Аналіз продуктивності праці та трудомісткості продукції на підприємстві
Аналіз
продуктивності праці та трудомісткості продукції на підприємстві
Зміст
Вступ
Розділ 1. Теоретичні аспекти
аналізу продуктивності праці та трудомісткості продукції на підприємстві
.1 Характеристика
продуктивності праці та трудомісткості продукції на підприємстві
.2 Огляд нормативної бази та
літературних джерел з питань аналізу продуктивності праці та трудомісткості
продукції на підприємстві
.3 Організаційно-інформаційна
модель аналізу продуктивності праці та трудомісткості продукції
Розділ 2. Аналіз продуктивності
праці та трудомісткості продукції на підприємстві
.1 Загальна та економічна
характеристика ПАТ "Харківський машинобудівний завод "Світло
шахтаря"
.2 Аналіз продуктивності праці
ПАТ "Харківський машинобудівний завод "Світло шахтаря"
.3 Аналіз трудомісткості
продукції ПАТ "Харківський машинобудівний завод "Світло шахтаря"
Розділ 3. Удосконалення аналізу
продуктивності праці та трудомісткості продукції на підприємстві
.1 Удосконалення аналізу
продуктивності праці на підприємстві ПАТ "Харківський машинобудівний завод
"Світло шахтаря"
.2 Удосконалення аналізу
трудомісткості продукції на підприємстві ПАТ "Харківський машинобудівний
завод "Світло шахтаря"
Висновки
Список використаних джерел
Вступ
В умовах ринкової економіки зростає
роль раціонального використання виробничо-технічного потенціалу на
підприємствах, який визначається ефективністю використання фінансових,
матеріальних і трудових ресурсів. Ефективність використання трудових ресурсів
відображається показником продуктивності праці.
Проблема зростання продуктивності
праці займає найважливіше місце в будь-якій країні. З її дослідженням пов'язані
розуміння суті та значимості соціально-економічного прогресу, оцінка
ефективності та перспектив розвитку економіки. Рівень і динаміка продуктивності
праці наочно показують зрослі можливості суспільства для реалізації
соціально-економічних цілей, як в найближчому майбутньому, так і у віддаленій
перспективі. Зростання продуктивності праці сприяє успішному розвитку економіки
будь-якої країни. Загальний рівень продуктивності праці по країні залежить від
рівня продуктивності праці на кожному підприємстві. Тому необхідно прагнути до
підвищення цього показника безпосередньо на кожному підприємстві.
Теоретичні аспекти продуктивності
праці та трудомісткості продукції знайшли свої відображення в розробках
вітчизняних вчених - О.Е. Германової, А.С. Семенова, Д.П. Богині, В.О.
Єрьоменко, А.В. Калини, В. Філєва, Н.О. Павловської. Питання методології і
методики аналізу продуктивності праці, виявлення резервів її зростання досить
широко досліджені в працях зарубіжних дослідників-економістів А.Є. Аврутіна,
Ю.Д. Борисова, Б.С. Бушуєва, В.М. Зарубіна, В.І. Золотарьова, Я.М. Купермана,
В.С. Сєрова, Є.К. Сєдих, В.І. Стомахіна, А.А. Френкеля, Д. Кларка, Д. Кендрика,
Д. Скотта Синка, Р. Аллепа, Ж. Ришара, Дж. Грейсона, К. О'Делла та інших.
Аспекти дослідження даних проблем - найрізноманітніші (питання обліку,
планування, виявлення резервів, економічного стимулювання). Проте ряд питань
залишається невирішеними або ж дискусійними. У наукових працях розглядаються
різні підходи щодо методів визначення продуктивності праці, класифікації
факторів, резервів її зростання, планування і аналізу трудових показників.
Актуальність обраної теми курсової
роботи полягає в тому, що аналіз продуктивності праці дозволяє визначити
ефективність використання підприємством трудових ресурсів і робочого часу та
виявити резерви підвищення продуктивності.
Виявлення резервів і шляхів
підвищення продуктивності праці має спиратися на комплексний
техніко-економічний аналіз роботи підприємства.
Для оцінки продуктивності праці на
підприємстві необхідно проводити відповідний аналіз з метою виявлення рівня
стану, динаміки та резервів зростання.
У процесі аналізу виявляються
недоліки і прорахунки в роботі, відшукуються найбільш оптимальні рішення
виробничих завдань, намічаються і обґрунтовуються заходи, спрямовані на
вдосконалення господарської діяльності та підвищення її ефективності.
Аналізом передбачається глибоке
вивчення даних обліку і звітності в тісному взаємозв'язку з особливостями і
характером виробничих процесів.
Об'єктом дослідження в курсовій
роботі є ПАТ "Харківський машинобудівний завод "Світло шахтаря",
яке розташоване в місті Харків, вулиця Світло шахтаря, будинок 4/6. Одне із
найстаріших машинобудівних підприємств вугільної галузі. Предмет дослідження -
продуктивність праці в ПАТ "Харківський машинобудівний завод "Світло
шахтаря".
Основна мета курсової роботи -
аналіз продуктивності праці на підприємстві і виявлення резервів її зростання.
Для досягнення поставленої мети
необхідно вирішити такі завдання:
. визначити поняття та сутність
продуктивності праці;
. привести показники і методи
розрахунку продуктивності праці;
. перерахувати чинники зростання
продуктивності праці на підприємстві;
. провести аналіз продуктивності
праці і трудомісткості продукції в ПАТ "Харківський машинобудівний завод
"Світло шахтаря";
. на підставі аналізу запропонувати
резерви зростання продуктивності праці в ПАТ "Харківський машинобудівний
завод "Світло шахтаря".
Розділ 1. Теоретичні аспекти аналізу
продуктивності праці та трудомісткості продукції на підприємстві
.1 Характеристика продуктивності
праці та трудомісткості продукції на підприємстві
Продуктивність праці - це показник,
що характеризує її ефективність і показує здатність працівників випускати певну
кількість продукції за одиницю часу.
Продуктивність праці можна
сформулювати також як плідність, ефективність діяльності людей у процесі
створення матеріальних благ.
Від рівня і динаміки продуктивності
праці залежить розвиток суспільства і рівень добробуту всіх його членів. Більше
того, рівень продуктивності праці визначає і засіб виробництва, і навіть
суспільно-політичний устрій. Існує також поняття ефективності праці. Воно
ширше, ніж продуктивність, і включає крім економічного (власне продуктивність
праці) ще психофізіологічний і соціальний аспекти. Психофізіологічна
ефективність праці визначається впливом трудового процесу на організм людини. З
цього погляду ефективною може бути визнана тільки така праця, що поряд із
певною продуктивністю забезпечує нешкідливі, сприятливі санітарно-гігієнічні
умови і безпеку, достатню змістовність праці і дотримання меж її поділу,
можливості всебічного розвитку фізичних, розумових сил і здібностей людини в
процесі праці; запобігає негативному впливу виробничого середовища на
робітника. Звідси випливає і поняття соціальної ефективності праці, що включає
вимогу гармонічного розвитку особистості кожного робітника, підвищення його
кваліфікації і розширення виробничого профілю, формування позитивного
соціального клімату в трудових колективах, посилення соціально-політичної
активності й удосконалення всього способу життя. Якщо зазначені вимоги не
дотримуються, то неминуче знижуються і темпи зростання продуктивності праці.
