
|
532,6082
|
532,6082
|
532,6082
|
532,6082
|
2657,753
|
|
Итого
постоянные издержки
|
0
|
5046,354
|
5687,95748
|
6543,428
|
6543,428
|
6543,428
|
6543,428
|
36908,02
|
|
Всего
издержек
|
0
|
19221,35
|
34037,9575
|
53793,43
|
53793,43
|
53793,43
|
53793,43
|
268433
|
Таблица 6. Издержки на производство продукции по
2 инвестиционному проекту, тыс. руб.
|
Показатель
|
Шаг(год)
|
Итого
|
|
0
|
1
|
2
|
3
|
4
|
5
|
6
|
7
|
8
|
9
|
|
|
Материальные
затраты
|
0
|
8736
|
13104
|
21840
|
21840
|
21840
|
21840
|
21840
|
21840
|
21840
|
174720
|
|
Расходы
на заработную плату
|
0
|
7280
|
10920
|
18200
|
18200
|
18200
|
18200
|
18200
|
18200
|
18200
|
145600
|
|
Траспортно-заготовительные
расходы
|
0
|
1680
|
2520
|
4200
|
4200
|
4200
|
4200
|
4200
|
4200
|
4200
|
33600
|
|
Итого
переменные издержки
|
0
|
17696
|
26544
|
44240
|
44240
|
44240
|
44240
|
44240
|
44240
|
44240
|
353920
|
|
Амортизация
оборудования
|
0
|
647,92
|
971,88
|
1619,8
|
1619,8
|
1619,8
|
1619,8
|
1619,8
|
1619,8
|
1619,8
|
12958,4
|
|
Амортизация
зданий и сооружений
|
0
|
175,77
|
175,77
|
175,77
|
175,77
|
175,77
|
175,77
|
175,77
|
175,77
|
175,77
|
1581,93
|
|
Итого
амартизации
|
0
|
823,69
|
1147,65
|
1795,57
|
1795,57
|
1795,57
|
1795,57
|
1795,57
|
1795,57
|
1795,57
|
14540,33
|
|
Ремонт
оборудования
|
0
|
119,616
|
179,424
|
299,04
|
299,04
|
299,04
|
299,04
|
299,04
|
299,04
|
299,04
|
2392,32
|
|
Ремонт
зданий и сооружений
|
0
|
83,7
|
83,7
|
83,7
|
83,7
|
83,7
|
83,7
|
83,7
|
83,7
|
83,7
|
753,3
|
|
Итого
ремонт
|
0
|
203,316
|
263,124
|
382,74
|
382,74
|
382,74
|
382,74
|
382,74
|
382,74
|
382,74
|
3145,62
|
|
Накладные
расходы
|
0
|
4600
|
4600
|
4600
|
4600
|
4600
|
4600
|
4600
|
4600
|
4600
|
41400
|
|
Прочие
налоги, относимые на себестоимость
|
0
|
233,2301
|
325,54774
|
510,1831
|
510,1831
|
510,1831
|
510,1831
|
510,1831
|
510,1831
|
510,1831
|
4130,06
|
|
Итого
постоянные издержки
|
0
|
5860,236
|
6336,32174
|
7288,493
|
7288,493
|
7288,493
|
7288,493
|
7288,493
|
7288,493
|
7288,493
|
63216,01
|
|
Всего
издержек
|
0
|
23556,24
|
32880,3217
|
51528,49
|
51528,49
|
51528,49
|
51528,49
|
51528,49
|
51528,49
|
51528,49
|
417136
|
2.3 Распределение
инвестиций по годам расчетного периода
Реальные инвестиции включают в себя инвестиции в
приобретение земли, в основной капитал и в первоначальный оборотный капитал.
Земля приобретается на начальном этапе реализации проекта. Инвестиции в
оборотные средства на первом шаге составляют 10% от потребности в сырье и
материалах и соответствующих транспортно-заготовительных расходов. величина
капитальных вложений в пополнение оборотных средств зависит от прироста объема
производства и определяется в размере 10% от увеличения материальных и
транспортных затрат.
