Основи статистики
1. Задача 1
Дані по 27 найбільших
комерційних банках України (станом на 01.01.02 р.). умов. од.
|
№ п\п
|
Банк
|
Активи
|
Власні кошти
|
Статутний капітал
|
Прибуток до оподаткування
|
|
1
|
1
|
945,82
|
297,97
|
24,86
|
55,42
|
|
2
|
2
|
563,69
|
109,5
|
4,84
|
45,23
|
|
3
|
3
|
561,23
|
131,18
|
10,14
|
64,93
|
|
4
|
4
|
457,28
|
57,42
|
15,95
|
37,7
|
|
5
|
5
|
356,07
|
37,59
|
10,31
|
17,3
|
|
б
|
6
|
043,84
|
124,99
|
9,5
|
19,96
|
|
7
|
7
|
138,7
|
8,9
|
4,02
|
5,46
|
|
8
|
8
|
119,73
|
26,32
|
7,05
|
4,13
|
|
9
|
9
|
92,6
|
49,9
|
47,1
|
1,29
|
|
¥
|
10
|
50,46
|
14,35
|
2,92
|
7,36
|
|
1!
|
11
|
47,18
|
11,16
|
3,36
|
4,07
|
|
12
|
12
|
41,97
|
11,76
|
7,79
|
2,42
|
|
13
|
13
|
38,77
|
10,17
|
6,28
|
10,44
|
|
14
|
14
|
35,86
|
7,49
|
3,35
|
3,74
|
|
15
|
15
|
33,15
|
7,68
|
4,13
|
2,2
|
|
16
|
16
|
30,7
|
11,46
|
2,13
|
6,26
|
|
17
|
17
|
29,96
|
6,18
|
5,1
|
1,25
|
|
18
|
18
|
29,19
|
7,57
|
2,89
|
4,53
|
|
19
|
19
|
50,7
|
5,54
|
3,72
|
1,25
|
|
20
|
20
|
50,55
|
4,72
|
2,22
|
1.97
|
|
21
|
21
|
26,96
|
7,37
|
4,4
|
2,24
|
|
22
|
22
|
26,16
|
7,79
|
2,68
|
4,61
|
|
23
|
23
|
25,97
|
10,06
|
4,03
|
2,84
|
|
24
|
24
|
45,69
|
6,36
|
4,25
|
1,25
|
|
25
|
25
|
42,85
|
10,03
|
5,6
|
5,23
|
|
26
|
26
|
42,26
|
9,35
|
4,39
|
0,3
|
|
27
|
27
|
42,6
|
6,18
|
3,19
|
0,75
|
За допомогою
аналітичного групування проаналізуйте залежність величини прибутку від інших
економічних показників, які характеризують діяльність 27 комерційних банків
України (табл. 2.9). Результати оформіть у вигляді таблиці.
Зробіть висновки.
Розв'язання
Метод
аналітичного групування полягає у тому, що сукупність розбивається на групи за
результативною ознакою (Y), далі по кожній групі та по сукупності
визначаються середні значення Y та факторних ознак 
. Порівняння середніх
значень факторних та результативної ознак дозволяє зробити певні висновки про
наявність та напрямок взаємозв'язку між ними.
При групуванні
застосовується принцип рівності інтервалів. Ширина кожного інтервалу залежить
від діапазону варіації ознаки Y та числа груп (інтервалів) m.
Кількість інтервалів визначаємо за формулою Стерджеса:
де n -
кількість одиниць сукупності.
Отже, маємо:
Приймаємо m=6.
Ширина інтервалу
Для кожної групи
підраховані і наведені в таблиці 1.1 кількість одиниць сукупності, а також
групові середні результативної ознаки.
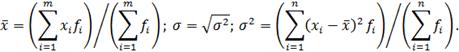
Середні величини
обчислювались за формулами:
де i -
номер ознаки (
, j - номер групи
(j=1,2,…, 6), 
та 
значення ознак у кожні
групі.