Так, несприятливі санітарно-гігієнічні і шкідливі для здоров'я умови праці
викликають втрати робочого часу в зв'язку із захворюваністю, наданням
додаткових відпусток, скорочення активного періоду трудової діяльності людини.
Занадто дрібний поділ праці обмежує можливості розширення виробничого профілю
людини і зростання її кваліфікації. Негативні соціальні взаємовідносини в
трудових колективах можуть також істотно знизити продуктивність праці за інших
рівних умов її організації.
Отже, ефективність праці зумовлюється
її продуктивністю в їхньому тісному взаємозв'язку, що необхідно постійно
враховувати при визначенні чинників і резервів зростання продуктивності праці.
У широкому розумінні зростання
продуктивності праці означає постійне вдосконалення людьми економічної
діяльності, постійне знаходження можливості працювати краще, виробляти більше
якісніших благ при тих самих або й менших затратах праці.
Зростання продуктивності праці
забезпечує збільшення реального продукту й доходу, а тому воно є важливим
показником економічного зростання країни. Оскільки збільшення суспільного
продукту в розрахунку на душу населення означає підвищення рівня споживання, а
отже, і рівня життя, то економічне зростання стає однією з головних цілей
держав з ринковою системою господарювання.
Кожне підприємство характеризується
певним рівнем продуктивності праці, який може зростати або знижуватися під дією
різноманітних чинників. Підвищення продуктивності праці є безперечною умовою
прогресу і розвитку виробництва.
На рівень продуктивності праці на
підприємстві впливають рівень екстенсивного використання праці, інтенсивність
праці та техніко-технологічний стан виробництва.
Рівень екстенсивного використання
праці показує ступінь її продуктивного використання та тривалість протягом
робочого дня при незмінності інших характеристик. Чим повніше використовується
робочий час, чим менше простоїв та інших втрат робочого часу і чим триваліший
робочий день, тим вищий рівень екстенсивного використання пралі і відповідно
продуктивності праці. Однак зростання продуктивності праці за рахунок
екстенсивних характеристик має чіткі межі: законодавчо встановлену тривалість
робочого дня і робочого тижня.
Якщо протягом законодавчо
встановленої тривалості робочого часу останній цілком витрачається на
продуктивну працю, то це і є верхня межа рівня екстенсивного використання
праці.
Інтенсивність праці характеризує
ступінь її напруженості і визначається кількістю фізичної та розумової енергії
людини, витраченої за одиницю часу. Підвищення інтенсивності праці також має
свої межі, а саме: фізіологічні та психічні можливості людського організму.
Нормальна інтенсивність праці означає таку витрату життєвої енергії людини
протягом робочого часу, яку можна повністю поновити до початку наступного
робочого дня при реально доступній для цієї людини якості харчування, медичного
обслуговування, використання вільного часу тощо.
Отже, рівень екстенсивного
використання праці та інтенсивність праці - це важливі фактори зростання
продуктивності праці, які, однак, мають чіткі обмеження, тобто не можуть
використовуватися безкінечно.
Джерелом зростання продуктивності
праці, яке не має меж, є техніко-технологічне вдосконалення виробництва під
дією науково-технічного прогресу.
Розрізняють продуктивність
індивідуальної праці, яка відображає затрати лише живої праці працівників, і
продуктивність суспільної праці, що відображає затрати праці живої та
уречевленої.
Проблема виміру продуктивності праці
є не менш складною, ніж визначення самої сутності даної економічної категорії.
Розрізняється прямий і зворотний
способи визначення продуктивності праці. Залежно від прямого чи оберненого
співвідношення цих величин ми маємо два показники рівня продуктивності праці:
виробіток і трудомісткість.
Виробіток - це прямий показник рівня
продуктивності праці, що визначається кількістю продукції (робіт, послуг),
виробленої одним працівником за одиницю робочого часу, і розраховується за
формулою
де В - виробіток;
О - обсяг виробництва продукції
(робіт, послуг);
Чпл - планова чисельність
промислово-виробничого персоналу.
Виробіток може бути годинним,
денним, місячним, квартальним, річним.
Трудомісткість - це обернений
показник рівня продуктивності праці, що характеризується кількістю робочого
часу, витраченого на виробництво одиниці продукції (робіт, послуг), і
розраховується за формулою
Для планування і аналізу праці на
підприємстві розраховуються різні види трудомісткості.
Трудомісткість виробнича -
складається з технологічної трудомісткості та трудомісткості обслуговування,
тобто показує витрати праці основних і допоміжних робітників на виконання
одиниці роботи.
Трудомісткість обслуговування -
визначається витратами праці. допоміжних робітників, що зайняті обслуговуванням
виробництва, на виготовлення одиниці кожного виробу.
Трудомісткість продукції повна -
відображає всі витрати праці на виготовлення одиниці кожного виробу.
Трудомісткість технологічна -
визначається витратами праці основних робітників на виготовлення одиниці
кожного виробу. Розраховується для окремих операцій, деталей, виробів.
Трудомісткість управління -
визначається витратами праці керівників, спеціалістів, технічних виконавців на
виготовлення одиниці кожного виробу.
На практиці використовуються
наступні методи виміру виробітку:
натуральний (ділення обсягу
виробленої продукції у фізичних одиницях на кількість затраченого часу в
нормо-годинах); різновидом натуральних вимірників обчислення виробітку є
умовно-натуральні;
вартісний (ділення обсягу виробленої
продукції в гривнях до затрат часу, вираженого в середньосписковій чисельності
робітників, або відпрацьованій ними кількості людино-днів, людино-годин);
трудовий (ділення обсягу продукції,
представленої в затратах робочого часу в нормо-годинах, на кількість
робітників).
Натуральний метод вимірювання
продуктивності праці характеризується показниками виробітку, обчисленими в
одиницях фізичного обсягу. В цьому випадку одиниці виміру обсягу продукції
(тонна, штуки, метр, кілограми) віднесені до середньоспискового числа
працівників або витрат праці: люд.-годин, люд.-днів тощо. Приклади натуральних
показників: виробіток, трудомісткість.
Умовно-натуральний метод вимірювання
продуктивності праці застосовується у тому випадку, коли на підприємстві
виробляється декілька видів однорідної продукції. Для обчислення обсягів
виробленої продукції перераховують планову і фактично вироблену кількість
кожного виду продукції в умовні одиниці за коефіцієнтами, встановленими за
спеціальною шкалою.
Перевага даного методу полягає в
безпосередній зрівнюваності показників продуктивності праці. Недолік
натурального і умовно-натурального методів у тому, що можна вимірювати
продуктивність праці лише в межах окремих видів продукції або робіт.