Распределение инвестиций по годам представим в
табличной форме:
Таблица 7. Инвестиции по 1 проекту, тыс. руб.
|
Показатель
|
Шаг(год)
|
Итого
|
|
0
|
1
|
2
|
3
|
4
|
5
|
6
|
|
|
Земля
|
2210
|
0
|
0
|
0
|
0
|
0
|
2210
|
|
Здания
и сооружения
|
7820
|
0
|
0
|
0
|
0
|
0
|
0
|
7820
|
|
Оборудование
отечественное
|
0
|
2958
|
2958
|
3944
|
0
|
0
|
0
|
9860
|
|
Оборудование
импортное
|
0
|
4320
|
4320
|
5760
|
0
|
0
|
0
|
14400
|
|
Итого
оборудования
|
0
|
7278
|
7278
|
9704
|
0
|
0
|
0
|
24260
|
|
Оборотные
средства
|
0
|
877,5
|
877,5
|
1170
|
0
|
0
|
0
|
2925
|
|
Всего
инвестиций
|
10030
|
8155,5
|
8155,5
|
10874
|
0
|
0
|
0
|
37215
|
Таблица 8. Инвестиции по 2 проекту, тыс. руб.
|
Показатель
|
Шаг(год)
|
Итого
|
|
0
|
1
|
2
|
3
|
4
|
5
|
6
|
7
|
8
|
9
|
|
|
Земля
|
2340
|
0
|
0
|
0
|
0
|
0
|
0
|
0
|
0
|
0
|
2340
|
|
Здания
и сооружения
|
8370
|
0
|
0
|
0
|
0
|
0
|
0
|
0
|
0
|
0
|
8370
|
|
Оборудование
отечественное
|
0
|
3888
|
1944
|
3888
|
0
|
0
|
0
|
0
|
0
|
0
|
9720
|
|
Оборудование
импортное
|
0
|
6080
|
3040
|
6080
|
0
|
0
|
0
|
0
|
0
|
0
|
15200
|
|
Итого
оборудования
|
0
|
9968
|
4984
|
9968
|
0
|
0
|
0
|
0
|
0
|
0
|
24920
|
|
Оборотные
средства
|
0
|
1041,6
|
520,8
|
1041,6
|
0
|
0
|
0
|
0
|
0
|
0
|
2604
|
|
Всего
инвестиций
|
10710
|
11009,6
|
5504,8
|
11009,6
|
0
|
0
|
0
|
0
|
0
|
0
|
38234
|
2.4 Расчет налогов на
имущество и прибыль
Для определения налога на имущество и на прибыль
используем текущие ставки по соответствующим налогам.
Налог на имущество(Ним t)
зависит от ставки налога(δ) и
среднегодовой остаточной стоимости основных средств (
)
Среднегодовая стоимость основных средств для
расчета налога на имущество рассчитывается как среднеарифметическое значение
остаточной стоимости основных средств на начало и конец года.
Результаты расчета налога на имущество по годам
реализации инвестиционного проекта представим в табличной форме.
Таблица 9. Налог на имущество по 1
инвестиционному проекту, тыс. руб.
|
Шаг
расчетного периода
|
Остаточная
стоимость основных средств на начало периода
|
Годовая
амортизация
|
Остаточная
стоимость основных средств на конец года
|
Среднегодовая
стоимость основных средст
|
Налог
на имущество
|
|
0
|
7820
|
0
|
7820
|
7820
|
172,04
|
|
1
|
15098
|
539,424
|
14558,58
|
14828,29
|
326,2223
|
|
2
|
21836,58
|
961,548
|
20875,03
|
21355,8
|
469,8276
|
|
3
|
30579,03
|
1524,38
|
29054,65
|
29816,84
|
655,9704
|
|
4
|
29054,65
|
1524,38
|
27530,27
|
28292,46
|
622,4341
|
|
5
|
27530,27
|
1524,38
|
26005,89
|
26768,08
|
588,8977
|
|
6
|
26005,89
|
1524,38
|
24481,51
|
25243,7
|
555,3614
|
|
Итого
|
|
7598,492
|
|
|
3390,754
|
Таблица 10. Налог на имущество по 2
инвестиционному проекту, тыс. руб.