Розрахунки, що
наведені у таблиці 1.1, указують на прямий зв'язок між результативною ознакою (Y)
та факторними ознаками 
. При зростанні в
середньому факторних ознак (активи, власні кошти, статутний капітал) зростає и
результативна ознака (прибуток до оподаткування). Майже 80% усіх банків складає
перша група (21 банк), прибуток до оподаткування якої знаходиться в межах від
0,3 до 11,1 умов. од.
Таблиця 1.1. Аналітичне
групування статистичної сукупності
|
Групи за результативною ознакою
(прибуток), умов. од.
|
Загальні суми ознак у групі
|
Середні величини ознак у групі
|
|
Прибуток до оподаткування
|
Активи
|
Власні кошти
|
Статутний капітал
|
Приб до опод
|
Актив
|
Власні кошти
|
Статутний капітал
|
|
0,3 -11,1
|
76,23
|
1042,01
|
240,34
|
130,60
|
3,63
|
49,62
|
11,44
|
6,22
|
|
11,1 -21,9
|
37,26
|
399,91
|
162,58
|
19,81
|
18,63
|
199,96
|
81,29
|
9,91
|
|
21,9 -32,7
|
0
|
0
|
0
|
0
|
0
|
0
|
0
|
0
|
|
32,7 - 43,5
|
37,70
|
457,28
|
57,42
|
15,95
|
37,70
|
457,28
|
57,42
|
15,95
|
|
43,5 - 54,3
|
45,23
|
563,69
|
109,5
|
4,84
|
45,23
|
563,69
|
109,5
|
4,84
|
|
54,3 - 65,1
|
120,35
|
1507,05
|
429,15
|
35,00
|
60,18
|
753,52
|
214,57
|
17,50
|
|
Разом
|
316,77
|
3969,94
|
998,99
|
206,20
|
×
|
×
|
×
|
×
|
2. Задача 2
Статевий склад населення
в Україні за даними переписів
|
Рік
|
Чисельність населення, млн. чол.
|
В тому числі
|
|
|
Чоловіків
|
Жінок
|
|
1970
|
47,1
|
21,3
|
25,8
|
|
1979
|
49,8
|
22,8
|
27,0
|
|
1989
|
51,7
|
23,9
|
27,8
|
|
1997
|
50,5
|
23,5
|
27,0
|
|
2001
|
48,416
|
22,475
|
25,94
|
Використовуючи дані
табл. 2.10, обчислити:
) відносні величини, які
б відображали статеву структуру населення, динаміку його чисельності і
структурні зрушення;
) густоту населення на 1
кв. км., якщо територія України становить 603,7 тис. кв. км.
Зобразити розподілення у
вигляді векторних діаграм.
Зробити висновки.
Розв'язання
Відносна величина
динаміки - це відносна величина,
яка показує відношення досягнутого рівня розвитку явища до рівня, який існував
до того, або відносно еталона, норми, стандарту. Характеризує розвиток явища в
часі і просторі.
де 
рівень базисного
періоду,

рівень періоду, що
порівнюється.
Залежно від характеру
бази порівняння розрізняють два види відносних показників динаміки:
) зі змінною базою
порівняння (або ланцюгові) - вони показують, як змінюється величина показника
від одного періоду до іншого;
) з постійною базою
порівняння (або базисні) - вони характеризують поступове віддалення від
базисного періоду, просування уперед від вихідної точки.
Відносними величинами
структури називають такі
величини, які характеризують відношення частки до цілого.
де 
статистичний показник,
що характеризує частку сукупності,

статистичний показник,
що характеризує усю сукупність в цілому.
Відносні
величини координації характеризують
співвідношення між складовими частинами цілого.
Відносний
показник інтенсивності (коефіцієнт
інтенсивності 
) характеризує ступінь
поширення того чи іншого явища у певному середовищі. Він вимірює ступінь
насиченості певного середовища цим явищем. Зазвичай це співвідношення між двома
різнойменними величинами.
Відносні
показники інтенсивності, на відміну від інших видів відносних показників, є
іменованими числами.