Натуральний і умовно-натуральний
показники не можуть вимірювати обсягу складних виробів, які мають багатоцільове
призначення. Вони не можуть застосовуватися на підприємствах, які виробляють
різнорідну продукцію. Крім того, не забезпечують наскрізного обліку витрат
праці навіть на одному підприємстві, не говорячи вже про галузь, народне
господарство.
Вартісний метод характеризується
вартісними показниками продуктивності праці, які обчислюються як співвідношення
виробленої продукції в грошових одиницях до витрат робочого часу. Вартісні
показники продуктивності праці є універсальними, оскільки за ними можна
порівнювати продуктивність праці при виробництві неспівставних благ. Недоліком
вартісного методу є те, що необгрунтоване завищення ціни продукції
товаровиробниками призводить до фіктивного зростання продуктивності їх праці
Трудовий метод виміру продуктивності
праці використовується в умовах випуску на підприємстві різноманітної
незавершеної продукції. В якості сумірника використовуються нормо-години, тобто
кількість праці, в людино-годинах, яка потрібна по нормах для виготовлення
одиниці продукції. Вказаний показник вільний від впливу ціноутворюючих
факторів. Застосування цього методу потребує добре поставленого нормування
праці. При науково-обґрунтованих нормах цей метод точно характеризує динаміку
продуктивності праці.
Застосування того чи іншого методу
зумовлено, по-перше, рівнем, на якому вимірюється продуктивність пралі, а
по-друге, завданням, що стоїть перед економічною службою, яка робить
розрахунки.
За рівнем виміру продуктивності
праці можна виділити індивідуальні робочі місця (бригади, ділянки), що
випускають однорідну продукцію. Тут доцільно застосовувати натуральний метод
для визначення обсягу виробленої продукції і виробітку (у штуках, тоннах,
кубічних або квадратних метрах і т. д.). Метод простий, наочний і достовірний.
Проте практично він використовується скоріше як виняток, ніж як правило: на
рідкісному робочому місці, а тим більше в бригаді або на ділянці, виробляється
цілком однакова продукція. Тому тут найчастіше використовується
умовно-натуральний метод, при якому один вид продукції або роботи прирівнюється
до іншого (який переважає) за відносною трудомісткістю.
Приклад. Якщо в бригаді зроблено 20
виробів із трудомісткістю 8 чол-год, кожне з 10 виробів із питомою
трудомісткістю 12 чол-год, то умовно-натуральний обсяг продукції складає 20 +
10 * 12/8 = 35 виробів.
Зрозуміло, при розрахунковому обсязі
продукції і виробітку необхідно використовувати незмінну (нормативну)
трудомісткість одиниці продукції. Застосування коефіцієнтів приведення до
умовно-натуральних показників за споживчими властивостями продукції
(потужність, маса, вміст корисних компонентів і т. ін.) для виміру
продуктивності праці неприпустимо, тому що між цими показниками немає
функціонального зв'язку.
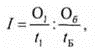
Щоб визначити динаміку або
характеристики виконання плану з продуктивності праці, розраховують індекси
продуктивності, які є відносними величинами, за формулою
де Оі, Об - відповідно обсяг
виробленої продукції в натуральному виразі в звітному і базисному роках;і, tб-
затрати робочого часу на виробництво всієї продукції відповідно в звітному і
базисному роках.
Продуктивність праці залежить від
великої кількості факторів.
Фактори зміни певного показника - це
сукупність усіх рушійних сил і причин, що визначають динаміку цього показника.
Відповідно, фактори зростання продуктивності праці - це вся сукупність рушійних
сил і чинників, що ведуть до збільшення продуктивності праці.
За своїм внутрішнім змістом та
сутністю усі фактори зростання продуктивності прийнято об'єднувати в три
основні групи:
. Матеріально-технічні, пов'язані з
рівнем розвитку техніки та технології, запровадженням у виробництво наукових
відкриттів та розробок, удосконаленням знарядь та засобів праці.
. Організаційні, зумовлені
організацією виробництва, праці та управління.
. Соціально-економічні, пов'язані зі
складом робітників, рівнем їхньої кваліфікації, умовами праці та побуту,
ставленням працівників до власності.
Матеріальною основою підвищення
продуктивної сили праці та її продуктивності є розвиток науки, техніки та
технології, запровадження у виробництво їхніх досягнень, тому група
матеріально-технічних факторів розглядається як провідна і та, що визначає інші
фактори.
До матеріально-технічних факторів
зростання продуктивності праці належить підвищення технічного та енергетичного
озброєння праці на основі безперервного розвитку науково-технічного прогресу.
Головними напрямами науково-технічного прогресу у виробництві с: механізація
виробництва з переходом до автоматизації; збільшення одиничних потужностей
машин та обладнання з підвищенням енергоозброєності праці; електрифікація
виробництва; хімізація виробництва в ряді галузей промисловості та сільському
господарстві; створення принципово нових технологій, які забезпечують
інтенсифікацію виробництва та різке скорочення витрат живої праці; зниження
матеріаломісткості продукції та економія матеріальних ресурсів; поглиблення
соціалізації машин та обладнання і т. ін. Важливе значення має освоєння нових
потужностей джерел енергії - атомної, ядерної, геотермальної, космічної.
Внаслідок дії матеріально-технічних
факторів у декілька разів зростає продуктивність праці і знижується
технологічна трудомісткість продукції.
До організаційних факторів зростання
продуктивності праці належить організація виробництва на рівні підприємств,
галузей та національного господарства в цілому. Велике значення тут мають
розміщення підприємств по території, організація транспортних зв'язків як у
межах країни, так і з іноземними країнами; спеціалізація підприємств та їх
надійна наступна кооперація; організація матеріально-технічного забезпечення,
енергозабезпечення, ремонтного обслуговування і т. д. На підприємствах найважливішими
завданнями поліпшення організації виробництва є: підвищення якості планування з
урахуванням перспективних потреб ринку, який розвивається;
організаційно-технічна підготовка виробництва; своєчасне запровадження нової
техніки та технології; модернізація діючого обладнання; забезпечення поточних
та капітальних ремонтів та безперебійної роботи машин, механізмів, обладнання,
апаратури, а також чітка організація внутрішньовиробничого
матеріально-технічного забезпечення.
Особливе місце серед організаційних
факторів займає організація праці. Вона тісно пов'язана з організацією
виробництва та містить такі напрями: раціональний поділ та кооперацію праці між
різними категоріями, групами працюючих та між окремими виконавцями; організацію
та обслуговування робочих місць; поліпшення санітарно-гігієнічних умов праці з
доведенням їх до комфортних, усунення різного роду виробничих перешкод та
небезпек; підготовку, перепідготовку та підвищення кваліфікації кадрів;
вивчення та системне розповсюдження передових прийомів та методів праці;
організацію раціональних, науково обґрунтованих режимів праці та відпочинку;
укріплення трудової та виробничої дисципліни. Велике значення в сучасних умовах
мають розвиток бригадної та інших організаційних форм колективної праці, запровадження
підрядних, орендних форм організації та стимулювання праці, розвиток
багатоверстатного та багатоагрегатного обслуговування в умовах автоматизованого
та напівавтоматизованого виробництва. Всі ці напрямки зводяться в систему
наукової організації праці.