|
Шаг
расчетного периода
|
Остаточная
стоимость средств на начало периода
|
Годовая
амортизация
|
Остаточная
стоимость ср.в на конец года
|
Среднегодовая
стоимость основных ср-т
|
Налог
на имущество
|
|
0
|
8370
|
0
|
8370
|
8370
|
184,14
|
|
1
|
18338
|
823,69
|
17514,31
|
17926,16
|
394,3754
|
|
2
|
22498,31
|
1147,65
|
21350,66
|
21924,49
|
482,3387
|
|
3
|
31318,66
|
1795,57
|
29523,09
|
30420,88
|
669,2593
|
|
4
|
29523,09
|
1795,57
|
27727,52
|
28625,31
|
629,7567
|
|
5
|
27727,52
|
1795,57
|
25931,95
|
26829,74
|
590,2542
|
|
6
|
25931,95
|
1795,57
|
24136,38
|
25034,17
|
550,7516
|
|
7
|
24136,38
|
1795,57
|
22340,81
|
23238,6
|
511,2491
|
|
8
|
22340,81
|
1795,57
|
20545,24
|
21443,03
|
471,7466
|
|
9
|
20545,24
|
1795,57
|
18749,67
|
19647,46
|
432,244
|
|
Итого
|
|
14540,33
|
|
|
4916,115
|
Налог на прибыль определяется умножением ставки
налога на величину налогооблагаемой базы. Для расчета налогооблагаемой прибыли
из полученных доходов вычитаются издержки и налоги, относимые на финансовый
результат, в частности, налог на имущество.
2.5 Определение чистого
дохода и чистого дисконтированного дохода (ЧД и ЧДД)
Чистый доход и чистый дисконтированный доход
рассчитываются как сальдо денежных потоков, соответственно, реальных и
дисконтированных. При этом отдельно рассматривается операционная деятельность,
инвестиционная и финансовая. Приток денежных средств учитывается с плюсом,
отток -
с минусом. При расчете сальдо денежных потоков необходимо учесть тот факт, что
амортизация остается на предприятии, т.е. отток денежных средств уменьшается на
величину амортизационных отчислений. Результаты расчета ЧД и ЧДД представим в
табличной форме.
Таблица 11. Потоки денежных средств по 1
инвестиционному проекту, тыс. руб.
|
Показатель
|
Шаг(год)
|
Итого
|
|
0
|
1
|
2
|
3
|
4
|
5
|
6
|
|
|
Операционная
деятельность
|
|
1
Доходы от реализованной продукции
|
0
|
20115
|
40230
|
67050
|
67050
|
67050
|
67050
|
328545
|
|
2
Всего издержек
|
0
|
19221,35
|
34037,9575
|
53793,43
|
53793,43
|
53793,43
|
53793,43
|
268433
|
|
в
т.ч. Амортизация
|
0
|
539,424
|
961,548
|
1524,38
|
1524,38
|
1524,38
|
1524,38
|
7598,492
|
|
3
Налог на имущество
|
172,04
|
326,2223
|
469,827644
|
655,9704
|
622,4341
|
588,8977
|
555,3614
|
3390,754
|
|
4
Налогоблагаемая прибыль
|
-172,04
|
567,4232
|
5722,21488
|
12600,6
|
12634,14
|
12667,67
|
12701,21
|
56721,22
|
|
5
Налог на прибыль
|
0
|
113,4846
|
1144,44298
|
2520,12
|
2526,828
|
2533,535
|
2540,242
|
|
6
Чистая прибыль
|
-172,04
|
453,9386
|
4577,7719
|
10080,48
|
10107,31
|
10134,14
|
10160,97
|
45342,57
|
|
7
Сальдо денежных потоков от операционной деятельности
|
-172,04
|
993,3626
|
5539,3199
|
11604,86
|