Деякі відносні величини
чисельності населення
|
Рік
|
Величини
|
|
Динаміки (чисельність населення),
%
|
Структури, %
|
Координації, %
|
Інтенсивності (густота населення
на 1 кв. км.)
|
|
базисні
|
ланцюгові
|
Чоловіків
|
Жінок
|
|
|
|
1970
|
100,0
|
─
|
45,2
|
54,8
|
121,1
|
78
|
|
1979
|
105,7
|
105,7
|
45,8
|
54,2
|
118,4
|
82
|
|
1989
|
109,8
|
103,8
|
46,2
|
53,8
|
116,3
|
86
|
|
1997
|
107,2
|
97,7
|
46,5
|
53,5
|
114,9
|
84
|
102,8
|
95,9
|
46,4
|
53,6
|
115,4
|
80
|
Зобразимо розподілення у
вигляді векторних діаграм.
Рис. 2.1. Діаграма
чисельності населення по роках (млн. чол.)
Рис. 2.2. Діаграма
густоти населення по роках (чол./км2)
Висновки:
• чисельність населення
на базисному рівні до 1989 року зростала, а потім почала зменшуватись;
• густота населення до
1989 року зростала, а потім почала зменшуватись, цей факт обумовлюється
скороченням чисельності населення у відповідних роках;
• в роки проведення
перепису населення кількість жінок весь час перевищувала кількість чоловіків:
на 21,1% у 1970 році та на 15,4% у 2001 році;
• глобальних статевих
зрушень під час дослідження не відбулося: кількість чоловіків поступово
збільшувалась, а жінок - скорочувалась.
. Задача 3
Проведено вибірково
обстеження (5% - не) сімей за сукупним доходом на 1 члена сім'ї і одержані дані
(табл. 2.11).
Дані про сукупний дохід
сімей
|
Групи сімей за сукупним доходом на
1 члена сім'ї, грн.
|
Кількість сімей
|
|
До 40,0
|
12
|
|
40,0-60,0
|
10
|
|
60,0-80,0
|
19
|
|
80,0-100,0
|
42
|
|
100,0-120,0
|
12
|
|
120,0-140,0
|
3
|
|
140,0 і більше
|
2
|
|
Разом
|
100
|
Визначити:
) середню суму сукупного
доходу на 1 члена сім'ї, моду, медіану, показники варіації. Поясніть зміст
одержаних характеристик;
) з точністю 99,7% -
граничну похибку вибірки та інтервал, в якому знаходиться сукупний доход у
середньому на одного члена сім'ї;
) з точністю 94,5% -
граничну похибку вибіркової частки та можливі межі, де очікується частка ознаки
в генеральній сукупності для модального інтервалу.
Розв'язання
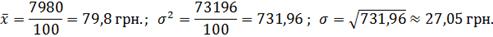
) Середня величина
статистичної та середнє квадратичне відхилення сукупності обчислюються за
формулами:
Для зручності
обчислення складемо розрахункову таблицю 3.1. Тут 
середина інтервалу.
Мода - це значення
випадкової величини, що трапляється найчастіше в сукупності спостережень. В
інтервальному ряду конкретне модальне значення в середині інтервалу
обчислюється за інтерполяційною формулою
де х0
та h - відповідно нижня межа та ширина модального інтервалу,

- частоти (частки)
відповідно модального, передмодального та післямодального інтервалів.