Організація управління виробництвом
також включає низку важливих напрямів. На рівні управління господарством країни
до її завдань належать створення галузевих та територіальних органів управління
підприємствами, забезпечення їх ефективної взаємодії, координації роботи
підприємств як у межах країни, так і з близьким зарубіжжям. На підприємствах
завданнями організації управління є створення економічної та діючої
управлінської структури, комплектація всіх підрозділів компетентними
керівниками та спеціалістами, їх правильний розподіл та використання; в
економічній сфері - організація внутрішньогосподарського госпрозрахунку,
оренди, акціонування підприємств, ефективного стимулювання праці, а також
контроль за виробництвом, реалізацією продукції та всіма економічними
показниками.
Організаційні фактори тісно
пов'язані та являють собою єдину систему організації виробництва, праці та
управління. Неповне використання організаційних факторів, наявність
організаційних недоліків відбиваються на використанні робочого часу та через
цей екстенсивний показник впливають на продуктивність праці. Усі втрати
робочого часу, спричинені недоліками в організації праці та виробництва, за
інших рівних умов майже прямо пропорційно знижують продуктивність праці, а
скорочення втрат забезпечує її зростання.
.2 Огляд нормативної бази та
літературних джерел з питань аналізу продуктивності праці та трудомісткості
продукції на підприємстві
Рівень продуктивності праці та
трудомісткості продукції галузей, регіонів чи економіки в цілому визначається
сукупним рівнем продуктивності окремих підприємств, що їх складають. Тому
основна робота з підвищення продуктивності здійснюється саме на підприємствах,
а органи державної влади всіх рівнів можуть і повинні створювати сприятливі
умови для підвищення продуктивності праці їх шляхом організації ефективної
нормативно - правової бази та відповідної інформації.
Таблиця 1.1.
Нормативна база
|
1
|
Кодекс законів про працю України, 1971 p., зі
змінами і доповненнями.
|
|
2
|
Державний класифікатор України (ДК): ДК
003-95. Класифікатор професій. Затверджено наказом Державного комітету зі
стандартизації, метрології та сертифікації від 27 липня 1995 р.№257
|
|
3
|
Інструкція зі статистики чисельності
працівників, зайнятих у народному господарстві України, затверджена наказом
Міністерства Статистики України від 7 липня 1995 р. № 171.
|
|
4
|
Інструкція зі статистики заробітної плати,
затверджена наказом Міністерства Статистики України від 13 січня 2004 р. №5.
|
|
5
|
Закон України "Про основи соціальної
захищеності інвалідів в Україні" від 21 березня 1991 р. № 875-ХП.
|
В економічній літературі питанням
продуктивності праці присвячено багато робіт. Значний внесок у розробку
теоретичних і методологічних питань підвищення продуктивності праці внесли С.Г.
Струміліна, А.С. Кудрявцев, А.М. Омаров, Л.С. Бляхман, М.І. Бондаренко, А.Г.
Євтушенко, В.В. Мазур, Д.Ю. Васильєв, І.І. Прокопенко та ін. Тією чи іншою
мірою ця проблема розглядається в роботах філософів, соціологів, психологів,
демографів.
Провідні економісти дають різні
тлумачення продуктивності праці. Зокрема, С.Г. Струмілін визнає, що
продуктивність праці в загальному і в той же час точному значенні цього слова
характеризується кількістю продукції, тобто сумою споживчих благ у натуральному
вираженні, створюваних робітником в одиницю часу. Ця кількість, у свою чергу,
визначається цілим рядом факторів, з яких одні стоять на боці самого робітника,
а інші - на боці виробничої техніки і суспільної організації праці. Сукупність
суб’єктивних факторів продуктивності праці, що залежать від самого робітника,
визначає індивідуальну продуктивність останнього. Сукупність об’єктивних
факторів продуктивності, що стоять поза волею і якостями окремого робітника, ми
об’єднуємо поняттям продуктивної сили праці.
А.С. Кудрявцев висловлює такий
погляд: "Маса зробленої за даний проміжок часу продукції, що характеризує
продуктивність праці, може... збільшуватися за рахунок не тільки підвищення
продуктивної сили праці, але і зростання інтенсивності праці". На його
думку, критерієм розмежування категорій "продуктивна сила праці" і
"продуктивність праці" є інтенсивність праці. Це розмежування
настільки яскраво виражене в його роботах, що він навіть виділяє фактори
збільшення кожної категорії.
А.М. Омаров, розглядаючи сутність
продуктивності праці, вказував, що продуктивність праці виступає як результат
розвитку продуктивної сили й інтенсивності праці, породжених функціонуванням
відповідно двох сторін праці (конкретної праці і праці як витрати людської
енергії).
За твердженням Л.С. Бляхмана,
продуктивність праці - це реально досягнута в часі ефективність праці на основі
сполучення об’єктивних і суб’єктивних умов виробництва.
На нашу думку, визначення А.М.
Омарова і Л.С. Бляхмана не дають повного уявлення про продуктивність праці,
тому що на цю економічну категорію впливають не тільки умови виробництва, але і
природні, організаційні та інші умови, а також соціальні, технологічні,
економічні фактори.
Польський економіст Б. Мінц у своїх
працях розмежовує категорії "продуктивність праці" і
"продуктивна сила праці", причому першу він розуміє як здатність
праці робити споживчі вартості (продукцію чи послуги матеріального характеру),
що при даній техніці й організації праці може бути визнана нормальною.
М.І. Бондаренко і А.Г. Євтушенко
стверджують, що продуктивність праці є узагальнюючим показником
результативності праці, який характеризує ефективність її витрат в
матеріальному виробництві й сфері послуг і визначається кількістю зробленої
продукції (виконаних робіт) в одиницю часу чи витрат праці на одиницю продукції
(виконаних робіт).
В.В. Мазур відзначав, що
продуктивність праці є дуже складною економічною категорією, незважаючи на
зовнішню простоту її визначення: під нею розуміється ступінь ефективності
(результативності) праці. Іншими словами, продуктивність праці характеризується
відношенням обсягу виробництва до працевтрат. Д.Ю. Васильєв уявляє
продуктивність праці як складне, двоїсте за своєю природою явище, що виступає,
з одного боку, як продуктивність конкретної праці, а з другого - як
продуктивність абстрактної праці.
І.І. Прокопенко вважає, що під
продуктивністю слід розуміти ступінь ефективності використання наявних ресурсів
(не тільки праці, а й капіталу, сировини, землі, інформації, часу тощо) для
виробництва товарів чи послуг, що відповідають потребам ринку за кількістю та
якістю.