11631,69
|
11658,52
|
11685,35
|
52941,06
|
|
8
Коэффициент дисконтирования
|
1
|
0,909091
|
0,82644628
|
0,751315
|
0,683013
|
0,620921
|
0,564474
|
|
|
9
Дисконтированное сальдо денежных потоков от операционной деятельности
|
-172,04
|
903,0569
|
4577,95033
|
8718,904
|
7944,601
|
7239,023
|
6596,075
|
35807,57
|
|
Инвестиционная
деятельность
|
|
10
Притоки
|
0
|
0
|
0
|
0
|
0
|
0
|
17365,31
|
17365,31
|
|
11
Капитальные вложения
|
10030
|
8155,5
|
8155,5
|
10874
|
0
|
0
|
0
|
37215
|
|
12
Сальдо денежных потоков инвестиционной деятельности
|
-10030
|
-8155,5
|
-8155,5
|
-10874
|
0
|
0
|
17365,31
|
-19849,7
|
|
13
Дисконтированное сальдо денежных потоков от инвестиционной деятельности
|
-10030
|
-7414,09
|
-6740,08264
|
-8169,8
|
0
|
0
|
9802,264
|
-22551,7
|
|
Итоговый
результат
|
|
14
Сальдо двух потоков
|
-10202
|
-7162,14
|
-2616,1801
|
730,8611
|
11631,69
|
11658,52
|
29050,66
|
33091,37
|
|
15
накопленное сальдо двух потоков
|
-10202
|
-17364,2
|
-19980,3575
|
-19249,5
|
-7617,81
|
4040,713
|
33091,37
|
|
|
16
Дисконтированное сальдо двух потоков
|
-10202
|
-6511,03
|
-2162,13231
|
549,1068
|
7944,601
|
7239,023
|
16398,34
|
13255,86
|
|
17
Накопленное дисконтированное сальдо двух потоков
|
-10202
|
-16713,1
|
-18875,2063
|
-18326,1
|
-10381,5
|
-3142,48
|
13255,86
|
|
|
ЧД
|
33091,36937
|
|
ЧДД
|
13255,8627
|
Таблица 12. Потоки денежных средств по 2
инвестиционному проекту, тыс. руб.
|
Показатель
|
Шаг(год)
|
Итого
|
|
Операционная
деятельность
|
|
1
Доходы от реализованной продукции
|
0
|
25984
|
38976
|
64960
|
64960
|
64960
|
64960
|
64960
|
64960
|
64960
|
519680
|
|
2
Всего издержек
|
0
|
23556,24
|
32880,3217
|
51528,49
|
51528,49
|
51528,49
|
51528,49
|
51528,49
|
51528,49
|
51528,49
|
417136
|
|
в
т.ч. Амортизация
|
0
|
823,69
|
1147,65
|
1795,57
|
1795,57
|
1795,57
|
1795,57
|
1795,57
|
1795,57
|
1795,57
|
14540,33
|
|
3
Налог на имущество
|
184,14
|
394,3754
|
482,33867
|
669,2593
|
629,7567
|
590,2542
|
550,7516
|
511,2491
|
471,7466
|
432,244
|
4916,115
|
|
4
Налогооблагаемая прибыль
|
-184,14
|
2033,389
|
5613,33959
|
12762,25
|
12801,75
|
12841,25
|
12880,76
|
12920,26
|
12959,76
|
12999,26
|
97627,88
|
|
5
Налог на прибыль
|
0
|
0
|
1122,66792
|
2552,45
|
2560,35
|
2568,251
|
2576,151
|
2584,052
|
2591,952
|
2599,853
|
19155,73
|
|
6
Чистая прибыль
|
-184,14
|
2033,389
|
4490,67167
|
10209,8
|
10241,4
|
10273
|
10304,6
|
10336,21
|
10367,81
|
10399,41
|
78472,15
|
|
7
Сальдо денежных потоков от операционной деятельности
|
-184,14
|
2857,079
|
5638,32167
|
12005,37
|
12036,97
|
12068,57
|
12100,17
|
12131,78
|
12163,38
|
12194,98
|
93012,48
|
|
8
Коэффициент дисконтирования
|
1
|
0,909091
|
0,82644628
|
0,751315
|