У даному випадку
модальним інтервалом є інтервал 80-100 грн. Виходячи з цього обчислимо значення
моди:
Розрахунки середньої
величини і середнє квадратичного відхилення
|
Групи сімей за сукупним доходом на
1 члена сім'ї, грн.
|
Середина інтервалу,
|
Кількість сімей,
|
|
|
|
|
До 40
|
30
|
12
|
360
|
-49,8
|
29760,48
|
|
40-60
|
50
|
10
|
500
|
-29,8
|
8880,40
|
|
60-80
|
70
|
19
|
1330
|
-9,8
|
1824,76
|
|
80-100
|
90
|
42
|
3780
|
10,2
|
4369,68
|
|
100-120
|
110
|
12
|
1320
|
30,2
|
10944,48
|
|
120-140
|
130
|
3
|
390
|
50,2
|
7560,12
|
|
140 і більше
|
150
|
2
|
300
|
70,2
|
9856,08
|
|
Разом
|
|
100
|
7980
|
|
73196,00
|
Медіана - значення
ознаки, яке припадає на середину впорядкованого ряду, поділяє його навпіл - на
дві рівні за обсягом частини. Для знаходження медіанного інтервалу розрахуємо
кумулятивні (накопичені) частоти.
У даному випадку
медіанним інтервалом є інтервал 80-100 грн. (для
цього інтервалу 
)=50.
В інтервальному
ряду визначають медіанний інтервал, а значення медіани в середині інтервалу, як
і значення моди, обчислюють за інтерполяційною формулою:
де х0
та h - відповідно нижня межа та ширина медіанного інтервалу; 
- частота медіанного
інтервалу; 
- кумулятивна частота
передмедіанного інтервалу.
Виходячи з цього
обчислимо значення медіани:
Знайдемо коефіцієнт
варіації
Висновки:
• найчастіше в
сукупності спостережень трапляється група сімей з сукупним доходом на 1 члена
сім'ї в розмірі 89 грн.;
• половина сімей
одержують сукупний дохід на 1 члена сім'ї у розмірі менше 84 грн., а друга -
більше 84 грн.;
• оскільки 
=33,7% мало
відрізняється від критичного значення коефіцієнта варіації (33,3%), то
досліджувана сукупність однорідна, а розрахункова середня величина є типовою
узагальнюючою характеристикою сукупності.
) Різниця між
показниками вибіркової і генеральної сукупності називається помилкою вибірки.
Оскільки
вибіркова середня і вибіркова частка є випадковими величинами, то помилки
вибірки також є випадковими величинами і можуть приймати різні значення. Тому
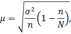
визначають середню з можливих помилок (μ).
- об'єм
вибіркової сукупності (n=100 од.);
N - об'єм генеральної сукупності (N=100/0,05=2000 од.);

- загальна дисперсія.
Для вирішення
практичних завдань крім середньої користуються граничної помилкою вибірки, яка
пов'язана з рівнем імовірності, що гарантує її. Рівень ймовірності визначає
величина нормованого відхилення t, і навпаки. Значення t для
ймовірності 0,997 дорівнює 3. Отже, визначаємо граничну похибку:
Таким чином
інтервал можливих значень середнього розміру результативної ознаки для
генеральної сукупності 
:
Обчислюємо
Висновок:
• з ймовірністю
0,997 можна стверджувати, що сукупний дохід на 1 члена сім'ї в генеральній
сукупності знаходиться в межах від 71,9 до 87,7 грн.
) Гранична
помилка частки знаходиться за формулою:
де 
частки групи одиниць
модального інтервалу в вибіркової сукупності.
Знайдемо:
Значення t
для ймовірності 0,954 дорівнює 2. Маємо:
Інтервал можливих
значень частки одиниць модального інтервалу для генеральної сукупності p:
Обчислюємо
Висновок:
з ймовірністю
0,954 можна стверджувати, що частка одиниць модального інтервалу в генеральній
сукупності знаходиться в межах від 32,4% до 51,6%.
4.
Задача 4
Дані про
виробництво українського вугілля, 1985-2002 рр., млн. т.
|
Показники
|
Рік
|
|
1980
|
1985
|
1990
|
1995
|
1997
|
1998
|
1999
|
2000
|
2001
|
2002
|
|
Видобуток вугілля
|
197,1
|
189
|
164,8
|
135,6
|
133,6
|
115,7
|
94,4
|
83,6
|
70,5
|
70,6
|
|
Виробництво товарного вугілля
(ресурси до поставки)
|
158,1
|
150,1
|
130,7
|
108,7
|
105,4
|
91
|
75,9
|
65,6
|
50
|
49,8
|
Використовуючи лані
табл. 2.12. проаналізувати ряди динаміки, обчисливши:
) ланцюгові і базові
абсолютні прирости, темпи зростання і темпи приросту, коефіцієнт прискорення
(уповільнення) динаміки;
) абсолютне значення 1%
приросту;
) середній рівень ряду;
) середній абсолютний
приріст;
) середньорічні темпи
зростання і приросту за 1985-2001 рр.