Оцінка результатів господарської
діяльності на підприємствах базується на показниках доходу, рентабельності,
обсягів збуту, рівня заробітної плати, кредиторської та дебіторської
заборгованості тощо.
При цьому як найважливіший показник
розглядається прибуток, оскільки саме він є реальною метою підприємства,
джерелом його розвитку, метою власників та інвесторів. Прибуток підприємства
формується під впливом двох факторів - доходу від реалізації продукції і витрат
на її виробництво. У сучасних економічних умовах підприємства мають обмежені
можливості впливу на ціни, що висуває на перший план проблеми продуктивності як
інструмента вирішення стратегічного завдання підприємства - одержання прибутку.
Саме тому управління продуктивністю, підвищення її рівня є одним з
найважливіших питань в розробці стратегічної політики підприємства.
Сучасний розвиток економіки України
ставить перед керівниками підприємств завдання удосконалення управління
наявними в їхньому розпорядженні ресурсами і досягнення максимальної
ефективності виробництва, а провідним показником ефективності виробництва при
цьому виступає продуктивність праці.
1.3 Організаційно-інформаційна
модель аналізу продуктивності праці та трудомісткості продукції
Аналітичний процес оцінки
продуктивності праці та трудомісткості продукції доцільно уявити у вигляді
певної послідовності однорідних за змістом робіт, тобто виділити етапи аналізу,
які дозволяють систематизувати та оптимізувати методику, зменшити
трудомісткість аналітичних процедур і підвищити одержуваний ефект.
Реалізація концептуальних основ
аналізу продуктивності праці та трудомісткості продукції базується на
моделюванні окремих елементів його забезпечення, як важливої складової
інформаційної системи управління основною діяльністю суб'єктів підприємництва.
Необхідність сумісного моделювання інформаційного та методичного забезпечення
обумовлена їх взаємозв'язком.
Інформаційні потоки, які формуються
окремими функціями системи управління є вирішальними при досягненні певних
задач аналізу фінансового стану, реалізація яких стає можливою лише при
використанні відповідного методичного забезпечення. Використання фінансових
коефіцієнтів та відносних величин в кожному з розглянутих випадків пов'язано зі
специфікою об'єкту аналізу, для оцінки якого використовуються показники
структури, динаміки та коефіцієнти. Тісний взаємозв'язок інформаційного та
методичного забезпечення аналізу фінансового стану підприємств свідчить про
необхідність комплексного моделювання.
Цілком логічним є виділення
наступних етапів процесу моделювання:
Таблиця 1.2.
|
№
|
Етап
|
Пояснення
|
|
1
|
Організаційний
|
- постановка мети моделювання;
|
|
|
- вибір об'єкта моделювання;
|
|
|
- визначення елементів моделі і взаємозв'язків
між ними, які вимагають вивчення;
|
|
2
|
Практичний.
|
Складається з процесу побудови моделі і
вивчення складових її елементів у взаємозв'язку.
|
|
3
|
Результативний. теоретичних результатів.
|
Практична реалізація теоретичних
основ моделювання аналізу продуктивності праці та трудомісткості продукції
ґрунтується на побудові організаційно-інформаційної моделі, яка є одним із
прийомів формалізації аналітичного процесу в управлінні діяльністю підприємства
і передбачає визначення окремих елементів процесу дослідження.
Виходячи зі сказаного,
організаційно-інформаційну модель аналізу продуктивності праці та
трудомісткості продукції можна визначити як стислу характеристику аналітичного
процесу щодо суб'єктів та об'єктів дослідження, мети і завдань, системи
показників, які визначають параметри об'єктів, інформаційного та методичного
забезпечення.
Послідовна реалізація елементів
наведеної у організаційно-інформаційної моделі аналізу продуктивності праці та
трудомісткості продукції за відсутності надзвичайних обставин забезпечує
досягнення поставленої мети, яка полягає у створенні інформаційної бази
ефективного управління підприємством на основі дослідження фінансового стану та
його динаміки і факторів, що обумовлюють зміну цих показників.
Тісний взаємозв'язок інформаційного
та методичного забезпечення аналітичного процесу безпосередньо впливає на
можливість прикладної реалізації останнього. Аналіз продуктивності праці та
трудомісткості продукції з урахуванням переслідуваних цілей і однорідності
робіт доцільно підрозділити на три етапи.
Зміст першого етапу полягає в
постановці мети; визначенні напрямків і завдань аналізу продуктивності праці та
трудомісткості продукції; виборі, оцінці і моделюванні інформаційного
забезпечення і методів проведення аналізу.
Виділення чотирьох напрямків
розрахункового етапу дозволяє деталізовано визначити послідовність проведення
розрахунків відповідно до зазначених завдань і визначеної на попередньому етапі
мети аналізу. Метою другого етапу є проведення розрахунку показників, які
характеризують продуктивність праці та трудомісткість продукції.
Розділ 2. Аналіз продуктивності
праці та трудомісткості продукції на підприємстві
.1 Загальна та економічна
характеристика ПАТ "Харківський машинобудівний завод "Світло
шахтаря"
ПАТ "Харківський машинобудівний
завод "Світло шахтаря" - одне із найстаріших машинобудівних
підприємств вугільної галузі. Протягом десятиліть завод був монопольним
виробником потужних шахтних скребкових конвеєрів в колишньому СРСР, за цей час
завод накопичив унікальний досвід в області проектування продукції і розробки
технології її виготовлення.
На сьогоднішній день на чолі
підприємства стоїть злагоджений колектив керівників, очолюваний Геннадієм
Васильовичем Висоцьким - одним із організаторів сучасного вугільного
машинобудування України, дійсним членом Української Академії наук, відзначеним
багатьма державними нагородами.
Сьогодні основною продукцією одного
із провідних підприємств гірничого машинобудування України ВАТ "ХМЗ
"Світло шахтаря" є вибійні скребкові конвеєри, скребкові
перевантажувачі, шахтні дробарки, середні і легкі скребкові конвеєри для
проходки і роботи у допоміжних виробках, запобіжні гідравлічні муфти,
вибухобезпечні головні акумуляторні світильники, в тому числі оснащені
метансигналізаторами, фари для електровозів і навантажувальних машин, товари
народного споживання.
Вироби, які випускаються
підприємством, експлуатуються в найрізноманітніших виробничих і кліматичних
умовах: у вугільній, сланцевій, калійній та інших галузях промисловості,
охоплюючи весь діапазон гірничотехнічних умов шахт і рудників, які добувають
корисні копалини з застосуванням механізованих комплексів з гідравлічними
механізованими кріпленнями і добувними комбайнами, що випускаються в Україні та
інших країнах СНД і дальнього зарубіжжя.