0,683013
|
0,620921
|
0,564474
|
0,513158
|
0,466507
|
0,424098
|
|
|
9
Дисконтированное сальдо денежных потоков от операционной деятельности
|
-184,14
|
2597,344
|
4659,76998
|
9019,811
|
8221,413
|
7493,634
|
6830,233
|
6225,519
|
5674,306
|
5171,862
|
55709,75
|
|
Инвестиционная
деятельность
|
|
10
Притоки
|
0
|
0
|
0
|
0
|
0
|
0
|
0
|
0
|
0
|
11961,6
|
11961,6
|
|
11
Капитальные вложения
|
10710
|
11009,6
|
5504,8
|
11009,6
|
0
|
0
|
0
|
0
|
0
|
0
|
38234
|
|
12
Сальдо денежных потоков инвестиционной деятельности
|
-10710
|
-11009,6
|
-5504,8
|
-11009,6
|
0
|
0
|
0
|
0
|
0
|
11961,6
|
-26272,4
|
|
13
Дисконтированное сальдо денежных потоков от инвестиционной деятельности
|
-10710
|
-10008,7
|
-4549,42149
|
-8271,68
|
0
|
0
|
0
|
0
|
0
|
5072,886
|
-28466,9
|
|
Итоговый
результат
|
|
14
Сальдо двух потоков
|
-10894,1
|
-8152,52
|
133,521672
|
995,7681
|
12036,97
|
12068,57
|
12100,17
|
12131,78
|
12163,38
|
24156,58
|
66740,08
|
|
15
накопленное сальдо двух потоков
|
-10894,1
|
-19046,7
|
-18913,1398
|
-17917,4
|
-5880,4
|
6188,171
|
18288,34
|
30420,12
|
42583,5
|
66740,08
|
|
|
16
Дисконтированное сальдо двух потоков
|
-10894,1
|
-7411,38
|
110,348489
|
748,1353
|
8221,413
|
7493,634
|
6830,233
|
6225,519
|
5674,306
|
10244,75
|
27242,81
|
|
17
Накопленное дисконтированное сальдо двух потоков
|
-10894,1
|
-18305,5
|
-18195,1747
|
-17447
|
-9225,63
|
-1731,99
|
5098,24
|
11323,76
|
16998,07
|
27242,81
|
|
|
ЧД
|
66740,07971
|
|
ЧДД
|
27242,81332
|
ЧДД1 =13255,8627 тыс.
руб.;
ЧДД2 = 27242,81332 тыс. руб.
Наиболее привлекателен 2й инвестиционный проект,
т.к. ЧДД2>ЧДД1.
2.6 Уточнение выбора
инвестиционного проекта с учетом сопоставимости расчетного периода
Рассматриваемые инвестиционные проекты имеют
разный срок реализации, поэтому необходимо обеспечить их сопоставимость по
фактору времени. Для этого рекомендуется использовать метод цепного повтора.
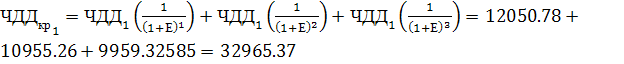
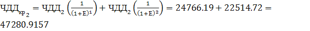
Порядок действия:
) определить наименьшее кратное сроков действия
инвестиционных проектов -
наименьшее число, которое делится без остатка на срок реализации каждого из
рассматриваемых проектов -
Ткр;
) определить количество повторов (N)
жизненного цикла каждого проекта в течении найденного наименьшего кратного
срока;
) рассчитать ЧДДкр по каждому проекту с учетом
наименьшего кратного периода расчета. Количество цикличных шагов по проекту
равно количеству повторов
Ткр = 18
N1 = 3= 2
Наиболее привлекателен 2й проект, т.к. чистый
дисконтированный доход для второго инвестиционного проекта с учетом фактора
времени выше чем чистый дисконтированный доход для первого инвестиционного
проекта с учетом фактора времени.