) по кожному п'ятиріччю
коефіцієнти випередження динаміки видобування вугілля.
Зробити висновки.
Результати розрахунків оформіть в табличній формі.
Розв'язання
Наведемо основні
розрахункові формули.
1. Абсолютний
приріст 
характеризує абсолютний
розмір збільшення (чи зменшення) рівня ряду 
за певний часовий
інтервал і обчислюється як різниця рівнів ряду:
• базисний - 
;
• ланцюговий - 
Знак «+», «-»
свідчить про напрям динаміки.
. Коефіцієнт
росту (
) показує у скільки
разів рівень 
, більший (менший) від
рівня, узятого за базу порівняння. Він являє собою кратне відношення рівнів:
• базисний - 
• ланцюговий - 
При збільшенні
рівня 
> 1, при зменшенні -

< 1.
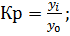
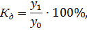
Темпи зростання (
:
• базисний - 
• ланцюговий - 
. Темп приросту
(скорочення) 
показує, на скільки
процентів порівнюваний рівень більше або менше рівня, обраного базою
порівняння. Тобто це зміна величини абсолютного приросту. Він може бути і
додатним, і від'ємним.
• базисний - 
• ланцюговий - 
. Співвідношенням
абсолютного приросту і темпу приросту визначається абсолютне значення 1%
приросту:
Абсолютне
значення 1% приросту 
- це відношення
абсолютного приросту до темпу приросту за той самий період часу у процентах.
Він показує, яке абсолютне значення припадає на відносний показник - один
процент приросту. Має розмірність рівня ряду.
Результати
розрахунків характеристик динаміки для видобутку вугілля та виробництва
товарного вугілля (ресурси до поставки) за формулами, зазначеними вище,
наводяться відповідно у таблицях 4.1 та 4.2.
Абсолютні та
відносні характеристики ряду динаміки для видобутку вугілля
|
Рік
|
Видобуток вугілля, млн. т.
|
Абсолютний приріст або спад  Темп зростання або
зниження, %Темп приросту, %
|
|
|
|
|
ланцюговий
|
базисний
|
ланцюговий
|
базисний
|
ланцюговий
|
базисний
|
|
1980
|
197,1
|
─
|
0
|
─
|
100
|
─
|
0
|
|
1985
|
189,0
|
-8,1
|
-8,1
|
95,9
|
95,9
|
-4,1
|
-4,1
|
|
1990
|
164,8
|
-24,2
|
-32,3
|
87,2
|
83,6
|
-12,8
|
-16,4
|
|
1995
|
135,6
|
-29,2
|
-61,5
|
82,3
|
68,8
|
-17,7
|
-31,2
|
|
1997
|
133,6
|
-2
|
-63,5
|
98,5
|
67,8
|
-1,5
|
-32,2
|
|
1998
|
115,7
|
-17,9
|
-81,4
|
86,6
|
58,7
|
-13,4
|
-41,3
|
|
1999
|
94,4
|
-21,3
|
-102,7
|
81,6
|
47,9
|
-18,4
|
-52,1
|
|
2000
|
83,6
|
-10,8
|
-113,5
|
88,6
|
42,4
|
-11,4
|
-57,6
|
|
2001
|
70,5
|
-13,1
|
-126,6
|
84,3
|
35,8
|
-15,7
|
-64,2
|
|
2002
|
70,6
|
0,1
|
-126,5
|
100,1
|
35,8
|
0,1
|
-64,2
|
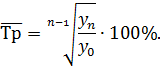
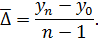
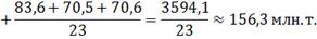
Середній рівень ряду з
нерівними інтервалами знайдемо за формулою середньої арифметичної зваженої:
де 
- ваги, тобто
тривалість інтервалів часу між суміжними датами.