Головна перевага продукції заводу
"Світло шахтаря" - перевірена часом надійність и висока якість. Завод
має виробничу базу, здатну забезпечити випуск скребкових конвеєрів,
перевантажувачів і засобів індивідуального освітлення в повному обсязі не
тільки для шахт України для всіх гірничо-геологічних умов експлуатації, але
також постачати необхідну продукцію шахтарям Росії, Білорусії, Естонії,
Казахстану та інших країн СНД і дальнього зарубіжжя, за необхідними
параметрами. Широко розвинута випробувальна база з унікальним випробувальним стендовим
обладнанням забезпечує контроль якості, як в процесі виробництва, так і на
кінцевій стадії при прийомо-здаточних і пред'явничих випробуваннях. Виробництво
продукції згідно вимогам ДСТУ 18О 9001 сертифіковано і на вищезгадані вироби
завод має сертифікати національних організацій по сертифікації України, Росії і
Польщі. Керівництво заводу чітко дотримується стратегії поновлення обладнання і
технологій, приділяє велику увагу питанням маркетингової політики. Підприємство
постійно приймає участь в основних галузевих міжнародних виставках в Україні,
Росії, Польщі, Німеччині та інших країнах. Зразки гірничої техніки заводу
завжди привертають на виставках увагу гірників і спеціалістів вугільної
промисловості.
На виставці "Вугілля/Майнінг
2006" в м. Донецьку завод продемонстрував великий спектр зразків
гірничошахтного обладнання:
Вибійний конвеєр СПЦ 230 на базі
центрально-розташованих ланцюгів калібру 30х 108 мм і катаного профілю Н 255 мм
із високолегованої зносостійкої марки сталі для боковин рештаків, призначений
для роботи з сучасними механізованими кріпленнями і комбайнами, які
використовуються в Україні, Росії та інших вугледобувних країнах, забезпечує
доставку вугілля з лав з навантаженням до 10тис. т за добу.
Конвеєр-перевантажувач підлавний СПЦ
230-81.16 насувного типу призначений для роботи в транспортному ланцюгу на
дільницях з високопродуктивними очисними комплексами у вугільних і сланцевих
шахтах небезпечних по газу і пилу будь-якої категорії, для перевантаження і
транспортування по гірничим виробкам з вибійного конвеєру на телескопічний
стрічковий конвеєр з шириною стрічки 1000 мм.
Високу продуктивність праці
забезпечують:
Таблиця 2.1.
|
№
|
Назва
|
Детальний опис
|
|
1
|
Конвеєр вибійний СПЦ 334
|
- розроблений на базі високоміцних ланцюгів
для тягового органу калібру 34х 126 мм і потужного литого спецпрофілю для
боковин рештаків. Він забезпечує транспортування вугілля із
високопродуктивних забоїв з навантаженням 8-12 тис. і більше тонн за добу.
Конвеєр може використовуватися з усіма типами кріплення і комбайнів,
відповідно до потужностей шару, та які виготовляються в Україні і за
кордоном.
|
|
2
|
Конвеєр вибійний СП 326
|
на ланцюгу калібру 26х 92 мм розташованому в
направляючих рештака, виготовленого на базі спецпрофілю із високолегованої
сталі висотою 245мм, який широко поширений на шахтах України і показав свою
надійну роботу при видобуванні вугілля на шарах середньої потужності (від 1,3
і більше) при середньодобовому навантаженні 3000-5000 т гірничої маси.
|
|
3
|
Вибійний конвеєр СП 326-40
|
вузького виконання на ланцюгу калібру 26х 92
мм, розташованого в направляючих боковинах рештака, і в спецпрофілі із
високолегованої сталі висотою 245 мм розроблено спеціально для роботи на
тонких шарах потужністю від 0,85м з комбайнами типу УКН 400, УКД 300
(Україна), МВ 12 (компакт) фірми "CzMT" (Чехія) з рейковою подачею
або з комбайнами типу УКД 200 з винесеною системою подачі (ВСП).
|
|
4
|
Дволанцюговий вибійний конвеєр СП 330
|
на базі спеціального пониженого ланцюга
калібру 30х 108 мм, розташованого в направляючих рештака, в литому профілі
боковин рештаків із легованої сталі. Даний конвеєр був розроблений на
спеціальне замовлення передової шахти Украї-ни -
"Красноармійська-Західна № 1" для роботи в складних
гірничо-геологічних умовах і немає аналогів на території СНД. Конвеєр відпрацював
лаву довжиною 340м при потужності шару від 1,4 до 2,1 м з навантаженням до
6000 т за добу. Зараз продовжує роботу в наступній лаві.
|
|
5
|
Вибійний конвеєр СП 251.13
|
на спеціальному пониженому ланцюгу калібру 24х
86 мм, розташованому в направляючих рештака і підсиленому спецпрофілі із
високолегованої сталі висотою 205 мм. Розроблений спеціально для роботи на
тонких шарах потужністю від 0,8 м з комбайнами типу УКН 400, УКД 300, РКУ 10,
2ГШ 68Б, МВ 12 (компакт) фірми "CzMT" (Чехія) з рейковою подачею, 1ГШ
68, 1К 101У з ланцюговою подачею або з комбайнами типу 1К 101УД, КА 80, УКД
200 з винесеною системою подачі (ВСП).
|
|
6
|
Підлавний перевантажувач СП 251.15
|
на спеціальному пониженому ланцюгу калібру 24х
86 мм, розташованому в направляючих рештака і підсиленому спецпрофілі із
високолегованої сталі висотою 205 мм. Перевантажувач комплектується пристроєм
пересування конвеєра вздовж штреку (УПК), опорною секцією з барабаном
стрічкового конвеєра і малогабаритною дробаркою для подрібнення
великогабаритних кусків гірничої маси.
|
Гідромуфти. Заводом випускаються
серійні гідромуфти для передачі потужності від 15 до 500 кВт. Застосовуються в
шахтних скребкових і стрічкових конвеєрах, а також в загально-промислових
цілях. Гідромуфти забезпечують пуск і захист приводів від перенавантаження,
мають два ступені захисту - по температурі і по тиску. На замовлення споживачів
завод виготовляє гідромуфти з необхідними характеристиками і розмірами.
Шахтне освітлення. Завод традиційно
на протязі багатьох десятків років виготовляє і постійно удосконалює шахтні
головні світильники та іншу освітлювальну апаратуру:
світильники СВГ 5А, СВГ 2/1М
розроблені на базі світильників які серійно випускаються і мають фару зменшених
габаритів з можливістю фокусування оптичної системи;
сигналізатор метану СМС 5М,
з'єднаний з головним світильником, призначений для безперервного автоматичного
контролю об'ємної частки метану в атмосфері шахти і видачі світлової
сигналізації при перевищенні установлених значень об'ємної частки метану (два
пороги спрацювання), а також для індивідуального освітлення робочого місця в
шахтних виробках небезпечних по газу або пилу.
.2 Аналіз продуктивності праці ПАТ
"Харківський машинобудівний завод "Світло шахтаря"
Аналіз продуктивності праці
передбачає:
оцінку виконання плану і динаміки
продуктивності праці;
вивчення впливу факторів на рівень
продуктивності праці;
дослідження впливу продуктивності
праці на рівень інших показників;
виявлення резервів підвищення рівня
продуктивності праці. В табл. 2.2 наведена методика визначення рівня і аналізу
продуктивності праці.