Оценка эффективности инвестиционного проекта по
показателям: ИДД, ДИСО и ВНД
где
,
- соответственно,
приток и отток денежных средств от операционной деятельности, тыс. руб.
,
- соответственно, приток
и отток денежных средств от инвестиционной деятельности, тыс. руб.
При определении индекса доходности реальных
(недисконтированных) инвестиций (ИД) используется та же формула, но без
коэффициента дисконтирования. Исходя из ранее полученных данных:
Срок окупаемости проекта зависит от сальдо
денежных потоков. Для определения момента простой окупаемости и момента
дисконтированной окупаемости необходимо рассмотреть сальдо суммарно
накопленного потока по операционной и инвестиционной деятельности,
соответственно, без учета дисконтирования и с учетом дисконтирования. Момент
окупаемости лежит внутри шага (t),
на котором сальдо суммарно накопленного потока становится положительным.
Уточнение положения момента окупаемости базируется
на предположении, что в пределах одного шага сальдо суммарно накопленного
потока меняется линейно. Тогда "расстояние" Х от начала шага (t)
до момента окупаемости определяется по формуле
где
- абсолютная
величина накопленного сальдо двух потоков на предыдущем шаге (t-1);
- величина
накопленного сальдо двух потоков на шаге t.
Исходя из табличных значений, полученных ранее:
а) для недисконтированного сальдо:
искомый срок окупаемости составит 4 года 5
месяцев.
б) для дисконтированного сальдо:
искомый срок окупаемости составит 5 лет и 5
месяцев.
Внутреннюю норму доходности определяем,
используя графический метод.
Последовательность действий:
) рассчитываем коэффициенты дисконтирования при
различных значениях нормы дисконта;
) определяем сальдо дисконтированных потоков
отдельно по операционной и инвестиционной деятельности при различных
коэффициентах дисконтирования;
) рассчитываем индексы доходности
дисконтированных инвестиций при всех рассматриваемых значениях нормы дисконта.
результаты расчета представим в табличной форме (таблица 13);
) строим график зависимости нормы дисконта и ИДД
) из точки абсцисс ИДД=1 восстановим
перпендикуляр до пересечения его с построенным графиком;
) опускаем перпендикуляр из точки пересечения на
ось ординат.
Полученная проекция точки пересечения на ось
ординат и даст искомое значение ВНД (рис. 1)
Рис. 1 - график внутренней нормы доходности
Таблица 13. Вспомогательные расчеты для
определения ВНД.
|
Показатель
|
Шаг(год)
|
Итого
|
|
0
|
1
|
2
|
3
|
4
|
5
|
6
|
|
|
Коэффициент
дисконтирования
|
|
при
Е1 = 0,00
|
1
|
1
|
1
|
1
|
1
|
1
|
1
|
|
|
Е2
= 0,05
|
1
|
0,952381
|
0,90702948
|
0,863838
|
0,822702
|
0,783526
|
0,746215
|
|
|
Е3
= 0,10
|
1
|
0,909091
|
0,82644628
|
0,751315
|
0,683013
|
0,620921
|
0,564474
|
|
|
Е4
= 0,15
|
1
|
0,869565
|
0,75614367
|
0,657516
|
0,571753
|
0,497177
|
0,432328
|
|
|
Е5
= 0,20
|
1
|
0,833333
|
0,69444444
|
0,578704
|
0,482253
|
0,401878
|
0,334898
|
|
|
Е6
= 0,25
|
1
|
0,8
|
0,64
|
0,512
|
0,4096
|
0,32768
|
0,262144
|
|
|
Дисконтированное
сальдо денежных потоков от операционной деятельности, тыс. руб.