Маємо для видобутку
вугілля
Абсолютні та відносні
характеристики ряду динаміки для виробництва товарного вугілля (ресурси до
поставки)
|
Рік
|
Виробництво товарного вугілля
(ресурси до поставки), млн. т.
|
Абсолютний приріст або спад  Темп зростання або
зниження, %Темп приросту, %
|
|
|
|
|
ланцюговий
|
базисний
|
ланцюговий
|
базисний
|
ланцюговий
|
базисний
|
|
1980
|
158,1
|
─
|
0
|
─
|
100
|
─
|
0
|
|
1985
|
150,1
|
-8
|
-8
|
94,9
|
94,9
|
-5,1
|
-5,1
|
|
1990
|
130,7
|
-19,4
|
-27,4
|
87,1
|
82,7
|
-12,9
|
-17,3
|
|
1995
|
108,7
|
-22
|
-49,4
|
83,2
|
-16,8
|
-31,2
|
|
1997
|
105,4
|
-3,3
|
-52,7
|
97,0
|
66,7
|
-3,0
|
-33,3
|
|
1998
|
91,0
|
-14,4
|
-67,1
|
86,3
|
57,6
|
-13,7
|
-42,4
|
|
1999
|
75,9
|
-15,1
|
-82,2
|
83,4
|
48,0
|
-16,6
|
-52,0
|
|
2000
|
65,6
|
-10,3
|
-92,5
|
86,4
|
41,5
|
-13,6
|
-58,5
|
|
2001
|
50,0
|
-15,6
|
-108,1
|
76,2
|
31,6
|
-23,8
|
-68,4
|
|
2002
|
49,8
|
-0,2
|
-108,3
|
99,6
|
31,5
|
-0,4
|
-68,5
|
Маємо для виробництва
товарного вугілля (ресурси до поставки):
Середній абсолютний
приріст (абсолютна швидкість динаміки) обчислюється за формулою:
Маємо:
• для видобутку вугілля
• для виробництва
товарного вугілля (ресурси до поставки)
Середній темп зростання
обчислюється за формулою:
Маємо за 1985-2001 рр.:
• для видобутку вугілля
• для виробництва
товарного вугілля (ресурси до поставки)
Середній темп приросту:
населення квадратичний
відхилення діаграма
Маємо за 1985-2001 рр.:
• для видобутку вугілля
• для виробництва
товарного вугілля (ресурси до поставки)
Коефіцієнт
випередження 
обчислюється за
формулою:
де 
коефіцієнт росту
першого ряду (видобутку вугілля);

коефіцієнт росту
другого ряду (виробництва товарного вугілля).
За період
1980-1985 рр. коефіцієнт випередження видобутку вугілля:
За період
1985-1990 рр. коефіцієнт випередження видобутку вугілля:
За період
1990-1995 рр. коефіцієнт випередження видобутку вугілля:
Висновки:
• середній обсяг
видобутку вугілля і виробництва товарного вугілля (ресурси до поставки) за
1980-2001 рр. становить 
млн. т. та 123,9 млн.
т. відповідно;
• щороку обсяг
видобутку вугілля і виробництва товарного вугілля (ресурси до поставки) за
1980-2001 рр. зменшувався у середньому на 
млн. т. та 4,7 млн. т.
відповідно;
• щороку темп
росту обсягу видобутку вугілля і виробництва товарного вугілля (ресурси до
поставки) за 1985-2001 рр. зменшувався у середньому на 
та 6,3% відповідно;
• по кожному
п'ятиріччю коефіцієнти випередження динаміки видобування вугілля поступово
знижувався (приблизно на 1%) від 101,1% до 98,9%.