Таблиця 2.2.
|
Показник
|
Рік
|
Зміна (+, -)
|
Темп зростання, %
|
|
минулий
|
поточний
|
|
|
|
1. Обсяг продукції, тис. грн.
|
74160,2
|
81058,65
|
+6898,45
|
100,09
|
|
2. Чисельність персоналу, чол.
|
2998
|
3028
|
+30
|
101,01
|
|
з нього робітників
|
2010
|
2025
|
+15
|
|
3. Відпрацьовано людино-днів
|
350000
|
382500
|
+32500
|
109,3
|
|
4. Відпрацьовано людино-годин
|
2730000
|
3060000
|
+330000
|
112,1
|
|
3. Середньорічний виробіток одного працюючого,
тис. грн.
|
24,73
|
26,76
|
+2,03
|
100,08
|
|
4. Середній виробіток одного робітника, тис.
грн. річний
|
36,89
|
40,02
|
+3,13
|
100,08
|
Продуктивність праці як одного
працюючого, так і одного робітника досить висока, але порівняно з минулим роком
спостерігається зниження інтенсивності праці, що свідчить про менш ефективне
використання робочої сили.
Темп зростання продуктивності праці
одного працюючого вищий, ніж темп зростання продуктивності праці одного
робітника. Така розбіжність в темпах зростання пояснюється збільшенням питомої
ваги робітників в складі персоналу. Як видно з попередніх розрахунків,
порівняно з минулим роком також збільшилась середня тривалість робочого року і
робочого дня.
Вирішальний вплив на зниження
річного виробітку одного працюючого справило зниження годинного виробітку
робітника. Інші фактори мають позитивний вплив, але не вирішальний. Резервом
можливого зростання річного виробітку працюючого є відповідне підвищення
зростання інтенсивності праці робітника (виробітку за годину.)
2.3 Аналіз трудомісткості продукції
ПАТ "Харківський машинобудівний завод "Світло шахтаря"
У процесі аналізу вивчають динаміку
трудомісткості, виконання плану за її рівнем, причини її змін і вплив на рівень
продуктивності праці. Значний інтерес становить порівняння
питомої трудомісткості продукції на різних підприємствах, що дає можливість
виявити передовий досвід і розробити заходи для його впровадження на
аналізованому підприємстві.
Із табл. 2.3 видно, що планове
завдання зниження трудомісткості продукції загалом по підприємству значно
перевиконано. Планове завдання зниження трудомісткості продукції до минулого
року:
,915 : 2,94 o 100 - 100 = -0,85 %;
фактичне зниження трудомісткості до рівня минулого року: 2,681: 2,94 o 100 -
100 "-8,8 % o
Аналіз динаміки і виконання плану за
рівнем трудомісткості продукції
Таблиця 2.3
|
Показник
|
Минулий рік
|
Звітний рік
|
Зростання рівня показника, %
|
|
|
план
|
факт
|
план до минулого року
|
факт до минулого року
|
факт до плану
|
|
Випуск продукції, тис. грн.
|
74160,2
|
80000
|
81058,65
|
107,8
|
109,3
|
101,3
|
|
Відпрацьовано всіма робітниками людино-годин
|
276 3200
|
2798400
|
2730000
|
101,01
|
98,79
|
97,55
|
|
Питома трудомісткість, людино-год на 1 тис.
грн
|
37,25
|
34,98
|
33,67
|
93,39
|
90,03
|
96,25
|
|
Середньогодинний виробіток, грн.
|
268,69
|
289,85
|
293,69
|
100,7
|
109,3
|
101,3
|
Між змінами загальної трудомісткості
і середньогодинного виробітку є обернено пропорційна залежність.
Оскільки між трудомісткістю
продукції і рівнем продуктивності праці є обернено пропорційна залежність, то
загальна питома трудомісткість продукції залежить від тих само факторів, що й
середньогодинний виробіток робітників.
Питому фактичну трудомісткість у
зіставних з базою порівняння умовах можна подати як алгоритм:

ДВЯстр* ДВЯкп - зміна обсягу валової
продукції за рахунок структури відповідно виробництва і кооперованих поставок;
ФРЧ - фактичні витрати робочого часу
на випуск продукції у звітному періоді;
ФРЧв - непродуктивні витрати часу;
Розділ 3. Удосконалення аналізу
продуктивності праці та трудомісткості продукції на підприємстві
.1 Удосконалення аналізу
продуктивності праці на підприємстві ПАТ "Харківський машинобудівний завод
"Світло шахтаря"
Зростання продуктивності праці на
будь-якому підприємстві залежить від багатьох чинників - як зовнішніх, так і
внутрішніх. Для того, щоб підвищити продуктивність праці на даному
підприємстві, досить ефективно буде використати такі групи удосконалення:
. Організаційні чинники спрямовані
на створення такої організації виробничого процесу, яка ліквідує втрати
робочого часу і забезпечує оптимальне завантаження як усім членам трудового
колективу, так і основним виробничим фондам підприємства.
. Соціально-економічні чинники можна
умовно поділити на фактори морального і матеріального стимулювання. До них
належать зростання заробітної плати, премії та доплати, можливість
самовираження і творча заінтересованість, кар'єра, підвищення кваліфікації
тощо.
За рахунок вдалого поєднання в
управлінні продуктивністю даних чинників можна виявити резерви підвищення
продуктивності праці.
Резерви зростання продуктивності
праці - це такі можливості її підвищення, які вже виявлені, але з різних причин
поки що не використані, тобто це можливість більш повного використання
продуктивної сили праці, усіх факторів підвищення її продуктивності за рахунок
удосконалювання техніки, технології, поліпшення організації виробництва,
практики управління.
3.2 Удосконалення аналізу
трудомісткості продукції на підприємстві ПАТ "Харківський машинобудівний
завод "Світло шахтаря"
робітник
продуктивність кваліфікація
Час, витрачений з
організаційно-технічних причин, тобто велика різнорідність виготовлюваних
підприємством виробів і пов'язані з цим дрібні серії виготовлюваної продукції;
зміни конструкції виробу в ході його виробництва; помилка планування
виробництва і недогляд в роботі транспорту, що викликають затримку в
забезпеченні засобами виробництва і матеріалами; поганий технічний стан або
аварії машин і обладнання, обумовлені неплановим і недостатнім доглядом за ними
і несвоєчасним ремонтом; нечітка робота відділу інструментального господарства,
що приводить до простоїв на робочих місцях; невідповідні умови праці, що
викликають зниження продуктивності праці; недостатній рівень безпечності
гігієни праці;
Час витрачений з
причин, що залежать від робітника, тобто запізнення, неявки на роботу,
необґрунтовані перерви, низька інтенсивність праці; недостатня якість праці, що
приводить до виникнення браку; недотримання правил техніки безпеки, що
приводить до перерв в роботі або непрацездатності.