|
|
при
Е1 = 0,00
|
-184,14
|
2857,079
|
5638,32167
|
12005,37
|
12036,97
|
12068,57
|
12100,17
|
56522,34
|
|
Е2
= 0,05
|
-184,14
|
2721,027
|
5114,12397
|
10370,69
|
9902,845
|
9456,042
|
9029,336
|
46409,92
|
|
Е3
= 0,10
|
-184,14
|
2597,344
|
4659,76998
|
9019,811
|
8221,413
|
7493,634
|
6830,233
|
38638,06
|
|
Е4
= 0,15
|
-184,14
|
2484,416
|
4263,38123
|
7893,724
|
6882,177
|
6000,213
|
5231,239
|
32571,01
|
|
Е5
= 0,20
|
-184,14
|
2380,899
|
3915,50116
|
6947,551
|
5804,866
|
4850,088
|
4052,324
|
27767,09
|
|
Е6
= 0,25
|
-184,14
|
2285,663
|
3608,52587
|
6146,748
|
4930,343
|
3954,63
|
3171,988
|
23913,76
|
|
Дисконтированное
сальдо денежных потоков от инвестиционной деятельности, тыс. руб.
|
|
при
Е1 = 0,00
|
-10710
|
-11009,6
|
-5504,8
|
-11009,6
|
0
|
0
|
0
|
-38234
|
|
Е2
= 0,05
|
-10710
|
-10485,3
|
-4993,01587
|
-9510,51
|
0
|
0
|
0
|
-35698,9
|
|
Е3
= 0,10
|
-10710
|
-10008,7
|
-4549,42149
|
-8271,68
|
0
|
0
|
0
|
-33539,8
|
|
Е4
= 0,15
|
-10710
|
-9573,57
|
-4162,41966
|
-7238,99
|
0
|
0
|
0
|
-31685
|
|
Е5
= 0,20
|
-10710
|
-9174,67
|
-3822,77778
|
-6371,3
|
0
|
0
|
0
|
-30078,7
|
|
Е6
= 0,25
|
-10710
|
-8807,68
|
-3523,072
|
-5636,92
|
0
|
0
|
0
|
-28677,7
|
|
ИДД
|
|
при
Е1 = 0,00
|
|
|
|
|
|
|
|
1,478327
|
|
Е2
= 0,05
|
|
|
|
|
|
|
|
1,30004
|
|
Е3
= 0,10
|
|
|
|
|
|
|
|
1,152006
|
|
Е4
= 0,15
|
|
|
|
|
|
|
|
1,027964
|
|
Е5
= 0,20
|
|
|
|
|
|
|
|
0,923147
|
|
Е6
= 0,25
|
|
|
|
|
|
|
|
0,833881
|
Результаты расчетов показателей эффективности по
выбранному инвестиционному проекту представим в табличной форме.
Таблица 14. Показатели эффективности
инвестиционного проекта
|
Наименование
показателя
|
Обозначение
показателя
|
Единица
измерения
|
Значение
показателя
|
|
Чистый
доход
|
ЧД
(NV - net value)
|
тыс.
руб.
|
66740,07971
|
|
Чистый
дисконтированный доход
|
ЧДД
(NPV - net present value)
|
тыс.
руб.
|
27242,81332
|
|
Индекс
доходности дисконтированных инвестиций
|
ИДД
(PI - profitability index)
|
|
1,15
|
|
Срок
окупаемости с учетом дисконтирования
|
ДИСО
(DPP - discounted payback period)
|
Количество
шагов (лет)
|
5,5
|
|
Внутренняя
норма доходности
|
ВНД
(IRR - internal rate of return
|
|
0,162
|
3. оценка устойчивости
инвестиционного проекта
Проект считается устойчивым, если при всех
возможных вариантах развития событий он остается эффективным и финансово
реализуемым. Существуют различные методы оценки устойчивости проекта:
а) расчет уровней безубыточности;
б) метод вариации параметров;
в) оценка ожидаемого эффекта от реализации
проекта с учетом количественных характеристик неопределенности и др.