Все перераховане
вище визначає напрями дослідження праці, його об'єм і предмет, а також задачі
вдосконалення процесів праці.
Перелічені факти,
які негативно впливають на трудомісткість в бік її зниження, і на виробничий
процес в цілому, частково є нормованими. Розгляд з метою усунення непродуктивних
її витрат вимагає по елементного аналізу, і, як результат, складається чітко
визначені міроприємства по зниженню втрат. Заходи по усуненню ненормованих
затрат праці тісно пов'язані з попередніми і носять організаційний характер.
Перелічимо шляхи
покращення трудомісткості продукції на підприємстві ПАТ "Харківський
машинобудівний завод "Світло шахтаря" в таблиці 3.1.
Таблиця 3.1.
|
1
|
Слід звернути належну увагу на наступні етапи
системи управління техніко-організаційним розвитком:
|
|
2
|
Розвиток організації, планування і управління
виробництвом.
|
|
3
|
Підвищення рівня кооперації, спеціалізації і
комбінування виробництва.
|
|
4
|
Раціоналізація основних виробничих процесів.
|
|
5
|
Покращення оперативного управління
виробництвом.
|
|
6
|
Підвищення рівня механізації управлінської
праці, вдосконалення обліку, звітності і діловодства.
|
Впровадження
перелічених заходів прямим чином здійснюють глобальний вплив як на саму
організаційну структуру, так і на окремі етапи виробництва.
Висновки
Існує ряд стимулюючих та
деструктивних чинників, теоретично, хоча кількісно визначити їх вплив можливо
лише володіючи практичними даними діяльності підприємства за значний період за
відносно рівних економічних умов. Оскільки, чинники по-різному впливають на
зміну продуктивності праці. Збільшення дестимулюючих чинників призводить до
зниження темпів зростання продуктивності праці, до них слід віднести неявки:
через прогули, тимчасову непрацездатність, з дозволу адміністрації та
внутрішньозмінні простої. Збільшення чинників-стимуляторів впливає на зростання
продуктивності праці та зменшення трудомісткості виготовлення продукції.
Зростання продуктивності праці та
зменшення трудомісткості виготовлення продукції на підприємстві означає:
збільшення маси продукції,
створюваної в одиницю часу при незмінному її якості;
підвищення якості продукції при
незмінній її масі, створюваній в одиницю часу;
скорочення витрат праці на одиницю
виробленої продукції;
зміна співвідношення витрат живої і
матеріалізованої праці в бік зростання частки витрат уречевленої праці при
загальному скороченні витрат праці;
скорочення часу виробництва і обігу
товарів.
Список використаних джерел
. Кудінова А. Аналіз
продуктивності праці / Алевтина Кудінова, Денис Верба // Справочник экономиста:
Искусство управления финансами. - 2009. - № 6. - С. 79-88.
2. Ревенко А.
Продуктивність праці в сучасних умовах // Україна: аспекти праці. - 2008. - № 2
- С. 32-37
. Сергійчик C.I.
Систематизація управління продуктивністю праці//Вісник Хмельницького
національного університету. -2008.-№5.-С.230-236.
. Інструкції про
безготівкові розрахунки в Україні в національній валюті : постанова Правління
Національного банку України від 21.01.2004 р. № 637 (із змінами та
доповненнями) // [Електронний ресурс]. - Режим доступу:
http://zakon4.rada.gov.ua/laws/show/z0377-04.
. Методичні рекомендації
щодо заповнення форм фінансової звітності : наказ Міністерства фінансів України
від 28.03.2013 р. № 433 // [Електронний ресурс]. - Режим доступу:
http://www.profiwins.com.ua/uk/letters-and-orders/treasury/3759-433.html
. .Ващенко Л.О.
Інформаційне та методичне забезпечення аналізу фінансового стану підприємств:
автореф. дис.. канд. екон. наук: 08.06.04 [ Текст] / Л.О. Ващенко; Державна
академія статистики, обліку та аудиту Держкомстату України. - К., 2005. - 20с.:
іл.
. Гадзевич О. І. Основи
економічного аналізу і діагностики фінансово-господарської діяльності
підприємств: навч. посіб. [Текст] / О. І. Гадзе-вич. - К.: Кондор, 2007. -180
с.
. Іванов Ю.Б.
Конкурентні переваги підприємства: оцінка, формування та розвиток [Текст]:
моногр. / Ю.Б. Іванов, П.А. Орлов, О.Ю. Іванова. - Х.: ВД "ІНЖЕК",
2008. - 352с.
. Ізмайлова К.В.
Фінансовий аналіз: навч. посіб. [Текст] / К.В. Ізмайлова. - К.: МАУП, 2001. -
152 с.
. Ковальчук К.Ф Аналіз
господарської діяльності: теорія, методика, розбір конкретних ситуацій.:
навчальний посібник. [Текст]/ К.Ф. Ковальчук - К.: Центр учбової літератури, -
2012. - 326с
. Кожанова Є. П.
Економічний аналіз [Текст]: навч. посіб. / Є. П. Кожанова [и др.] ; Харківський
національний економічний ун-т. - 3-є вид., допр. і доп. - Х.: ВД
"ІНЖЕК", 2009. - 344 с.
. Костирко Л.А.
Діагностика потенціалу фінансово - економічної стійкості підприємства: моногр.
/ Л.А. Костирко. - вид-во СНУ.-Луганськ, 2008. - 336 с.
. Сіменко І. В. Якість
систем управління підприємствами: методологія, організація, практика:
монографія / І.В. Сіменко. - Донецьк: ДонНУЕТ, 2009. - 394 с.
. Сумець О.М. Оцінка
конкурентоспроможності сучаного промислового підприємства: навчально-практичний
посібник. О.М. Сумець, О. Є. Сомова, Є.Ф. Пєліхов. - К.: "Видавничий дім
"Професіонал", 2009. - 280с.
. Чигринська О.С. Теорія
економічного аналізу: навч. посіб. [Текст] / О.С. Чигринська, Т.М. Власюк. -
К.: Центр навчальної літератури, 2006. - 232с.
. Чумаченко М.Г.
Економічний аналіз [Текст]: навч. посібник / М.А. Болюх [та ін.]; ред. М.Г.
Чумаченко; Київський національний економічний ун-т. - 2.вид., перероб. і доп..
-. К.: КНЕУ, 2003. - 555 с.
. Шкарабан С.І.
Організація і методика економічного аналізу (Збірник задач) [Текст]: для студ.
екон. спец. вищ. навч. закл. / С. І. Шкарабан [та ін.]; Тернопільський
національний економічний ун-т. Кафедра економічного аналізу. - Т.: ТНЕУ, 2009.
- 176 с.
. Яценко В.М. Фінансовий
аналіз: навч. посіб. для студ. вищ. навч. закл. [Текст] / В.М. Яценко, О.М.
Шинкаренко, Н.М. Бразілій. - Черкаси: ЧДТУ, 2010. - 267 с.