Для определения устойчивости выбранного
инвестиционного проекта нам нужно установить критический (безубыточный) годовой
объем производства - минимальный объем, при котором предприятие будет иметь
нулевой финансовый результат, т.е. доходы равны суммарным издержкам. При
расчете критического объема (Wкр)
затраты, относимые на себестоимость продукции, предварительно подразделяются на
переменные Ипер и условно-постоянные Ипост (зависящие и не зависящие от объема
производства).
где
-
удельные переменные издержки, руб./ед.
Ц - усредненная цена единицы продукции, руб./ед.
Расчет критического объема производства сделаем
для 4 го шага реализации инвестиционного проекта.
Проверим полученное значение Wкр,
используя графический метод. Построим график безубыточности инвестиционного
проекта с учетом рассчитанных ранее конкретных значений показателей доходов и
издержек.
Рис 2 - критический объем производства
Определяем коэффициент устойчивости (прочности)
инвестиционного проекта (Куст) и запас прочности (Кзап)
Устойчивость инвестиционного проекта зависит
также от его чувствительности к изменению различных параметров денежного
потока. Уровень чувствительности определяется изменением ЧДД под влиянием
изменения параметров и характеризует способность инвестиционного проекта
противостоять изменениям условий реализации. Возможны различные подходы к
анализу чувствительности инвестиционного проекта.
Оценим чувствительность принятого
инвестиционного проекта к изменению нормы дисконта (Е), используя коэффициент
эластичности ЧДД по ставке процента
где
-
частная производная ЧДД по ставке процента Е - (ЧДД)'
Выбранный инвестиционный проект является
устойчивым, т.к.
, т.е. при условии сохранения
безубыточности производства, допустимое снижение объема реализации продукции
составит 64%.
Также, выбранный инвестиционный проект является
чувствительным к изменению нормы дисконта, т.к.
, т.е. при изменении
ставки дисконта на 1%, чистый дисконтированный доход снизится на 1,67%.
Заключение
В процессе выполнения курсовой работы я
сравнивал два предлагаемых к рассмотрению инвестиционных проекта.
Чистый доход при реализации первого
инвестиционного проекта составил 33 091,369 тыс.руб., чистый дисконтированный
доход 13 255,862 тыс. руб.
Чистый доход при реализации второго
инвестиционного проекта составил 66 740,071 тыс.руб., чистый дисконтированный
доход 27 242,813 тыс. руб.
С учетом сопоставимости по фактору времени
наиболее выгодным является второй инвестиционный проект. Его индекс доходности
ИД = 3.54,
дисконтированный индекс доходности ИДД = 1.957. Срок окупаемости - 4 года 5 месяцев
без учета дисконтирования, с учетом дисконтирования 5 лет и 5 месяца.
Внутренняя норма доходности ВНД = 0,162. Критический объем производства
=
49,247 тыс. ед., коэффициент устойчивости
=
2.84,
коэффициент запаса
= 0,64,
чувствительность принятого инвестиционного проекта к изменению нормы дисконта
.
Выбранный инвестиционный проект является
устойчивым, т.к.
, т.е. при условии сохранения
безубыточности производства, допустимое снижение объема реализации продукции
составит 64%.
Также, выбранный инвестиционный проект является
чувствительным к изменению нормы дисконта, т.к.
, т.е. при изменении
ставки дисконта на 1%, чистый дисконтированный доход снизится на 1,67%.
чистый дисконтированный доход сопоставимость
СПИСОК ИСПОЛЬЗОВАННОЙ ЛИТЕРАТУРЫ
1.
Путилова Н.Н., Галкина Л.А. Учебное пособие "Экономическая оценка
инвестиций". Новосибирск, НГАВТ, 2012.
.
Экономика предприятия: Учебник для вузов /Под ред. проф. В.Я. Горфинкеля, проф.
В.А. Швандара. - 4-е изд., перераб. и доп. - М.: ЮНИТИ-ДИНА, 2004. - 670 с. -
(Серия "Золотой фонд российских учебников").
.
Экономика предприятия: учебник/ Титов В.И., - М.: Эксмо, - 2008.